Simultaneous Quantification of Twelve Compounds from Bamboo/Wood Vinegar by Gas Chromatography-Mass Spectrometry
Abstract
1. Introduction
2. Materials and Methods
2.1. Materials
2.2. Standard Solution Preparation
2.3. Preparation of Test Samples
2.4. GC-MS Analysis Method
2.5. Determination of Dissolved Tar Content, pH Value, and Total Organic Acid Content
2.6. Data Statistics and Analysis
3. Results
3.1. Retention Time and Qualitative and Quantitative Ions of Twelve Organic Compounds
3.2. Linear Equations and Detection Limits for Twelve Compounds
3.3. Instrument Precision and Method Stability of Twelve Compounds
3.4. Recovery Rates of Twelve Compounds
3.5. Content of Twelve Compounds in Twenty Samples
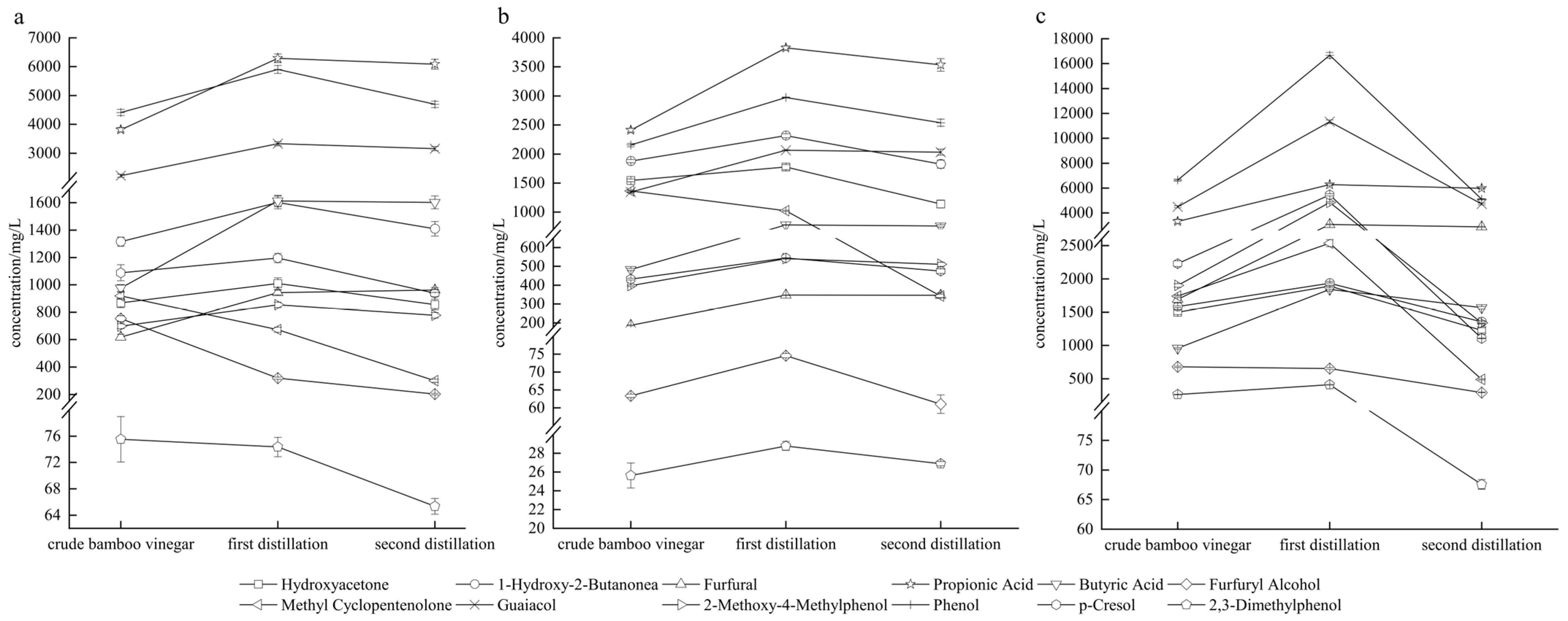
3.6. The Effect of Distillation on the Content and Physicochemical Properties of Twelve Compounds in Bamboo Vinegar
4. Discussion
5. Conclusions
Supplementary Materials
Author Contributions
Funding
Data Availability Statement
Conflicts of Interest
References
- Guan, Z.O. China Forestry and Grassland Statistical Yearbook; China Forestry Publishing House: Beijing, China, 2022. [Google Scholar]
- Zheng, L.; Wu, Y.Q.; Zuo, Y.F. Current status and prospects of research on the resource utilization of bamboo residues. World For. Res. 2021, 34, 82–88. [Google Scholar]
- Wang, S.S.; Zhang, L.; Semple, K.; Zhang, M.; Zhang, W.B.; Dai, C.P. Development of biodegradable flame-retardant bamboo charcoal composites, Part I: Thermal and elemental analyses. Polymers 2020, 12, 2217. [Google Scholar] [CrossRef]
- Kumar, R.; Gunjal, J.; Chauhan, S. Effect of carbonization temperature on properties of natural fiber and charcoal filled hybrid polymer composite. Compos. Part B Eng. 2021, 217, 108846. [Google Scholar] [CrossRef]
- Wang, Z.Y.; Hu, L.Y.; Zhao, M.; Dai, L.Y.; Hrynsphan, D.; Tatsiana, S.; Chen, J. Bamboo charcoal fused with polyurethane foam for efficiently removing organic solvents from wastewater: Experimental and simulation. Biochar 2022, 4, 28. [Google Scholar] [CrossRef]
- Nguyen, T.B.; Yoon, B.; Nguyen, T.D.; Oh, E.; Ma, Y.; Wang, M.; Suhr, J. A facile salt-templating synthesis route of bamboo-derived hierarchical porous carbon for supercapacitor applications. Carbon 2023, 206, 383–391. [Google Scholar] [CrossRef]
- Masanizan, A.; Lim, C.M.; Kooh, M.R.R.; Mahadi, A.H.; Thotagamuge, R. The removal of ruthenium-based complexes N3 dye from DSSC wastewater using copper impregnated KOH-activated bamboo charcoal. Water Air Soil Pollut. 2021, 232, 388. [Google Scholar] [CrossRef]
- Abd El-hameed, S.A.A.; Negm, S.S.; Ismael, N.E.M.; Naiel, M.A.E.; Soliman, M.M.; Shukry, M.; Abdel-Latif, H.M.R. Effects of activated charcoal on growth, immunity, oxidative stress markers, and physiological responses of Nile tilapia exposed to sub-lethal imidacloprid toxicity. Animals 2021, 11, 1357. [Google Scholar] [CrossRef]
- Gomez, J.P.; Velez, J.P.A.; Pinzon, M.A.; Arango, J.A.M.; Muriel, A.P. Chemical characterization and antiradical properties of pyroligneous acid from a preserved bamboo, Guadua angustifolia Kunth. Braz. Arch. Biol. Technol. 2021, 64, e21190730. [Google Scholar] [CrossRef]
- Tang, F. Reflection on the chemical utilization of all bamboo. World Bamboo Vine Commun. 2019, 17, 5–8. [Google Scholar]
- Cao, X.F.; Zhong, L.X.; Peng, X.W.; Sun, S.N.; Li, S.M.; Liu, S.J.; Sun, R.C. Comparative study of the pyrolysis of lignocellulose and its major components: Characterization and overall distribution of their biochars and volatiles. Bioresour. Technol. 2014, 155, 21–27. [Google Scholar] [CrossRef]
- Vinus, N.S.; Tewatia, B.S. Organic acids as alternatives to antibiotic growth promoters in poultry. Pharm Innov 2017, 6, 164–169. [Google Scholar]
- Nakanishi, N.; Tashiro, K.; Kuhara, S.; Hayashi, T.; Sugimoto, N.; Tobe, T. Regulation of virulence by butyrate sensing in enterohaemorrhagic Escherichia coli. Microbiology 2009, 155, 521–530. [Google Scholar] [CrossRef] [PubMed]
- Sun, Y.; O’Riordan, M.X.D. Regulation of bacterial pathogenesis by intestinal short-chain fatty acids. Adv. Appl. Microbiol. 2013, 85, 93–118. [Google Scholar] [PubMed]
- Yao, D.; Bi, D.M.; Zhao, A.; Liu, J.; Liu, J.; Li, B.Z. Improved the Yields of High Value-Added Ketones in Bio-Oil from Biomass Fast Pyrolysis Employing Zno-Modified Magnesium Aluminum Spinel Catalyst. SSRN 2022, 3995060. [Google Scholar] [CrossRef]
- Lin, H.; Xu, J.Y.; Sun, W.L.; Hu, W.J.; Gao, H.F.; Hu, K.H.; Qiu, J.Z.; Huang, B.B.; Zhang, L.Y. Efficient 1-hydroxy-2-butanone production from 1, 2-butanediol by whole cells of engineered E. coli. Catalysts 2021, 11, 1184. [Google Scholar] [CrossRef]
- Li, Z.C.; Zhang, Z.Q.; Wu, L.J.; Zhang, H.Q.; Wang, Z.M. Characterization of five kinds of wood vinegar obtained from agricultural and forestry wastes and identification of major antioxidants in wood vinegar. Chem. Res. Chin. Univ. 2019, 35, 12–20. [Google Scholar] [CrossRef]
- Cai, C.M.; Zhang, T.Y.; Kumar, R.; Wyman, C.E. Integrated furfural production as a renewable fuel and chemical platform from lignocellulosic biomass. J. Chem. Technol. Biotechnol. 2014, 89, 2–10. [Google Scholar] [CrossRef]
- Zhuang, X.W.; Chen, S.W.; Bai, M.E. Analysis of the components and content of bamboo vinegar before and after refining treatment. For. Chem. Commun. 2005, 39, 20–24. [Google Scholar]
- Wang, J.; Song, L.; Zhang, Y.Y.; Ma, X.J.; Cao, X.S.; Tang, F.; Yue, Y.D. The photostability effect of bamboo vinegar on thiamethoxam in water. J. Bamboo 2017, 36, 49–53. [Google Scholar]
- Song, L.; Wang, J.; Ma, X.J.; Zhang, Y.Y.; Wu, G.; Tang, F.; Yue, Y.D. The effect of bamboo vinegar on the photolysis of azadirachtin A and prochloraz. J. Anhui Agric. Univ. 2017, 44, 434–438. [Google Scholar]
- Zhang, Z.Y.; Du, X.G. Research on the control effect of bamboo vinegar compound silicon on tomato leaf mold. Chin. J. Plant Prot. 2012, 32, 8–11. [Google Scholar]
- Xu, L.J.; Yuan, Q.H.; Wang, T.Q.; Zhong, W.J.; Qiu, K. The effect of bamboo vinegar copper preparation on the growth and development of tobacco plants. Guizhou Agric. Sci. 2016, 44, 71–73. [Google Scholar]
- Li, D. The field control effect of different bamboo vinegar mixtures on tobacco brown spot disease. Zhejiang Agric. Sci. 2021, 62, 2477–2479. [Google Scholar]
- Rattanawut, J.; Pimpa, O.; Venkatachalam, K.; Yamauchi, K. Effects of bamboo charcoal powder, bamboo vinegar, and their combination in laying hens on performance, egg quality, relative organ weights, and intestinal bacterial populations. Trop. Anim. Health Prod. 2021, 53, 83. [Google Scholar] [CrossRef] [PubMed]
- Yamashiro, K.; Ariffin, H.; Nishida, H. Tar-free and benzo[a]pyrene-free hydrothermal liquefaction of bamboo and antibacterial property of recovered vinegar. Chem. Lett. 2015, 44, 1342–1344. [Google Scholar] [CrossRef]
- Ju, K.; Kil, M.; Ri, S.; Kim, T.; Zhang, L.N.; Yan, M.C.; Liu, G.X. Dietary intake of bamboo vinegar and charcoal powder (BVC) enhances resistance of African catfish Clarias gariepinus to bacterial pathogen. J. Oceanol. Limnol. 2022, 40, 336–346. [Google Scholar] [CrossRef]
- Lin, H.; Chen, P.K.; Lai, Y.J.; Wu, S.C.; Hwang, G.S.; Noboru, F. Safety evaluation and antimutagenic activity of bamboo/wood vinegars collected at different temperatures. J. Fac. Agric. Kyushu Univ. 2014, 2, 359–368. [Google Scholar] [CrossRef]
- Zhang, W.B.; Li, W.Z.; Fang, W.; Yu, L.S. Analysis of the components of bamboo vinegar from different bamboo species. World Bamboo Vine Commun. 2008, 6, 1–5. [Google Scholar]
- Han, L.; Zhao, T.; Zou, Y.M.; Li, F.; Fan, Y.N.; Zhou, Y.; Yang, L.Q. Preliminary study on component analysis and antifungal activity of bamboo vinegar solution. J. Jiangsu Univ. Med. Ed. 2011, 21, 167–170. [Google Scholar]
- Van Immerseel, F.; Russell, J.B.; Flythe, M.D.; Gantois, I.; Timbermont, L.; Pasmans, F.; Haesebrouck, F.; Ducatelle, R. The use of organic acids to combat Salmonella in poultry: A mechanistic explanation of the efficacy. Avian Pathol. 2006, 35, 182–188. [Google Scholar] [CrossRef]
- Zhong, L.J.; Ma, G.H.; Ma, Z.W.; Sun, X.Y.; Yang, J.G. Research progress on the synthesis of methyl cyclopentenone ketone. Chin. Food Nutr. 2018, 24, 52–54. [Google Scholar]
- Lu, X.C.; Jiang, J.C.; Sun, K.; Sun, Y.J. The influence of pyrolysis process on the preparation and properties of wood vinegar solution. For. Chem. Ind. 2018, 38, 61–69. [Google Scholar]
- GB/T 31734-2015; Bamboo Pyroligneous Liquid. China National Standards: Beijing, China, 2013.
- Lu, X.C.; Jiang, J.C.; He, J.; Sun, K.; Sun, Y.J. Study on the enrichment of active components in wood vinegar by different extractants. For. Chem. Ind. 2020, 40, 76–82. [Google Scholar] [CrossRef]
- Wang, J.; Cui, Y.; Wang, Z.Y.; Yue, Y.D.; Tang, F. Comparison of two pre-treatment methods for analyzing the volatile components of bamboo vinegar. Food Sci. 2011, 32, 198–201. [Google Scholar]
- Zhang, W.B.; Ye, L.M.; Liu, L.; Qian, J.; Chen, W.Z.; Ye, X.X. Component analysis of bamboo vinegar solution. J. Bamboo Res. 2001, 20, 72–77. [Google Scholar]
- Chen, S.W.; Zhuang, X.W.; Bai, M.E.; Ye, H.L. Analysis of differences in components and content of bamboo vinegar produced by different processes. For. Chem. Ind. 2008, 28, 95–98. [Google Scholar]
- Bai, M.E.; Chen, S.W.; Zhuang, X.W. The effect of different refining processes on the physicochemical properties of bamboo vinegar solution. For. Chem. Commun. 2005, 39, 25–27. [Google Scholar]
- Sung, P.M.; Chang, S.K. Pyrolysis GC-MS analysis of tars formed during the aging of wood and bamboo crude vinegars. J. Wood Sci. 2010, 56, 47–52. [Google Scholar]
- Garg, A.; Basu, S.; Shetti, N.P.; Bhattu, M.; Alodhayb, A.N.; Pandiaraj, S. Biowaste to bioenergy nexus: Fostering sustainability and circular economy. Environ. Res. 2024, 250, 118503. [Google Scholar] [CrossRef]
- Madeddu, C.; Roda-Serrat, M.C.; Christensen, K.V.; EI-Houri, R.B.; Errico, M. A biocascade approach towards the recovery of high-value natural products from biowaste: State-of-art and future trends. Waste Biomass Valorization 2021, 12, 1143–1166. [Google Scholar] [CrossRef]
- Akakabe, Y.; Tamura, Y.; Iwamoto, S.; Takabayashi, M.; Nyuugaku, T. Volatile organic compounds with characteristic odor in bamboo vinegar. Biosci Biotechnol Biochem 2006, 70, 2797–2799. [Google Scholar] [CrossRef]
- Bilehal, D.; Li, L.; Kim, Y.H. Gas chromatography–mass spectrometry analysis and chemical composition of the bamboo-carbonized liquid. Food Anal. Methods 2012, 5, 109–112. [Google Scholar] [CrossRef]
- Maliang, H.; Wang, P.W.; Chen, A.L.; Liu, H.B.; Lin, H.P.; Ma, J.Y. Bamboo tar as a novel fungicide: Its chemical components, laboratory evaluation, and field efficacy against false smut and sheath blight of rice and powdery mildew and fusarium wilt of cucumber. Plant Dis. 2021, 105, 331–338. [Google Scholar] [CrossRef]
- Ku, C.S.; Mun, S.P. Characterization of Pyrolysis Tar Derived from Lignocellulosic Biomass. J. Ind. Eng. Chem. 2006, 12, 853–861. [Google Scholar]
- Theapparat, Y.; Chandumpai, A.; Leelasuphakul, W.; Laemsak, N. Pyroligneous Acids from Carbonisation of Wood and Bamboo: Their Components and Antifungal Activity. J. Trop. For. Sci. 2015, 27, 517–526. [Google Scholar]
- Marumoto, S.; Yamamoto, S.P.; Nishimura, H.; Onomoto, K.; Yatagai, M.; Yazaki, K.; Fujita, T.; Watanabe, T. Identification of a germicidal compound against picornavirus in bamboo pyroligneous acid. J. Agric. Food Chem. 2012, 60, 9106–9111. [Google Scholar] [CrossRef]
- Maliang, H.; Li, Y.; Wang, Y.; Jin, L.C.; Liu, H.B.; Chen, A.L.; Chen, J.; Ma, J.Y. Pyroligneous acids from biomass charcoal by-product as a potential non-selective bioherbicide for organic farming: Its chemical components, greenhouse phytotoxicity and field efficacy. Environ. Sci. Pollut. Res. 2023, 30, 14126–14138. [Google Scholar] [CrossRef] [PubMed]
- Tao, L.; Xu, J.; Cai, X.Y.; Wang, L.; Xu, Y.; Xu, L. Determination of six types of smooth agents in food packaging materials by gas chromatography-mass spectrometry. China Port Sci. Technol. 2024, 6, 77–83. [Google Scholar]
- Luo, R.L.; Li, Y.; Wang, W.Q.; Du, Y.G.; Wang, J. Determination of the content and migration of three non ortho benzene plasticizers in plastic food contact materials by gas chromatography-mass spectrometry. Food Sci. Technol. 2023, 48, 281–286. [Google Scholar]
- Liu, Y.; Gu, L.L.; Cai, J.Y.; Yang, F.R.; Li, W.X.; Wang, H.P.; Gu, J.L. Simultaneous determination of ketone aroma components in heated cigarette smoke by GC-MS/MS. J. Mass Spectrom. 2024, 45, 447–456. [Google Scholar] [CrossRef]
- Lu, J.L.; Yang, Q.; Qiu, Y.; He, X.L.; Xie, W.; Yu, Q.L. Determination of 46 volatile organic compounds in plastic runway surface layer by headspace/gas chromatography-mass spectrometry. J. Anal. Test. 2024, 43, 315–321. [Google Scholar]
- Qian, H.; Zhong, Z.K.; Wang, Y.B.; Bai, M.E. GC/MS analysis of the chemical composition of bamboo tar. J. Bamboo Res. 2006, 25, 24–27. [Google Scholar]
- Xue, R. Research on Refinement and Application of Eucommia ulmoides Pyrolysis Wood Vinegar. Master’s Thesis, Northwest A&F University, Xianyang, China, 2024. [Google Scholar]
- Mahrous, E.A.; Farag, M.A. Trends and applications of molecular distillation in pharmaceutical and food industries. Sep. Purif. Rev. 2022, 51, 300–317. [Google Scholar] [CrossRef]
- Wang, X.; Qiu, P.; Peng, X.S.; Li, Z.; Li, W.L. Research progress on the application of integrated membrane technology in the traditional Chinese medicine pharmaceutical industry. Chin. J. Pharm. 2020, 55, 1836–1841. [Google Scholar]



| No. | Compound | CAS Number | Manufacturer | Standard Liquor Concentration (mg/L) |
|---|---|---|---|---|
| 1 | Hydroxyacetone | 116-09-6 | Shanghai Yien Chemical Technology Co., Ltd. (Shanghai, China) | 3789 |
| 2 | 1-Hydroxy-2-butanone | 5077-67-8 | Guangzhou Jiatu Technology Co., Ltd. (Guangzhou, China) | 351 |
| 3 | Furfural | 98-01-1 | Sigma Aldrich (Shanghai) Trading Co., Ltd. (Shanghai, China) | 2032 |
| 4 | Propionic acid | 79-09-4 | Shanghai Aladdin Biochemical Technology Co., Ltd. (Shanghai, China) | 1813 |
| 5 | Butyric acid | 107-92-6 | Shanghai Aladdin Biochemical Technology Co., Ltd. | 3183 |
| 6 | Furfuryl alcohol | 98-00-0 | Shanghai Aladdin Biochemical Technology Co., Ltd. | 2497 |
| 7 | Methylcyclopentenone ketone | 80-71-7 | Shanghai Yuanye Biotechnology Co., Ltd. (Shanghai, China) | 2185 |
| 8 | 2-Methoxyphenol | 90-05-1 | Tixi Ai (Shanghai) Chemical Industry Development Co., Ltd. (Shanghai, China) | 5534 |
| 9 | 2-Methoxy-4-cresol | 93-51-6 | Shanghai Aladdin Biochemical Technology Co., Ltd. | 1548 |
| 10 | Phenol | 108-95-2 | Shanghai Aladdin Biochemical Technology Co., Ltd. | 2148 |
| 11 | 4-Methylphenol | 106-44-5 | Tanmo Quality Inspection Technology Co., Ltd. (Changzhou, China) | 1248 |
| 12 | 2,3-Dimethylphenol | 526-75-0 | Tanmo Quality Inspection Technology Co., Ltd. | 1605 |
| No. | Compound | CAS Number | Retention Time (min) | Quantitative Ion (m/z) | Qualitative Ions (m/z) |
|---|---|---|---|---|---|
| 1 | Hydroxyacetone | 116-09-6 | 6.00 | 43 | 73, 74, 75 |
| 2 | 1-Hydroxy-2-butanone | 5077-67-8 | 6.95 | 57 | 86, 88, 89 |
| 3 | Furfural | 98-01-1 | 8.04 | 96 | 95, 96, 97 |
| 4 | Propionic acid | 79-09-4 | 8.94 | 74 | 61, 71, 73 |
| 5 | Butyric acid | 107-92-6 | 10.03 | 60 | 73, 87, 88 |
| 6 | Furfuryl alcohol | 98-00-0 | 10.42 | 98 | 95, 97, 98 |
| 7 | Methylcyclopentenone ketone | 80-71-7 | 12.40 | 112 | 111, 112, 113 |
| 8 | 2-Methoxyphenol | 90-05-1 | 12.75 | 109 | 121, 124, 125 |
| 9 | 2-Methoxy-4-cresol | 93-51-6 | 14.08 | 138 | 137, 138, 139 |
| 10 | Phenol | 108-95-2 | 14.83 | 94 | 92, 94, 95 |
| 11 | 4-Methylphenol | 106-44-5 | 16.34 | 107 | 105, 108, 109 |
| 12 | 2,3-Dimethylphenol | 526-75-0 | 17.63 | 107 | 121, 122, 123 |
| Compound | Linear Equation | Linearity (R2) | Linear Range (mg/L) | LOD (mg/L) | LOQ (mg/L) |
|---|---|---|---|---|---|
| Hydroxyacetone | y = 909,735 x − 91155 | 0.9988 | 1.632~10.000 | 0.408 | 1.632 |
| 1-Hydroxy-2-butanone | y = 684,410 x − 134149 | 0.9981 | 0.100~10.000 | 0.015 | 0.060 |
| Furfural | y = 3,269,146 x − 333190 | 0.9997 | 0.100~10.000 | 0.005 | 0.020 |
| Propionic acid | y = 1,050,840 x − 60886 | 0.9995 | 0.100~10.000 | 0.019 | 0.076 |
| Butyric acid | y = 1,897,762 x − 237665 | 0.9993 | 3.120~10.000 | 0.780 | 3.120 |
| Furfuryl alcohol | y = 1,249,834 x − 131052 | 0.9996 | 0.100~10.000 | 0.006 | 0.024 |
| Methylcyclopentenone ketone | y = 1,423,255 x − 218810 | 0.9990 | 0.100~10.000 | 0.018 | 0.072 |
| 2-Methoxyphenol | y = 4,579,382 x − 465742 | 0.9997 | 0.100~10.000 | 0.004 | 0.016 |
| 2-Methoxy-4-cresol | y = 2,509,010 x − 317716 | 0.9994 | 0.100~10.000 | 0.004 | 0.016 |
| Phenol | y = 2,768,645 x − 313421 | 0.9995 | 0.100~10.000 | 0.006 | 0.024 |
| 4-Methylphenol | y = 4,953,782 x − 653676 | 0.9995 | 0.100~10.000 | 0.006 | 0.024 |
| 2,3-Dimethylphenol | y = 5,029,518 x − 676423 | 0.9994 | 0.100~10.000 | 0.008 | 0.032 |
| Compound | Precision (RSD, %, n = 6) | Interday Stability (RSD, %, n = 3) | |
|---|---|---|---|
| Standard | Sample | ||
| Hydroxyacetone | 6.47 | 5.49 | 5.48 |
| 1-Hydroxy-2-butanone | 4.62 | 3.35 | 3.87 |
| Furfural | 5.10 | 4.06 | 3.15 |
| Propionic acid | 3.92 | 3.97 | 1.78 |
| Butyric acid | 5.32 | 3.38 | 1.02 |
| Furfuryl alcohol | 3.08 | 2.95 | 1.57 |
| Methylcyclopentenone ketone | 5.18 | 1.92 | 1.20 |
| 2-Methoxyphenol | 5.16 | 4.76 | 4.32 |
| 2-Methoxy-4-cresol | 5.18 | 2.54 | 3.41 |
| Phenol | 5.10 | 3.51 | 4.02 |
| 4-Methylphenol | 4.96 | 2.81 | 3.64 |
| 2,3-Dimethylphenol | 5.36 | 5.27 | 4.13 |
| Compound | Concentration Range in Twenty Samples (mg/L) |
|---|---|
| Hydroxyacetone | 47.63–4382.84 |
| 1-Hydroxy-2-butanone | 45.38–2584.33 |
| Furfural | 10.93–1691.19 |
| Propionic acid | 732.29–4221.88 |
| Butyric acid | 70.75–1125.54 |
| Furfuryl alcohol | 11.43–2150.21 |
| Methylcyclopentenone ketone | 15.56–2032.02 |
| 2-Methoxyphenol | 11.31–4501.88 |
| 2-Methoxy-4-cresol | 12.66–1902.00 |
| Phenol | 22.00–6650.86 |
| 4-Methylphenol | 13.39–2228.33 |
| 2,3-Dimethylphenol | 13.45–264.78 |
Disclaimer/Publisher’s Note: The statements, opinions and data contained in all publications are solely those of the individual author(s) and contributor(s) and not of MDPI and/or the editor(s). MDPI and/or the editor(s) disclaim responsibility for any injury to people or property resulting from any ideas, methods, instructions or products referred to in the content. |
© 2024 by the authors. Licensee MDPI, Basel, Switzerland. This article is an open access article distributed under the terms and conditions of the Creative Commons Attribution (CC BY) license (https://creativecommons.org/licenses/by/4.0/).
Share and Cite
Wang, J.; Zhang, B.; Xun, H.; Yao, X.; Tang, F. Simultaneous Quantification of Twelve Compounds from Bamboo/Wood Vinegar by Gas Chromatography-Mass Spectrometry. Separations 2024, 11, 168. https://doi.org/10.3390/separations11060168
Wang J, Zhang B, Xun H, Yao X, Tang F. Simultaneous Quantification of Twelve Compounds from Bamboo/Wood Vinegar by Gas Chromatography-Mass Spectrometry. Separations. 2024; 11(6):168. https://doi.org/10.3390/separations11060168
Chicago/Turabian StyleWang, Jianjun, Bao Zhang, Hang Xun, Xi Yao, and Feng Tang. 2024. "Simultaneous Quantification of Twelve Compounds from Bamboo/Wood Vinegar by Gas Chromatography-Mass Spectrometry" Separations 11, no. 6: 168. https://doi.org/10.3390/separations11060168
APA StyleWang, J., Zhang, B., Xun, H., Yao, X., & Tang, F. (2024). Simultaneous Quantification of Twelve Compounds from Bamboo/Wood Vinegar by Gas Chromatography-Mass Spectrometry. Separations, 11(6), 168. https://doi.org/10.3390/separations11060168

