Five Significant Phenols from Phyllostachys glauca McClure Leaves Extracted Using Ultrasound-Assisted Deep Eutectic Solvent Extraction
Abstract
1. Introduction
2. Materials and Methods
2.1. Materials
2.1.1. Solvents
2.1.2. Instruments
2.1.3. Bamboo Leaves
2.2. Experimental Preparation
2.2.1. Preparation of DES
2.2.2. Extraction of Phenols from Bamboo Leaves
2.3. Establishment of the UPLC Method
2.3.1. Preparation of Sample Solution
2.3.2. Chromatographic Conditions
2.3.3. Preparation of the Mixed Standard Stock Solution
2.3.4. Quantitative Determination Using UPLC
2.4. Optimization of the Process Conditions of Ultrasound-Assisted Deep Eutectic Solvent Extraction
2.4.1. Single-Factor Test
2.4.2. Orthogonal Test
2.5. Determination of the Content in the Leaves of Different Bamboo Species
3. Results and Discussion
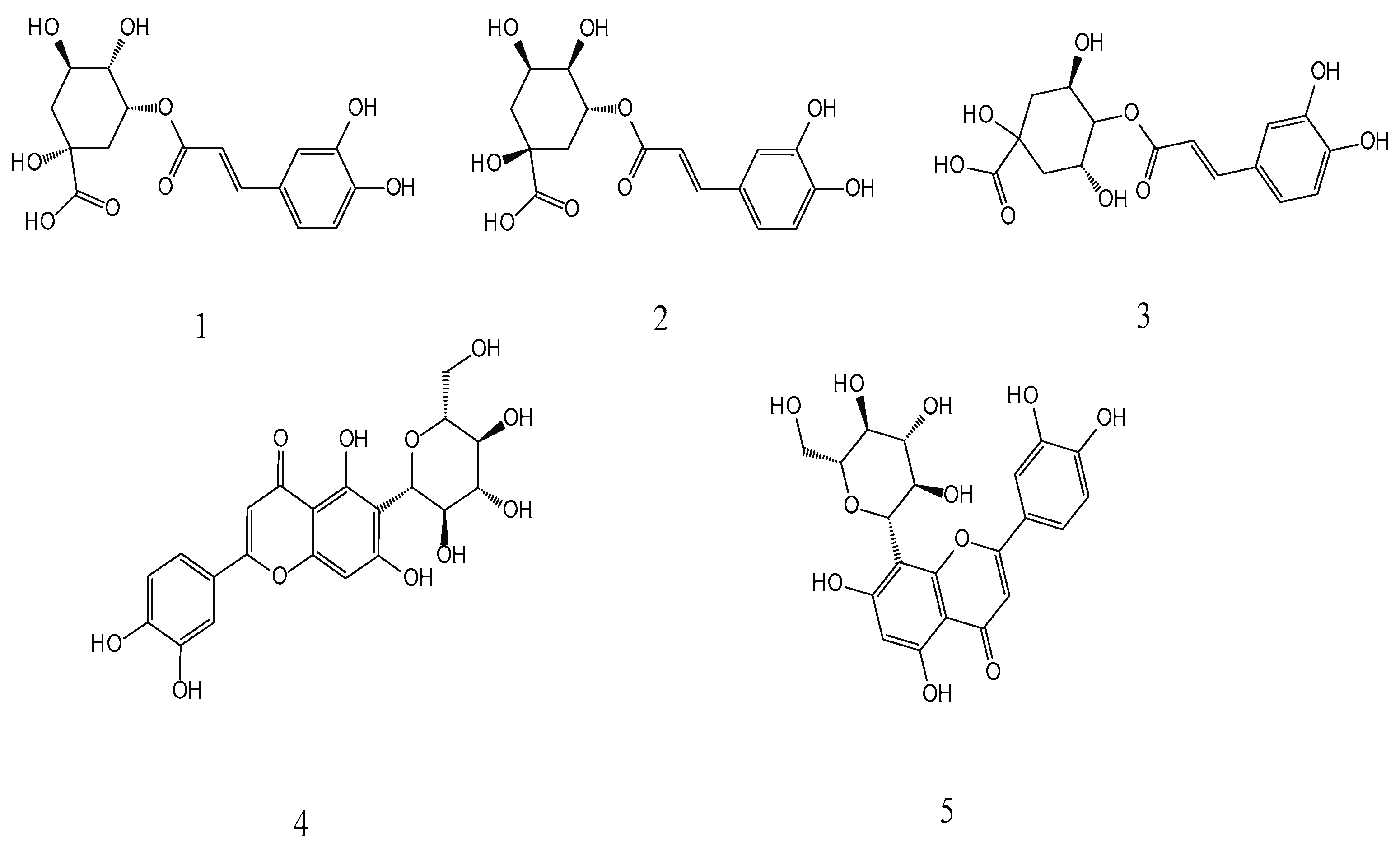
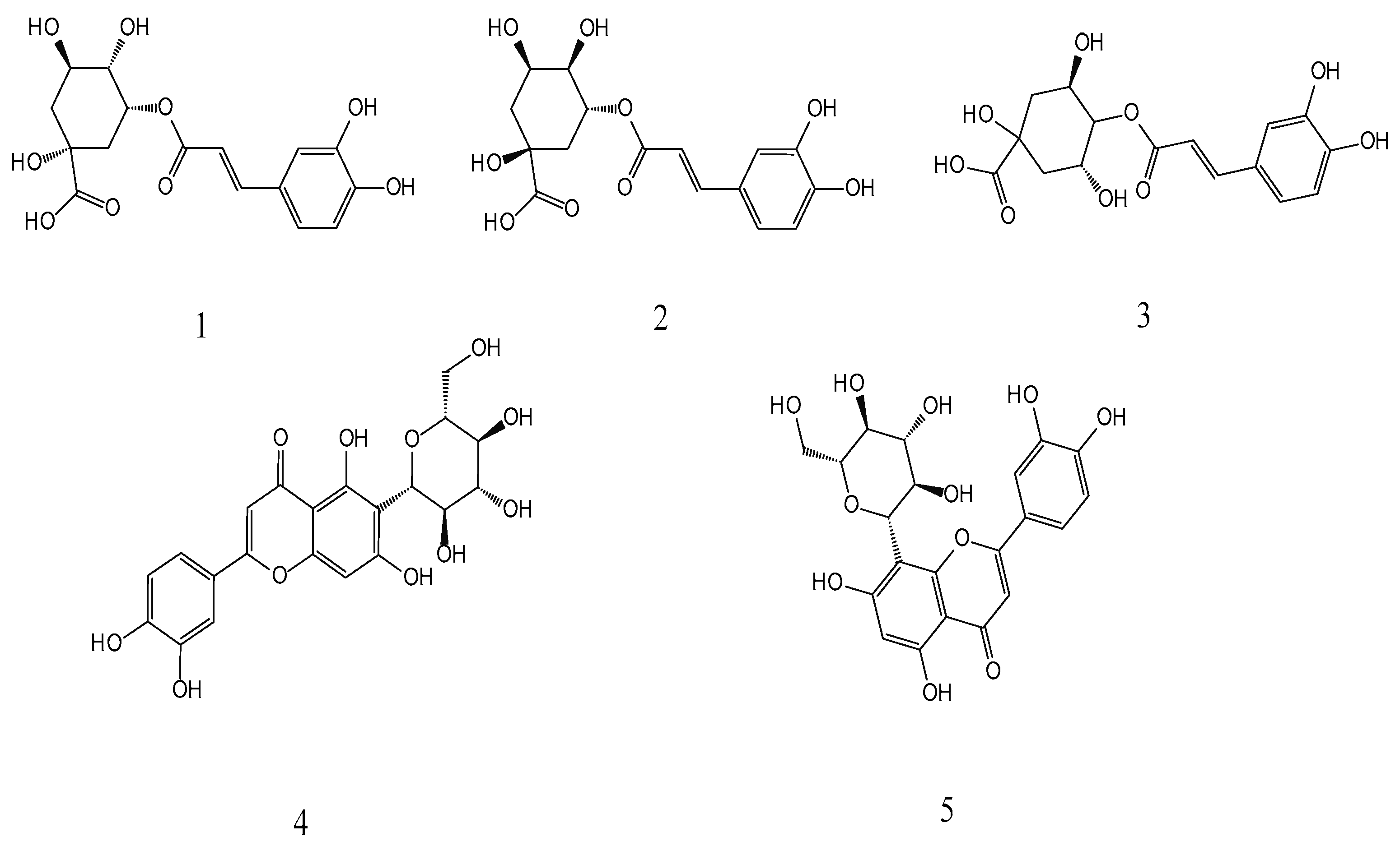
3.1. UPLC Characterization
3.2. Methodological Verification
3.2.1. Linear Relation and Sensitivity
3.2.2. Instrument Precision, Sample Stability, Measurement Reproducibility, and Accuracy
3.3. Optimization of Process Conditions
3.3.1. The Single-Factor Test
3.3.2. The Single-Factor Test
3.4. Analysis of the Contents of 5 Phenols from the Leaves of 18 Bamboo Species
4. Conclusions
Author Contributions
Funding
Data Availability Statement
Conflicts of Interest
References
- Iroegbu, A.; Ray, S. Bamboos: From Bioresource to Sustainable Materials and Chemicals. Sustainability 2021, 13, 12200. [Google Scholar] [CrossRef]
- Basak, M.; Dutta, S.; Biswas, S.; Chakraborty, S.; Sarkar, A.; Rahaman, T.; Dey, S.; Biswas, P.; Das, M. Genomic Insights into Growth and Development of Bamboos: What Have We Learnt and What More to Discover? Trees 2021, 35, 1771–1791. [Google Scholar] [CrossRef]
- Andressa Almeida Farias, C.; Rodrigues dos Reis, A.; Rodrigues de Morais, D.; Alves Camponogara, J.; Bettio, L.; Albieri Pudenzi, M.; Augusto Ballus, C.; Teixeira Barcia, M. Phenolic Diversity and Antioxidant Potential of Different Varieties of Bamboo Leaves Using LC-ESI-QTOF-MS/MS and LC-ESI-QqQ-MS/MS. Food Res. Int. 2024, 179, 114025. [Google Scholar] [CrossRef] [PubMed]
- Magdalena, P.A.; Florin, I.; Loredana, S.; Carmen, C.; Florin, F.; Ionut, G.O.; Iren, S.A. Comprehensive and Critical View on the Anti-Inflammatory and Immunomodulatory Role of Natural Phenolic Antioxidants. Eur. J. Med. Chem. 2024, 265, 116075. [Google Scholar]
- Xue, J.; Guo, X.; Xu, G.; Chen, X.; Jiao, L.; Tang, X. Discovery, Identification, and Mode of Action of Phenolics from Marine-Derived Fungus Aspergillus Ustus as Antibacterial Wilt Agents. J. Agric. Food Chem. 2024, 72, 2989–2996. [Google Scholar] [CrossRef] [PubMed]
- Ibrahim, L.; El-Ansari, M.; Sharaf, M. Natural Phenolics: A Source of Anticancer Agents. Egypt. Pharm. J. 2019, 18, 1. [Google Scholar] [CrossRef]
- Loaiza-Cano, V.; Monsalve-Escudero, L.M.; Filho, C.d.S.M.B.; Martinez-Gutierrez, M.; de Sousa, D.P. Antiviral Role of Phenolic Compounds against Dengue Virus: A Review. Biomolecules 2020, 11, 11. [Google Scholar] [CrossRef] [PubMed]
- Guo, X.; Ren, T.; Li, H.; Lu, Q.; Di, X. Antioxidant Activity and Mechanism Exploration for Microwave-Assisted Extraction of Flavonoids from Scutellariae Radix Using Natural Deep Eutectic Solvent. Microchem. J. 2024, 200, 110300. [Google Scholar] [CrossRef]
- Al-Khayri, J.M.; Sahana, G.R.; Nagella, P.; Joseph, B.V.; Alessa, F.M.; Al-Mssallem, M.Q. Flavonoids as Potential Anti-Inflammatory Molecules: A Review. Molecules 2022, 27, 2901. [Google Scholar] [CrossRef]
- Zhou, Y.; Chen, M.; Huo, X.; Xu, Q.; Wu, L.; Wang, L. Separation of Flavonoids and Purification of Chlorogenic Acid from Bamboo Leaves Extraction Residues by Combination of Macroporous Resin and High-Speed Counter-Current Chromatography. Molecules 2023, 28, 4443. [Google Scholar] [CrossRef]
- Li, H.; Tan, X.; Huang, W.; Zhu, X.; Yang, X.; Shen, Y.; Yan, R. Enzymatic Acylation of Flavonoids from Bamboo Leaves: Improved Lipophilicity and Antioxidant Activity for Oil-Based Foods. J. Agric. Food Chem. 2023, 71, 4817–4824. [Google Scholar] [CrossRef] [PubMed]
- Wang, Y.; Zhang, Y.; Cheng, J.; Zhao, J.; Shi, R.; He, L.; Li, Q.; Chen, Y. Efficient Purification of Flavonoids from Bamboo Shoot Residues of Phyllostachys edulis by Macroporous Resin and Their Hypoglycemic Activity. Food Chem. X 2022, 16, 100505. [Google Scholar] [CrossRef] [PubMed]
- Ye, S.; Pan, F.; Yao, L.; Fang, H.; Cheng, Y.; Zhang, Z.; Chen, Y.; Zhang, A. Isolation, Characterization of Bamboo Leaf Flavonoids by Size Exclusion Chromatography and Their Antioxidant Properties. Chem. Biodivers. 2022, 19, e202200506. [Google Scholar] [CrossRef] [PubMed]
- Zhang, R.; Shi, X.; Liu, J.; Jiang, Y.; Wu, Y.; Xu, Y.; Yang, C. The Effects of Bamboo Leaf Flavonoids on Growth Performance, Immunity, Antioxidant Status, and Intestinal Microflora of Chinese Mitten Crabs (Eriocheir sinensis). Anim. Feed Sci. Technol. 2022, 288, 115297. [Google Scholar] [CrossRef]
- Li, X.; Tao, W.; Xun, H.; Yao, X.; Wang, J.; Sun, J.; Yue, Y.; Tang, F. Simultaneous Determination of Flavonoids from Bamboo Leaf Extracts Using Liquid Chromatography-Tandem Mass Spectrometry. Rev. Bras. Farmacogn. 2021, 31, 347–352. [Google Scholar] [CrossRef]
- Fei, Z.; Xie, D.; Wang, M.; Zhang, Y.; Zhang, H.; Du, Q.; Jin, P. Enhanced Biotransformation of Bioactive Components and Volatile Compounds of Bamboo (Phyllostachys glauca McClure) Leaf Juice Fermented by Probiotic Streptococcus thermophiles. Lebenson. Wiss. Technol. 2023, 173, 114363. [Google Scholar] [CrossRef]
- Guo, X.-F.; Yue, Y.-D.; Tang, F.; Wang, J.; Yao, X.; Sun, J. Simultaneous Determination of Seven Flavonoids in Dan Bamboo Phyllostachys glauca McClure Leaf Extract and in Commercial Products by HPLC-DAD: A New Determination Method of Flavonoids. J. Food Biochem. 2013, 37, 748–757. [Google Scholar] [CrossRef]
- Mattonai, M.; Massai, P.; Ribechini, E. Sustainable Microwave-Assisted Eutectic Solvent Extraction of Polyphenols from Vine Pruning Residues. Microchem. J. 2024, 197, 109816. [Google Scholar] [CrossRef]
- Jiang, L.; Belwal, T.; Huang, H.; Ge, Z.; Limwachiranon, J.; Zhao, Y.; Li, L.; Ren, G.; Luo, Z. Extraction and Characterization of Phenolic Compounds from Bamboo Shoot Shell under Optimized Ultrasonic-Assisted Conditions: A Potential Source of Nutraceutical Compounds. Food Bioproc. Technol. 2019, 12, 1741–1755. [Google Scholar] [CrossRef]
- Buelvas-Puello, L.M.; Franco-Arnedo, G.; Martínez-Correa, H.A.; Ballesteros-Vivas, D.; Sánchez-Camargo, A.D.P.; Miranda-Lasprilla, D.; Narváez-Cuenca, C.-E.; Parada-Alfonso, F. Supercritical Fluid Extraction of Phenolic Compounds from Mango (Mangifera indica L.) Seed Kernels and Their Application as an Antioxidant in an Edible Oil. Molecules 2021, 26, 7516. [Google Scholar] [CrossRef] [PubMed]
- Lin, K.-T.; Wang, C.; Guo, M.F.; Aprà, E.; Ma, R.; Ragauskas, A.J.; Zhang, X. Lignin with Controlled Structural Properties by N-Heterocycle-Based Deep Eutectic Solvent Extraction. Proc. Natl. Acad. Sci. USA 2023, 120, e2307323120. [Google Scholar] [CrossRef] [PubMed]
- Abbott, A.P.; Capper, G.; Davies, D.L.; Munro, H.L.; Rasheed, R.K.; Tambyrajah, V. Preparation of Novel, Moisture-Stable, Lew-Is-Acidic Ionic Liquids Containing Quaternary Ammonium Salts with Functional Side Chains. Chem. Commun. 2001, 19, 2010–2011. [Google Scholar] [CrossRef] [PubMed]
- Morrison, H.G.; Sun, C.C.; Neervannan, S. Characterization of Thermal Behavior of Deep Eutectic Solvents and Their Potential as Drug Solubilization Vehicles. Int. J. Pharm. 2009, 378, 136–139. [Google Scholar] [CrossRef] [PubMed]
- Omar, K.A.; Sadeghi, R. Database of Deep Eutectic Solvents and Their Physical Properties: A Review. J. Mol. Liq. 2023, 384, 121899. [Google Scholar] [CrossRef]
- Liu, Y.; Wang, J.; Tang, F. Optimization of Extraction Process of Flavone C-glycosides from Bamboo Leaves by Deep Eutectic Solvent-Ball Mill Method. Chem. Ind. For. Prod. 2023, 43, 60–66. [Google Scholar] [CrossRef]
- An, R.; Yuan, T.; Guo, X. Quantification and Antioxidant Activity of Flavonoids in Bamboo Leaves Extract of Bambusa. Chem. Ind. For. Prod. 2023, 43, 97–103. [Google Scholar] [CrossRef]
- Kim, M.; Choi, S.-Y.; Lee, P.; Hur, J. Neochlorogenic Acid Inhibits Lipopolysaccharide-Induced Activation and pro-Inflammatory Responses in BV2 Microglial Cells. Neurochem. Res. 2015, 40, 1792–1798. [Google Scholar] [CrossRef] [PubMed]
- Huang, S.; Wang, L.-L.; Xue, N.-N.; Li, C.; Guo, H.-H.; Ren, T.-K.; Zhan, Y.; Li, W.-B.; Zhang, J.; Chen, X.-G.; et al. Chlorogenic Acid Effectively Treats Cancers through Induction of Cancer Cell Differentiation. Theranostics 2019, 9, 6745–6763. [Google Scholar] [CrossRef] [PubMed]
- Ganzon, J.G.; Chen, L.-G.; Wang, C.-C. 4-O-Caffeoylquinic Acid as an Antioxidant Marker for Mulberry Leaves Rich in Phenolic Compounds. J. Food Drug Anal. 2018, 26, 985–993. [Google Scholar] [CrossRef]
- Anilkumar, K.; Reddy, G.V.; Azad, R.; Yarla, N.S.; Dharmapuri, G.; Srivastava, A.; Kamal, M.A.; Pallu, R. Evaluation of Anti-Inflammatory Properties of Isoorientin Isolated from Tubers of Pueraria tuberosa. Oxidative Med. Cell. Longev. 2017, 2017, 5498054. [Google Scholar] [CrossRef]
- Dhakal, H.; Lee, S.; Choi, J.K.; Kwon, T.K.; Khang, D.; Kim, S.-H. Inhibitory Effects of Orientin in Mast Cell-Mediated Allergic Inflammation. Pharmacol. Rep. 2020, 72, 1002–1010. [Google Scholar] [CrossRef] [PubMed]
- Chen, J.; Liu, M.; Wang, Q.; Du, H.; Zhang, L. Deep Eutectic Solvent-Based Microwave-Assisted Method for Extraction of Hydrophilic and Hydrophobic Components from Radix Salviae miltiorrhizae. Molecules 2016, 21, 1383. [Google Scholar] [CrossRef] [PubMed]
- García, G.; Aparicio, S.; Ullah, R.; Atilhan, M. Deep Eutectic Solvents: Physicochemical Properties and Gas Separation Applications. Energy Fuels 2015, 29, 2616–2644. [Google Scholar] [CrossRef]
- Liu, X.-Y.; Ou, H.; Gregersen, H.; Zuo, J. Deep Eutectic Solvent-Based Ultrasound-Assisted Extraction of Polyphenols from Cosmos sulphureus. J. Appl. Res. Med. Aromat. Plants 2023, 32, 100444. [Google Scholar] [CrossRef]
- Xie, W.; Yu, Y.; Hou, M.; Zhang, Y.; Yu, H.; Zhang, H.; Zhang, G.; Jing, H.; Chen, A. Simultaneous Separation and Determination of Five Chlorogenic Acid Isomers in Honeysuckle by Capillary Electrophoresis Using Self-synthesized Ionic Liquid [N-Methylimidazole-β-cyclodextrin] [Bromide] as Separation Selector. J. Sep. Sci. 2022, 45, 3197–3207. [Google Scholar] [CrossRef] [PubMed]
- Di Lorenzo, C.; Colombo, F.; Biella, S.; Stockley, C.; Restani, P. Polyphenols and Human Health: The Role of Bioavailability. Nutrients 2021, 13, 273. [Google Scholar] [CrossRef] [PubMed]
- Scott, K.A.; Cox, P.B.; Njardarson, J.T. Phenols in Pharmaceuticals: Analysis of a Recurring Motif. J. Med. Chem. 2022, 65, 7044–7072. [Google Scholar] [CrossRef]
- de Lima Cherubim, D.J.; Buzanello Martins, C.V.; Oliveira Fariña, L.; da Silva de Lucca, R.A. Polyphenols as Natural Antioxidants in Cosmetics Applications. J. Cosmet. Dermatol. 2020, 19, 33–37. [Google Scholar] [CrossRef]





| Factors | ||
|---|---|---|
| A (min) Extraction Time | B (%) Water Content in DES | C (g/mL) Solid-to-Liquid Ratio |
| 20 | 30 | 1:20 |
| 30 | 40 | 1:25 |
| 40 | 50 | 1:30 |
| Compounds | Linear Function | Correlation Coefficient (R2) | Linear Range (μg/mL) | LOD (μg/mL) | LOQ (μg/mL) |
|---|---|---|---|---|---|
| Neochlorogenic acid | Y = 35,164.75X + 119.66 | 0.9998 | 3.91~250.00 | 0.30 | 0.90 |
| Chlorogenic acid | Y = 51,171.93X + 55.34 | 0.9999 | 3.91~250.00 | 0.30 | 0.90 |
| Cryptochlorogenic acid | Y = 31,457.10X - 3.30 | 0.9998 | 3.91~250.00 | 0.30 | 0.90 |
| Isoorientin | Y = 36,908.03X + 84.71 | 0.9993 | 3.91~250.00 | 0.30 | 0.90 |
| Orientalin | Y = 44,372.87X + 20.90 | 0.9999 | 3.91~250.00 | 0.30 | 0.90 |
| Compounds | Original Quantity (mg/g) | Added (mg/g) | Measured (mg/g) | Recovery (%) | RSD (%) (n = 3) |
|---|---|---|---|---|---|
| Neochlorogenic acid | 0.618 | 0.300 | 0.902 | 94.78 | 3.03 |
| 0.618 | 0.600 | 1.234 | 102.66 | 0.74 | |
| 0.618 | 0.900 | 1.480 | 95.82 | 0.79 | |
| Chlorogenic acid | 0.383 | 0.200 | 0.589 | 102.83 | 3.68 |
| 0.383 | 0.400 | 0.772 | 99.75 | 1.81 | |
| 0.383 | 0.600 | 0.924 | 90.22 | 0.75 | |
| Cryptochlorogenic acid | 0.368 | 0.200 | 0.532 | 82.00 | 2.20 |
| 0.368 | 0.400 | 0.780 | 103.00 | 2.52 | |
| 0.368 | 0.600 | 0.970 | 100.28 | 2.83 | |
| Isosaxonin | 0.385 | 0.250 | 0.623 | 95.07 | 1.75 |
| 0.385 | 0.400 | 0.722 | 84.25 | 1.07 | |
| 0.385 | 0.600 | 0.948 | 93.89 | 1.73 | |
| Orientalin | 0.038 | 0.025 | 0.060 | 88.00 | 9.09 |
| 0.038 | 0.035 | 0.069 | 89.52 | 4.87 | |
| 0.038 | 0.060 | 0.089 | 82.78 | 5.07 |
| No | Extraction Time A (min) | Water Content of DES B (%) | Solid-to-Liquid Ratio C (g/mL) | Total Content of Total Phenols (mg/g) |
|---|---|---|---|---|
| 1 | 20 | 30 | 1:20 | 1.503 |
| 2 | 20 | 40 | 1:30 | 1.602 |
| 3 | 20 | 50 | 1:25 | 1.784 |
| 4 | 30 | 30 | 1:25 | 2.227 |
| 5 | 30 | 40 | 1:20 | 2.140 |
| 6 | 30 | 50 | 1:30 | 2.086 |
| 7 | 40 | 30 | 1:30 | 1.922 |
| 8 | 40 | 40 | 1:25 | 1.928 |
| 9 | 40 | 50 | 1:20 | 1.841 |
| K1 | 1.630 | 1.884 | 1.828 | |
| K2 | 2.151 | 1.890 | 1.980 | |
| K3 | 1.897 | 1.904 | 1.870 | |
| R | 0.521 | 0.020 | 0.152 |
| Source | Sum of Squares | df | Mean Square | F Value | p Value |
|---|---|---|---|---|---|
| A | 0.408 | 2 | 0.2039 | 22.567 | 0.042 |
| B | 0.001 | 2 | 0.0003 | 0.034 | 0.967 |
| C | 0.037 | 2 | 0.0184 | 2.036 | 0.329 |
| Error | 0.018 |
| Compounds | Ultrasonic Extraction Methanol as Solvent (mg/g) | Ultrasonic Extraction Ethanol as Solvent (mg/g) | Traditional Organic Solvent |
|---|---|---|---|
| Neochlorogenic acid | 0.691 ± 0.0044 | 0.839 ± 0.0035 | 0.727 ± 0.0044 |
| Chlorogenic acid | 0.432 ± 0.0015 | 0.527 ± 0.0030 | 0.471 ± 0.0006 |
| Cryptochlorogenic acid | 0.422 ± 0.0026 | 0.505 ± 0.0047 | 0.436 ± 0.0015 |
| Issorientin | 0.278 ± 0.0035 | 0.105 ± 0.0021 | 0.589 ± 0.0006 |
| Orientin | 0.011 ± 0.0006 | / | 0.030 ± 0.0006 |
| Total content | 1.834 | 1.976 | 2.253 |
| NO | Latin Name | Neochlorogenic Acid (mg/g) | Chlorogenic Acid (mg/g) | Cryptochlorogenic Acid (mg/g) | Issorientin (mg/g) | Orientin (mg/g) | Total Content (mg/g) |
|---|---|---|---|---|---|---|---|
| 1 | Phyllostachys glauca f. yunzhu | 0.172 ± 0.0021 | 0.118 ± 0.0006 | 0.167 ± 0.0012 | 0.005 ± 0.0003 | / | 0.506 |
| 2 | Phyllostachys glauca | 0.793 ± 0.0017 | 0.491 ± 0.0081 | 0.485 ± 0.0043 | 0.465 ± 0.0021 | 0.044 ± 0.0005 | 2.278 |
| 3 | Phyllostachys glauca var. variabilis | 0.271 ± 0.0020 | 0.174 ± 0.0025 | 0.188 ± 0.0006 | 0.120 ± 0.0017 | / | 0.749 |
| 4 | Phyllostachys propinqua | 0.018 ± 0.0010 | 0.025 ± 0.0002 | 0.037 ± 0.0030 | 0.261 ± 0.0020 | / | 0.341 |
| 5 | Phyllostachys aureosulcata “Spectabilis” | 0.059 ± 0.0012 | 0.047 ± 0.0006 | 0.092 ± 0.0012 | 0.105 ± 0.0020 | / | 0.303 |
| 6 | Phyllostachys bissetii McClure | 0.184 ± 0.0015 | 0.098 ± 0.0010 | 0.161 ± 0.0012 | 0.057 ± 0.0003 | / | 0.500 |
| 7 | Phyllostachys aureosulcata McClure | 0.296 ± 0.0100 | 0.267 ± 0.0038 | 0.218 ± 0.0047 | 0.174 ± 0.0040 | 0.018 ± 0.0006 | 0.973 |
| 8 | Phyllostachys iridescens C. Y. Yao | 0.154 ± 0.0020 | 0.155 ± 0.0012 | 0.140 ± 0.0035 | 0.283 ± 0.0087 | / | 0.732 |
| 9 | Pleioblastus kongosanensis aureostriatus | / | 0.007 ± 0.0002 | 0.024 ± 0.0006 | 0.124 ± 0.0012 | / | 0.155 |
| 10 | Pleioblastus gozadakensis Nakai | 0.119 ± 0.0076 | 0.102 ± 0.0026 | 0.112 ± 0.0006 | 0.100 ± 0.0047 | / | 0.433 |
| 11 | Pseudosasajaponica (Sieb. et Zucc.) Makino | 0.155 ± 0.0015 | 0.094 ± 0.0006 | 0.120 ± 0.0012 | 0.112 ± 0.0006 | / | 0.481 |
| 12 | Pleioblastus argenteostriatus | / | / | / | 0.202 ± 0.0015 | / | 0.202 |
| 13 | Pleioblastus fortunei v.Houtte Nakai | 0.167 ± 0.0010 | 0.119 ± 0.0010 | 0.127 ± 0.0002 | 0.305 ± 0.0044 | / | 0.718 |
| 14 | Shibataea chinensis Nakai | 0.157 ± 0.0017 | 0.102 ± 0.0006 | 0.153 ± 0.0006 | 0.122 ± 0.0012 | / | 0.534 |
| 15 | Shibataea lanceifolia C. H. Hu | 0.305 ± 0.0044 | 0.238 ± 0.0015 | 0.145 ± 0.0021 | 0.189 ± 0.0010 | / | 0.877 |
| 16 | Hibanobambus tranguillans f.shiroshima H. Okamura | 0.432 ± 0.0050 | 0.284 ± 0.0040 | 0.275 ± 0.0025 | 0.167 ± 0.0036 | / | 1.158 |
| 17 | Indocalamus decorus Q. H. Dai | / | / | 0.039 ± 0.0001 | 0.099 ± 0.0026 | / | 0.138 |
| 18 | Indocalamus tessellatus (Munro) P. C. Keng | 0.128 ± 0.0010 | 0.097 ± 0.0020 | 0.120 ± 0.0012 | 0.143 ± 0.0020 | / | 0.488 |
Disclaimer/Publisher’s Note: The statements, opinions and data contained in all publications are solely those of the individual author(s) and contributor(s) and not of MDPI and/or the editor(s). MDPI and/or the editor(s) disclaim responsibility for any injury to people or property resulting from any ideas, methods, instructions or products referred to in the content. |
© 2024 by the authors. Licensee MDPI, Basel, Switzerland. This article is an open access article distributed under the terms and conditions of the Creative Commons Attribution (CC BY) license (https://creativecommons.org/licenses/by/4.0/).
Share and Cite
Hei, J.; Wang, J.; Wang, J.; Zhang, D.; Song, W.; Xun, H.; Guo, X.; Yao, X. Five Significant Phenols from Phyllostachys glauca McClure Leaves Extracted Using Ultrasound-Assisted Deep Eutectic Solvent Extraction. Separations 2024, 11, 220. https://doi.org/10.3390/separations11080220
Hei J, Wang J, Wang J, Zhang D, Song W, Xun H, Guo X, Yao X. Five Significant Phenols from Phyllostachys glauca McClure Leaves Extracted Using Ultrasound-Assisted Deep Eutectic Solvent Extraction. Separations. 2024; 11(8):220. https://doi.org/10.3390/separations11080220
Chicago/Turabian StyleHei, Jianqiang, Jianjun Wang, Jin Wang, Daoqi Zhang, Wenting Song, Hang Xun, Xuefeng Guo, and Xi Yao. 2024. "Five Significant Phenols from Phyllostachys glauca McClure Leaves Extracted Using Ultrasound-Assisted Deep Eutectic Solvent Extraction" Separations 11, no. 8: 220. https://doi.org/10.3390/separations11080220
APA StyleHei, J., Wang, J., Wang, J., Zhang, D., Song, W., Xun, H., Guo, X., & Yao, X. (2024). Five Significant Phenols from Phyllostachys glauca McClure Leaves Extracted Using Ultrasound-Assisted Deep Eutectic Solvent Extraction. Separations, 11(8), 220. https://doi.org/10.3390/separations11080220

