Synergistic Recovery of Dysprosium(III) from Water via an Emulsion Liquid Membrane at Low Concentrations of Cyanex 272–D2EHPA: Impact of Process Factors and Water Sources
Abstract
1. Introduction
2. Materials, Methods, and Procedures
2.1. Reagents
2.2. Methods
- Emulsion preparation
- Dy(III) extraction
- Emulsion stability
- Statistical analysis
3. Results and Discussion
3.1. Synergistic Carrier Combination
3.2. Carrier Concentration Effect
3.3. Surfactant Loading Effect
3.4. Emulsification Time Effect
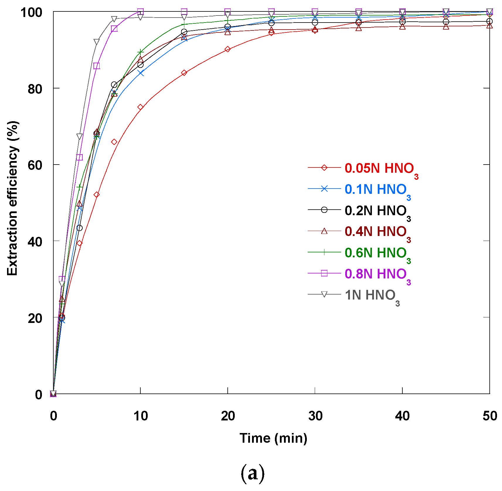
3.5. External Phase pH Effect
3.6. Stirring Speed Effect
3.7. Internal Phase Concentration Effect
3.8. Type of Internal Solution Effect
3.9. Internal/Membrane Volume Ratio Effect
3.10. Treatment Ratio Effect
3.11. Diluent Type Effect
3.12. Dysprosium Initial Concentration Effect
3.13. Temperature Effect
3.14. NaCl and Natural Water Matrices Effect
4. Conclusions
Author Contributions
Funding
Data Availability Statement
Acknowledgments
Conflicts of Interest
References
- Van Gosen, B.S.; Verplanck, P.L.; Long, K.R.; Gambogi, J.; Seal, R.R., II. The Rare-Earth Elements: Vital to Modern Technologies and Lifestyles; Fact Sheet; U.S. Geological Survey: Reston, VA, USA, 2014. [Google Scholar] [CrossRef]
- Dewulf, B.; Batchu, N.K.; Binnemans, K. Enhanced Separation of Neodymium and Dysprosium by Nonaqueous Solvent Extraction from a Polyethylene Glycol 200 Phase Using the Neutral Extractant Cyanex 923. ACS Sustain. Chem. Eng. 2020, 8, 19032–19039. [Google Scholar] [CrossRef]
- Yoon, H.S.; Kim, C.J.; Chung, K.W.; Kim, S.D.; Kumar, J.R. Process Development for Recovery of Dysprosium from Permanent Magnet Scraps Leach Liquor by Hydrometallurgical Techniques. Can. Metall. Q. 2015, 54, 318–327. [Google Scholar] [CrossRef]
- Chen, W.S.; Jian, G.C.; Lee, C.H. Recovery and Separation of Dysprosium from Waste Neodymium Magnets through Cyphos IL 104 Extraction. Materials 2022, 15, 5281. [Google Scholar] [CrossRef]
- Yang, Y.; Xu, S.; Xie, M.; He, Y.; Huang, G.; Yang, Y. Growth Mechanisms for Spherical Mixed Hydroxide Agglomerates Prepared by Co-Precipitation Method: A Case of Ni1/3Co1/3Mn1/3(OH)2. J. Alloys Compd. 2015, 619, 846–853. [Google Scholar] [CrossRef]
- Sahiruddin, S.; Liu, W.; Li, B.; Zhang, K.; Zhang, Z.; Liu, F. Thermodynamics Analysis and Experimental Optimization of Mixed Hydroxide Precipitation from Nickel Laterite Ores. Min. Metall. Explor. 2025, 42, 2529–2542. [Google Scholar] [CrossRef]
- Gönder, Z.B.; Kaya, Y.; Vergili, I.; Barlas, H. Capacity Loss in an Organically Fouled Anion Exchanger. Desalination 2006, 189, 303–307. [Google Scholar] [CrossRef]
- Kim, Y. Analysis of Bending Fracture Propagation of Laminar Composite Materials Using Quasi-Molecular Dynamics. KSME Int. J. 1998, 12, 1026–1033. [Google Scholar] [CrossRef]
- Close, E.J.; Salm, J.R.; Iskra, T.; Sørensen, E.; Bracewell, D.G. Fouling of an Anion Exchange Chromatography Operation in a Monoclonal Antibody Process: Visualization and Kinetic Studies. Biotechnol. Bioeng. 2013, 110, 2425–2435. [Google Scholar] [CrossRef]
- Georgiadis, A.G.; Charisiou, N.D.; Gaber, S.; Polychronopoulou, K.; Yentekakis, I.V.; Goula, M.A. Adsorption of Hydrogen Sulfide at Low Temperatures Using an Industrial Molecular Sieve: An Experimental and Theoretical Study. ACS Omega 2021, 6, 14774–14787. [Google Scholar] [CrossRef] [PubMed]
- Muchan, P.; Muchan, P.; Saiwan, C.; Saiwan, C.; Nithitanakul, M.; Nithitanakul, M. Investigation of Adsorption/Desorption Performance by Aminopropyltriethoxysilane Grafted onto Different Mesoporous Silica for Post-Combustion CO2 Capture. Clean Energy 2020, 4, 120–131. [Google Scholar] [CrossRef]
- Knopf, D.A.; Ammann, M. Adsorption and Desorption Equilibria from Statistical Thermodynamics and Rates from Transition State Theory. Atmos. Chem. Phys. 2021, 21, 15725–15753. [Google Scholar] [CrossRef]
- Dâas, A.; Hamdaoui, O. Extraction of Bisphenol A from Aqueous Solutions by Emulsion Liquid Membrane. J. Memb. Sci. 2010, 348, 360–368. [Google Scholar] [CrossRef]
- Sadeghi, S.; Zargarzadeh, L. Gibbsian Surface Thermodynamic Analysis of Emulsion Liquid Membranes. Sci. Rep. 2025, 15, 6401. [Google Scholar] [CrossRef]
- Lacheheb, M.; Hamdaoui, O.; Alrashed, M.; Gasmi, I. Removal of Furosemide from Water by Emulsion Liquid Membrane: Influence of Experimental Conditions and Real Water Matrices. J. Eng. Res. 2025, 13, 1505–1514. [Google Scholar] [CrossRef]
- Raji, M.; Abolghasemi, H.; Safdari, J.; Kargari, A. Pertraction of Dysprosium from Nitrate Medium by Emulsion Liquid Membrane Containing Mixed Surfactant System. Chem. Eng. Process.-Process Intensif. 2017, 120, 184–194. [Google Scholar] [CrossRef]
- Raji, M.; Abolghasemi, H.; Safdari, J.; Kargari, A. Selective Extraction of Dysprosium from Acidic Solutions Containing Dysprosium and Neodymium through Emulsion Liquid Membrane by Cyanex 572 as Carrier. J. Mol. Liq. 2018, 254, 108–119. [Google Scholar] [CrossRef]
- Sadehlari, F.; Bastani, D.; Safdari, J.; Raji, M. Prediction of Flooding in a Pulsed Packed Column for Continuous Pertraction of Dysprosium by an Emulsion Liquid Membrane. Chem. Eng. Process.-Process Intensif. 2021, 169, 108644. [Google Scholar] [CrossRef]
- Karmakar, R.; Singh, P.; Datta, A.; Sen, K. Emulsion Liquid Membrane in the Selective Extraction of Dy. Chem. Eng. Res. Des. 2022, 187, 497–506. [Google Scholar] [CrossRef]
- Chaouchi, S.; Hamdaoui, O. Extraction of Priority Pollutant 4-Nitrophenol from Water by Emulsion Liquid Membrane: Emulsion Stability, Effect of Operational Conditions and Membrane Reuse. J. Dispers. Sci. Technol. 2014, 35, 1278–1288. [Google Scholar] [CrossRef]
- Mahmoudi, S.; Babakhani, A.; Noori, M.; Azizitorghabeh, A.; Rashchi, F. Synergistic Extraction and Separation of Cobalt and Lithium Using D2EHPA and CYANEX 272. Min. Metall. Explor. 2022, 39, 777–792. [Google Scholar] [CrossRef]
- Greil, R.; Tomic, J.; Lux, S. Continuous Separation of Cobalt from Sulphate Solutions Using Saponified D2EHPA and Cyanex 272 in a Taylor-Couette Disc Contactor. Sep. Sci. Technol. 2025, 60, 1547–1565. [Google Scholar] [CrossRef]
- McClements, D.J. Food Emulsions: Principles, Practices, and Techniques, 2nd ed.; CRC Press: Boca Raton, FL, USA, 2004. [Google Scholar] [CrossRef]
- Qazi, M.J.; Liefferink, R.W.; Schlegel, S.J.; Backus, E.H.G.; Bonn, D.; Shahidzadeh, N. Influence of Surfactants on Sodium Chloride Crystallization in Confinement. Langmuir 2017, 33, 4260–4268. [Google Scholar] [CrossRef] [PubMed]













Disclaimer/Publisher’s Note: The statements, opinions and data contained in all publications are solely those of the individual author(s) and contributor(s) and not of MDPI and/or the editor(s). MDPI and/or the editor(s) disclaim responsibility for any injury to people or property resulting from any ideas, methods, instructions or products referred to in the content. |
© 2025 by the authors. Licensee MDPI, Basel, Switzerland. This article is an open access article distributed under the terms and conditions of the Creative Commons Attribution (CC BY) license (https://creativecommons.org/licenses/by/4.0/).
Share and Cite
Taamallah, A.; Hamdaoui, O. Synergistic Recovery of Dysprosium(III) from Water via an Emulsion Liquid Membrane at Low Concentrations of Cyanex 272–D2EHPA: Impact of Process Factors and Water Sources. Separations 2025, 12, 228. https://doi.org/10.3390/separations12090228
Taamallah A, Hamdaoui O. Synergistic Recovery of Dysprosium(III) from Water via an Emulsion Liquid Membrane at Low Concentrations of Cyanex 272–D2EHPA: Impact of Process Factors and Water Sources. Separations. 2025; 12(9):228. https://doi.org/10.3390/separations12090228
Chicago/Turabian StyleTaamallah, Ahlem, and Oualid Hamdaoui. 2025. "Synergistic Recovery of Dysprosium(III) from Water via an Emulsion Liquid Membrane at Low Concentrations of Cyanex 272–D2EHPA: Impact of Process Factors and Water Sources" Separations 12, no. 9: 228. https://doi.org/10.3390/separations12090228
APA StyleTaamallah, A., & Hamdaoui, O. (2025). Synergistic Recovery of Dysprosium(III) from Water via an Emulsion Liquid Membrane at Low Concentrations of Cyanex 272–D2EHPA: Impact of Process Factors and Water Sources. Separations, 12(9), 228. https://doi.org/10.3390/separations12090228

