Rapid Determination of Nimesulide by Capillary Zone Electrophoresis in Various Pharmaceutical Formulations
Abstract
1. Introduction
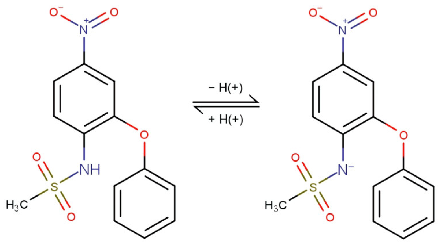
1.1. Nimesulide: An Important NSAID
1.2. Analytical Methods for Nimesulide Determination
Capillary Electrophoresis (CE)
2. Materials and Methods
2.1. Chemicals and Instruments
2.2. Samples
3. Results and Discussion
3.1. Method Development
3.1.1. BGE Optimization
3.1.2. Resolution Rs and Efficiency N
3.1.3. Peak Area Repeatability
3.1.4. Voltage Optimization
3.1.5. Internal Standard Modification: Sodium Salicylate
3.2. Calibration
3.3. Validation of the Method
3.4. Sample Analysis
3.4.1. Sample Preparation of Non-Coated Tablets
3.4.2. Sample Preparation of Topical Gel
3.4.3. Sample Preparation of Sachets (Powder)
3.4.4. Analysis of Sachets. Uniformity of Content of Single-Dose Preparations
4. Conclusions
Author Contributions
Funding
Data Availability Statement
Acknowledgments
Conflicts of Interest
Abbreviations
| BGE | background electrolyte |
| COX-2 | cyclooxygenase-2 |
| DAD | Diode Array Detector |
| EMA | European Medicines Agency |
| EOF | electroosmotic flow |
| ESI-MS | electrospray ionization mass spectrometry |
| HPLC | high-performance liquid chromatography |
| LOD | limit of detection |
| LOQ | limit of quantification |
| MEKC | Micellar Electrokinetic Capillary Chromatography |
| NaSA | sodium salicylate |
| NIM | nimesulide |
| NSAID | non-steroidal anti-inflammatory drug |
| Ph.Eur. | (Pharmacopoeia Europaea) European Pharmacopoeia |
| SA | salicylic acid |
| Syx | standard error of the estimate (linear regression) |
| UV | ultraviolet |
References
- Caiazzo, E.; Ialenti, A.; Cicala, C. The relatively selective cyclooxygenase-2 inhibitor nimesulide: What’s going on? Eur. J. Pharmacol. 2019, 848, 105–111. [Google Scholar] [CrossRef] [PubMed]
- Rainsford, K. Current status of the therapeutic uses and actions of the preferential cyclooxygenase-2 NSAID, nimesulide. Inflammopharmacology 2006, 14, 120–137. [Google Scholar] [CrossRef] [PubMed]
- Tavares, I.A.; Bennett, A. COX-2 inhibitors compared and contrasted. Expert Opin. Pharmacother. 2001, 2, 1859–1876. [Google Scholar] [CrossRef] [PubMed]
- Agúndez, J.A.; Lucena, M.I.; Martínez, C.; Andrade, R.J.; Blanca, M.; Ayuso, P.; García-Martín, E. Assessment of nonsteroidal anti-inflammatory drug-induced hepatotoxicity. Expert Opin. Drug Metab. Toxicol. 2011, 7, 817–828. [Google Scholar] [CrossRef] [PubMed]
- Kress, H.G.; Baltov, A.; Basiński, A.; Berghea, F.; Castellsague, J.; Codreanu, C.; Copaciu, E.; Giamberardino, M.A.; Hakl, M.; Hrazdira, L.; et al. Acute pain: A multifaceted challenge—The role of nimesulide. Curr. Med. Res. Opin. 2016, 32, 23–36. [Google Scholar] [CrossRef] [PubMed]
- Nimesulide—Referral Agency; European Medicines Agency: Amsterdam, The Netherlands, 2004; Volume CPMP/1724/04.
- Nimesulide—Referral (review). In EMEA/H/A-31/001261; European Medicines Agency: Amsterdam, The Netherlands, 2012; Volume EMA/382884/2011.
- Rainsford, K. (Ed.) Nimesulide—Actions and Uses; Birkhäuser: Basel, Switzerland, 2005. [Google Scholar]
- Drug Safety Newsletter, 17th ed.; Irish Medicines Board: Dublin, Ireland, 2003.
- Amazon.uk. Nimesil Sachets. Available online: https://www.amazon.co.uk/Generic-Nimesil-30-Sa-chets/dp/B0C5FXX8ZG (accessed on 22 December 2024).
- Amazon.be. Nimesil Sachets. Available online: https://www.amazon.com.be/-/en/Nimesil-30-x-2g-Sa-chets/dp/B09K6KS37P (accessed on 22 December 2024).
- Nimesulide—Article 107 Procedures—Annex I; European Medicines Agency: Amsterdam, The Netherlands, 2010.
- Tůma, P. Monitoring of biologically active substances in clinical samples by capillary and microchip electrophoresis with contactless conductivity detection: A review. Anal. Chim. Acta 2022, 1225, 340161. [Google Scholar] [CrossRef] [PubMed]
- Starek, M.; Krzek, J. A review of analytical techniques for determination of oxicams, nimesulide and nabumetone. Talanta 2009, 77, 925–942. [Google Scholar] [CrossRef] [PubMed]
- EDQM. Nimesulide European Pharmacopoeia, 11th ed.; Council of Europe: Strasbourg, France, 2024. [Google Scholar]
- ANVISA. Brazilian Health Regulatory Agency, Brazilian Pharmacopoeia, 6th ed.; Ministry of Health of Brasilia: Brasilia, Brazil, 2019; p. IF264-00. [Google Scholar]
- Santos, B.W.L.; Caldas, E.D.; Da Silva, M.V. Nimesulide: Dissolution profile, validation of analytical methods for capsules, and assessment of product quality. Int. J. Pharm. Pharmaceut. Sci. 2016, 8, 27–32. [Google Scholar]
- Ferrario, P.; Bianchi, M. Simultaneous determination of nimesulide and hydroxynimesulide in rat plasma, cerebrospinal fluid and brain by liquid chromatography using solid-phase extraction. J. Chromatogr. B 2003, 785, 227–236. [Google Scholar] [CrossRef] [PubMed]
- Panusa, A.; Multari, G.; Incarnato, G.; Gagliardi, L. High-performance liquid chromatography analysis of anti-inflammatory pharmaceuticals with ultraviolet and electrospray-mass spectrometry detection in suspected counterfeit homeopathic medicinal products. J. Pharm. Biomed. Anal. 2007, 43, 1221–1227. [Google Scholar] [CrossRef]
- Voeten, R.L.C.; Ventouri, I.K.; Haselberg, R.; Somsen, G.W. Capillary Electrophoresis: Trends and Recent Advances. Anal. Chem. 2018, 90, 1464–1481. [Google Scholar] [CrossRef]
- Krait, S.; Konjaria, M.-L.; Scriba, G.K.E. Advances of capillary electrophoresis enantioseparations in pharmaceutical analysis (2017–2020). Electrophoresis 2021, 42, 1709–1725. [Google Scholar] [CrossRef]
- Dalmora, S.L.; Fronza, M.; Nogueira, D.R.; Souto, R.B.; Bernardi, R.M. Simultaneous determination of nimesulide and valdecoxib by micellar electrokinetic capillary chromatography method. J. Liq. Chromatogr. Relat. Technol. 2007, 30, 2863–2877. [Google Scholar] [CrossRef]
- Zacharis, C.K.; Tzanavaras, P.D.; Notou, M.; Zotou, A.; Themelis, D.G. Separation and determination of nimesulide related substances for quality control purposes by micellar electrokinetic chromatography. J. Pharm. Biomed. Anal. 2009, 49, 201–206. [Google Scholar] [CrossRef] [PubMed]
- Chen, Y.L.; Wu, S.M. Capillary zone electrophoresis for simultaneous determination of seven nonsteroidal anti-inflammatory drugs in pharmaceuticals. Anal. Bioanal. Chem. 2005, 381, 907–912. [Google Scholar] [CrossRef] [PubMed]
- Dogrukol-Ak, D.; Tuncel, M.; Aboul-Enein, H.Y. A capillary zone electrophoretic method for the determination of nimesulide in pharmaceutical preparation and serum. J. Sep. Sci. 2001, 24, 743–748. [Google Scholar] [CrossRef]
- ICH Guideline Q2(R2) on Validation of Analytical Procedures; International Council for Harmonisation of Technical Requirements for Pharmaceuticals for Human Use; European Medicines Agency: Amsterdam, The Netherlands, 2024.
- EDQM. European Pharmacopoeia (Ph.Eur.), Section 2.9.6., 11th ed.; Council of Europe: Strasbourg, France, 2024. [Google Scholar]
- Ho, C.V.; Pazourek, J. Rapid Determination of Nimesulide in Pharmaceutical Formulations by CZE. In Proceedings of the Conference Synthesis and Analysis of Drugs, Hradec Králové, Czech Republic, 19–20 September 2024. [Google Scholar]






| Marketed Name | Nimesil | Aulin | Aulin (Topical Use) |
|---|---|---|---|
| Dosage form | Granules/powder (sachet) | Non-coated tablets | Gel (50 g tube) |
| Producer | Laboratori Guidotti S.p.A., Pisa-La Vettola, Italy | Medicom International s.r.o, Brno, Czech Republic | Angelini Pharma Česká republika s.r.o., Brno, Czech Republic |
| NIM content (a dose) | 100 mg | 100 mg | 30 mg/g |
| Weight (a dose) | 2 g | 0.4 g | Around 3 g |
| Primary packaging | Sachet | Blister | Tube |
| Parameter | Conditions |
|---|---|
| Capillary | ID 50 μm, 33/24.5 cm (uncoated fused silica) |
| BGE | 60 mM sodium borate buffer (15 mM sodium tetraborate buffer), pH = 9.25 (no adjustment), no methanol |
| Voltage | +12 kV (current 25 μA) |
| Temperature | 25 °C |
| Injection | hydrodynamic injection 2 s/50 mbar |
| Internal standard | sodium salicylate (c = 0.1 g/L) |
| Detection | DAD 200 nm |
| m (g/Tube) | RSD (n = 5) |
|---|---|
| 1.4920 | 0.4% |
| 1.4908 | 0.5% |
| 1.5147 | 0.5% |
| 1.5176 | 1.0% |
Disclaimer/Publisher’s Note: The statements, opinions and data contained in all publications are solely those of the individual author(s) and contributor(s) and not of MDPI and/or the editor(s). MDPI and/or the editor(s) disclaim responsibility for any injury to people or property resulting from any ideas, methods, instructions or products referred to in the content. |
© 2025 by the authors. Licensee MDPI, Basel, Switzerland. This article is an open access article distributed under the terms and conditions of the Creative Commons Attribution (CC BY) license (https://creativecommons.org/licenses/by/4.0/).
Share and Cite
Ho, C.V.; Pazourek, J. Rapid Determination of Nimesulide by Capillary Zone Electrophoresis in Various Pharmaceutical Formulations. Separations 2025, 12, 132. https://doi.org/10.3390/separations12050132
Ho CV, Pazourek J. Rapid Determination of Nimesulide by Capillary Zone Electrophoresis in Various Pharmaceutical Formulations. Separations. 2025; 12(5):132. https://doi.org/10.3390/separations12050132
Chicago/Turabian StyleHo, Claudia Vinci, and Jiří Pazourek. 2025. "Rapid Determination of Nimesulide by Capillary Zone Electrophoresis in Various Pharmaceutical Formulations" Separations 12, no. 5: 132. https://doi.org/10.3390/separations12050132
APA StyleHo, C. V., & Pazourek, J. (2025). Rapid Determination of Nimesulide by Capillary Zone Electrophoresis in Various Pharmaceutical Formulations. Separations, 12(5), 132. https://doi.org/10.3390/separations12050132

