Study on Separation Density of Feeding Group Particle in the Gas–Solid Separation Fluidized Bed
Abstract
1. Introduction
2. Materials and Methods
2.1. Apparatus and Dense Medium
2.2. Properties of Simulated Feeding Particles
3. Theoretical Analysis of Feeding Group Particle Separation Process
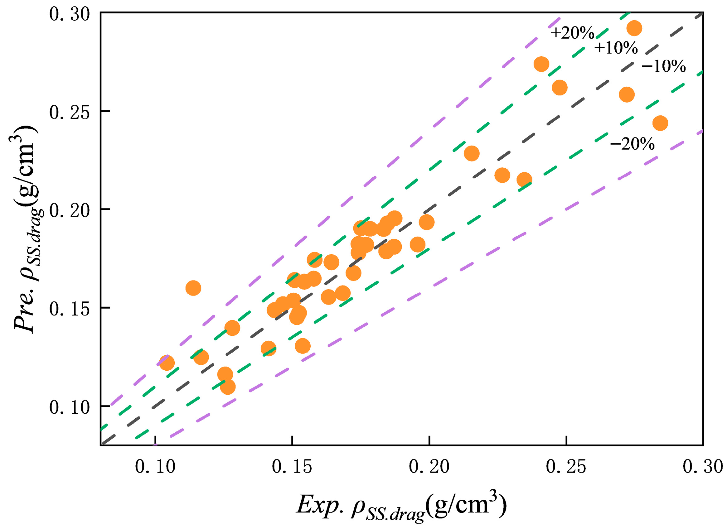
3.1. Density Prediction Model of Spherical Single Feeding Particle
3.2. Bed Voidage
3.3. Bed Density Related to Feeding Particle Group
3.4. Separation Density Related to Feeding Particle Group
3.5. Measurement and Calculation of Experimental Particle Group Separation Density
4. Variation Law of Voidage and Density in the Feeding Group Particle Separation Process Under the Air Drag Force
4.1. Variation Law of Voidage and ρG.drag with the Number of Feeding Particles
4.2. Variation Law of Voidage and ρG.drag with the Density of Feeding Particles
4.3. Variation Law of Voidage and ρG.drag with the Size of Feeding Particles
4.4. Variation Law of Voidage and ρG.drag with the Gas Velocity
4.5. Variation Law of Voidage and ρG.drag with the Bed Height
4.6. Variation Law of Voidage and ρG.drag with the Distance Between Feeding Particles
5. Density Prediction Model and Error Analysis of Feeding Particle Group Under the Air Drag Force
5.1. The ρG.drag Prediction Model of Feeding Particle Groups
5.2. Model Validation and Comparison of ρG.drag
5.3. Verification of Separation Density of Non-Spherical Feeding Group Particle
6. Conclusions
- (1)
- The accuracy of the separation density prediction model for spherical single particles in the gas–solid separation fluidized bed is verified. A calculation method for bed voidage is introduced, and a theoretical calculation method for bed density and separation density after the introduction of feeding particle group related to the bed voidage is established;
- (2)
- The focus is on exploring the variation laws of the ρG.drag and voidage under a different bed height, gas velocity, number, particle density, size, and interparticle distance of the feeding particle group, and establishing the prediction model for the ρG.drag of the feeding particle group with the voidage as a correction factor;
- (3)
- Based on the particle segregation model and the ρG.drag prediction model, the separation density prediction model for the single-component spherical feeding particle group in the gas–solid separation fluidized bed is obtained;
- (4)
- Combined with the spherical coefficient, the separation density model is used to predict the separation density of single-component non-spherical feeding particle groups. The results show that this separation density model has important guiding significance for particle group separation in the gas–solid separation fluidized bed.
Author Contributions
Funding
Data Availability Statement
Acknowledgments
Conflicts of Interest
Nomenclature
| CD | The drag coefficient |
| CDS | The drag coefficient when a single spherical particle is introduced |
| C G.D | The drag coefficient with feeding particle group |
| de | The equivalent diameter of feeding particle group, m; |
| ds | The particle size of dense medium, m |
| The average particle size, m | |
| dp | The equivalent diameter of coal particles, m; vg is the velocity of the gas in the two-phase flow, m/s |
| Fd | The drag force of the gas experienced by the feeding particle in the fluidized bed, N |
| FGf | The buoyancy experienced by the feeding particle group in the fluidized bed, N |
| FGd | The drag force of the gas experienced by the feeding particle group in the fluidized bed, N |
| GG | The gravity of the feeding particle group, N |
| g | The gravitational acceleration, m/s2 |
| ΔH | The height difference between different pressure measurement points, which is equivalent to the diameter of the sphere, m |
| N | The total number of feeding particles |
| ΔP | The pressure difference between different heights, Pa |
| Re | Reynolds number |
| ReG | Reynolds number with feeding particle group |
| The ratio of the average particle size to the dense medium | |
| The ratio of the density of the feeding particle group to the average density | |
| V | The volume of fluidized bed, m3 |
| VG.p | The volume of the feeding particle group, % |
| Vs | The volume of the dense medium, % |
| vp | The velocity of the coal particles, m/s |
| vG.g | The velocity of the gas in the two-phase flow with feeding particle group, m/s |
| v G.p | The velocity of the coal particles with feeding particle group, m/s |
| Φ | The spherical coefficient of the feeding particle |
| ε | The voidage of fluidized bed, % |
| φp | The volume fractions of the feeding particle group, % |
| φs | The volume fractions of the dense medium, % |
| γ | The correction function related to the void fraction |
| ρf | The gas flow density, g/cm3 |
| ρSS.drag | The change in the difference between the separation density and bed density of the fluidized bed caused by the drag force of the ascending gas flow when a single spherical particle is introduced, g/cm3 |
| ρG.p | The density of feeding particle group, g/cm3 |
| The average density, g/cm3 | |
| ρbed | The density of fluidized bed, g/cm3 |
| ρs | The density of dense medium, g/cm3 |
| εmf | The bed voidage at critical fluidization state, % |
| εb | The proportion of bubble phase, % |
| ρg | The airflow density, approximately equal to the air density, 1.29 × 10−3 g/cm3 |
| ρG.bed | The density of fluidized bed with feeding particle group, g/cm3 |
| ρG.f | The gas flow density with feeding particle group, g/cm3 |
| μG.f | The viscosity with feeding particle group, Pa.S |
| ρG.sep | The separation density of fluidized bed with feeding particle group, g/cm3 |
| ρG.(sep.exp) | The experimental separation density of fluidized bed with feeding particle group, g/cm3 |
| ρS.drag | The change in the difference between the separation density and bed density of the fluidized bed caused by the drag force of the ascending gas flow when a single non-spherical particle is introduced, g/cm3 |
References
- Wang, C.; Liu, H.; Zhang, Y.; Zou, C.; Anthony, E.J. Review of arsenic behavior during coal combustion: Volatilization, transformation, emission and removal technologies. Prog. Energy Combust. 2018, 68, 1–28. [Google Scholar] [CrossRef]
- Hower, J.C.; Groppo, J.G.; Graham, U.M.; Ward, C.R.; Kostova, I.J.; Maroto-Valer, M.M.; Dai, S. Coal-derived unburned carbons in fly ash: A review. Int. J. Coal Geol. 2017, 179, 11–27. [Google Scholar] [CrossRef]
- Zhou, E.H.; Lu, J.Y.; Wang, Q.Q.; Lv, G.N.; Zhao, Y.M.; Dong, L.; Duan, C.L. Mixing and migration rule of binary medium in vibrated dense medium fluidized bed for fine coal separation. Adv. Powder Technol. 2020, 31, 3420–3432. [Google Scholar] [CrossRef]
- Song, S.L.; Xu, X.; Tian, Y.K.; Chen, Z.Q. Study on density distribution characteristics and fine coal separation of magnetically fluidized beds of microfine particles. Int. J. Coal Prep. Util. 2024, 44, 1864–1879. [Google Scholar] [CrossRef]
- Wang, J.M.; Jia, L.; Wang, Y.Y.; Wang, P.; Huang, L. Diffusion of “dual carbon” policies among Chinese cities: A network evolution analysis. Energy 2024, 300, 131514. [Google Scholar] [CrossRef]
- Chen, Y.; Zhang, X.L.; Ji, J.; Zhang, C.X. Cold chain transportation energy conservation and emission reduction based on phase change materials under dual-carbon background: A review. J. Energy Storage 2024, 86, 111258. [Google Scholar] [CrossRef]
- Zhu, H.T.; Cao, S.; Su, Z.M.; Zhuang, Y.; Zhang, X. China’s future energy vision: Multi-scenario simulation based on energy consumption structure under dual carbon targets. Energy 2024, 301, 131751. [Google Scholar] [CrossRef]
- Zhang, C.H.; Wang, Z.H.; Li, Y.H.; Zhang, D.C.; Balezentis, T. Can green credit policy with dual-carbon targets make highly polluting enterprises “green”: A micro-analysis of total factor productivity growth. J. Environ. Manag. 2024, 367, 121981. [Google Scholar] [CrossRef]
- China National Coal Association. 2024 Annual Report on the Development of the Coal Industry; China National Coal Association: Beijing, China, 2025. [Google Scholar]
- Oshitani, J.; Tanaka, Z.; Trisakti, B. Evaluation of particle behavior in gas-solid fluidized bed composed of different size particles by measurement of apparent buoyancy. J. Soc. Powder Technol. Jpn. 2010, 38, 97–103. [Google Scholar] [CrossRef][Green Version]
- Higashida, K.; Rai, K.; Yoshimori, W.; Ikegai, T.; Tsuji, T.; Harada, S.; Oshitani, J.; Tanaka, T. Dynamic vertical forces working on a large object floating in gas-fluidized bed: Discrete particle simulation and Lagrangian measurement. Chem. Eng. Sci. 2016, 151, 105–115. [Google Scholar] [CrossRef]
- Yoshida, M.; Oshitani, J.; Tani, K.; Gotoh, K. Fluidized Bed Medium Separation (FBMS) using the particles with different hydrophilic and hydrophobic properties. Adv. Powder Technol. 2011, 22, 108–114. [Google Scholar] [CrossRef]
- Oshitani, J.; Kiyoshima, K.; Tanaka, Z. Continuous dry material separation from automobile shredder residue. Kagaku Kogaku Ronbun 2003, 29, 8–14. [Google Scholar] [CrossRef]
- Wang, Q.; Lu, J.; Yin, W.; Yang, H.; Wei, L. Numerical study of gas-solid flow in a coal beneficiation fluidized bed using kinetic theory of granular flow. Fuel Process. Technol. 2013, 111, 29–41. [Google Scholar] [CrossRef]
- Wang, Q.; Feng, Y.; Lu, J.; Yin, W.; Yang, H.; Witt, P.J.; Zhang, M. Numerical study of particle segregation in a coal beneficiation fluidized bed by a TFM-DEM hybrid model: Influence of coal particle size and density. Chem. Eng. J. 2015, 260, 240–257. [Google Scholar] [CrossRef]
- Wang, Q.; Yang, H.; Feng, Y.; Witt, P.J.; Lu, J.; Yin, W.; Liu, Q.; Wei, L. Numerical study of the effect of operation parameters on particle segregation in a coal beneficiation fluidized bed by a TFM-DEM hybrid model. Chem. Eng. Sci. 2015, 131, 256–270. [Google Scholar] [CrossRef]
- Prusti, P.; Sahu, A.K.; Biswal, S.K. Prediction of the position of coal particles in an air dense medium fluidized bed system. Int. J. Min. Sci. Technol. 2015, 25, 421–427. [Google Scholar] [CrossRef]
- Luo, Z.; Zhao, Y. Separation Theory of Fluidization; China University of Mining and Technology Press: Xuzhou, China, 2002. [Google Scholar]
- Yang, N.; Wang, W.; Ge, W.; Li, J. CFD simulation of concurrent-up gas–solid flow in circulating fluidized beds with structure-dependent drag coefficient. Chem. Eng. J. 2003, 96, 71–80. [Google Scholar] [CrossRef]
- Wen, C.Y.; Yu, Y.H. Mechanics of fluidization. Chem. Eng. Prog. Symp. Ser. 1966, 62, 100–111. [Google Scholar]
- Zhiheng, S.; Hongwen, M.; Huilin, L.; Tingyu, S.; Zheng, L. Numerical Simulation and Application of Drag Coefficient of Particle Clusters in a Riser Based on Lattice-Boltzmann Method. Petrochem. Technol. 2012, 41, 544–550. [Google Scholar]
- Ding, J.; Gidaspow, D. A bubbling fluidization model using kinetic theory of granular flow. Aiche J. 1990, 36, 523–538. [Google Scholar] [CrossRef]
- Dingrong, B.; Yong, J. The Interaction Between Gas and Particlesin a Vertical Gas-Solid Flow System. Ciesc J. 1991, 42, 697–703. [Google Scholar]
- Fan, X.C.; Fu, Y.P.; He, Y.L.; Sun, L.Y. Study on Separation Kinetics of Non-Spherical Single Feeding Particle in the Gas-Solid Separation Fluidized Bed. Separations 2024, 11, 341. [Google Scholar] [CrossRef]
- Haider, A.; Levenspiel, O. Drag coefficient and terminal velocity of spherical and nonspherical particles. Powder Technol. 1989, 58, 63–70. [Google Scholar] [CrossRef]
- Di Renzo, A.; Di Maio, F.P.; Girimonte, R.; Vivacqua, V. Segregation direction reversal of gas-fluidized biomass/inert mixtures—Experiments based on Particle Segregation Model predictions. Chem. Eng. J. 2015, 262, 727–736. [Google Scholar] [CrossRef]
- Di Maio, F.P.; Di Renzo, A.; Vivacqua, V. A particle segregation model for gas-fluidization of binary mixtures. Powder Technol. 2012, 226, 180–188. [Google Scholar] [CrossRef]
- Di Maio, F.P.; Di Renzo, A.; Vivacqua, V. Extension and validation of the particle segregation model for bubbling gas-fluidized beds of binary mixtures. Chem. Eng. Sci. 2013, 97, 139–151. [Google Scholar] [CrossRef]
- Fan, X. Study on Flow Pattern Transition and Separation Density in the Gas-Solid Separation Fluidized Bed; China University of Mining and Technology: Xuzhou, China, 2022. [Google Scholar]













Disclaimer/Publisher’s Note: The statements, opinions and data contained in all publications are solely those of the individual author(s) and contributor(s) and not of MDPI and/or the editor(s). MDPI and/or the editor(s) disclaim responsibility for any injury to people or property resulting from any ideas, methods, instructions or products referred to in the content. |
© 2025 by the authors. Licensee MDPI, Basel, Switzerland. This article is an open access article distributed under the terms and conditions of the Creative Commons Attribution (CC BY) license.
Share and Cite
Fan, X.; Fu, Y.; He, Y.; Sun, L.; Li, Y. Study on Separation Density of Feeding Group Particle in the Gas–Solid Separation Fluidized Bed. Separations 2026, 13, 12. https://doi.org/10.3390/separations13010012
Fan X, Fu Y, He Y, Sun L, Li Y. Study on Separation Density of Feeding Group Particle in the Gas–Solid Separation Fluidized Bed. Separations. 2026; 13(1):12. https://doi.org/10.3390/separations13010012
Chicago/Turabian StyleFan, Xuchen, Yuping Fu, Yongliang He, Liying Sun, and Yijiang Li. 2026. "Study on Separation Density of Feeding Group Particle in the Gas–Solid Separation Fluidized Bed" Separations 13, no. 1: 12. https://doi.org/10.3390/separations13010012
APA StyleFan, X., Fu, Y., He, Y., Sun, L., & Li, Y. (2026). Study on Separation Density of Feeding Group Particle in the Gas–Solid Separation Fluidized Bed. Separations, 13(1), 12. https://doi.org/10.3390/separations13010012

