Abstract
This work describes the hydroxyapatite nanoparticle (HAP) preparation from eggshell waste and their application as an adsorbent for Cephalexin (Ceph) antibiotic removal from aqueous solutions. Chemical precipitation with phosphoric acid was used to evaluate the feasibility of calcium oxide for HAP preparation. The structural properties of HAP were characterized by X-ray diffraction, which revealed the formation of the hydroxyapatite crystalline phase formation. In addition, transmitting electron spectroscopy showed an irregular shape with a variation in size. The impact of various experimental conditions on the removal efficiency such as the solution’s pH, contact time, HAP mass, solution temperature, and Ceph concentration were studied. Experimental data showed that HAP could remove most Ceph species from aqueous solutions within 1 h at pH = 7 with 70.70% adsorption efficiency utilizing 50 mg of the HAP. The removal process of Ceph species by HAP was kinetically investigated using various kinetic models, and the results showed the suitability of the pseudo-second-order kinetic model for the adsorption process description. Moreover, the removal process was thermodynamically investigated; the results showed that the removal was spontaneous endothermic and related to the randomness increase. The data confirmed that HAP had high efficiency in removing Ceph antibiotics from an aqueous solution.
1. Introduction
Recently, pharmaceutical pollution of aquatic environments has been regarded as a serious global issue [1,2]. Various methods including municipal medical and industrial wastewater effluents release pharmaceutical medications into the aquatic environment [3]. Since these pharmaceuticals persist in the environment for long periods due to their continuous discharge, they are remarkably resistant to biodegradation processes, raising concerns about their long-term impact on human health. Cephalexin (Ceph) belongs to the first generation of antimicrobials (cephalosporins) [4] that have been used to treat a wide variety of human diseases caused by both Gram-negative and Gram-positive bacteria [5]. The continuous presence of Ceph in the aquatic environment poses several significant environmental hazards and serious health issues [6].
Furthermore, antibiotics disposed in the environment from various sources are widely regarded as serious dangers to human health due to their critical role in spreading antimicrobial resistance [7]. Ceph was selected as an adsorbate in the present work due to the widespread use of its respective antibiotic families. Consequently, removing antibiotics including Ceph before discharging wastewater is essential.
Various approaches have been adopted to remove Ceph from an aqueous solution such as liquid membrane separation, solid-phase extraction, bioaugmentation, catalytic ozonation, nanofiltration, sonochemical degradation, and adsorption [8,9,10,11]. To date, adsorption is still an effective method to treat antibiotic pollutants from the aqueous solution because of its simplicity of design, low-cost process, ease of operation [12,13], and the absence of reaction with pollutants or toxic compounds [14,15]. Consequently, various natural and synthetic materials have been studied for Ceph adsorption including activated carbon, clay, zeolite, and different nanomaterials [16,17]. Nanoparticles are efficient materials for Ceph removal that can be utilized as adsorbents, photocatalysts, and membrane materials [18]. Physical and chemical approaches are used to design and produce nanostructures [19].
In the past years, the green synthesis of nanoparticles has acquired attention as a cost-effective and ecologically friendly alternative to physical and chemical processes [20]. The ability to generate a usable product from bio-based waste would significantly improve and ensure global economic development along with waste management issues [21,22,23]. To achieve this criterion, bio-based ceramic development has been widely promoted for industry and academic studies, which have identified a ceramic produced from naturally occurring resources [24,25]. One of the most effective bio-based ceramics is hydroxyapatite (HAP) Ca10(PO4)6(OH)2. HAP has been widely considered as an adsorbent for various applications due to its biocompatibility, environmental friendliness, high sorption efficiency for heavy metals, low solubility in water, excellent stability under reduced and oxidized processes, and large surface area [26,27,28]. Obtaining low-cost adsorbents is highly required, therefore, many studies have reported nanosorbent preparation from waste precursors including palm kernel shells, eggshells, rice hulls, agricultural, electronic, and industrial wastes [29,30,31,32]. HAP can be derived from fish scales, animal bones, coral, and eggshells [33,34]. Eggshell is a relatively economical and widely accessible natural resource used as a raw material in producing HAP, a natural porous bioceramic with a calcium carbonate content of 97% [35]. Eggshell can be derived into calcium carbonate in calcite and then converted to HAP in a hydrothermal reaction using a source of phosphate solution such as phosphoric acid and diammonium hydrogen phosphate [36]. In this study, eggshell was recycled to synthesize HAP. The physical and chemical characteristics of the obtained material were investigated. So far, if any, there are no detailed studies on preparing HAP from eggshell waste and using it for Ceph removal. Thus, this work deals with the potential use of HAP to eliminate the Ceph antibiotic from an aqueous solution.
2. Experimental
2.1. Reagents and Materials
Chicken eggshell waste has been collected as primary raw material from home. Ceph (C16H17N3O4S; M.Wt. 347.39 g/mol) was purchased from the state company for the drug industries in Samarra/Iraq. All other chemicals (phosphoric acid (H3PO4), ammonium hydroxide (NH4OH)) were purchased from Sigma-Aldrich and utilized as received with no additional purifications. The stock solution of Ceph (100 μg/mL) was produced by dissolving the required amount in deionized water, and standard solutions (5–70 g/mL) were produced by diluting the stock solution with deionized water. After calibrating the pH meter with buffer solutions 4, 7, and 10, its value was adjusted utilizing (0.1 mol/L) HNO3 and/or (0.1 mol/L) NaOH.
2.2. Characterization Techniques and Apparatus
The crystalline phase of HAP was determined using Siemens D5000 XRD fitted by Cu-Kα (λ = 0.154 nm). TEM (JEM 2011 JEOL, Tokyo, Japan), running at 200 kV, has been used to evaluate the size and shape of HAP. Samples were dispersed in ethanol and then ultrasonicated for 30 min. After that, they were picked up using a carbon-coated copper grid (200 mesh) for the TEM characterizations. A Jenway UV–Vis (190–1100 nm) spectrophotometer (6800, Bibby Scientific, Stafford, UK) with a 10 mm (path width) quartz cell was used to record all the spectrophotometric measurements. A Hanna pH meter (301 models) was utilized for optimal solutions. The deionized water was obtained from the Milli-Q Plus system (Millipore, Bedford, MA, USA) and used to prepare all solutions.
2.3. Preparation of HAP Nanoparticles from Eggshells
To produce HAP, calcined eggshells were utilized as a calcium source, and phosphoric acid, 97% (Sigma-Aldrich, St. Louis, MO, USA), was used as phosphate sources. Eggshell waste was collected first and then cleaned in deionized water (DI). After that, it was dried for 24 h in an oven at 100 °C to eliminate the contaminants and odor. It was milled and pressed through a 350 μm sieve. Afterward, they were calcined in a furnace at a temperature of 900 °C for 3 h at a 10 °C/min heating rate. Throughout this process, the organic matter is decomposed, and calcium carbonate (CaCO3) is converted to calcium oxide (CaO) through the release of carbon dioxide (CO2) [37]. CaO powder was weighted and mixed with double-distilled water to form a 0.3 M suspension, which then reacted with H3PO4 using a wet chemical precipitation process. During the reaction, CaO was suspended into H2O, and H3PO4 was added dropwise to the solution, and the molar ratio of Ca/P was estimated to be 2:1. The pH of the solution was adjusted to approximately 10 using NH4OH. The reaction was magnetically mixed at 120 °C for 6 h to obtain a homogenous suspension solution. Afterward, the suspension was filtered and then washed by DI before drying in the oven at 100 °C for 24 h. After that, the dried product was heated at 900 °C for 2 h. In the last step, the powder was milled and pressed through a sieve with a mesh size of 0.350 mm to collect the uniform particles before checking the purity; the whole procedure is illustrated in Figure 1 [38,39].
Figure 1.
The schematic diagram of HAP synthesis.
2.4. Step of Batch Extraction
The exact weight (0.05 ± 0.002 g) of the HAP solid phase was balanced with an aqueous solution (25 mL) consisting of Ceph (10 mg/L) at pH = 7. The samples were shaken for 60 min on a mechanical shaker. After that, the aqueous layer was broken up, and then the amount of Ceph remaining in the aqueous phase was photometrically determined. After equilibrium, the aqueous solution was separated, and the amount of Ceph remaining in the solution was measured using a UV–Vis spectrophotometer by measuring the absorbance of Ceph in the aqueous phase before and after the extraction at a wavelength of 261 ± 2 nm. Finally, the removal efficiency (R, %) is expressed as Equation (1), and the amount of Ceph adsorbed (qt) per unit mass of HAP solid phase is expressed as Equation (2), as follows [40,41,42,43]:
where Co represents initial Ceph concentration and Ct represents the remaining concentration of Ceph in the solution after shaking. In addition, the models’ accuracy was confirmed using the regression coefficient (R2), mean square error (MSE), root mean square error (RMSE), and average absolute relative deviation percent (AARD%), according to the equations reported elsewhere [44].
3. Results and Discussions
3.1. Characterizations of HAP
The raw eggshell showed patterns consistent with CaCO3, and CaO was detected in the calcined eggshell. The peaks of the calcined eggshell powder indicated that CaCO3 were entirely decomposed and converted into CaO at approximately 900 °C, as seen in the inset of Figure 2. It was seen that the five peaks at a Bragg angle of 32.1°, 37.3°, 53.8°, 64.1°, and 67.3° can be attributed to crystallographic planes of the cubic (fm–3m) crystals of CaO. Those peaks were in agreement with CaO peaks (JCPDS card no. 00-004-0777) [45]; no other peaks due to the presence of other materials were observed. The resulting powder color changed from white into grey throughout the organic matter extrusion and subsequently into white. Therefore, snow-white powder obtained from the eggshells was CaO. CaO thermal processing in phosphate solution formed a nanocrystalline white powder, irregular diameters, and high mechanical strength. Figure 2 illustrates the XRD pattern of the synthesized HAP powder at 900 °C. As can be seen from Figure 2, observed planes were under the expected HAP pattern with a hexagonal structure (P63/m) (JCPDS No: 01-075-9526) [46]. Therefore, a complete HAP synthesis was carried out based on the stoichiometric ratio of Ca/P = 1.67.
Figure 2.
XRD patterns of synthesized HAP from eggshell waste.
Figure 3 reveals the TEM image of the powder’s HAP nanoparticles formed by agglomerates of spherical particles with a size of 100 nm. Therefore, HAP nanocrystals produced in this work have a compatible size with the natural materials of the bone.
Figure 3.
TEM images of hydroxyapatite derived from eggshell waste.
3.2. Batch Adsorption Studies
3.2.1. Retention Profile of Ceph from Aqueous Solution onto HAP
The solution pH is one of the essential parameters for achieving adsorption and recovery of heavy metal ions, dyes, and antibiotics. The sorption profile of aqueous solutions containing Ceph at various pH values by HAP solid phase was studied critically after shaking for 120 min at room temperature. The amount of Ceph in the aqueous phase following the equilibrium was photometrically determined [47]. The sorption percentage of Ceph sorption onto HAP increased noticeably with the increase in the pH of the solution to pH = 7. After that, the percentage decreased with the pH increase; representative data are shown in Figure 4a. Thus, pH 7 was chosen as an optimal value in the subsequent study.
Figure 4.
Effects of the solution pH (a), HAP mass (b), time (c), temperature (d), and initial concentration (e) on the adsorption percentage of Ceph from aqueous solutions onto HAP.
The mass effect of HAP on Ceph adsorption from a 10 mg/L aqueous solution is shown in Figure 4b. It shows that the percentage that was removed from the aqueous solution was increased from 62.3 to 90.6% as the HAP dose increased from 25 to 250 mg.
The contact time between the adsorbent and adsorbate is a key factor in removing any pollutants from the environment through adsorption. The effects of contact time on removing Ceph by HAP were investigated, and the results are illustrated in Figure 4c. The figure shows that the increase in contact time increased in the adsorption process. This effect was particularly observed during the first 60 min, where the majority of the Ceph was adsorbed. The percentage of Ceph removal reached equilibrium within 100 min. This indicates that the adsorption of Ceph on HAP occurred in two successive steps: the first was the fastest, which transferred Ceph species from the aqueous phase to the external surface of HAP, while the second was the slower step, in which Ceph species diffuse between HAP bundles. Additionally, the effects of the temperature on the adsorption process were studied. Four different temperatures (293, 303, 313, and 323 K) were tested at constant shaking time. It was noted that the significant increase in the temperature of the solution from 293 to 323 K is related to a considerable increase in the Ceph removal ratio, as seen in Figure 4d. These results suggest an endothermic nature of this process of adsorption.
The Ceph profile of retention was studied over a wide variety of the equilibrium concentration values (10–70 mg/L) from the aqueous solutions of pH = 7. Figure 4e shows the relationship between Ceph species that adsorbed onto HAP and the corresponding concentration in an aqueous solution. The preferable Ceph sorption onto HAP was accomplished from more dilute aqueous solutions. The removal values are reduced with an increase in the concentration of Ceph, and the HAP membranes become more saturated with retained Ceph. The Ceph removal on HAP was compared with other related materials, as listed in Table 1.
Table 1.
Removal efficiency comparison of Ceph on HAP with other related materials.
3.2.2. Kinetic Behavior of Ceph Sorption onto HAP
The sorption kinetic of pollutants, for example, Ceph species from aqueous solution by solid sorbent, is a significant key since it provides important information about the reaction pathways and the mechanism of the sorption steps. Film diffusion and intraparticle diffusion regulate the general transport rate, and the faster one controls the retention of Ceph species sorption onto the solid phase HAP. From the effect of the shaking time, this conclusion was supported by calculating the half-life time (t1/2) of Ceph sorption from aqueous solutions onto HAP. The t1/2 values were computed from plots of log C/Co vs. the time of Ceph sorption onto HAP. The value of t1/2 was 1.4 ± 0.05 min, in agreement with values of t1/2 reported earlier [56]. The kinetics of Ceph species sorption onto the HAP sorbent are affected by the film and intra-particle diffusion, controlling the total transportation rate. The sorbed Ceph species onto the sorbent underwent the Weber–Morris model [57]:
where Kd represents the rate constant of the intraparticle diffusion and qt represents the sorbed Ceph concentration at time t. The qt plot vs. time is exhibited in Figure 5a. Kd and C values computed from the two distinct Weber–Morris plot slopes (Figure 5a) for the Ceph were 0.24 and 0.09 mg/g, respectively, with R2 = 0.969 correlation coefficient.
Figure 5.
Weber–Morris (a), fractional power model (b), Lagergren (c), pseudo-second-order (d), and Elovich model (e) plots for Ceph uptake onto HAP.
The fractional power function kinetics model may be represented by following Equation (4) [58]:
qt (mg/g) represents the amount of Ceph species that adsorbed per HAP unit mass at any time t, whereas a and b represent coefficients. The application of the fractional power function equation to the experimental data of the adsorption process can be seen in Figure 5b. Data came well together with the correlation coefficient (R2) value 0.989 for the Ceph, and the values of a and b are shown in Table 2. These data can indicate that the function of the fractional power kinetics model is not suitable for the description of Ceph species adsorption by the HAP.
Table 2.
Kinetic model parameters of Ceph adsorption on HAP at 293 K.
Moreover, the Lagergren equation is a very common equation that describes the adsorption rate. The variations of Ceph species sorption from aqueous media onto the HAP solid phase were subjected to the Lagergren Equation (5) as follows [59]:
qe represents the amount of the sorbed Ceph species at the equilibrium per sorbent unit mass; KLag represents the first-order overall rate constant for the retention process; and t represents time. The plot of log (qe – qt) vs. time (Figure 5c) was linear, and the calculated values of KLag and qe were equal to 0.037 min−1 and 2.4 mg/g, respectively, with the correlation coefficient (R2 = 0.985). These data do not confirm the first-order kinetics of Ceph species sorption onto the utilized solid sorbent HAP [60].
In addition, the pseudo-second-order equation was interpreted, where the concentration of the adsorbate is a constant in the time, and the total number of the binding sites is dependent upon the adsorbate amount that adsorbed at the equilibrium. Equation (6) represents the linearized pseudo-second-order rate form [61,62,63]:
where KS is the pseudo-second-order rate of the sorption, and qe and qt represent the adsorbed amounts per unit mass at the equilibrium and at any time, respectively. Considering those circumstances, the plot of t/qt vs. t was linear, as shown in Figure 5d. The equilibrium capacity (qe) and second-order rate constant (KS) for Ceph species were estimated from the slope and intercept for the Ceph as 2.1 × 10−2 g/mg min−1 and 3.9 mg/g, respectively, with perfect correlation (R2 = 0.999). To double confirm the best fit of this model, MSE, RMSE, SEP, and AARD were calculated and found to be 0.110772, 0.332825, and 1.04%. These low values, especially AARD (1.04%), confirm that pseudo-second-order is the best fitting model among the applied models. All experimental data fit with sufficient values of agreement and pseudo-second-order rate constant values (k2), which are usually dependent upon experimental conditions such as the initial concentration of the metal, temperature, and solution pH.
The adsorption rate also might be represented by the Elovich model, which is fundamentally applicable to the kinetics of the chemisorption and typically valid for the systems where the adsorption surface is heterogeneous as follows:
where α (g/mg/min) represents the initial adsorption rate, and β (mg/g/min) represents the desorption coefficient. The plot of qt vs. ln t is linear in Figure 5e. Elovich parameters α and β calculated from intercepts and slopes were 8.74 g/mg/min and 0.555 mg/g/min, respectively, with R2 = 0.978 for Ceph adsorbed onto HAP.
According to the above kinetic results that were utilized for fitting the adsorption of the Ceph species experimental data of fractional power function, Lagergren’s pseudo-first-order, pseudo-second-order, and Elovich models and depending upon values of correlation-coefficient (shown in Table 2), it can be concluded that the pseudo-second-order kinetic model is defined as the most suitable kinetic model for the description of Ceph species adsorption on HAP from an aqueous solution.
3.2.3. Sorption Isotherms of Ceph onto HAP Sorbents
Sorption isotherms were utilized to describe the Ceph interaction mechanism on the sorbent surface. According to the sorption system nature, equilibrium research is beneficial for calculating the maximal HAP sorption capacity toward Ceph, and they specify a few significant surface characteristics of the tested sorbent. The retention profiles over different equilibrium concentration values (10–70 mg/L) from aqueous Ceph solutions onto the utilized sorbent at the optimal conditions were studied.
The plot of the Ceph amount retained onto HAP vs. equilibrium concentrations of Ceph in the solution is illustrated in Figure 6a. At moderate concentration levels of the analyte, the amount of Ceph varied linearly with the Ceph remaining in the solution. A sorption capacity of 12.69 ± 0.3 mg/g of Ceph onto HAP was achieved.
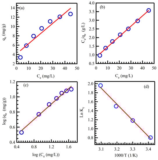
Figure 6.
The plot qe vs. Ce (a), Langmuir (b), Freundlich (c), and ln Kc vs. 1000/T of Ceph onto HAP(d).
The retention of Ceph onto the HAP sorbent was subjected to the Langmuir isotherm model, which is expressed in a linear form, as shown in Equation (8):
where Ce represents the concentration of equilibrium (mg/L) of Ceph in the test solution, and qe represents the amount of Ceph retained to HAP per unit mass. Constant qmax represents the Langmuir parameter that is associated with the maximal capacity of the adsorption of the solute per unit mass of the adsorbent that is needed for the monolayer coverage of the surface, and constant KL represents the equilibrium constant that is associated with the binding energy of solute sorption, which does not depend on the temperature. The plot of Ce/qe vs. Ce over the whole Ceph concentration range onto the HAP was linear, which may be observed from Figure 6b with (R2 = 0.996), which indicates that Ceph adsorption onto HAP followed the Langmuir model. Further to R2 value, the very low AARD value (0.32%) confirmed that the Langmuir isotherm model is the best fitting model. qmax and KL values, as computed from the slope and intercept of the linear plot, were equal to 16.67 ± 0.03 mmol/g and 0.07 ± 0.01 L/mol, respectively.
The retention behavior of Ceph from the aqueous solution onto utilized sorbents was subjected to the Freundlich model that is expressed in the following linear form [64]:
where A and 1/n are the Freundlich parameters that are associated with the maximal capacity of sorption of the solute (mg/g); qe represents retained Ceph concentration onto HAP per unit mass (mg/g) at the equilibrium; and Ce is the Ceph concentration left in aqueous solution (mg/L) (Figure 6c). The values of Freundlich’s parameters computed from the intercept and the slope of Figure 6c were 1.95 and 0.51. The value of 1/n > 1 indicates the unfavorable sorption of Ceph by the HAP, and this model is most likely unsuitable for fitting well to the data.
3.3. Thermodynamic Properties of Ceph Retention onto HAP
The significant sorption of Ceph onto HAP was studied over different temperatures (293–323 K) to determine Ceph species retention onto HAP. The thermodynamic parameters (ΔS, ΔH, and ΔG) were assessed with the use of the following equations [65]:
where ΔS, ΔH, and ΔG represent entropy, enthalpy, and Gibbs free energy changes, respectively. T represents temperature in K; R represents gas constant (≈8.314 J/K.mol); and KC represents equilibrium constant. The values of KC for the retention of Ceph from the aqueous test solution at the equilibrium onto solid sorbent were estimated with the use of the following equation:
where Ce represents the Ceph equilibrium concentration in the aqueous solution (mg/L) and Ca represents the Ceph amount that was adsorbed onto solid-phase per liter at equilibrium (mg/L). The plot of ln KC vs. 1000/T for retention of Ceph onto HAP solid phase was linear (Figure 6d) over the range of temperatures. The equilibrium constant increased with the temperature increase, revealing that the retention of Ceph onto the utilized sorbents is endothermic. The numerical ΔH, ΔS, and ΔG values for Ceph retention that were computed from the slope and intercept of the linear plot of ln KC versus 1000/T (Figure 6d) and found to be 29.70 ± 0.2 kJ/mol, 107.9 ± 0.4 J/mol/K, and −1.94 ± 0.1 kJ/mol (at 293 K), respectively. The positive ΔH value shows the endothermic nature of the uptake process and reflects differences in the bond energy between the analyte and sorbent. The positive value of ΔS for the solid-phase HAP suggested an increase in freedom degree at the solid–liquid interface, which is mainly encountered in the Ceph species binding due to the release of the water molecules of the water hydration sphere throughout the processes of the adsorption. The negative ΔG value at 293 K for the formed solid-phase implies the physical and spontaneous sorption of the Ceph species retention nature onto the HAP.
4. Conclusions
The recycled eggshell was used to successfully produce HAP powders with nano-sized particles of approximately 100 nm using phosphate solution via a simple wet chemical precipitation approach. XRD and TEM characterized the HAP solid adsorbent. The powder produced was a high-purity ceramic calcium phosphate substance. Based on the present findings, eggshell waste material is affordable and may be a potential option for high-volume HAP powder production. The removal of Ceph species from the aqueous solutions using HAP was investigated. The impacts of the variation of the experimental parameters influencing Ceph removal/adsorption from aqueous solution by HAP such as the pH, the HAP mass, solution temperature, contact time, and Ceph concentration were observed. Results showed that the efficiency of removing 10 mg/L of the concentration of Ceph on 50 mg mass of HAP per 25 mL in pH = 7 for 60 min shaking time and temperature at 293 K was 70.70%. The Ceph species adsorption kinetics by HAP was researched thoroughly using various kinetic models, and results showed that the pseudo-second-order model is considered the most appropriate model, identified by maximum correlation coefficient values. The thermodynamic study of the removal process showed that the process of adsorption is spontaneous with the increase in the temperature of the solution, the endothermic nature with a positive entropy value, and the interaction of the Ceph species with HAP is electrostatic and physical. Based on the findings of this study, future work on this area might consider functionalization of the HAP with some groups or nanoparticles impregnations to make it more effective in metal ion capture. These HAP-based nanocomposites are promising for other antibiotics, heavy metals, and organic dye removal.
Author Contributions
Conceptualization, H.S.A. and N.A.; methodology, H.S.A., S.A.Y. and M.Y.K.; software, S.A.Y.; validation, H.S.A. and M.Y.K.; formal analysis, N.A. and M.Y.K.; investigation, H.S.A.; resources, N.A.; data curation, H.S.A., and S.A.Y.; writing—original draft preparation, H.S.A. and G.A.M.A.; writing—review and editing, H.S.A. and G.A.M.A.; visualization, G.A.M.A.; supervision, G.A.M.A.; project administration, H.S.A., S.A.Y. and G.A.M.A. All authors have read and agreed to the published version of the manuscript.
Funding
This research received no external funding. And The APC was funded by the authors themselves.
Data Availability Statement
The data presented in this study are available in the article.
Acknowledgments
The authors are grateful to the University of Hull for using XRD and TEM facilities. In addition, the authors thank the University of Dohuk for completing the experimental component, especially at the UoD PEER Project. Suhad A. Yasin thanks for the financial support provided by the USAID Partnerships for Enhanced Engagement in Research (PEER) Program. It is an international grant program that funds scientists and engineers in developing countries who collaborate with U.S. government-funded researchers to address global challenges. The program is administered by the National Academies of Sciences, Engineering, and Medicine of the United States (NASEM), PEER/Iraq project/cycle 6.
Conflicts of Interest
The authors declare no conflict of interest.
References
- Bound, J.P.; Kitsou, K.; Voulvoulis, N. Household disposal of pharmaceuticals and perception of risk to the environment. Environ. Toxicol. Pharmacol. 2006, 21, 301–307. [Google Scholar] [CrossRef]
- Bilal, M.; Mehmood, S.; Rasheed, T.; Iqbal, H.M.N. Antibiotics traces in the aquatic environment: Persistence and adverse environmental impact. Curr. Opin. Environ. Sci. Health 2020, 13, 68–74. [Google Scholar] [CrossRef]
- Afsa, S.; Hamden, K.; Martin, P.A.L.; Mansour, H.B. Occurrence of 40 pharmaceutically active compounds in hospital and urban wastewaters and their contribution to Mahdia coastal seawater contamination. Environ. Sci. Pollut. Res. 2020, 27, 1941–1955. [Google Scholar] [CrossRef]
- Liu, H.; Liu, W.; Zhang, J.; Zhang, C.; Ren, L.; Li, Y. Removal of cephalexin from aqueous solutions by original and Cu (II)/Fe (III) impregnated activated carbons developed from lotus stalks Kinetics and equilibrium studies. J. Hazard. Mater. 2011, 185, 1528–1535. [Google Scholar] [CrossRef]
- Harrison, C.J.; Bratcher, D. Cephalosporins: A review. Pediatrics Rev. 2008, 29, 264. [Google Scholar] [CrossRef] [Green Version]
- Bottoni, P.; Caroli, S. Presence of residues and metabolites of pharmaceuticals in environmental compartments, food commodities and workplaces: A review spanning the three-year period 2014–2016. Microchem. J. 2018, 136, 2–24. [Google Scholar] [CrossRef]
- Sivagami, K.; Vignesh, V.J.; Srinivasan, R.; Divyapriya, G.; Nambi, I.M. Antibiotic usage, residues and resistance genes from food animals to human and environment: An Indian scenario. J. Environ. Chem. Eng. 2020, 8, 102221. [Google Scholar] [CrossRef]
- Mirzaei, R.; Yunesian, M.; Nasseri, S.; Gholami, M.; Jalilzadeh, E.; Shoeibi, S.; Mesdaghinia, A. Occurrence and fate of most prescribed antibiotics in different water environments of Tehran, Iran. Sci. Total Environ. 2018, 619, 446–459. [Google Scholar] [CrossRef]
- Vobecká, L.; Tichá, L.; Atanasova, A.; Slouka, Z.; Hasal, P.; Přibyl, M. Enzyme synthesis of cephalexin in continuous-flow microfluidic device in ATPS environment. Chem. Eng. J. 2020, 396, 125236. [Google Scholar] [CrossRef]
- Seid-Mohammadi, A.; Asgarai, G.; Ghorbanian, Z.; Dargahi, A. The removal of cephalexin antibiotic in aqueous solutions by ultrasonic waves/hydrogen peroxide/nickel oxide nanoparticles (US/H2O2/NiO) hybrid process. Sep. Sci. Technol. 2020, 55, 1558–1568. [Google Scholar] [CrossRef]
- Basturk, I.; Varank, G.; Murat-Hocaoglu, S.; Yazici-Guvenc, S.; Can-Güven, E.; Oktem-Olgun, E.E.; Canli, O. Simultaneous degradation of cephalexin, ciprofloxacin, and clarithromycin from medical laboratory wastewater by electro-Fenton process. J. Environ. Chem. Eng. 2021, 9, 104666. [Google Scholar] [CrossRef]
- Zhao, R.; Ma, T.; Zhao, S.; Rong, H.; Tian, Y.; Zhu, G. Uniform and stable immobilization of metal-organic frameworks into chitosan matrix for enhanced tetracycline removal from water. Chem. Eng. J. 2020, 382, 122893. [Google Scholar] [CrossRef]
- Rathi, B.S.; Kumar, P.S. Application of adsorption process for effective removal of emerging contaminants from water and wastewater. Environ. Pollut. 2021, 280, 116995. [Google Scholar] [CrossRef]
- Naeem, H.; Ajmal, M.; Qureshi, R.B.; Muntha, S.T.; Farooq, M.; Siddiq, M. Facile synthesis of graphene oxide–silver nanocomposite for decontamination of water from multiple pollutants by adsorption, catalysis and antibacterial activity. J. Environ. Manag. 2019, 230, 199–211. [Google Scholar] [CrossRef]
- Krasucka, P.; Pan, B.; Ok, Y.S.; Mohan, D.; Sarkar, B.; Oleszczuk, P. Engineered biochar–A sustainable solution for the removal of antibiotics from water. Chem. Eng. J. 2021, 405, 126926. [Google Scholar] [CrossRef]
- Nazari, G.; Abolghasemi, H.; Esmaieli, M. Batch adsorption of cephalexin antibiotic from aqueous solution by walnut shell-based activated carbon. J. Taiwan Inst. Chem. Eng. 2016, 58, 357–365. [Google Scholar] [CrossRef]
- Mohammed, A.A.; Al-Musawi, T.J.; Kareem, S.L.; Zarrabi, M.; Al-Ma’abreh, A.M. Simultaneous adsorption of tetracycline, amoxicillin, and ciprofloxacin by pistachio shell powder coated with zinc oxide nanoparticles. Arab. J. Chem. 2020, 13, 4629–4643. [Google Scholar] [CrossRef]
- Gashtasbi, F.; Yengejeh, R.J.; Babaei, A.A. Photocatalysis assisted by activated-carbon-impregnated magnetite composite for removal of cephalexin from aqueous solution. Korean J. Chem. Eng. 2018, 35, 1726–1734. [Google Scholar] [CrossRef]
- Fernandez-Garcia, M.; Martinez-Arias, A.; Hanson, J.C.; Rodriguez, J.A. Nanostructured oxides in chemistry: Characterization and properties. Chem. Rev. 2004, 104, 4063–4104. [Google Scholar] [CrossRef]
- Singh, A.; Gautam, P.K.; Verma, A.; Singh, V.; Shivapriya, P.M.; Shivalkar, S.; Sahoo, A.K.; Samanta, S.K. Green synthesis of metallic nanoparticles as effective alternatives to treat antibiotics resistant bacterial infections: A review. Biotechnol. Rep. 2020, 25, e00427. [Google Scholar] [CrossRef]
- Habeeb, O.A.; Ramesh, K.; Ali, G.A.M.; Yunus, R.M. Low-cost and eco-friendly activated carbon from modified palm kernel shell for hydrogen sulfide removal from wastewater: Adsorption and kinetic studies. Desalination Water Treat. 2017, 84, 205–214. [Google Scholar] [CrossRef] [Green Version]
- Ali, G.A.M.; Habeeb, O.A.; Algarni, H.; Chong, K.F. CaO impregnated highly porous honeycomb activated carbon from agriculture waste: Symmetrical supercapacitor study. J. Mater. Sci. 2018, 54, 683–692. [Google Scholar] [CrossRef]
- Habeeb, O.A.; Ramesh, K.; Ali, G.A.M.; Yunus, R.M. Application of response surface methodology for optimization of palm kernel shell activated carbon preparation factors for removal of H2S from industrial wastewater. J. Teknol. 2017, 79, 1–10. [Google Scholar] [CrossRef] [Green Version]
- Ummartyotin, S.; Pechyen, C. Strategies for development and implementation of bio-based materials as effective renewable resources of energy: A comprehensive review on adsorbent technology. Renew. Sustain. Energy Rev. 2016, 62, 654–664. [Google Scholar] [CrossRef]
- Irtiseva, K.; Lapkovskis, V.; Mironovs, V.; Ozolins, J.; Thakur, V.K.; Goel, G.; Baronins, J.; Shishkin, A. Towards Next-Generation Sustainable Composites Made of Recycled Rubber, Cenospheres, and Biobinder. Polymers 2021, 13, 574. [Google Scholar] [CrossRef]
- Sultan, M. Hydroxyapatite/polyurethane composites as promising biomaterials. Chem. Pap. 2018, 72, 2375–2395. [Google Scholar] [CrossRef]
- Ragab, A.; Ahmed, I.; Bader, D. The removal of brilliant green dye from aqueous solution using nano hydroxyapatite/chitosan composite as a sorbent. Molecules 2019, 24, 847. [Google Scholar] [CrossRef] [Green Version]
- Bee, S.-L.; Hamid, Z.A.A. Hydroxyapatite derived from food industry bio-wastes: Syntheses, properties and its potential multifunctional applications. Ceram. Int. 2020, 46, 17149–17175. [Google Scholar] [CrossRef]
- Habeeb, O.A.; Ramesh, K.; Ali, G.A.M.; Yunus, R.M. Isothermal modelling based experimental study of dissolved hydrogen sulfide adsorption from waste water using eggshell based activated carbon. Malays. J. Anal. Sci. 2017, 21, 334–345. [Google Scholar]
- AbdelGhany, G.S.; Ebrahiem, E.E.; Mohamed, H.F.M.; Ali, G.A.M.; Shehata, N. Eco-friendly activated carbon developed from rice hulls for chromium and iron ion removal. J. Environ. Eng. Sci. 2021, 40, 1–14. [Google Scholar] [CrossRef]
- Moosavi, S.; Lai, C.W.; Akbarzadeh, O.; Johan, M.R. Recycled Activated Carbon-Based Materials for the Removal of Organic Pollutants from Wastewater. In Waste Recycling Technologies for Nanomaterials Manufacturing; Makhlouf, A.S.H., Ali, G.A.M., Eds.; Springer International Publishing: Cham, Switzerland, 2021; pp. 513–539. [Google Scholar] [CrossRef]
- Ali, G.A.M.; Makhlouf, A.S.H. Fundamentals of Waste Recycling for Nanomaterial Manufacturing. In Waste Recycling Technologies for Nanomaterials Manufacturing; Makhlouf, A.S.H., Ali, G.A.M., Eds.; Springer International Publishing: Cham, Switzerland, 2021; pp. 3–24. [Google Scholar] [CrossRef]
- Akram, M.; Ahmed, R.; Shakir, I.; Ibrahim, W.A.W.; Hussain, R. Extracting hydroxyapatite and its precursors from natural resources. J. Mater. Sci. 2014, 49, 1461–1475. [Google Scholar] [CrossRef]
- Esmaeilkhanian, A.; Sharifianjazi, F.; Abouchenari, A.; Rouhani, A.; Parvin, N.; Irani, M. Synthesis and characterization of natural nano-hydroxyapatite derived from turkey femur-bone waste. Appl. Biochem. Biotechnol. 2019, 189, 919–932. [Google Scholar] [CrossRef] [PubMed]
- Ummartyotin, S.; Manuspiya, H. Eggshell waste: An effective source of hydroxyapatite for photocatalyst. J. Met. Mater. Miner. 2018, 28, 124–135. [Google Scholar]
- Boonyang, U.; Chaopanich, P.; Wongchaisuwat, A.; Senthongkaew, P.; Siripaisarnpipat, S. Effect of phosphate precursor on the production of hydroxyapatite from crocodile eggshells. J. Biomim. Biomater. Tissue Eng. 2010, 5, 31–37. [Google Scholar] [CrossRef]
- Kamalanathan, P.; Ramesh, S.; Bang, L.T.; Niakan, A.; Tan, C.Y.; Purbolaksono, J.; Chandran, H.; Teng, W.D. Synthesis and sintering of hydroxyapatite derived from eggshells as a calcium precursor. Ceram. Int. 2014, 40, 16349–16359. [Google Scholar] [CrossRef]
- Chaudhuri, B.; Mondal, B.; Modak, D.K.; Pramanik, K.; Chaudhuri, B.K. Preparation and characterization of nanocrystalline hydroxyapatite from egg shell and K2HPO4 solution. Mater. Lett. 2013, 97, 148–150. [Google Scholar] [CrossRef]
- Ummartyotin, S.; Tangnorawich, B. Utilization of eggshell waste as raw material for synthesis of hydroxyapatite. Colloid Polym. Sci. 2015, 293, 2477–2483. [Google Scholar] [CrossRef]
- Sadegh, H.; Ali, G.A.M.; Agarwal, S.; Gupta, V.K. Surface Modification of MWCNTs with carboxylic-to-amine and their superb adsorption performance. Int. J. Environ. Res. 2019, 13, 523–531. [Google Scholar] [CrossRef]
- Agarwal, S.; Sadegh, H.; Monajjemi, M.; Makhlouf, A.S.H.; Ali, G.A.M.; Memar, A.O.H.; Shahryari-ghoshekandi, R.; Tyagi, I.; Gupta, V.K. Efficient removal of toxic bromothymol blue and methylene blue from wastewater by polyvinyl alcohol. J. Mol. Liq. 2016, 218, 191–197. [Google Scholar] [CrossRef] [Green Version]
- Gupta, V.K.; Agarwal, S.; Sadegh, H.; Ali, G.A.M.; Bharti, A.K.; Hamdy, A.S. Facile route synthesis of novel graphene oxide-β-cyclodextrin nanocomposite and its application as adsorbent for removal of toxic bisphenol A from the aqueous phase. J. Mol. Liq. 2017, 237, 466–472. [Google Scholar] [CrossRef] [Green Version]
- Sadegh, H.; Ali, G.A.M.; Makhlouf, A.S.H.; Chong, K.F.; Alharbi, N.S.; Agarwal, S.; Gupta, V.K. MWCNTs-Fe3O4 nanocomposite for Hg(II) high adsorption efficiency. J. Mol. Liq. 2018, 258, 345–353. [Google Scholar] [CrossRef]
- Maleki, A.; Safdari Shadloo, M.; Rahmat, A. Application of Artificial Neural Networks for Producing an Estimation of High-Density Polyethylene. Polymers 2020, 12, 2319. [Google Scholar] [CrossRef] [PubMed]
- Aqliliriana, C.M.; Ernee, N.M.; Irmawati, R. Preparation and characterization of modified calcium oxide from natural sources and their application in the transesterification of palm oil. Int. J. Sci. Technol. Res. 2015, 4, 168–175. [Google Scholar]
- Kaya, I.; Şahin, M.C.; Cingöz, İ.D.; Aydin, N.; Atar, M.; KizmazoĞLu, C.; Kavuncu, S.; Aydin, H.E. Three dimensional printing and biomaterials in the repairment of bone defects; hydroxyapatite PLA filaments. Turk. J. Med. Sci. 2019, 49, 922–927. [Google Scholar] [CrossRef]
- Dastgheib, S.A.; Rockstraw, D.A. A systematic study and proposed model of the adsorption of binary metal ion solutes in aqueous solution onto activated carbon produced from pecan shells. Carbon 2002, 40, 1853–1861. [Google Scholar] [CrossRef]
- Rusu, L.; Grigoraș, C.G.; Simion, A.I.; Suceveanu, E.M.; Șuteu, D.; Harja, M. Application of saccharomyces cerevisiae/calcium alginate composite beads for cephalexin antibiotic biosorption from aqueous solutions. Materials 2021, 14, 4728. [Google Scholar] [CrossRef]
- Tavasol, F.; Tabatabaie, T.; Ramavandi, B.; Amiri, F. Photocatalyst production from wasted sediment and quality improvement with titanium dioxide to remove cephalexin in the presence of hydrogen peroxide and ultrasonic waves: A cost-effective technique. Chemosphere 2021, 284, 131337. [Google Scholar] [CrossRef]
- Al-Gheethi, A.; Lalung, J.; Noman, E.; Ismail, N. Removal of cephalexin antibiotic and heavy metals from pharmaceutical effluents using Bacillus subtilis strain. Expert Opin. Environ. Biol. 2015, 4, 2. [Google Scholar]
- Mohseni-Bandpi, A.; Al-Musawi, T.J.; Ghahramani, E.; Zarrabi, M.; Mohebi, S.; Vahed, S.A. Improvement of zeolite adsorption capacity for cephalexin by coating with magnetic Fe3O4 nanoparticles. J. Mol. Liq. 2016, 218, 615–624. [Google Scholar] [CrossRef]
- Pouretedal, H.R.; Sadegh, N. Effective removal of amoxicillin, cephalexin, tetracycline and penicillin G from aqueous solutions using activated carbon nanoparticles prepared from vine wood. J. Water Process Eng. 2014, 1, 64–73. [Google Scholar] [CrossRef]
- Jin, Y.; Ni, Y.; Pudukudy, M.; Zhang, H.; Wang, H.; Jia, Q.; Shan, S. Synthesis of nanocrystalline cellulose/hydroxyapatite nanocomposites for the efficient removal of chlortetracycline hydrochloride in aqueous medium. Mater. Chem. Phys. 2022, 275, 125135. [Google Scholar] [CrossRef]
- Martínez-Olivas, A.; Torres-Pérez, J.; Balderas-Hernández, P.; Reyes-López, S.Y. Oxytetracycline Sorption onto Synthetized Materials from Hydroxyapatite and Aluminosilicates. Water Air Soil Pollut. 2020, 231, 264. [Google Scholar] [CrossRef]
- Chen, Y.; Lan, T.; Duan, L.; Wang, F.; Zhao, B.; Zhang, S.; Wei, W. Adsorptive removal and adsorption kinetics of fluoroquinolone by nano-hydroxyapatite. PLoS ONE 2015, 10, e0145025. [Google Scholar] [CrossRef]
- Al-Saidi, H.M.; Abdel-Fadeel, M.A.; El-Sonbati, A.Z.; El-Bindary, A.A. Multi-walled carbon nanotubes as an adsorbent material for the solid phase extraction of bismuth from aqueous media: Kinetic and thermodynamic studies and analytical applications. J. Mol. Liq. 2016, 216, 693–698. [Google Scholar] [CrossRef]
- Campos, N.F.; Barbosa, C.M.B.M.; Rodríguez-Díaz, J.M.; Duarte, M.M.M.B. Removal of naphthenic acids using activated charcoal: Kinetic and equilibrium studies. Adsorpt. Sci. Technol. 2018, 36, 1405–1421. [Google Scholar] [CrossRef] [Green Version]
- Dalal, R.C. Desorption of soil phosphate by anion-exchange resin. Commun. Soil Sci. Plant Anal. 1974, 5, 531–538. [Google Scholar] [CrossRef]
- Abdel Salam, M. Removal of heavy metal ions from aqueous solutions with multi-walled carbon nanotubes: Kinetic and thermodynamic studies. Int. J. Environ. Sci. Technol. 2013, 10, 677–688. [Google Scholar] [CrossRef]
- Salam, M.A.; Lateefa, A.; Abdel-Fadeel, M.A. Removal of toxic ammonium ions from water using nanographene sheets. Desalination Water Treat. 2018, 129, 168–176. [Google Scholar] [CrossRef]
- Sadegh, H.; Ali, G.A.M.; Nia, H.J.; Mahmoodi, Z. Nanomaterial Surface Modifications for Enhancement of the Pollutant Adsorption From Wastewater. In Nanotechnology Applications in Environmental Engineering; IGI Global: Hershey, PA, USA, 2019; p. 143. [Google Scholar]
- Arabi, S.M.S.; Lalehloo, R.S.; Olyai, M.R.T.B.; Ali, G.A.M.; Sadegh, H. Removal of congo red azo dye from aqueous solution by ZnO nanoparticles loaded on multiwall carbon nanotubes. Phys. E Low-Dimens. Syst. Nanostructures 2019, 106, 150–155. [Google Scholar] [CrossRef]
- Sadegh, H.; Ali, G.A.M.; Abbasi, Z.; Nadagoud, M.N. Adsorption of Ammonium Ions onto Multi-Walled Carbon Nanotubes. Studia Univ. Babes-Bolyai Chem. 2017, 62, 233–245. [Google Scholar] [CrossRef]
- Reichenberg, D. Properties of ion-exchange resins in relation to their structure. III. Kinetics of exchange. J. Am. Chem. Soc. 1953, 75, 589–597. [Google Scholar] [CrossRef]
- Hameed, S.A.; Abdel-Fadeel, M.A.; Al-Saidi, H.M.; Salam, M.A. Simultaneous removal of the toxic tungsten ions and rhodamine B dye by graphene nanosheets from model and real water. Desalination Water Treat. 2020, 188, 266–276. [Google Scholar] [CrossRef]
Publisher’s Note: MDPI stays neutral with regard to jurisdictional claims in published maps and institutional affiliations. |
© 2022 by the authors. Licensee MDPI, Basel, Switzerland. This article is an open access article distributed under the terms and conditions of the Creative Commons Attribution (CC BY) license (https://creativecommons.org/licenses/by/4.0/).





