Effect of a Chitosan-Based Packaging Material on the Domestic Storage of “Ready-to-Cook” Meat Products: Evaluation of Biogenic Amines Production, Phthalates Migration, and In Vitro Antimicrobic Activity’s Impact on Aspergillus Niger
Abstract
1. Introduction
2. Materials and Methods
2.1. Chitosan-Based Film Preparation
2.2. Chitosan-Based Film Characterization
2.2.1. Transmittance Measurements
2.2.2. Water Vapor Transmission Rate (WVTR) Measurements
2.3. Meat Samples
Meat pH Measurements
2.4. BAs Determination
2.4.1. Chemicals
2.4.2. SPME-GC/MS Protocol
2.5. Study of PAEs Release
2.5.1. Chemicals
2.5.2. SPME-GC/MS Experimental Conditions
2.6. Microbiological Tests
- SP is the number of spores counted on the RP.
- SF is the number of spores counted on the inoculated plates covered with chitosan-based or PE film.
3. Results and Discussion
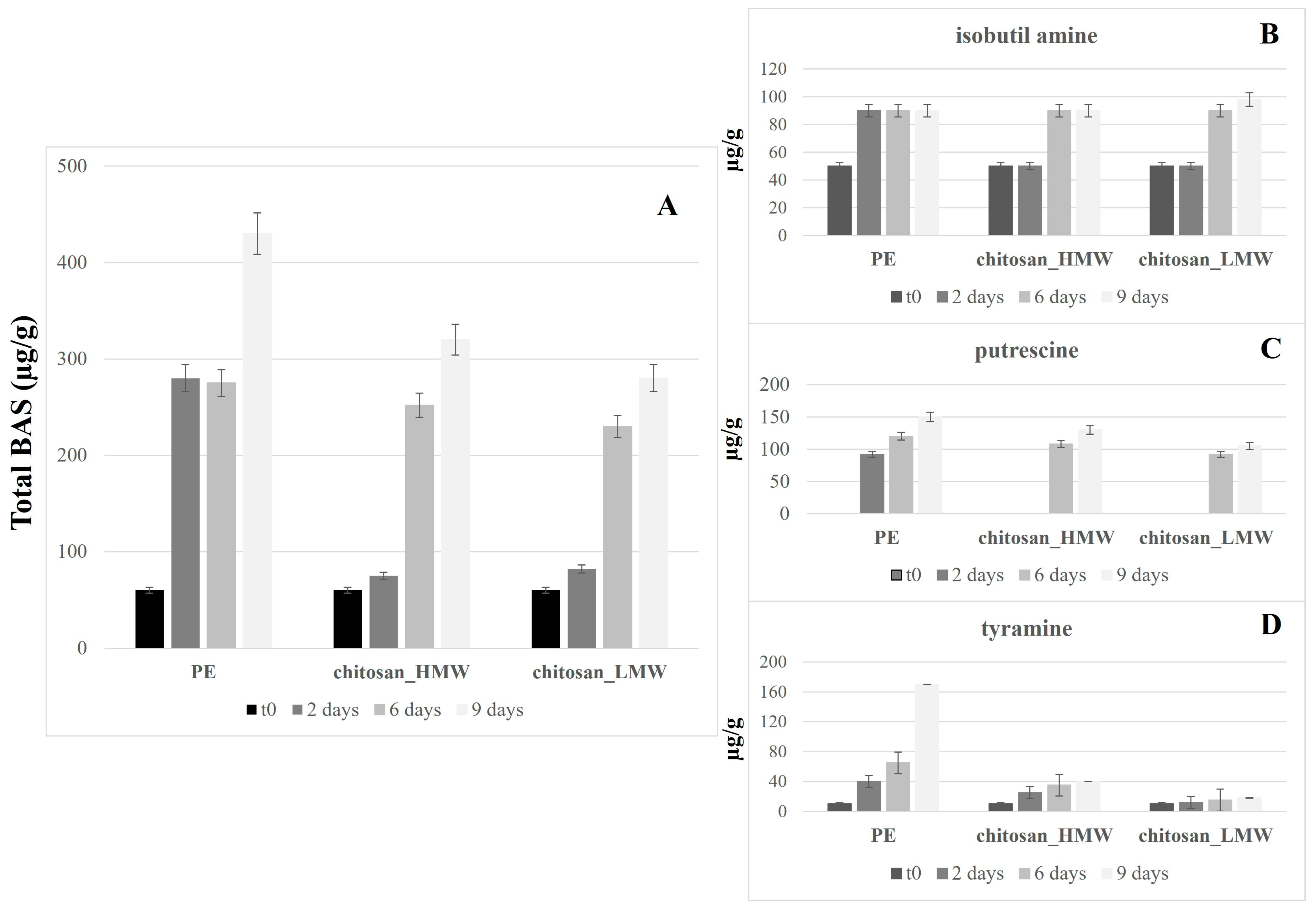
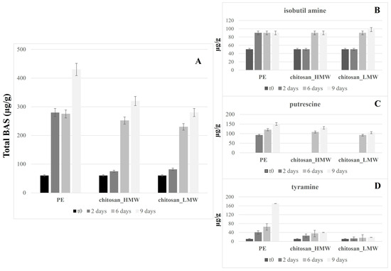
3.1. Effect of the Packaging on Meat Quality after Storage: Study of the BAs Evolution
3.2. Study of Packaging’s PAEs Release
3.3. Microbiological Test
4. Conclusions
Author Contributions
Funding
Institutional Review Board Statement
Informed Consent Statement
Data Availability Statement
Conflicts of Interest
References
- Grispoldi, L.; Chalias, A.; Barzi, E.; Pecorari, L.; Tassinari, M.; Saraiva, C.; García-Díez, J.; Karama, M.; El-Ashram, S.; Traina, G.; et al. Effect of packaging and storage conditions on some quality traits of bovine meat. Ital. J. Food Saf. 2022, 11, 10038. [Google Scholar] [CrossRef] [PubMed]
- Roccato, A.; Uyttendaele, M.; Membré, J.-M. Analysis of domestic refrigerator temperatures and home storage time distributions for shelf-life studies and food safety risk assessment. Food Res. Int. 2017, 96, 171–181. [Google Scholar] [CrossRef] [PubMed]
- Boselie, D.M.; Vellema, S. Perspectives on food quality and safety in global food chains. In Cooperation and Competence in Global Food Chains: Perspectives on Food Quality and Safety; Vellema, S., Boselie, D., Eds.; Shaker: Maastricht, The Netherlands, 2003; pp. 1–20. [Google Scholar]
- Esposito, L.; Mastrocola, D.; Martuscelli, M. Approaching to biogenic amines as quality markers in packaged chicken meat. Front. Nutr. 2022, 9, 966790. [Google Scholar] [CrossRef] [PubMed]
- Schirone, M.; Esposito, L.; D’Onofrio, F.; Visciano, P.; Martuscelli, M.; Mastrocola, D.; Paparella, A. Biogenic amines in meat and meat products: A review of the science and future perspectives. Foods 2022, 11, 788. [Google Scholar] [CrossRef] [PubMed]
- Jastrzębska, A. A comparative study for determination of biogenic amines in meat samples by capillary isotachophoresis with two electrolyte systems. Eur. Food Res. Technol. 2012, 235, 563–572. [Google Scholar] [CrossRef]
- Önal, A.A. Review: Current analytical methods for the determination of biogenic amines in foods. Food Chem. 2007, 103, 1475–1486. [Google Scholar] [CrossRef]
- Aresta, A.M.; De Vietro, N.; Gubitosa, J.; Rizzi, V.; De Pasquale, I.; Fini, P.; Cosma, P.; Curri, M.L.; Zambonin, C. Effect of a Composite Alginate/Grape Pomace Extract Packaging Material for Improving Meat Storage. Int. J. Mol. Sci. 2023, 24, 15958. [Google Scholar] [CrossRef]
- Sun, C.; Zhang, G.; Zheng, H.; Liu, N.; Shi, M.; Luo, X.; Chen, L.; Li, F.; Hu, S. Fate of four phthalate esters with presence of Karenia brevis: Uptake and biodegradation. Aquat. Toxicol. 2019, 206, 81–90. [Google Scholar] [CrossRef]
- Lahimer, M.C.; Ayed, N.; Horriche, J.; Belgaied, S. Characterization of plastic packaging addi-tives: Food contact, stability and toxicity. Arabian J. Chem. 2017, 10, S1938–S1954. [Google Scholar] [CrossRef]
- Gerassimidou, S.; Geueke, B.; Groh, K.J.; Muncke, J.; Hahladakis, J.N.; Martin, O.V.; Iacovidou, E. Unpacking the complexity of the polyethylene food contact articles value chain: A chemicals perspective. J. Hazard. Mat. 2023, 454, 131422. [Google Scholar] [CrossRef]
- Wang, Y.; Qian, H. Phthalates and Their Impacts on Human Health. Healthcare 2021, 9, 603. [Google Scholar] [CrossRef] [PubMed]
- European Commission Regulation (EU). No 10/2011 on plastic materials and articles intended to come into contact with food. Off. J. Eur. Comm. 2011, 12, 1–1394. [Google Scholar]
- Cairns, T.C.; Barthel, L.; Meyer, V. Something old, something new: Challenges and developments in Aspergillus niger biotechnology. Essays Biochem. 2021, 65, 213–224. [Google Scholar] [PubMed]
- Jing, R.; Yin, X.L.; Xie, X.L.; Lian, H.Q.; Li, J.; Zhang, G.; Yang, W.H.; Sun, T.S.; Xu, Y.C. Morphologic identification of clinically encountered moulds using a residual neural network. Front. Microbiol. 2022, 13, 1021236. [Google Scholar] [CrossRef] [PubMed]
- Yu, R.; Liu, J.; Wang, Y.; Wang, H.; Zhang, H. Aspergillus niger as a Secondary Metabolite Factory. Front. Chem. 2021, 9, 701022. [Google Scholar] [CrossRef] [PubMed]
- Tayel, A.A.; Ibrahim, S.I.; Al-Saman, M.A.; Moussa, S.H. Production of fungal chitosan from date wastes and its application as a biopreservative for minced meat. Int. J. Biol. Macromol. 2014, 69, 471–475. [Google Scholar] [CrossRef] [PubMed]
- Blumenthal, C.Z. Production of toxic metabolites in Aspergillus iger, Aspergillus oryzae, and Trichoderma reesei: Justification of mycotoxin testing in food grade enzyme preparations derived from the three fungi. Regul. Tox. Pharm. 2004, 39, 214–228. [Google Scholar] [CrossRef]
- Santhosh, R.; Nath, D.; Sarkar, P. Novel food packaging materials including plant-based byproducts: A review. Trends Food Sci. Tech. 2021, 118 Pt A, 471–489. [Google Scholar] [CrossRef]
- Lai, W.-F.; Wong, W.-T. Design and Practical Considerations for Active Polymeric Films in Food Packaging. Int. J. Mol. Sci. 2022, 23, 6295. [Google Scholar] [CrossRef]
- Gubitosa, J.; Rizzi, V.; Marasciulo, C.; Maggi, F.; Caprioli, G.; Mustafa, A.M.; Fini, P.; De Vietro, N.; Aresta, A.M.; Cosma, P. Realizing eco-friendly water-resistant sodium-alginate-based films blended with a polyphenolic aqueous extract from grape pomace waste for potential food packaging applications. Int. J. Mol. Sci. 2023, 24, 11462. [Google Scholar] [CrossRef]
- Petkoska, A.T.; Daniloski, D.; D’Cunha, N.M.; Naumovski, N.; Broach, A.T. Edible packaging: Sustainable solutions and novel trends in food packaging. Food Res. Int. 2021, 140, 109981. [Google Scholar] [CrossRef] [PubMed]
- Jiang, A.; Patel, R.; Padhan, B.; Palimkar, S.; Galgali, P.; Adhikari, A.; Varga, I.; Patel, M. Chitosan Based Biodegradable Composite for Antibacterial Food Packaging Application. Polymers 2023, 15, 2235. [Google Scholar] [CrossRef] [PubMed]
- Dutta, P.K.; Yadav, S.; Mehrotra, G.K. Modified Chitosan Films/Coatings for Active Food Packaging. In Chitosan for Biomaterials III; Jayakumar, R., Prabaharan, M., Eds.; Advances in Polymer Science; Springer: Cham, Switzerland, 2021; Volume 287. [Google Scholar]
- Cazón, P.; Velazquez, G.; Ramírez, J.A.; Vázquez, M. Polysaccharide-based films and coatings for food packaging: A review. Food Hydrocoll. 2017, 68, 136–148. [Google Scholar] [CrossRef]
- Crini, G. Historical review on chitin and chitosan biopolymers. Environ. Chem. Lett. 2019, 17, 1623–1643. [Google Scholar] [CrossRef]
- Espinales, C.; Romero-Peña, M.; Calderón, G.; Vergara, K.; Cáceres, P.J.; Castillo, P. Collagen, protein hydrolysates and chitin from by-products of fish and shellfish: An overview. Heliyon 2023, 9, e14937. [Google Scholar] [CrossRef] [PubMed]
- Kienzle-Sterzer, C.A.; Rodriguez-Sachez, D.; Rha, C. Mechanical Literature Review—Properties of chitosan films: Effect of solvent acid. Die Makromol. Chem. 1992, 183, 1353–1359. [Google Scholar] [CrossRef]
- Radovic, M.; Adamovic, T.; Pavlovic, J.; Rusmirovic, J.; Tadic, V.; Brankovic, Z.; Ivanovic, J. Supercritical CO2 impregnation of gelatin-chitosan films with clove essential oil and characterization thereof. Chem. Ind. Chem. Eng. Q. 2019, 25, 119–130. [Google Scholar] [CrossRef]
- Cheng, J.; Zhu, H.; Huang, J.; Zhao, J.; Yan, B.; Ma, S.; Zhang, H.; Fan, D. The physicochemical properties of chitosan prepared by microwave heating. Food Sci. Nutr. 2020, 8, 1987–1994. [Google Scholar] [CrossRef]
- Cao, S.; Wang, S.; Wang, Q.; Lin, G.; Niu, B.; Guo, R.; Yan, H.; Wang, H. Sodium alginate/chitosan-based intelligent bilayer film with antimicrobial activity for pork preservation and freshness monitoring. Food Control 2023, 148, 109615. [Google Scholar] [CrossRef]
- Pal, K.; Bharti, D.; Sarkar, P.; Anis, A.; Kim, D.; Chałas, R.; Maksymiuk, P.; Stachurski, P.; Jarz, M. Selected Applications of Chitosan Composites. Int. J. Mol. Sci. 2021, 22, 10968. [Google Scholar] [CrossRef]
- Leceta, I.; Guerrero, P.; de la Caba, K. Functional properties of chitosan-based films. Carbohydr. Polym. 2013, 93, 339–346. [Google Scholar] [CrossRef] [PubMed]
- Quesada, J.; Sendra, E.; Navarro, C.; Sayas-Barberá, E. Antimicrobial Active Packaging including Chitosan Films with Thymus vulgaris L. Essential Oil for Ready-to-Eat Meat. Foods 2016, 5, 57. [Google Scholar] [CrossRef] [PubMed]
- Zhao, Y.; Teixeira, J.S.; Saldaña, M.D.A.; Gänzle, M.G. Antimicrobial activity of bioactive starch packaging films against Listeria monocytogenes and reconstituted meat microbiota on ham. Int. J. Food Microbiol. 2019, 305, 108253. [Google Scholar] [CrossRef] [PubMed]
- Giatrakou, V.; Ntzimani, A.; Savvaidis, I.N. Combined chitosan-thyme treatments with modified atmosphere packaging on a ready-to-cook poultry product. J. Food Prot. 2010, 73, 663–669. [Google Scholar] [CrossRef] [PubMed]
- Zhang, H.; Li, X.; Kang, H. Chitosan coatings incorporated with free or nano-encapsulated Paulownia Tomentosa essential oil to improve shelf-life of ready-to-cook pork chops. LWT 2019, 116, 108580. [Google Scholar] [CrossRef]
- Aresta, A.; Cotugno, P.; De Vietro, N.; Longo, C.; Mercurio, M.; Ferriol, P.; Zambonin, C.; Nonnis Marzano, C. Volatile organic compounds, indole, and biogenic amines assessment in two mediterranean irciniidae (Porifera, Demospongiae). Mar. Drugs 2021, 19, 711. [Google Scholar] [CrossRef] [PubMed]
- De Vietro, N.; Aresta, A.M.; Gubitosa, J.; Rizzi, V.; Zambonin, C. Assessing the Conformity of Plasticizer-Free Polymers for Foodstuff Packaging Using Solid Phase Microextraction Coupled to Gas Chromatography/Mass Spectrometry. Separations 2024, 11, 25. [Google Scholar] [CrossRef]
- Liu, W.; Lun, Y. Determination of Sub-Ppb Level of Phthalates in Water by Auto-SPME and GC–MS; Application 5989-7726EN; Agilent Technologies: Santa Clara, CA, USA, 2008. [Google Scholar]
- Tsai, M.-Y.; Ho, C.-H.; Chang, H.-Y.; Yang, W.-C.; Lin, C.-F.; Lin, C.-T.; Xue, Y.-J.; Lai, J.-M.; Wang, J.-H.; Chang, G.-R. Analysis of Pollution of Phthalates in Pork and Chicken in Taiwan Using Liquid Chromatography–Tandem Mass Spectrometry and Assessment of Health Risk. Molecules 2019, 24, 3817. [Google Scholar] [CrossRef]
- Bapat, P.M.; Kundu, S.; Pramod, P.W. An Optimized Method for Aspergillus Niger Spore Production on Natural Carrier Substrates. Biotechnol. Prog. 2003, 19, 1683–1688. [Google Scholar] [CrossRef]
- Zhang, M.; Luo, W.; Yang, K.; Li, C. Effects of Sodium Alginate Edible Coating with Cinnamon Essential Oil Nanocapsules and Nisin on Quality and Shelf-life of Beef Slices during Refrigeration. J. Food Prot. 2022, 85, 896–905. [Google Scholar] [CrossRef]
- Liu, N.; Chen, X.-G.; Park, H.-J.; Liu, C.-G.; Liu, C.-S.; Meng, X.-H.; Yu, L.-J. Effect of MW and concentration of chitosan on antibacterial activity of Escherichia coli. Carbohydr. Polym. 2006, 64, 60–65. [Google Scholar] [CrossRef]
- Cruz-Romero, M.C.; Murphy, T.; Morris, M.; Cummins, E.; Kerry, J.P. Antimicrobial activity of chitosan, organic acids and nano-sized solubilisates for potential use in smart antimicrobially-active packaging for potential food applications. Food Control 2013, 34, 393–397. [Google Scholar] [CrossRef]
- Zheng, L.Y.; Zhu, J.F. Study on Antimicrobial Activity of Chitosan with Different Molecular Weights. Carbohydr. Polym. 2003, 54, 527–530. [Google Scholar] [CrossRef]
- Sudharshan, N.R.; Hoover, D.G.; Knorr, D. Antibacterial action of chitosan. Food Biotechnol. 1992, 6, 257–272. [Google Scholar] [CrossRef]
- Tumu, K.; Vorst, K.; Curtzwiler, G. Endocrine modulating chemicals in food packaging: A review of phthalates and bisphenols. Compr. Rev. Food Sci. Food. Saf. 2023, 2, 1337–1359. [Google Scholar] [CrossRef] [PubMed]
- European Commission Recomandation (EU). 2019/794: “On a coordinated control plan with a view to establishing the prevalence of certain substances migrating from materials and articles intended to come into contact with food”. Off. J. Eur. Union 2019, 129, 37–42. [Google Scholar]
- Chung, Y.-C.; Chen, C.-Y. Antibacterial characteristics and activity of acid-soluble chitosan. Biores. Technol. 2008, 99, 2806–2814. [Google Scholar] [CrossRef] [PubMed]
- European Commission Regulation (EC). No 1907/2006 of the European Parliament and of the Council of 18 December 2006 Concerning the Registration, Evaluation, Authorisation and Restriction of Chemicals (REACH), Establishing a European Chemicals Agency, Amending Directive 1999/45/EC and Repealing Council. Available online: https://eur-lex.europa.eu/legalcontent/EN/TXT/?uri=CELEX:02006R1907-20140410 (accessed on 1 January 2023).
- Martín-Pozo, L.; Gómez-Regalado, M.; Moscoso-Ruiz, I.; Zafra-Gómez, A. Analytical methods for the determination of endocrine disrupting chemicals in cosmetics and personal care products: A review. Talanta 2021, 234, 122642. [Google Scholar] [CrossRef] [PubMed]
- Celeiro, M.; Lamas, P.J.; Garcia-Jares, C.; Llompart, M. Pressurized liquid extraction-gas chromatography-mass spectrometry analysis of fragrance allergens, musks, phthalates and preservatives in baby wipes. J. Chrom. A 2015, 1384, 9–21. [Google Scholar] [CrossRef]
- Costa, E.; Silva, S.; Pina, C.; Tavaria, F.; Pintado, M. Evaluation and insights into chitosan antimicrobial activity against anaerobic oral pathogens. Anaerobe 2012, 18, 305–309. [Google Scholar] [CrossRef]
- Eaton, P.; Fernandes, J.C.; Pereira, E.; Pintado, M.E.; Malcata, F.X. Atomic force microscopy study of the antibacterial effects of chitosans on Escherichia coli and Staphylococcus aureus. Ultramicroscopy 2008, 108, 1128–1134. [Google Scholar] [CrossRef]
- Krajewska, B.; Wydro, P.; Jańczyk, A. Probing the modes of antibacterial activity of chitosan, Effects of pH and molecular weight on chitosan interactions with membrane lipids in Langmuir films. Biomacromolecules 2011, 12, 4144–4152. [Google Scholar] [CrossRef] [PubMed]
- Liu, H.; Du, Y.; Wang, X.; Sun, L. Chitosan kills bacteria through cell membrane damage. Int. J. Food Microbiol. 2004, 95, 147–155. [Google Scholar] [CrossRef] [PubMed]
- Palma-Guerrero, J.; Lopez-Jimenez, J.; Pérez-Berná, A.; Huang, I.C.; Jansson, H.P.; Salinas, J.; Villalaín, J.; Read, N.; Lopez-Llorca, L. Membrane fluidity determines sensitivity of filamentous fungi to chitosan. Mol. Microbiol. 2010, 75, 1021–1032. [Google Scholar] [CrossRef]
- Raafat, D.; Von Bargen, K.; Haas, A.; Sahl, H.-G. Insights into the mode of action of chitosan as an antibacterial compound. Appl. Environ. Microbiol. 2008, 74, 3764–3773. [Google Scholar] [CrossRef] [PubMed]
- Márquez, I.G.; Akuaku, J.; Cruz, I.; Cheetham, J.; Golshani, A.; Smith, M.L. Disruption of protein synthesis as antifungal mode of action by chitosan. Int. J. Food Microbiol. 2013, 164, 108–112. [Google Scholar] [CrossRef]
- Xu, J.; Zhao, X.; Wang, X.; Zhao, Z.; Du, Y. Oligochitosan inhibits Phytophthora capsici by penetrating the cell membrane and putative binding to intracellular targets. Pestic. Biochem. Physiol. 2007, 88, 167–175. [Google Scholar] [CrossRef]
- Park, S.-C.; Nah, J.-W.; Park, Y. pH-dependent mode of antibacterial actions of low molecular weight water-soluble chitosan (LMWSC) against various pathogens. Macromol. Res. 2011, 19, 853–860. [Google Scholar] [CrossRef]
- Navale, V.; Vamkudoth, K.R.; Ajmera, S.; Dhuri, V. Aspergillus derived mycotoxins in food and the environment: Prevalence, detection, and toxicity. Toxicol. Rep. 2021, 8, 1008–1030. [Google Scholar] [CrossRef]






Disclaimer/Publisher’s Note: The statements, opinions and data contained in all publications are solely those of the individual author(s) and contributor(s) and not of MDPI and/or the editor(s). MDPI and/or the editor(s) disclaim responsibility for any injury to people or property resulting from any ideas, methods, instructions or products referred to in the content. |
© 2024 by the authors. Licensee MDPI, Basel, Switzerland. This article is an open access article distributed under the terms and conditions of the Creative Commons Attribution (CC BY) license (https://creativecommons.org/licenses/by/4.0/).
Share and Cite
Aresta, A.M.; De Vietro, N.; Mancini, G.; Zambonin, C. Effect of a Chitosan-Based Packaging Material on the Domestic Storage of “Ready-to-Cook” Meat Products: Evaluation of Biogenic Amines Production, Phthalates Migration, and In Vitro Antimicrobic Activity’s Impact on Aspergillus Niger. Separations 2024, 11, 159. https://doi.org/10.3390/separations11060159
Aresta AM, De Vietro N, Mancini G, Zambonin C. Effect of a Chitosan-Based Packaging Material on the Domestic Storage of “Ready-to-Cook” Meat Products: Evaluation of Biogenic Amines Production, Phthalates Migration, and In Vitro Antimicrobic Activity’s Impact on Aspergillus Niger. Separations. 2024; 11(6):159. https://doi.org/10.3390/separations11060159
Chicago/Turabian StyleAresta, Antonella Maria, Nicoletta De Vietro, Giovanna Mancini, and Carlo Zambonin. 2024. "Effect of a Chitosan-Based Packaging Material on the Domestic Storage of “Ready-to-Cook” Meat Products: Evaluation of Biogenic Amines Production, Phthalates Migration, and In Vitro Antimicrobic Activity’s Impact on Aspergillus Niger" Separations 11, no. 6: 159. https://doi.org/10.3390/separations11060159
APA StyleAresta, A. M., De Vietro, N., Mancini, G., & Zambonin, C. (2024). Effect of a Chitosan-Based Packaging Material on the Domestic Storage of “Ready-to-Cook” Meat Products: Evaluation of Biogenic Amines Production, Phthalates Migration, and In Vitro Antimicrobic Activity’s Impact on Aspergillus Niger. Separations, 11(6), 159. https://doi.org/10.3390/separations11060159

