Abstract
Bamboo vinegar is a liquid biomass with a huge yield and complex chemical composition. At present, the relative quantification of bamboo vinegar has been investigated in most studies. To analyze twelve compounds from bamboo vinegar simultaneously, gas chromatography-mass spectrometry and an external standard method were used to develop an analytical method. In this method, chromatographic separations of all compounds were above 1.5. The linear range was between 0.100 and 10.000 mg/L, and the coefficient of determination (R2) was between 0.9981 and 0.9997, indicating a good linear relationship. The limit of detection (LOD) was between 0.004 and 0.780 mg/L; the limit of quantitation (LOQ) was between 0.016 and 3.120 mg/L; the relative standard deviations (RSDs) of instrument precision and method stability were less than 8%; the recovery rate was between 89.25% and 113.77%, and its RSD was between 0.44% and 5.70%. Using this method, fourteen bamboo vinegars and six wood vinegars were analyzed, and it was found that the content of propionic acid, phenol, and 2-methoxyphenol was higher in most samples. In addition, the differences in physicochemical properties between distilled bamboo vinegar and its original solution after atmospheric distillation were investigated.
1. Introduction
China is a major country in the bamboo industry, with a bamboo industry output value exceeding 412 billion yuan in 2022 [1]. However, the comprehensive utilization rate of bamboo processing is less than 50% [2], resulting in a large amount of bamboo processing surplus. The preparation of bamboo charcoal is an effective way to utilize bamboo processing residues. Bamboo charcoal is a loose and porous natural biomass material that can be used as a filler with polylactic acid [3], polypropylene [4], polyurethane [5] and so on to make composites with better flame retardant and mechanical properties. Meanwhile, porous carbon materials with a large specific surface area and total pore volume can be made and applied as electrode materials for supercapacitors [6], with high economic added value. In addition, the pore structure of bamboo charcoal gives it strong adsorption properties, and activated bamboo charcoal modified with metallic copper, strong acids, and strong bases plays an important role in the fields of wastewater treatment [7] and aquaculture [8].
However, the production of bamboo charcoal leads to a large amount of by-products, such as bamboo vinegar. Bamboo vinegar is an acidic, reddish brown, highly oxidized organic aqueous solution that is a smoke condensate during bamboo pyrolysis [9], which is rich in organic acids, phenols, alcohols, ketones, and other organic components. It is due to the thermal conversion of hemicellulose, cellulose, and lignin from bamboo. At present, the annual production of bamboo vinegar in China can reach 200,000 to 250,000 tons. But currently, it has not been effectively utilized and is mostly discharged as waste after simple treatment [10]. This not only inevitably causes environmental pollution but also a huge waste of bioactive material resources.
The complex components in bamboo vinegar come from the pyrolysis of lignocellulose in bamboo materials and are mainly compounds with good thermal stability and volatility. Phenolic compounds are derived from the decomposition of lignin at 300–700 °C, and organic acids, ketones, alcohols, and ethers come from polysaccharide component pyrolysis at 200–400 °C [11]. Organic acids, especially propionic acid and butyric acid, have antibacterial effects that are used as potential alternatives to antibiotic growth promoters [12,13,14]. Ketones are an important class of multi-purpose products used for the production of high-value-added chemicals [15]. For example, 1-hydroxy-2-butanone (HB) is a key intermediate in the anti-tuberculosis drug ethambutol [16]. The phenolic compounds in bamboo vinegar are the main active ingredients that exert antibacterial and antioxidant effects [17]. Furfural is an important natural precursor of furan-based chemicals such as furfuryl alcohol, methylfuran, tetrahydrofuran, and so on [18]. Considering the rich content of organic active ingredients in bamboo vinegar, it has great potential for application in multiple fields such as agriculture, food, cosmetics, and hygiene [19].
The main components of bamboo vinegar are organic acids and phenolic compounds, which can improve the stability of pesticides, enhance the efficacy of pesticides, weeding, insecticides, antibacterials, etc., and have important application value and great application potential. Studies have shown that bamboo vinegar can improve the photostability of the broad-spectrum insecticides thiamethoxam, azadirachtin A, and the broad-spectrum fungicide prochloraz, which may be the result of the photoquenching of phenolic compounds in bamboo vinegar [20,21]. The combination of copper and silicon with bamboo vinegar has synergistic effects such as promoting the growth of tobacco seedlings, inhibiting the growth of green algae, and preventing the occurrence of tomato leaf mildew [22,23]. The combination of bamboo vinegar with the existing pesticides Sclerotinia and Bordeaux liquid can play a synergistic role in inhibiting tobacco red star disease and promoting the growth of tobacco seedlings [24]. In animal husbandry, animal production performance, utilization rate of animal feed, immune function, and intestinal environment were optimized through adding bamboo vinegar [25,26,27]. In the field of healthcare, Lin HC et al. [28] explored the inhibitory effect of bamboo vinegar collected at different temperatures on harmful fungi. They found that phenolic substances such as phenol, which has a higher content in bamboo vinegar, have strong antifungal properties. In summary, bamboo vinegar with abundant organic acids, phenols, and other active compounds has wide effects in many fields.
However, the chemical properties of bamboo vinegar are unstable, and the composition of bamboo vinegar from different sources varies greatly [29]. In most existing studies, the relative content of each component in the bamboo vinegar sample was determined using gas chromatography-mass spectrometry (GC-MS) [30]. In order to have a clearer understanding of the absolute content of the main chemical components in bamboo vinegar to guide the utilization of bamboo/wood vinegar, there is an urgent need for a detection method that can simultaneously detect the content of multiple compounds in bamboo vinegar. Among short-chain fatty acids, propionic acid and butyric acid have a better inhibitory effect on Salmonella [31]. Hydroxyacetone, 1-hydroxy-2-butanone and methylcyclopentenone ketone are the main ketones in bamboo vinegar [4,29,30], and methylcyclopentenone ketone is a good flavor enhancer and low-heat sweetener widely used in food, tobacco essence, and baked food [32]. In addition, phenol, 2-methoxyphenol, 2-methoxy-4-cresol, 4-methylphenol, 2,3-dimethylphenol, furfural, and furfuryl alcohol are widely contained in bamboo vinegar [4,29,30,33]. Therefore, based on GC-MS, a rapid detection method for the twelve organic compounds above in bamboo vinegar was established using an external standard method for quantification.
2. Materials and Methods
2.1. Materials
Twenty commercial bamboo/wood vinegar samples were collected from Zhejiang, Fujian, Guangxi, Anhui, Jiangxi, Shandong, Hebei provinces, and Beijing in China from October to November 2023 (Table S1). Twelve reference standards are shown in Table 1. Chromatographic-grade ethyl acetate was purchased by Shanghai McLean Biochemical Technology Co., Ltd. (Shanghai, China). The relevant reagents for the determination of physicochemical properties shall refer to [34].
Table 1.
Basic information about twelve standard reference materials.
2.2. Standard Solution Preparation
Accurately weigh twelve standard samples into 10 mL volumetric flasks, dissolve them in ethyl acetate, and make up the volume to prepare standard mother liquor (Table 1). Place them in brown sample bottles, seal them, and store at 4 °C.
Preparation of a mixed standard solution I: Use a pipette to pipette a certain amount of each standard mother liquor into a 10 mL volumetric flask, dilute to the mark with ethyl acetate, and prepare a 10 mg/L mixed standard solution. Store it in a brown sample bottle at 4 °C.
Preparation of mixed standard solution II: Dilute mixed standard solution I step by step with ethyl acetate to prepare a 1 mg/L mixed standard solution II. Store it in a brown sample bottle at 4 °C for precision and stability experiments.
Preparation of a working solution: Dilute the mixed standard solution I step by step with ethyl acetate to prepare mixed standard solutions with different concentration gradients (0.1, 0.2, 0.5, 1, 2, 4, 6, 8, 10 mg/L) and store them in brown sample bottles at 4 °C for standard curve plotting.
2.3. Preparation of Test Samples
Extraction: Take 10 mL of the sample to be tested and place it in a 25 mL separating funnel. Extract three times using ethyl acetate [35,36] in the extraction ratios of 10:3, 10:3, and 10:4 (v:v). Combine the ethyl acetate phases and add anhydrous sodium sulfate for dehydration. Take 1 mL of the collected ethyl acetate phase, dilute it 100 times with ethyl acetate, seal it in a brown sample bottle, and store it at 4 °C for testing.
Collection of atmospheric distillation fractions: Three types of bamboo vinegar raw materials were selected and subjected to atmospheric distillation at 100–110 °C to collect both primary and secondary distillation fractions.
2.4. GC-MS Analysis Method
Given that twelve target compounds in this method were strong polar compounds containing hydroxyl groups, a DB-WAX capillary chromatography column (30 m × 0.250 mm × 0.25 μm) composed of polyethylene glycol (PEG) stationary phases, which was commonly used for analyzing compounds with polar functional groups, was used for earlier retention time and better peak shape. The heating program was set according to the boiling points of twelve target compounds. In addition, the heating rate was adjusted in order to achieve effective separation with a resolution greater than 1.5. The heating program validated was as follows: initial temperature of 60 °C, constant temperature for 1 min; heat up at a rate of 10 °C/min to 170 °C and maintain a constant temperature for 4.5 min; heat up at a rate of 15 °C/min to 200 °C. In order to maintain a high vacuum state and an inert environment, 99.999% helium was applied as a carrier gas. A non-split injection was set to improve the accuracy and stability of trace compound detection. The inlet temperature was 260 °C, which was higher than the boiling point of each tested compound. The injection volume was 1 μL.
Mass spectrometry conditions: ionization mode: electron bombardment (EI), bombardment energy: 70 eV; ion source temperature: 230 °C; quadrupole temperature: 150 °C; solvent delay time: 4.0 min; Full scan (SCAN) was used for qualitative analysis of target compounds, and ion detection (SIM) was selected for quantification. The qualitative and quantitative ions of each target compound were shown in Table 2, where the peak intensity of the quantitative ion, which was the fragment with the highest abundance, was applied to calculating the concentration of the compound and qualitative ions were used to determine the specific compound.
Table 2.
Retention time, qualitative and quantitative ions, and resolutions of twelve compounds.
2.5. Determination of Dissolved Tar Content, pH Value, and Total Organic Acid Content
Dissolved tar content was determined using the DHG-9140A electric blast drying oven (Shanghai Yiheng Scientific Instrument Co., Ltd., Shanghai, China). The pH value was detected by a PH meter (Mettler Toledo Technology Co., Ltd., Hong Kong, China). And the total organic acid content was determined by a titration experiment. All determinations above were carried out according to [34].
2.6. Data Statistics and Analysis
The experimental data were analyzed using MSD ChemStation Data Analysis software, organized and tabulated by WPS Office, and mapped by Origin 2021.
3. Results
3.1. Retention Time and Qualitative and Quantitative Ions of Twelve Organic Compounds
Perform GC-MS analysis on mixed standard solution I in SCAN mode with a scanning range of 30–500 m/z to determine the retention time and qualitative and quantitative ions of twelve organic compounds (Table 2). The total ion chromatogram is shown in Figure 1, which meets the requirements of chromatographic analysis.
Figure 1.
Total ion chromatograms (TIC) of twelve compounds.
3.2. Linear Equations and Detection Limits for Twelve Compounds
The linear equations, detection limits, and quantification limits of twelve compounds were determined using SIM mode with a working standard solution of 0.1–10 mg/L. The results are shown in Table 3. The linear range of twelve compounds is between 0.100 and 10.000 mg/L, with a coefficient of determination (R2) ≥ 0.9981. The linear relationship is good, with a detection limit between 0.004 and 0.780 mg/L and a quantification limit between 0.016 and 3.120 mg/L.
Table 3.
Linear equations, limits of detection, and limits of quantitation for twelve compounds.
3.3. Instrument Precision and Method Stability of Twelve Compounds
The mixed standard solution II was injected continuously for six times, and the relative standard deviation (RSD, n = 6) of the compound peak area was calculated to characterize the precision of the instrument. The mixed standard solution II and sample were prepared and tested at the same time in 3 d and the relative standard deviation (n = 3) of the compound was calculated to characterize the interday stability of the method. As shown in Table 4, the relative standard deviation of instrument precision and method interday stability for the twelve compounds is less than 8%, which meets the requirements of the 9101 analytical method validation guidelines in Pharmacopoeia 2020.
Table 4.
Instrument precision and method stability of twelve compounds.
3.4. Recovery Rates of Twelve Compounds
Twelve standard reference compounds of different concentrations in the original solution of bamboo vinegar were added for detection. The results of the recycling experiment show that the recovery rate is between 89.25% and 113.77%, and the RSD is between 0.44% and 5.70%, which meets the requirements of the method (Table S2).
3.5. Content of Twelve Compounds in Twenty Samples
Twenty bamboo/wood vinegar samples were collected using the established detection method (Table S3). The results showed that there were significant differences in the content of various compounds in twenty bamboo/wood vinegar samples (Table 5). The content of propionic acid, phenol, and 2-methoxyphenol is relatively high.
Table 5.
Concentration range of twelve compounds in twenty samples.
3.6. The Effect of Distillation on the Content and Physicochemical Properties of Twelve Compounds in Bamboo Vinegar
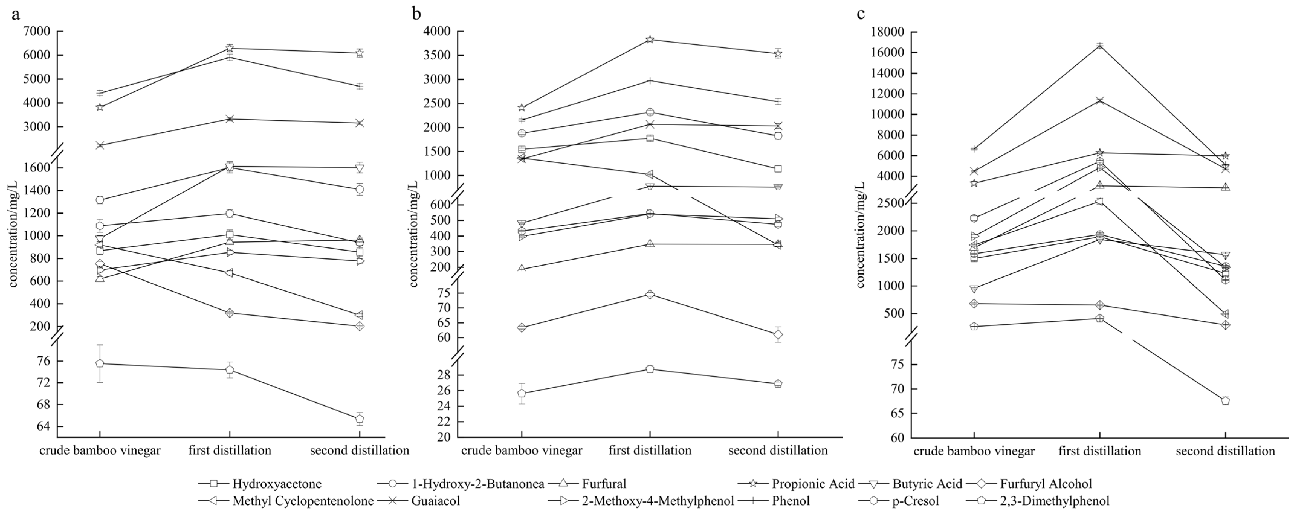
Three types of crude bamboo vinegar samples were selected from the twenty samples above to compare the differences in their main physicochemical properties and the content of twelve compounds before and after distillation. The results showed that the content of nine compounds increased in the first distillation fraction; the content of methylcyclopentenone decreased in the first distillation fraction of samples 15 and 16 and increased in the first distillation fraction of sample 17; the content of furfuryl alcohol decreased in the first distillation fraction of samples 15 and 17 and increased in the first distillation fraction of sample 16, which may be related to the lower content of furyl alcohol in sample 16; the content of 2,3-dimethylphenol increased in the first distillation fraction of samples 16 and 17, and decreased in the first distillation fraction of sample 15. Except for sample 15, where the content of furfural in the second distillation fraction increased compared to the first distillation fraction, the content of twelve compounds in the second distillation fraction decreased compared to the first distillation fraction (Figure 2).
Figure 2.
The effect of distillation on the content of twelve compounds in crude bamboo vinegar samples 15 (a), 16 (b), 17 (c). Represent the content of twelve compounds in three bamboo vinegars and their fractions, respectively. Error bars are represented in the form of standard deviation (SD, n = 3).
As shown in Figure 3, the total amount of organic acids in the first distillation fraction of three crude bamboo vinegar samples decreased and the pH value increased, but the content of propionic acid and butyric acid in the first distillation fraction increased (Figure 2), indicating that the main organic acids in the first distillation fraction were not propionic acid and butyric acid. According to existing research, the main organic acid component of bamboo vinegar is acetic acid [37,38,39]. The total organic acid content and pH value of the secondary distillation fraction decrease. In addition, atmospheric distillation can effectively reduce the dissolved tar content of bamboo vinegar stock solution, and a single distillation can reduce the dissolved tar by 92.59% to 98.97% [40].
Figure 3.
The effect of distillation on the pH of bamboo vinegar (a); The effect of distillation on the total organic acid content of bamboo vinegar (b); The effect of distillation on the dissolved tar content of bamboo vinegar (c). Represent the content of twelve compounds in three bamboo vinegars and their fractions, respectively. Error bars are represented in the form of standard deviation (SD, n = 3).
4. Discussion
In recent years, the management of waste has absorbed increasing attention with rapid industrialization and urbanization [41]. Furthermore, biowaste is an excellent material that can be used for the production of energy and chemicals [42]. Bamboo vinegar is a typical biowaste produced in the process of bamboo pyrolysis. It has complex components and is difficult to selectively transform into a single component for high-value utilization. Over the years, research on the components of bamboo vinegar has mostly focused on relative quantification [43,44,45,46,47,48,49]. Relative quantification can only explore the content relationship of various compounds in bamboo vinegar and cannot provide absolute values for specific compound content. The content of a single compound is easily influenced by other components, making it difficult to accurately evaluate the application potential and principle of action of specific components in bamboo vinegar. In this study, twelve target compounds in bamboo vinegar were quantified accurately by an external standard method, which provided an analytical method for further effective utilization of bamboo vinegar. In addition, there have been many studies on the analysis of compound content using internal/external standard methods based on GC-MS technology, including food packaging [50,51], cigarette smoke [52], plastic runway [53], etc. However, there have been no reports on quantitative methods for bamboo vinegar. Therefore, this study takes bamboo vinegar as the research object and develops a GC-MS detection method that can quickly quantify twelve organic compounds within 18 min. However, considering that the compounds in bamboo vinegar are not limited to the twelve ones above, more compounds in bamboo vinegar need to be contained in the analytical method. This will face more challenges in parameter settings and compound selection.
Another challenging issue in the application of bamboo vinegar is the removal of toxic components. Dissolved tar in crude bamboo vinegar contains a large amount of toxic components, which can be removed by distillation [54]. The same conclusion was obtained in this study. In addition, the contents of active compounds in distilled bamboo vinegar increased. This indicates that distillation is an effective means of refining crude bamboo vinegar. Research has shown that distilled wood vinegar has better preservation and antibacterial effects owing to its higher content of organic acids and phenols [55]. This has been verified by this study. Refining crude bamboo vinegar through distillation and other processes can remove toxic and harmful substances from dissolved tar and increase the content of organic acids, phenols, ketones, and other organic components [39]. This provides a safe guarantee for the comprehensive utilization of bamboo vinegar in multiple fields.
Given that a huge variation in compound content was discovered in different source samples, the standardization of bamboo/wood vinegar production is necessary for its effective utilization. In addition, more innovative separation techniques, such as molecular distillation [56] and membrane separation technology [57], should be utilized in the extraction and isolation of active components from bamboo vinegar. It is worth noting that most small molecular compounds are unstable in bamboo/wood vinegar, so the way to effectively retain active components is worthy of consideration.
5. Conclusions
This study established a GC-MS detection method for simultaneous analysis of twelve organic compounds in bamboo/wood vinegar, and applied this method to the qualitative and quantitative analysis of twenty bamboo/wood vinegar samples from different sources. It was found that the content of the twelve compounds varied greatly among these samples, with propionic acid, phenol, and 2-methoxyphenol having higher content. The propionic acid content ranged from 732.29 to 4221.88 mg/L, the phenol content ranged from 22.00 to 6650.86 mg/L, and the 2-methoxyphenol content ranged from 11.31 to 4501.88 mg/L. By analyzing the changes in the content and physicochemical properties of various compounds in the three types of bamboo vinegar before and after atmospheric distillation, it was found that one distillation would lead to an increase in the content of nine specific compounds. In addition, the detection results of dissolved tar content indicate that the main components of dissolved tar in bamboo vinegar stock solution do not include the nine compounds with increased content in a single distillation fraction. In summary, the quantitative method established based on GC-MS in this study is suitable for the qualitative and quantitative analysis of twelve specific organic compounds in natural products such as bamboo/wood vinegar from different sources.
Supplementary Materials
The following supporting information can be downloaded at: https://www.mdpi.com/article/10.3390/separations11060168/s1, Table S1: Basic information of twenty commercial bamboo/wood vinegar samples. Table S2: Recovery rates and its relative standard deviations of 12 compounds. Table S3: Content of 12 compounds in 20 samples.
Author Contributions
Conceptualization, resources, supervision, project administration, and funding acquisition, F.T.; methodology and software, J.W., B.Z. and F.T.; validation, F.T.; formal analysis, J.W., B.Z. and X.Y.; investigation, J.W., B.Z., H.X., X.Y. and F.T.; data curation, J.W.; writing—original draft preparation, J.W. and H.X.; writing—review and editing, H.X. and F.T.; visualization, J.W. All authors have read and agreed to the published version of the manuscript.
Funding
This research was funded by the National Key Research and Development Program, 2022YFD2200905.
Data Availability Statement
Data are contained within the article and the Supplementary Materials.
Conflicts of Interest
The authors declare no conflicts of interest.
References
- Guan, Z.O. China Forestry and Grassland Statistical Yearbook; China Forestry Publishing House: Beijing, China, 2022. [Google Scholar]
- Zheng, L.; Wu, Y.Q.; Zuo, Y.F. Current status and prospects of research on the resource utilization of bamboo residues. World For. Res. 2021, 34, 82–88. [Google Scholar]
- Wang, S.S.; Zhang, L.; Semple, K.; Zhang, M.; Zhang, W.B.; Dai, C.P. Development of biodegradable flame-retardant bamboo charcoal composites, Part I: Thermal and elemental analyses. Polymers 2020, 12, 2217. [Google Scholar] [CrossRef]
- Kumar, R.; Gunjal, J.; Chauhan, S. Effect of carbonization temperature on properties of natural fiber and charcoal filled hybrid polymer composite. Compos. Part B Eng. 2021, 217, 108846. [Google Scholar] [CrossRef]
- Wang, Z.Y.; Hu, L.Y.; Zhao, M.; Dai, L.Y.; Hrynsphan, D.; Tatsiana, S.; Chen, J. Bamboo charcoal fused with polyurethane foam for efficiently removing organic solvents from wastewater: Experimental and simulation. Biochar 2022, 4, 28. [Google Scholar] [CrossRef]
- Nguyen, T.B.; Yoon, B.; Nguyen, T.D.; Oh, E.; Ma, Y.; Wang, M.; Suhr, J. A facile salt-templating synthesis route of bamboo-derived hierarchical porous carbon for supercapacitor applications. Carbon 2023, 206, 383–391. [Google Scholar] [CrossRef]
- Masanizan, A.; Lim, C.M.; Kooh, M.R.R.; Mahadi, A.H.; Thotagamuge, R. The removal of ruthenium-based complexes N3 dye from DSSC wastewater using copper impregnated KOH-activated bamboo charcoal. Water Air Soil Pollut. 2021, 232, 388. [Google Scholar] [CrossRef]
- Abd El-hameed, S.A.A.; Negm, S.S.; Ismael, N.E.M.; Naiel, M.A.E.; Soliman, M.M.; Shukry, M.; Abdel-Latif, H.M.R. Effects of activated charcoal on growth, immunity, oxidative stress markers, and physiological responses of Nile tilapia exposed to sub-lethal imidacloprid toxicity. Animals 2021, 11, 1357. [Google Scholar] [CrossRef]
- Gomez, J.P.; Velez, J.P.A.; Pinzon, M.A.; Arango, J.A.M.; Muriel, A.P. Chemical characterization and antiradical properties of pyroligneous acid from a preserved bamboo, Guadua angustifolia Kunth. Braz. Arch. Biol. Technol. 2021, 64, e21190730. [Google Scholar] [CrossRef]
- Tang, F. Reflection on the chemical utilization of all bamboo. World Bamboo Vine Commun. 2019, 17, 5–8. [Google Scholar]
- Cao, X.F.; Zhong, L.X.; Peng, X.W.; Sun, S.N.; Li, S.M.; Liu, S.J.; Sun, R.C. Comparative study of the pyrolysis of lignocellulose and its major components: Characterization and overall distribution of their biochars and volatiles. Bioresour. Technol. 2014, 155, 21–27. [Google Scholar] [CrossRef]
- Vinus, N.S.; Tewatia, B.S. Organic acids as alternatives to antibiotic growth promoters in poultry. Pharm Innov 2017, 6, 164–169. [Google Scholar]
- Nakanishi, N.; Tashiro, K.; Kuhara, S.; Hayashi, T.; Sugimoto, N.; Tobe, T. Regulation of virulence by butyrate sensing in enterohaemorrhagic Escherichia coli. Microbiology 2009, 155, 521–530. [Google Scholar] [CrossRef] [PubMed]
- Sun, Y.; O’Riordan, M.X.D. Regulation of bacterial pathogenesis by intestinal short-chain fatty acids. Adv. Appl. Microbiol. 2013, 85, 93–118. [Google Scholar] [PubMed]
- Yao, D.; Bi, D.M.; Zhao, A.; Liu, J.; Liu, J.; Li, B.Z. Improved the Yields of High Value-Added Ketones in Bio-Oil from Biomass Fast Pyrolysis Employing Zno-Modified Magnesium Aluminum Spinel Catalyst. SSRN 2022, 3995060. [Google Scholar] [CrossRef]
- Lin, H.; Xu, J.Y.; Sun, W.L.; Hu, W.J.; Gao, H.F.; Hu, K.H.; Qiu, J.Z.; Huang, B.B.; Zhang, L.Y. Efficient 1-hydroxy-2-butanone production from 1, 2-butanediol by whole cells of engineered E. coli. Catalysts 2021, 11, 1184. [Google Scholar] [CrossRef]
- Li, Z.C.; Zhang, Z.Q.; Wu, L.J.; Zhang, H.Q.; Wang, Z.M. Characterization of five kinds of wood vinegar obtained from agricultural and forestry wastes and identification of major antioxidants in wood vinegar. Chem. Res. Chin. Univ. 2019, 35, 12–20. [Google Scholar] [CrossRef]
- Cai, C.M.; Zhang, T.Y.; Kumar, R.; Wyman, C.E. Integrated furfural production as a renewable fuel and chemical platform from lignocellulosic biomass. J. Chem. Technol. Biotechnol. 2014, 89, 2–10. [Google Scholar] [CrossRef]
- Zhuang, X.W.; Chen, S.W.; Bai, M.E. Analysis of the components and content of bamboo vinegar before and after refining treatment. For. Chem. Commun. 2005, 39, 20–24. [Google Scholar]
- Wang, J.; Song, L.; Zhang, Y.Y.; Ma, X.J.; Cao, X.S.; Tang, F.; Yue, Y.D. The photostability effect of bamboo vinegar on thiamethoxam in water. J. Bamboo 2017, 36, 49–53. [Google Scholar]
- Song, L.; Wang, J.; Ma, X.J.; Zhang, Y.Y.; Wu, G.; Tang, F.; Yue, Y.D. The effect of bamboo vinegar on the photolysis of azadirachtin A and prochloraz. J. Anhui Agric. Univ. 2017, 44, 434–438. [Google Scholar]
- Zhang, Z.Y.; Du, X.G. Research on the control effect of bamboo vinegar compound silicon on tomato leaf mold. Chin. J. Plant Prot. 2012, 32, 8–11. [Google Scholar]
- Xu, L.J.; Yuan, Q.H.; Wang, T.Q.; Zhong, W.J.; Qiu, K. The effect of bamboo vinegar copper preparation on the growth and development of tobacco plants. Guizhou Agric. Sci. 2016, 44, 71–73. [Google Scholar]
- Li, D. The field control effect of different bamboo vinegar mixtures on tobacco brown spot disease. Zhejiang Agric. Sci. 2021, 62, 2477–2479. [Google Scholar]
- Rattanawut, J.; Pimpa, O.; Venkatachalam, K.; Yamauchi, K. Effects of bamboo charcoal powder, bamboo vinegar, and their combination in laying hens on performance, egg quality, relative organ weights, and intestinal bacterial populations. Trop. Anim. Health Prod. 2021, 53, 83. [Google Scholar] [CrossRef] [PubMed]
- Yamashiro, K.; Ariffin, H.; Nishida, H. Tar-free and benzo[a]pyrene-free hydrothermal liquefaction of bamboo and antibacterial property of recovered vinegar. Chem. Lett. 2015, 44, 1342–1344. [Google Scholar] [CrossRef]
- Ju, K.; Kil, M.; Ri, S.; Kim, T.; Zhang, L.N.; Yan, M.C.; Liu, G.X. Dietary intake of bamboo vinegar and charcoal powder (BVC) enhances resistance of African catfish Clarias gariepinus to bacterial pathogen. J. Oceanol. Limnol. 2022, 40, 336–346. [Google Scholar] [CrossRef]
- Lin, H.; Chen, P.K.; Lai, Y.J.; Wu, S.C.; Hwang, G.S.; Noboru, F. Safety evaluation and antimutagenic activity of bamboo/wood vinegars collected at different temperatures. J. Fac. Agric. Kyushu Univ. 2014, 2, 359–368. [Google Scholar] [CrossRef]
- Zhang, W.B.; Li, W.Z.; Fang, W.; Yu, L.S. Analysis of the components of bamboo vinegar from different bamboo species. World Bamboo Vine Commun. 2008, 6, 1–5. [Google Scholar]
- Han, L.; Zhao, T.; Zou, Y.M.; Li, F.; Fan, Y.N.; Zhou, Y.; Yang, L.Q. Preliminary study on component analysis and antifungal activity of bamboo vinegar solution. J. Jiangsu Univ. Med. Ed. 2011, 21, 167–170. [Google Scholar]
- Van Immerseel, F.; Russell, J.B.; Flythe, M.D.; Gantois, I.; Timbermont, L.; Pasmans, F.; Haesebrouck, F.; Ducatelle, R. The use of organic acids to combat Salmonella in poultry: A mechanistic explanation of the efficacy. Avian Pathol. 2006, 35, 182–188. [Google Scholar] [CrossRef]
- Zhong, L.J.; Ma, G.H.; Ma, Z.W.; Sun, X.Y.; Yang, J.G. Research progress on the synthesis of methyl cyclopentenone ketone. Chin. Food Nutr. 2018, 24, 52–54. [Google Scholar]
- Lu, X.C.; Jiang, J.C.; Sun, K.; Sun, Y.J. The influence of pyrolysis process on the preparation and properties of wood vinegar solution. For. Chem. Ind. 2018, 38, 61–69. [Google Scholar]
- GB/T 31734-2015; Bamboo Pyroligneous Liquid. China National Standards: Beijing, China, 2013.
- Lu, X.C.; Jiang, J.C.; He, J.; Sun, K.; Sun, Y.J. Study on the enrichment of active components in wood vinegar by different extractants. For. Chem. Ind. 2020, 40, 76–82. [Google Scholar] [CrossRef]
- Wang, J.; Cui, Y.; Wang, Z.Y.; Yue, Y.D.; Tang, F. Comparison of two pre-treatment methods for analyzing the volatile components of bamboo vinegar. Food Sci. 2011, 32, 198–201. [Google Scholar]
- Zhang, W.B.; Ye, L.M.; Liu, L.; Qian, J.; Chen, W.Z.; Ye, X.X. Component analysis of bamboo vinegar solution. J. Bamboo Res. 2001, 20, 72–77. [Google Scholar]
- Chen, S.W.; Zhuang, X.W.; Bai, M.E.; Ye, H.L. Analysis of differences in components and content of bamboo vinegar produced by different processes. For. Chem. Ind. 2008, 28, 95–98. [Google Scholar]
- Bai, M.E.; Chen, S.W.; Zhuang, X.W. The effect of different refining processes on the physicochemical properties of bamboo vinegar solution. For. Chem. Commun. 2005, 39, 25–27. [Google Scholar]
- Sung, P.M.; Chang, S.K. Pyrolysis GC-MS analysis of tars formed during the aging of wood and bamboo crude vinegars. J. Wood Sci. 2010, 56, 47–52. [Google Scholar]
- Garg, A.; Basu, S.; Shetti, N.P.; Bhattu, M.; Alodhayb, A.N.; Pandiaraj, S. Biowaste to bioenergy nexus: Fostering sustainability and circular economy. Environ. Res. 2024, 250, 118503. [Google Scholar] [CrossRef]
- Madeddu, C.; Roda-Serrat, M.C.; Christensen, K.V.; EI-Houri, R.B.; Errico, M. A biocascade approach towards the recovery of high-value natural products from biowaste: State-of-art and future trends. Waste Biomass Valorization 2021, 12, 1143–1166. [Google Scholar] [CrossRef]
- Akakabe, Y.; Tamura, Y.; Iwamoto, S.; Takabayashi, M.; Nyuugaku, T. Volatile organic compounds with characteristic odor in bamboo vinegar. Biosci Biotechnol Biochem 2006, 70, 2797–2799. [Google Scholar] [CrossRef]
- Bilehal, D.; Li, L.; Kim, Y.H. Gas chromatography–mass spectrometry analysis and chemical composition of the bamboo-carbonized liquid. Food Anal. Methods 2012, 5, 109–112. [Google Scholar] [CrossRef]
- Maliang, H.; Wang, P.W.; Chen, A.L.; Liu, H.B.; Lin, H.P.; Ma, J.Y. Bamboo tar as a novel fungicide: Its chemical components, laboratory evaluation, and field efficacy against false smut and sheath blight of rice and powdery mildew and fusarium wilt of cucumber. Plant Dis. 2021, 105, 331–338. [Google Scholar] [CrossRef]
- Ku, C.S.; Mun, S.P. Characterization of Pyrolysis Tar Derived from Lignocellulosic Biomass. J. Ind. Eng. Chem. 2006, 12, 853–861. [Google Scholar]
- Theapparat, Y.; Chandumpai, A.; Leelasuphakul, W.; Laemsak, N. Pyroligneous Acids from Carbonisation of Wood and Bamboo: Their Components and Antifungal Activity. J. Trop. For. Sci. 2015, 27, 517–526. [Google Scholar]
- Marumoto, S.; Yamamoto, S.P.; Nishimura, H.; Onomoto, K.; Yatagai, M.; Yazaki, K.; Fujita, T.; Watanabe, T. Identification of a germicidal compound against picornavirus in bamboo pyroligneous acid. J. Agric. Food Chem. 2012, 60, 9106–9111. [Google Scholar] [CrossRef]
- Maliang, H.; Li, Y.; Wang, Y.; Jin, L.C.; Liu, H.B.; Chen, A.L.; Chen, J.; Ma, J.Y. Pyroligneous acids from biomass charcoal by-product as a potential non-selective bioherbicide for organic farming: Its chemical components, greenhouse phytotoxicity and field efficacy. Environ. Sci. Pollut. Res. 2023, 30, 14126–14138. [Google Scholar] [CrossRef] [PubMed]
- Tao, L.; Xu, J.; Cai, X.Y.; Wang, L.; Xu, Y.; Xu, L. Determination of six types of smooth agents in food packaging materials by gas chromatography-mass spectrometry. China Port Sci. Technol. 2024, 6, 77–83. [Google Scholar]
- Luo, R.L.; Li, Y.; Wang, W.Q.; Du, Y.G.; Wang, J. Determination of the content and migration of three non ortho benzene plasticizers in plastic food contact materials by gas chromatography-mass spectrometry. Food Sci. Technol. 2023, 48, 281–286. [Google Scholar]
- Liu, Y.; Gu, L.L.; Cai, J.Y.; Yang, F.R.; Li, W.X.; Wang, H.P.; Gu, J.L. Simultaneous determination of ketone aroma components in heated cigarette smoke by GC-MS/MS. J. Mass Spectrom. 2024, 45, 447–456. [Google Scholar] [CrossRef]
- Lu, J.L.; Yang, Q.; Qiu, Y.; He, X.L.; Xie, W.; Yu, Q.L. Determination of 46 volatile organic compounds in plastic runway surface layer by headspace/gas chromatography-mass spectrometry. J. Anal. Test. 2024, 43, 315–321. [Google Scholar]
- Qian, H.; Zhong, Z.K.; Wang, Y.B.; Bai, M.E. GC/MS analysis of the chemical composition of bamboo tar. J. Bamboo Res. 2006, 25, 24–27. [Google Scholar]
- Xue, R. Research on Refinement and Application of Eucommia ulmoides Pyrolysis Wood Vinegar. Master’s Thesis, Northwest A&F University, Xianyang, China, 2024. [Google Scholar]
- Mahrous, E.A.; Farag, M.A. Trends and applications of molecular distillation in pharmaceutical and food industries. Sep. Purif. Rev. 2022, 51, 300–317. [Google Scholar] [CrossRef]
- Wang, X.; Qiu, P.; Peng, X.S.; Li, Z.; Li, W.L. Research progress on the application of integrated membrane technology in the traditional Chinese medicine pharmaceutical industry. Chin. J. Pharm. 2020, 55, 1836–1841. [Google Scholar]
Disclaimer/Publisher’s Note: The statements, opinions and data contained in all publications are solely those of the individual author(s) and contributor(s) and not of MDPI and/or the editor(s). MDPI and/or the editor(s) disclaim responsibility for any injury to people or property resulting from any ideas, methods, instructions or products referred to in the content. |
© 2024 by the authors. Licensee MDPI, Basel, Switzerland. This article is an open access article distributed under the terms and conditions of the Creative Commons Attribution (CC BY) license (https://creativecommons.org/licenses/by/4.0/).


