Phase Equilibrium of CO2 Hydrate with Rubidium Chloride Aqueous Solution
Abstract
1. Introduction
1.1. Extraction of Metals from Salt Lakes
1.2. Clathrate Hydrate
1.3. Phase Equilibrium Conditions
1.4. Prediction of Equilibrium by Thermodynamic Statistical Model
- (i)
- There is no interaction between the guest and host molecules
- (ii)
- Each cage can hold a maximum of one guest molecule.
- (iii)
- There are no interactions between guest molecules.
- (iv)
- Quantum effects can be neglected, and the system can be described using classical statistical thermodynamics.
1.5. Measurements of Phase Equilibrium
2. Materials and Methods
3. Results and Discussion
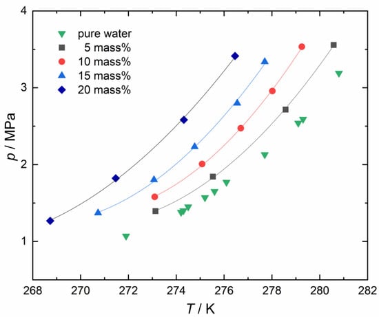
3.1. Phase Equilibrium of CO2 Hydrate with Rubidium Chloride Aqueous Solution
3.2. Comparison with Other Electrolytes Aqueous Solution
4. Conclusions
Author Contributions
Funding
Data Availability Statement
Acknowledgments
Conflicts of Interest
References
- Liu, S.-M.; Liu, H.-H.; Huang, Y.-J.; Yang, W.-J. Solvent extraction of rubidium and cesium from salt lake brine with t-BAMBP–kerosene solution. Trans. Nonferrous Met. Soc. China 2015, 25, 329–334. [Google Scholar] [CrossRef]
- Naidu, G.; Jeong, S.; Johir, A.H.; Fane, A.G.; Kandasamy, J.; Vigneswaran, S. Rubidium extraction from seawater brine by an integrated membrane distillation-selective sorption system. Water Res. 2017, 123, 321–331. [Google Scholar] [CrossRef] [PubMed]
- Pranolo, Y.; Zhu, Z.; Cheng, C.Y. Separation of lithium from sodium in chloride solutions using SSX systems with LIX 54 and Cyanex 923. Hydrometallurgy 2015, 154, 33–39. [Google Scholar] [CrossRef]
- Liu, G.; Zhao, Z.; Ghahreman, A. Novel approaches for lithium extraction from salt-lake brines: A review. Hydrometallurgy 2019, 187, 81–100. [Google Scholar] [CrossRef]
- Tadesse, B.; Makuei, F.; Albijanic, B.; Dyer, L. The beneficiation of lithium minerals from hard rock ores: A review. Miner. Eng. 2019, 131, 170–184. [Google Scholar] [CrossRef]
- Swain, B. Recovery and recycling of lithium: A review. Sep. Purif. Technol. 2017, 172, 388–403. [Google Scholar] [CrossRef]
- Wang, S.; Li, P.; Zhang, X.; Zheng, S.; Zhang, Y. Selective adsorption of lithium from high Mg-containing brines using HxTiO3 ion sieve. Hydrometallurgy 2017, 174, 21–28. [Google Scholar] [CrossRef]
- Liu, Y.; Zhu, R.; Srinivasakannan, C.; Li, T.; Li, S.; Yin, S.; Zhang, L. Application of Nanofiltration Membrane Based on Metal-Organic Frameworks (MOFs) in the Separation of Magnesium and Lithium from Salt Lakes. Separations 2022, 9, 344. [Google Scholar] [CrossRef]
- Xing, P.; Wang, C.; Chen, Y.; Ma, B. Rubidium extraction from mineral and brine resources: A review. Hydrometallurgy 2021, 203, 105644. [Google Scholar] [CrossRef]
- Page, R.H.; Beach, R.J.; Kanz, V.K.; Krupke, W.F. Multimode-diode-pumped gas (alkali-vapor) laser. Opt. Lett. 2006, 31, 353–355. [Google Scholar] [CrossRef] [PubMed]
- Saliba, M.; Matsui, T.; Domanski, K.; Seo, J.-Y.; Ummadisingu, A.; Zakeeruddin, S.M.; Correa-Baena, J.-P.; Tress, W.R.; Abate, A.; Hagfeldt, A.; et al. Incorporation of rubidium cations into perovskite solar cells improves photovoltaic performance. Science 2016, 354, 206–209. [Google Scholar] [CrossRef]
- Zhang, X.; Tan, X.; Li, C.; Yi, Y.; Liu, W.; Zhang, L. Energy-efficient and simultaneous extraction of lithium, rubidium and cesium from lepidolite concentrate via sulfuric acid baking and water leaching. Hydrometallurgy 2019, 185, 244–249. [Google Scholar] [CrossRef]
- Vieceli, N.; Nogueira, C.A.; Pereira, M.F.; Durão, F.O.; Guimarães, C.; Margarido, F. Recovery of lithium carbonate by acid digestion and hydrometallurgical processing from mechanically activated lepidolite. Hydrometallurgy 2018, 175, 1–10. [Google Scholar] [CrossRef]
- Yan, Q.; Li, X.; Wang, Z.; Wu, X.; Wang, J.; Guo, H.; Hu, Q.; Peng, W. Extraction of lithium from lepidolite by sulfation roasting and water leaching. Int. J. Miner. Process. 2012, 110–111, 1–5. [Google Scholar] [CrossRef]
- Luong, V.T.; Kang, D.J.; An, J.W.; Kim, M.J.; Tran, T. Factors affecting the extraction of lithium from lepidolite. Hydrometallurgy 2013, 134–135, 54–61. [Google Scholar] [CrossRef]
- Sloan, E.D.; Koh, C.A. Clathrate Hydrates of Natural Gases, 3rd ed.; CRC Press: Boca Raton, FL, USA, 2008. [Google Scholar] [CrossRef]
- Linga, P.; Kumar, R.; Englezos, P. The clathrate hydrate process for post and pre-combustion capture of carbon dioxide. J. Hazard. Mater. 2007, 149, 625–629. [Google Scholar] [CrossRef]
- Ling, Z.; Shi, C.; Li, F.; Fu, Y.; Zhao, J.; Dong, H.; Yang, Y.; Zhou, H.; Wang, S.; Song, Y. Desalination and Li+ enrichment via formation of cyclopentane hydrate. Sep. Purif. Technol. 2020, 231, 115921. [Google Scholar] [CrossRef]
- Truong-Lam, H.S.; Seo, S.D.; Jeon, C.; Lee, G.-P.; Lee, J.D. A gas hydrate process for high-salinity water and wastewater purification. Desalination 2022, 529, 115651. [Google Scholar] [CrossRef]
- Babu, P.; Nambiar, A.; He, T.; Karimi, I.A.; Lee, J.D.; Englezos, P.; Linga, P. A Review of Clathrate Hydrate Based Desalination To Strengthen Energy–Water Nexus. ACS Sustain. 2018, 6, 8093–8107. [Google Scholar] [CrossRef]
- Kumar, A.; Veluswamy, H.P.; Kumar, R.; Linga, P. Direct use of seawater for rapid methane storage via clathrate (sII) hydrates. Appl. Energy 2019, 235, 21–30. [Google Scholar] [CrossRef]
- Veluswamy, H.P.; Linga, P. Natural Gas Hydrate Formation Using Saline/Seawater for Gas Storage Application. Energy Fuels 2021, 35, 5988–6002. [Google Scholar] [CrossRef]
- Gaikwad, N.; Nakka, R.; Khavala, V.; Bhadani, A.; Mamane, H.; Kumar, R. Gas Hydrate-Based Process for Desalination of Heavy Metal Ions from an Aqueous Solution: Kinetics and Rate of Recovery. ACS EST Water 2021, 1, 134–144. [Google Scholar] [CrossRef]
- Tanaka, M.; Tsugane, K.; Suga, D.; Tomura, S.; Ohmura, R.; Yasuda, K. Simultaneous Crystallization of Cyclopentane Hydrate and Sodium Chloride for Desalination and Salt Manufacture. ACS Sustain. 2021, 9, 9078–9084. [Google Scholar] [CrossRef]
- Ito, H.; Gibo, A.; Shiraishi, S.; Yasuda, K.; Ohmura, R. Renewed Measurements of Carbon Dioxide Hydrate Phase Equilibrium. Int. J. Thermophys. 2023, 44, 128. [Google Scholar] [CrossRef]
- Guembaroski, A.Z.; Neto, M.A.M.; Bertoldi, D.; Morales, R.E.M.; Sum, A.K. Phase Behavior of Carbon Dioxide Hydrates: A Comparison of Inhibition Between Sodium Chloride and Ethanol. J. Chem. Eng. Data 2017, 62, 3445–3451. [Google Scholar] [CrossRef]
- Tohidi, B.; Danesh, A.; Todd, A.; Burgass, R. Hydrate-free zone for synthetic and real reservoir fluids in the presence of saline water. Chem. Eng. Sci. 1997, 52, 3257–3263. [Google Scholar] [CrossRef]
- Dholabhai, P.D.; Kalogerakis, N.; Bishnoi, P.R. Equilibrium Conditions for Carbon Dioxide Hydrate Formation in Aqueous Electrolyte Solutions. J. Chem. Eng. Data 1993, 38, 650–654. [Google Scholar] [CrossRef]
- Avlonitis, D.; Danesh, A.; Todd, A. Prediction of VL and VLL equilibria of mixtures containing petroleum reservoir fluids and methanol with a cubic EoS. Fluid Phase Equilib. 1994, 94, 181–216. [Google Scholar] [CrossRef]
- Englezos, P.; Bishnoi, P.R. Prediction of Gas Hydrate Formation Conditions in Aqueous Electrolyte Solutions. AIChE J. 1988, 34, 1718–1721. [Google Scholar] [CrossRef]
- Yasuda, K.; Ohmura, R. Thermophysical Properties of Clathrate Hydrates with Various Guests for Novel Technologies: A Review. Int. J. Themophys. 2024, 45, 139. [Google Scholar] [CrossRef]
- Tohidi, B.; Burgass, R.W.; Danesh, A.; Ostergaard, K.K.; Todd, A.C. Improving the Accuracy of Gas Hydrate Dissociation Point Measurements. Ann. N. Y. Acad. Sci. 2000, 912, 924–931. [Google Scholar] [CrossRef]
- Yasuda, K.; Ohmura, R. Phase Equilibrium for Clathrate Hydrates Formed with Methane, Ethane, Propane, or Carbon Dioxide at Temperatures below the Freezing Point of Water. J. Chem. Eng. Data 2008, 53, 2182–2188. [Google Scholar] [CrossRef]
- Mohammadi, A.H.; Tohidi, B.; Burgass, R.W. Equilibrium Data and Thermodynamic Modeling of Nitrogen, Oxygen, and Air Clathrate Hydrates. J. Chem. Eng. Data 2003, 48, 612–616. [Google Scholar] [CrossRef]
- Maekawa, T. Equilibrium conditions of clathrate hydrates formed from carbon dioxide and aqueous acetone solutions. Fluid Phase Equilib. 2011, 303, 76–79. [Google Scholar] [CrossRef]
- Wang, M.; Sun, Z.-G.; Qiu, X.-H.; Zhu, M.-G.; Li, C.-H.; Zhang, A.-J.; Li, J.; Li, C.-M.; Huang, H.-F. Hydrate Dissociation Equilibrium Conditions for Carbon Dioxide + Tetrahydrofuran. J. Chem. Eng. Data 2017, 62, 812–815. [Google Scholar] [CrossRef]
- Dai, M.L.; Sun, Z.G.; Lim, J.; Huang, H.F. Effect of n-dodecane on equilibrium dissociation conditions of carbon dioxide hydrate. J. Chem. Thermodyn. 2020, 148, 106144. [Google Scholar] [CrossRef]
- Mohammadi, A.H.; Anderson, R.; Tohidi, B. Carbon monoxide clathrate hydrates: Equilibrium data and thermodynamic modeling. AIChE J. 2005, 51, 2825–2833. [Google Scholar] [CrossRef]
- Nema, Y.; Ohmura, R.; Senaha, I.; Yasuda, K. Quadruple point determination in carbon dioxide hydrate forming system. Fluid Phase Equilib. 2017, 441, 49–53. [Google Scholar] [CrossRef]
- Kodera, M.; Matsueda, T.; Belosludov, R.V.; Zhdanov, R.K.; Belosludov, V.R.; Takeya, S.; Alavi, S.; Ohmura, R. Physical Properties and Characterization of the Binary Clathrate Hydrate with Methane + 1,1,1,3,3-Pentafluoropropane (HFC-245fa) + Water. J. Phys. Chem. C 2020, 124, 20736–20745. [Google Scholar] [CrossRef]









| Mass Fraction | Water [g] | RbCl [g] |
|---|---|---|
| 0.05 | 28.5 | 1.5 |
| 0.10 | 36.0 | 4.0 |
| 0.15 | 34.0 | 6.0 |
| 0.20 | 40.0 | 10.0 |
| Mass Fraction | T [K] | P [MPa] |
|---|---|---|
| 0.05 | 275.5 | 1.84 |
| 0.05 | 273.1 | 1.40 |
| 0.05 | 280.6 | 3.56 |
| 0.05 | 278.6 | 2.72 |
| 0.10 | 276.7 | 2.47 |
| 0.10 | 275.1 | 2.01 |
| 0.10 | 273.1 | 1.58 |
| 0.10 | 279.3 | 3.53 |
| 0.10 | 278.0 | 2.96 |
| 0.15 | 273.1 | 1.80 |
| 0.15 | 270.7 | 1.37 |
| 0.15 | 277.7 | 3.34 |
| 0.15 | 276.6 | 2.80 |
| 0.15 | 274.8 | 2.23 |
| 0.20 | 274.3 | 2.58 |
| 0.20 | 271.5 | 1.82 |
| 0.20 | 268.7 | 1.27 |
| 0.20 | 276.5 | 3.41 |
| Mass Fraction | a | b | R2 |
|---|---|---|---|
| 0.05 | −9637 | 35.6 | 0.9981 |
| 0.10 | −9956 | 36.9 | 0.9977 |
| 0.15 | −9536 | 35.5 | 0.9967 |
| 0.20 | −9468 | 35.5 | 0.9999 |
| Equilibrium Temperature [K] | |||||
|---|---|---|---|---|---|
| Mass Fraction | 1.5 MPa | 2.0 MPa | 2.5 MPa | 3.0 MPa | 3.5 MPa |
| 0 | 274.80 | 277.11 | 278.91 | 280.37 | 281.61 |
| 0.05 | 273.79 | 276.08 | 277.85 | 279.30 | 280.53 |
| 0.10 | 272.79 | 274.99 | 276.7 | 278.09 | 279.28 |
| 0.15 | 271.55 | 273.82 | 275.57 | 277.01 | 278.23 |
| 0.20 | 270.02 | 272.27 | 274.02 | 275.45 | 276.67 |
| Mass Fraction | Mole Fraction |
|---|---|
| 10 mass% RbCl | 0.0163 |
| 20 mass% RbCl | 0.0359 |
| 5 mass% NaCl | 0.0160 |
| 10 mass% NaCl | 0.0331 |
| 10 mass% CaCl2 | 0.0177 |
Disclaimer/Publisher’s Note: The statements, opinions and data contained in all publications are solely those of the individual author(s) and contributor(s) and not of MDPI and/or the editor(s). MDPI and/or the editor(s) disclaim responsibility for any injury to people or property resulting from any ideas, methods, instructions or products referred to in the content. |
© 2025 by the authors. Licensee MDPI, Basel, Switzerland. This article is an open access article distributed under the terms and conditions of the Creative Commons Attribution (CC BY) license (https://creativecommons.org/licenses/by/4.0/).
Share and Cite
Kasai, R.; Kamiya, L.; Ohmura, R. Phase Equilibrium of CO2 Hydrate with Rubidium Chloride Aqueous Solution. Separations 2025, 12, 13. https://doi.org/10.3390/separations12010013
Kasai R, Kamiya L, Ohmura R. Phase Equilibrium of CO2 Hydrate with Rubidium Chloride Aqueous Solution. Separations. 2025; 12(1):13. https://doi.org/10.3390/separations12010013
Chicago/Turabian StyleKasai, Ryonosuke, Leo Kamiya, and Ryo Ohmura. 2025. "Phase Equilibrium of CO2 Hydrate with Rubidium Chloride Aqueous Solution" Separations 12, no. 1: 13. https://doi.org/10.3390/separations12010013
APA StyleKasai, R., Kamiya, L., & Ohmura, R. (2025). Phase Equilibrium of CO2 Hydrate with Rubidium Chloride Aqueous Solution. Separations, 12(1), 13. https://doi.org/10.3390/separations12010013

