Analysis of Occurrence of Deep Coalbed Methane and Its “Desorption–Diffusion–Seepage” Process
Abstract
1. Introduction
2. Geological Background
3. Methods and Samples
4. Result and Discussion
4.1. Adsorption Characteristics


4.2. Adsorption Characteristic Control Factors
4.2.1. Coal Metamorphism Degree
4.2.2. Ash Yield
4.2.3. In Situ Temperature and Pressure Conditions
4.3. Desorption Characteristics
4.4. Diffusion Characteristics of CBM
4.4.1. Diffusion Type
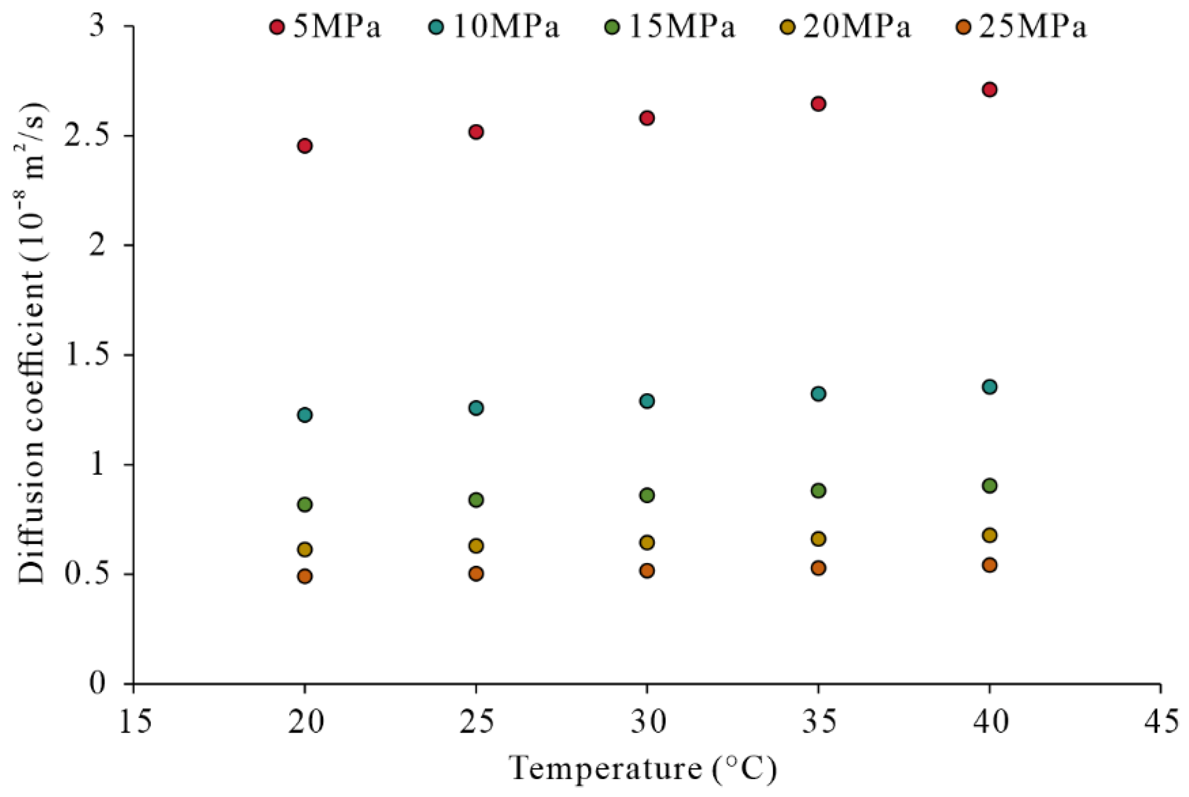
4.4.2. Diffusion Coefficient
4.4.3. CBM Diffusion Mode
4.5. Seepage Characteristics of CBM
- (1)
- Irreducible water saturation (Swi)
- (2)
- Relative permeability of gas at irreducible water saturation Krg(Swi)
- (3)
- Relative permeability at the isotonic point Kx(Sx)
- (4)
- Isotonic point saturation (Sx)
5. Conclusions
Author Contributions
Funding
Data Availability Statement
Conflicts of Interest
References
- Li, S.; Qin, Y.; Tang, D.Z.; Shen, J.; Wang, J.J.; Chen, S.D. A Comprehensive Review of Deep Coalbed Methane and Recent Developments in China. Int. J. Coal Geol. 2023, 279, 104369. [Google Scholar] [CrossRef]
- Zhang, B.; Tao, S.; Yang, F.; Cui, Y.; Jing, Q.H.; Guo, J.; Chen, S.D.; Wen, Y.J.; Men, X.Y. The Genesis and Accumulation Mechanism of CBM in the Typical Mid- to Low-Rank Coal-Bearing Basins. Pet. Sci. 2025, 22, 3069–3085. [Google Scholar] [CrossRef]
- Tao, S.; Tang, D.Z.; Xu, H.; Li, S.; Geng, Y.G.; Zhao, J.L.; Wu, S.; Meng, Q.; Kou, X.; Yang, S.Y.; et al. Fluid Velocity Sensitivity of Coal Reservoir and Its Effect on Coalbed Methane Well Productivity: A Case of Baode Block, Northeastern Ordos Basin, China. J. Pet. Sci. Eng. 2017, 152, 229–237. [Google Scholar] [CrossRef]
- Wen, Y.J.; Tao, S.; Yang, F.; Cui, Y.; Jing, Q.H.; Guo, J.; Chen, S.D.; Zhang, B.; Ye, J.C. Prediction Method of Gas Content in Deep Coal Seams Based on Logging Parameters: A Case Study of the Baijiahai Region in the Junggar Basin. Int. J. Coal Sci. Technol. 2025, 12, 76. [Google Scholar] [CrossRef]
- Geng, M.; Chen, H.; Chen, Y.P.; Zeng, L.J.; Chen, S.S.; Jiang, X.C. Methods and results of the fourth round national CBM resources evaluation. Coal Sci. Technol. 2018, 46, 64–68. [Google Scholar] [CrossRef]
- Guo, Z.Q.; Cao, Y.X.; Zhang, Z.; Dong, S. Geological Controls on the Gas Content and Permeability of Coal Reservoirs in the Daning Block, Southern Qinshui Basin. ACS Omega 2022, 7, 17063–17074. [Google Scholar] [CrossRef]
- Tao, S.; Chen, S.D.; Tang, D.Z.; Zhao, X.; Xu, H.; Li, S. Material Composition, Pore Structure and Adsorption Capacity of Low-Rank Coals around the First Coalification Jump: A Case of Eastern Junggar Basin, China. Fuel 2018, 211, 804–815. [Google Scholar] [CrossRef]
- Tao, S.; Pan, Z.J.; Tang, S.L.; Chen, S.D. Current Status and Geological Conditions for the Applicability of CBM Drilling Technologies in China: A Review. Int. J. Coal Geol. 2019, 202, 95–108. [Google Scholar] [CrossRef]
- Tao, S.; Pan, Z.J.; Chen, S.D.; Tang, S.L. Coal Seam Porosity and Fracture Heterogeneity of Marcolithotypes in the Fanzhuang Block, Southern Qinshui Basin, China. J. Nat. Gas Sci. Eng. 2019, 66, 148–158. [Google Scholar] [CrossRef]
- Ma, L.; Yang, F.; Yang, J.; Cui, Y.; Wang, W.; Liu, C.; Zhang, B.; Yang, J.; Tao, S. Gas Content and Gas Occurrence Mechanism of Deep Coal Seams in the Shenfu-Linxing Block. Energies 2025, 18, 699. [Google Scholar] [CrossRef]
- Tao, S.; Tang, D.; Xu, H.; Gao, L.; Fang, Y. Factors Controlling High-Yield Coalbed Methane Vertical Wells in the Fanzhuang Block, Southern Qinshui Basin. Int. J. Coal Geol. 2014, 134–135, 38–45. [Google Scholar] [CrossRef]
- Pan, Z.J.; Connell, L.D. Modelling Permeability for Coal Reservoirs: A Review of Analytical Models and Testing Data. Int. J. Coal Geol. 2012, 92, 1–44. [Google Scholar] [CrossRef]
- Fu, X.; Chen, S.D.; Yang, F.; Tao, S.; Ma, L.T.; Liu, C.; Yang, J.H.; Cui, Y.; Jing, Q.H.; Gao, W. NMR-Based Quantitative Characterization and Predictive Modeling of Adsorbed and Free Methane in Deep Coal Reservoirs. Fuel 2026, 405, 136655. [Google Scholar] [CrossRef]
- Ma, Z.Y.; Tao, S.; Gao, L.C.; Cui, Y.; Jing, Q.H.; Chen, S.D.; He, W.; Guo, J.; Hai, L.F. Detailed Characterization of Microscopic Pore Structure in Low-Rank Coal: A Case Study of Zhalainuoer Coalfield. Nat. Resour. Res. 2024, 33, 2261–2277. [Google Scholar] [CrossRef]
- Sun, J.; Dong, Y. Middle–Late Triassic sedimentation in the Helanshan tectonic belt: Constrain on the tectono-sedimentary evolution of the Ordos Basin, North China. Geosci. Front. 2019, 10, 213–227. [Google Scholar] [CrossRef]
- Gan, Y.; Zhang, K.; Yao, H. Discussion on potential joint mining of coal measures gases resources in Ordos area, Inner Mongolia. J. China Coal Soc. 2018, 43, 1661–1668. [Google Scholar]
- Xu, C.G.; Ji, H.Q.; Wang, C.W.; Zhu, X.S. Enrichment patterns and exploration countermeasures of deep coalbed methane in the Linxing-Shenfu block on the eastern margin of the Ordos Basin. Coal Geol. Explor. 2024, 52, 1–11. [Google Scholar]
- GB/T 19560-2025; Experimental Method of High-Pressure Isothermal Adsorption to Coal. State Administration for Market Regulation, Standardization Administration of the People’s Republic of China: Beijing, China, 2025.
- Li, Y.; Zhu, Z.T.; Wu, P.; Shen, C.Z.; Gao, J.X. Pressure evolution of gas-bearing systems in the Upper Paleozoic tight reservoirs at the eastern margin of the Ordos Basin. Oil Gas Geol. 2023, 6, 1568. [Google Scholar]
- Feng, X.L.; Wang, X.D.; Luo, J.; Wei, Z.K.; Zong, X.Y.; Guo, S.; Luo, T. Geothermal and Helium Resource Prospects in the Ordos Basin: Insight from the Curie Point Depths. Northwestern Geol. 2025, 58, 22–32. [Google Scholar]
- GB/T 212-2024; Proximate Analysis of Coal. State Administration for Market Regulation, Standardization Administration of the People’s Republic of China: Beijing, China, 2024.
- GB/T 6948-2008; Method of Determining Microscopically the Reflectance of Vitrinite in Coal. State Administration for Market Regulation, Standardization Administration of the People’s Republic of China: Beijing, China, 2008.
- Tao, S.; Wang, Y.B.; Tang, D.Z.; Xu, H.; Lv, Y.M.; He, W.; Li, Y. Dynamic Variation Effects of Coal Permeability during the Coalbed Methane Development Process in the Qinshui Basin, China. Int. J. Coal Geol. 2012, 93, 16–22. [Google Scholar] [CrossRef]
- Meng, Y.J.; Tang, D.Z.; Xu, H.; Qu, Y.J.; Li, Y.; Zhang, W.Z. Division of Coalbed Methane Desorption Stages and Its Significance. Pet. Explor. Dev. 2014, 41, 671–677. [Google Scholar] [CrossRef]
- Shen, J.; Qin, Y.; Fu, X.H.; Wang, G.; Chen, R.; Zhao, L.J. Study of High-Pressure Sorption of Methane on Chinese Coals of Different Rank. Arabian J. Geosci. 2015, 8, 3451–3460. [Google Scholar] [CrossRef]
- Quan, F.K.; Wei, C.T.; Zhang, J.J.; Feng, S.L.; Hao, S.Q.; Lu, G.W.; Hu, Y.B. Study on Desorption and Diffusion Dynamics of Coal Reservoir through Step-by-Step Depressurization Simulation—An Experimental Simulation Study Based on LF-NMR Technology. J. Nat. Gas Sci. Eng. 2020, 75, 103149. [Google Scholar] [CrossRef]
- Peng, Z.; Liu, S.W.; Deng, Z.W.; Feng, H.X.; Xiao, M. Apparent Permeability Model of Coalbed Methane in Moist Coal: Coupling Gas Adsorption and Moisture Adsorption. ACS Omega 2023, 8, 21677–21688. [Google Scholar] [CrossRef]
- Peng, Z.Z.; Liu, S.W.; Long, Y.Q.; Xiao, M.; Feng, H.X. Lattice Boltzmann Simulation of the Kinetics Process of Methane Diffusion with the Adsorption–Desorption Hysteresis Effect in Coal. ACS Omega 2023, 8, 31135–31144. [Google Scholar] [CrossRef] [PubMed]
- Lin, H.F.; Long, H.; Li, S.G.; Bai, Y.; Xiao, T.; Qin, A.L. CH4 Adsorption and Diffusion Characteristics in Stress-Loaded Coal Based on Molecular Simulation. Fuel 2023, 333, 126478. [Google Scholar] [CrossRef]
- Chen, M.J.; Kang, Y.L.; Zhang, T.S.; You, L.J.; Li, X.C.; Chen, Z.X.; Wu, K.L.; Yang, B. Methane Diffusion in Shales with Multiple Pore Sizes at Supercritical Conditions. Chem. Eng. J. 2018, 334, 1455–1465. [Google Scholar] [CrossRef]
- Zhong, Y.; She, J.P.; Zhang, H.; Kuru, E.; Yang, B.; Kuang, J.C. Experimental and Numerical Analyses of Apparent Gas Diffusion Coefficient in Gas Shales. Fuel 2019, 258, 116123. [Google Scholar] [CrossRef]
- Fu, Y.H.; Zhang, R.J.; Jiang, Y.Q.; Fan, X.Y.; Gu, Y.F. Experimental Studies on Pore Structure and the Gas Content Evolution Mechanisms of Shale Gas Reservoirs at Different Burial Depths in the Longmaxi Formation, Southern Sichuan Basin. Appl. Sci. 2023, 13, 13194. [Google Scholar] [CrossRef]
- Reinecke, S.A.; Sleep, B.E. Knudsen Diffusion, Gas Permeability, and Water Content in an Unconsolidated Porous Medium. Water Resour. Res. 2002, 38, 16-1–16-15. [Google Scholar] [CrossRef]
- Lu, X.K.; Tjaden, B.; Bertei, A.; Li, T.; Li, K.; Brett, D.; Shearing, P. 3D Characterization of Diffusivities and Its Impact on Mass Flux and Concentration Overpotential in SOFC Anode. J. Electrochem. Soc. 2017, 164, F188–F195. [Google Scholar] [CrossRef]
- Yang, Y.; Liu, S.M. Estimation and Modeling of Pressure-Dependent Gas Diffusion Coefficient for Coal: A Fractal Theory-Based Approach. Fuel 2019, 253, 588–606. [Google Scholar] [CrossRef]
- Chen, S.D.; Tao, S.; Tang, D.Z. In Situ Coal Permeability and Favorable Development Methods for Coalbed Methane (CBM) Extraction in China: From Real Data. Int. J. Coal Geol. 2024, 284, 104472. [Google Scholar] [CrossRef]









| Temperature °C | Pressure MPa | Different Diffusion Types Affect Pore Diameter (nm) | ||
|---|---|---|---|---|
| Knudsen | Transition | Fick | ||
| 27.2 | 2.8 | 0.23 | 0.23–23.09 | 23.09 |
| 34.4 | 5.5 | 0.12 | 0.12–12.03 | 12.03 |
| 41.6 | 8.2 | 0.08 | 0.08–8.06 | 8.26 |
| 48.8 | 10.9 | 0.06 | 0.06–6.36 | 6.36 |
| 56 | 13.6 | 0.05 | 0.05–5.21 | 5.21 |
| 63.2 | 16.3 | 0.04 | 0.04–4.44 | 4.44 |
| 70.4 | 19 | 0.04 | 0.04–3.89 | 3.89 |
| 77.6 | 21.7 | 0.03 | 0.03–3.48 | 3.48 |
| 84.8 | 24.4 | 0.03 | 0.03–3.16 | 3.16 |
| 92 | 27.1 | 0.03 | 0.03–2.90 | 2.90 |
| Sample | Temperature (°C) | Irreducible Water Saturation (%) | Isotonic Point Saturation (%) | Relative Permeability of Gas (mD) | Average Isotonic Point Relative Permeability (mD) | Two-Phase Region Width (%) |
|---|---|---|---|---|---|---|
| A4 | 30 | 60.24 | 78.20 | 0.60 | 0.13 | 39.76 |
| A4 | 50 | 59.09 | 78.20 | 0.69 | 0.13 | 40.91 |
| A3 | 50 | 54.77 | 76.60 | 0.67 | 0.11 | 45.23 |
| A2 | 50 | 58.75 | 78.10 | 0.68 | 0.12 | 41.25 |
| A1 | 50 | 63.07 | 79.10 | 0.49 | 0.10 | 36.93 |
| A5 | 50 | 58.90 | 77.50 | 0.57 | 0.11 | 41.10 |
Disclaimer/Publisher’s Note: The statements, opinions and data contained in all publications are solely those of the individual author(s) and contributor(s) and not of MDPI and/or the editor(s). MDPI and/or the editor(s) disclaim responsibility for any injury to people or property resulting from any ideas, methods, instructions or products referred to in the content. |
© 2025 by the authors. Licensee MDPI, Basel, Switzerland. This article is an open access article distributed under the terms and conditions of the Creative Commons Attribution (CC BY) license.
Share and Cite
Zhang, B.; Jiang, T.; Niu, L.; Li, S.; Tao, S. Analysis of Occurrence of Deep Coalbed Methane and Its “Desorption–Diffusion–Seepage” Process. Separations 2026, 13, 19. https://doi.org/10.3390/separations13010019
Zhang B, Jiang T, Niu L, Li S, Tao S. Analysis of Occurrence of Deep Coalbed Methane and Its “Desorption–Diffusion–Seepage” Process. Separations. 2026; 13(1):19. https://doi.org/10.3390/separations13010019
Chicago/Turabian StyleZhang, Bingwen, Tao Jiang, Li Niu, Sha Li, and Shu Tao. 2026. "Analysis of Occurrence of Deep Coalbed Methane and Its “Desorption–Diffusion–Seepage” Process" Separations 13, no. 1: 19. https://doi.org/10.3390/separations13010019
APA StyleZhang, B., Jiang, T., Niu, L., Li, S., & Tao, S. (2026). Analysis of Occurrence of Deep Coalbed Methane and Its “Desorption–Diffusion–Seepage” Process. Separations, 13(1), 19. https://doi.org/10.3390/separations13010019
