Hierarchically Ordered Macroporous–Mesoporous (HOM-m) MgFe2O4/MgO for Highly Efficient Adsorption of Ce(III) and La(III): Experimental Study and DFT Calculation Analysis
Abstract
1. Introduction
2. Materials and Methods
2.1. Materials
2.2. Characterizations
2.3. Material Synthesis
- Step I: Preparation of polystyrene (PS) template
- Step II: Preparation of impregnated PS template
- Step Ⅲ: Preparation of HOM-m MgFe2O4/MgO
2.4. Batch Adsorption Experiments
2.5. Density Functional Theory (DFT) Calculations
3. Results and Discussion
3.1. Structural Properties
3.2. Adsorption Kinetics
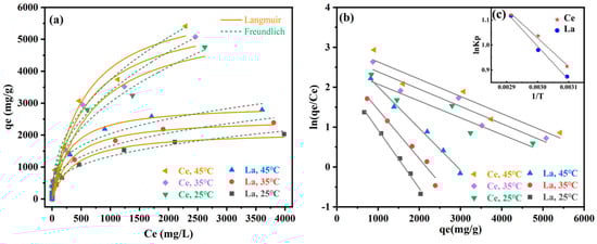
3.3. Adsorption Isotherm
3.4. Adsorption Thermodynamics
3.5. Influence of Environmental Factors
3.6. Adsorption Mechanism Analysis
3.7. DFT Calculation for Adsorption Mechanism
3.8. Cycling Performance
4. Conclusions
Supplementary Materials
Author Contributions
Funding
Data Availability Statement
Conflicts of Interest
References
- Ni, S.; Chen, Q.; Gao, Y.; Guo, X.; Sun, X. Recovery of rare earths from industrial wastewater using extraction-precipitation strategy for resource and environmental concerns. Miner. Eng. 2020, 151, 106315. [Google Scholar] [CrossRef]
- Huang, C.; Wang, Y.; Huang, B.; Dong, Y.; Sun, X. The recovery of rare earth elements from coal combustion products by ionic liquids. Miner. Eng. 2019, 130, 142–147. [Google Scholar] [CrossRef]
- Yu, J.M.; Luo, D.; Ma, Z.J.; Zheng, B.; Cheng, F.F.; Xiong, W.W. Effective enrichment of low-concentration rare-earth ions by three-dimensional thiostannate K2Sn2S5. ACS Appl. Mater. Interfaces 2021, 13, 55188–55197. [Google Scholar] [CrossRef] [PubMed]
- Wang, J.; Zhang, J.; Ni, S.; Xing, H.; Meng, Q.; Bian, Y.; Yang, L. Cation-Intercalated Lamellar MoS2 Adsorbent Enables Highly Selective Capture of Cesium. ACS Appl. Mater. Interfaces 2023, 15, 49095–49106. [Google Scholar] [CrossRef]
- Dutta, T.; Kim, K.H.; Uchimiya, M.; Kwon, E.E.; Jeon, B.H.; Deep, A.; Yun, S.T. Global demand for rare earth resources and strategies for green mining. Environ. Res. 2016, 150, 182–190. [Google Scholar] [CrossRef]
- Luo, X.; Zhang, Y.; Zhou, H.; He, K.; Luo, C.; Liu, Z.; Tang, X. Review on the development and utilization of ionic rare earth ore. Minerals 2022, 12, 554. [Google Scholar] [CrossRef]
- Huang, X.W.; Long, Z.Q.; Wang, L.S.; Feng, Z.Y. Technology development for rare earth cleaner hydrometallurgy in China. Rare Met. 2015, 34, 215–222. [Google Scholar] [CrossRef]
- Yang, X.J.; Lin, A.; Li, X.L.; Wu, Y.; Zhou, W.; Chen, Z. China’s ion-adsorption rare earth resources, mining consequences and preservation. Environ. Dev. 2013, 8, 131–136. [Google Scholar] [CrossRef]
- Chen, Z.; Sang, F.; Xu, J.; Luo, G.; Wang, Y. Efficient enrichment and recovery of rare earth elements with low concentration by membrane dispersion micro-extractors. Chem. Eng. Process 2018, 127, 127–135. [Google Scholar] [CrossRef]
- Royer-Lavallée, A.; Neculita, C.M.; Coudert, L. Removal and potential recovery of rare earth elements from mine water. J. Ind. Eng. Chem. 2020, 89, 47–57. [Google Scholar] [CrossRef]
- Brewer, A.; Dror, I.; Berkowitz, B. Electronic waste as a source of rare earth element pollution: Leaching, transport in porous media, and the effects of nanoparticles. Chemosphere 2022, 287, 132217. [Google Scholar] [CrossRef] [PubMed]
- Chen, H.; Chen, Z.; Chen, H. Impacts of Ion Adsorption Type Rare Earth Mining Techniques on Topsoil in Mining Area. Pol. J. Environ. Stud. 2024, 33, 1585–1594. [Google Scholar] [CrossRef]
- Cheng, Y.; Zhang, T.; Zhang, L.; Ke, Z.; Kovarik, L.; Dong, H. Resource recovery: Adsorption and biomineralization of cerium by Bacillus licheniformis. J. Hazard. Mater. 2022, 426, 127844. [Google Scholar] [CrossRef] [PubMed]
- Kyra, C.P.; Joshua, S.; Mark, P.S. New insights into rare earth element (REE) particulate generated by cigarette lighters: An electron microscopy and materials science investigation of a poorly understood indoor air pollutant and constraints for urban geochemistry. Environ. Earth Sci. 2017, 76, 369. [Google Scholar] [CrossRef]
- Golroudbary, S.R.; Makarava, I.; Kraslawski, A. Global environmental cost of using rare earth elements in green energy technologies. Sci. Total Environ. 2022, 832, 155022. [Google Scholar] [CrossRef]
- Hossain, M.K.; Ahmed, M.H.; Khan, M.I.; Miah, M.S.; Hossain, S. Recent Progress of Rare Earth Oxides for Sensor, Detector, and Electronic Device Applications: A Review. ACS Appl. Electron. Mater. 2021, 3, 4255–4283. [Google Scholar] [CrossRef]
- Ebrahim, A.; Bahram, R. Removal of cerium from different aqueous solutions using different adsorbents: A review. Process Saf. Environ. Prot. 2019, 124, 345–362. [Google Scholar] [CrossRef]
- Sidra, I.; Deepika, L.R.; Varsha, S.; Muhammadm, B.A.; Mika, S. Understanding the factors affecting the adsorption of Lanthanum using different adsorbents: A critical review. Chemosphere 2018, 204, 413–430. [Google Scholar] [CrossRef]
- Sordyl, J.; Staszel, K.; Leś, M.; Manecki, M. Removal of REE and Th from solution by co-precipitation with Pb-phosphates. Appl. Geochem. 2023, 158, 105780. [Google Scholar] [CrossRef]
- Bashiri, A.; Nikzad, A.; Maleki, R.; Asadnia, M.; Razmjou, A. Rare earth elements recovery using selective membranes via extraction and rejection. Membranes 2022, 12, 80. [Google Scholar] [CrossRef]
- Artiushenko, O.; da Silva, R.F.; Zaitsev, V. Recent advances in functional materials for rare earth recovery: A review. Sustain. Mater. Technol. 2023, 37, e00681. [Google Scholar] [CrossRef]
- Rumky, J.; Deb, A.; Ramasamy, D.L.; Sillanpää, M.; Häkkinen, A.; Repo, E. Utilization of sludge-based alginate beads for the application of rare earth elements (REEs) recovery from wastewater: A waste to resource approach. J. Clean. Prod. 2022, 362, 132496. [Google Scholar] [CrossRef]
- Arunraj, B.; Rajesh, V.; Rajesh, N. Potential application of graphene oxide and Aspergillus niger spores with high adsorption capacity for recovery of europium from red phosphor, compact fluorescent lamp and simulated radioactive waste. J. Rare Earths 2023, 41, 157–166. [Google Scholar] [CrossRef]
- Pinheiro, R.F.; Grimm, A.; Oliveira, M.L.; Vieillard, J.; Silva, L.F.; De Brum, I.A.; dos Reis, G.S. Adsorptive behavior of the rare earth elements Ce and La on a soybean pod derived activated carbon: Application in synthetic solutions, real leachate and mechanistic insights by statistical physics modeling. Chem. Eng. J. 2023, 471, 144484. [Google Scholar] [CrossRef]
- Lv, Y.; Chen, L.; Zhang, A.; Sheng, G.; Liao, Q. Highly efficient removal of rare earth elements by two-dimensional titanium carbide nanosheets as impacted via water chemistry. Environ. Sci. Pollut. Res. 2023, 30, 90936–90948. [Google Scholar] [CrossRef]
- Mosai, A.K.; Chimuka, L.; Cukrowska, E.M.; Kotzé, I.A.; Tutu, H. The recovery of rare earth elements (REEs) from aqueous solutions using natural zeolite and bentonite. Water Air Soil Pollut. 2019, 230, 188. [Google Scholar] [CrossRef]
- Feng, X.; Onel, O.; Council-Troche, M.; MacCormac, B.L.; Noble, A.; Yoon, R.H.; Morris, J.R. Rare earth ion-adsorption clays in the presence of iron at basic pH: Adsorption mechanism and extraction method. Appl. Clay Sci. 2023, 231, 106744. [Google Scholar] [CrossRef]
- Dalvanda, R.; Kianpourb, E.; Tahzibia, H.; Aziziana, S. MgO nano-sheets for adsorption of anionic dyes from aqueous solution: Equilibrium and kinetics studies. Surf. Interfaces 2020, 21, 100722. [Google Scholar] [CrossRef]
- Huang, J.; Ling, G.; Wu, Y.; Zhai, J.; Zong, J. Mesoporous Reticular Magnesium Oxide with High Specific Surface Area: Preparation, Characterization, Adsorption Performance and Mechanism for Pb(II) in Wastewater. Chin. J. Inorg. Chem. 2020, 36, 2031–2040. [Google Scholar] [CrossRef]
- Yan, X.; Tian, Z.; Peng, W.; Zhang, J.; Tong, Y.; Li, J.; Zhang, J. Synthesis of nano-octahedral MgO via a solvothermal-solid-decomposition method for the removal of methyl orange from aqueous solutions. RSC Adv. 2020, 10, 10681–10688. [Google Scholar] [CrossRef]
- Namvar-Mahboub, M.; Khodeir, E.; Bahadori, M.; Mahdizadeh, S.M. Preparation of magnetic MgO/Fe3O4 via the green method for competitive removal of Pb and Cd from aqueous solution. Colloids Surf. A 2020, 589, 124419. [Google Scholar] [CrossRef]
- Ghoniem, M.G.; Ben Aissa, M.A.; Ali, F.A.M.; Khairy, M. Efficient and Rapid Removal of Pb (II) and Cu (II) Heavy Metals from Aqueous Solutions by MgO Nanorods. Inorganics 2022, 10, 256. [Google Scholar] [CrossRef]
- Liu, B.; Li, C.; Zhang, L.; Liu, Z.; Kuang, M.; He, X. Fabrication of three-dimensional ordered macroporous/mesoporous magnesium oxide for efficient cadmium removal. Ceram. Int. 2021, 47, 22830–22838. [Google Scholar] [CrossRef]
- Zhao, X.; Lv, Y.; Liu, S.; Ren, Y.; Feng, J.; Gao, M.; Fan, Z.; Zhang, Z. Fabrication of mesoporous magnesium oxide nanosheets using magnesium powder and their excellent adsorption of Ni (II). J. Colloid Interface Sci. 2018, 510, 69–76. [Google Scholar] [CrossRef]
- Yu, X.Y.; Luo, T.; Jia, Y.; Zhang, Y.X.; Liu, J.H.; Huang, X.J. Porous hierarchically micro-/nanostructured MgO: Morphology control and their excellent performance in As (III) and As (V) removal. J. Phys. Chem. C 2011, 115, 22242–22250. [Google Scholar] [CrossRef]
- Abshirini, Y.; Esmaeili, H.; Foroutan, R. Enhancement removal of Cr (VI) ion using magnetically modified MgO nanoparticles. Mater. Res. Express 2019, 6, 125513. [Google Scholar] [CrossRef]
- Fukushi, K.; Miyashita, S.; Kasama, T.; Takahashi, Y.; Morodome, S. Superior removal of selenite by periclase during transformation to brucite under high-pH conditions. J. Hazard. Mater. 2019, 371, 370–380. [Google Scholar] [CrossRef]
- Cui, W.; Li, P.; Wang, Z.; Zheng, S.; Zhang, Y. Adsorption study of selenium ions from aqueous solutions using MgO nanosheets synthesized by ultrasonic method. J. Hazard. Mater. 2018, 341, 268–276. [Google Scholar] [CrossRef]
- Yang, W.; Hu, W.; Zhang, J.; Wang, W.; Cai, R.; Pan, M.; Zeng, H. Tannic acid/Fe3+ functionalized magnetic graphene oxide nanocomposite with high loading of silver nanoparticles as ultra-efficient catalyst and disinfectant for wastewater treatment. Chem. Eng. J. 2021, 405, 126629. [Google Scholar] [CrossRef]
- He, X.; Ma, C.; Wang, Z.; Zhang, M. Construction of Shape-Controlled MgO Microstructures by Natural Bischofite for Cost-Efficient Dye Adsorption. Chemistryselect 2023, 8, e202203701. [Google Scholar] [CrossRef]
- Liu, Z.; Li, C.; Kuang, M.; Liu, B.; Yang, B. Template synthesis of ordered mesoporous MgO with superior adsorption for Pb (II) and Cd (II). Environ. Sci. Pollut. Res. 2021, 28, 31630–31639. [Google Scholar] [CrossRef] [PubMed]
- Ashour, R.M.; Abdelhamid, H.N.; Abdel-Magied, A.F.; Abdel-Khalek, A.A.; Ali, M.M.; Uheida, A.; Dutta, J. Rare earth ions adsorption onto graphene oxide nanosheets. Solvent Extr. Ion Exch. 2017, 35, 91–103. [Google Scholar] [CrossRef]
- Crane, R.A.; Sapsford, D.J. Sorption and fractionation of rare earth element ions onto nanoscale zerovalent iron particles. Chem. Eng. J. 2018, 345, 126–137. [Google Scholar] [CrossRef]
- Wang, L.; Wang, J.; He, C.; Lyu, W.; Zhang, W.; Yan, W.; Yang, L. Development of rare earth element doped magnetic biochars with enhanced phosphate adsorption performance. Colloids Surf. A 2019, 561, 236–243. [Google Scholar] [CrossRef]
- Kegl, T.; Ban, I.; Lobnik, A.; Košak, A. Synthesis and characterization of novel γ-Fe2O3-NH4OH@ SiO2 (APTMS) nanoparticles for dysprosium adsorption. J. Hazard. Mater. 2019, 378, 120764. [Google Scholar] [CrossRef]
- Asadi, R.; Abdollahi, H.; Boroumand, Z.; Kisomi, A.S.; Darvanjooghi, M.H.K.; Magdouli, S.; Brar, S.K. Intelligent modelling for the elimination of lanthanides (La3+, Ce3+, Nd3+ and Eu3+) from aqueous solution by magnetic CoFe2O4 and CoFe2O4-GO spinel ferrite nanocomposites. Environ. Pollut. 2022, 309, 119770. [Google Scholar] [CrossRef]
- Allwin Mabes Raj, A.F.P.; Bauman, M.; Dimitrušev, N.; Ali, L.M.; Onofre, M.; Gary-Bobo, M.; Košak, A. Superparamagnetic Spinel-Ferrite Nano-Adsorbents Adapted for Hg2+, Dy3+, Tb3+ Removal/Recycling: Synthesis, Characterization, and Assessment of Toxicity. Int. J. Mol. Sci. 2023, 24, 10072. [Google Scholar] [CrossRef]
- Gu, W.; Li, X.; Xing, M.; Fang, W.; Wu, D. Removal of phosphate from water by amine-functionalized copper ferrite chelated with La (III). Sci. Total Environ. 2018, 619, 42–48. [Google Scholar] [CrossRef]
- Sun, Z.H.; Li, J.; Wang, X.J.; Zhang, Y.N.; Xi, S.Q. MgFe2O4/MgO modified biochar with oxygen vacancy and surface hydroxyl groups for enhanced peroxymonosulfate activation to remove sulfamethoxazole through singlet oxygen-dominated nonradical oxidation process. Chem. Eng. J. 2023, 477, 146960. [Google Scholar] [CrossRef]
- He, X.Y.; Lu, J.R.; Wei, H.; Liu, B.X. Macroporous honeycomb-like magnesium oxide fabricated as long-life and outstanding Pb(II) adsorbents combined with mechanism insight. Environ. Sci. Pollut. Res. 2023, 30, 38380–38393. [Google Scholar] [CrossRef]
- Khot, V.M.; Salunkhe, A.B.; Phadatare, M.R.; Pawar, S.H. Formation, microstructure and magnetic properties of nanocrystalline MgFe2O4. Environ. Mater. Chem. Phys. 2012, 132, 2–3. [Google Scholar] [CrossRef]
- Vikash, K.T.; Rajamani, N. Magnetically separable, bifunctional catalyst MgFe2O4 obtained by epoxide mediated synthesis. Adv. Powder Technol. 2016, 27, 4. [Google Scholar] [CrossRef]
- Cai, Y.C.; Li, C.L.; Wu, D.; Wang, W.; Tan, F.T.; Wang, X.Y.; Wong, P.K.; Qiao, X.L. Highly active MgO nanoparticles for simultaneous bacterial inactivation and heavy metal removal from aqueous solution. Chem. Eng. J. 2016, 312, 15. [Google Scholar] [CrossRef]
- Xiong, C.M.; Wang, W.; Tan, F.T.; Luo, F.; Chen, J.G.; Qiao, X.L. Investigation on the efficiency and mechanism of Cd(II) and Pb(II) removal from aqueous solutions using MgO nanoparticles. J. Hazard. Mater. 2015, 299, 15. [Google Scholar] [CrossRef] [PubMed]
- Sharma, R.; Thakur, P.; Sharma, P.; Sharma, V. Ferrimagnetic Ni2+ doped Mg-Zn spinel ferrite nanoparticles for high density information storage. J. Alloys Compd. 2017, 704, 7–17. [Google Scholar] [CrossRef]
- Liu, L.; Yue, T.; Liu, R.; Lin, H.; Wang, D.; Li, B. Efficient absorptive removal of Cd (Ⅱ) in aqueous solution by biochar derived from sewage sludge and calcium sulfate. Bioresour. Technol. 2021, 336, 125333. [Google Scholar] [CrossRef]
- Wan, S.; Qiu, L.; Tang, G.; Chen, W.; Li, Y.; Gao, B.; He, F. Ultrafast sequestration of cadmium and lead from water by manganese oxide supported on a macro-mesoporous biochar. Chem. Eng. J. 2020, 387, 124095. [Google Scholar] [CrossRef]
- Yin, G.; Chen, X.; Sarkar, B.; Bolan, N.S.; Wei, T.; Zhou, H.; Wang, H. Co-adsorption mechanisms of Cd (II) and As (III) by an Fe-Mn binary oxide biochar in aqueous solution. Chem. Eng. J. 2023, 466, 143199. [Google Scholar] [CrossRef]
- Dim, P.E.; Mustapha, L.S.; Termtanun, M.; Okafor, J.O. Adsorption of chromium (VI) and iron (III) ions onto acid-modified kaolinite: Isotherm, kinetics and thermodynamics studies. Arab. J. Chem. 2021, 14, 103064. [Google Scholar] [CrossRef]
- Xu, C.; Shi, S.; Wang, X.; Zhou, H.; Wang, L.; Zhu, L.; Xu, D. Electrospun SiO2-MgO hybrid fibers for heavy metal removal: Characterization and adsorption study of Pb (II) and Cu (II). J. Hazard. Mater. 2020, 381, 120974. [Google Scholar] [CrossRef]
- Kumar, S.; Nair, R.R.; Pillai, P.B.; Gupta, S.N.; Iyengar, M.A.R.; Sood, A.K. Graphene oxide–MnFe2O4 magnetic nanohybrids for efficient removal of lead and arsenic from water. ACS Appl. Mater. Interfaces 2014, 6, 17426–17436. [Google Scholar] [CrossRef] [PubMed]
- Ling, L.L.; Liu, W.J.; Zhang, S.; Jiang, H. Magnesium oxide embedded nitrogen self-doped biochar composites: Fast and high-efficiency adsorption of heavy metals in an aqueous solution. Environ. Sci. Technol. 2017, 51, 10081–10089. [Google Scholar] [CrossRef] [PubMed]
- Wu, J.; Wang, T.; Wang, J.; Zhang, Y.; Pan, W.P. A novel modified method for the efficient removal of Pb and Cd from wastewater by biochar: Enhanced the ion exchange and precipitation capacity. Sci. Total Environ. 2021, 754, 142150. [Google Scholar] [CrossRef] [PubMed]
- Marwani, H.M.; Bakhsh, E.M.; Khan, S.B.; Danish, E.Y.; Asiri, A.M. Cerium oxide-cadmium oxide nanomaterial as efficient extractant for yttrium ions. J. Mol. Liq. 2018, 269, 252–259. [Google Scholar] [CrossRef]
- Li, S.; Huang, X.; Wan, Z.; Liu, J.; Lu, L.; Peng, K.; Bhattarai, R. Green synthesis of ultrapure La(OH)3 nanoparticles by one-step method through spark ablation and electrospinning and its application to phosphate removal. Chem. Eng. J. 2020, 388, 124373. [Google Scholar] [CrossRef]
- Chen, Y.; Ai, X.; Huang, B.; Huang, M.; Huang, Y.; Lu, Y. Consecutive preparation of hydrochar catalyst functionalized in situ with sulfonic groups for efficient cellulose hydrolysis. Cellulose 2017, 24, 2743–2752. [Google Scholar] [CrossRef]
- Cui, G.; Liu, M.; Chen, Y.; Zhang, W.; Zhao, J. Synthesis of a ferric hydroxide-coated cellulose nanofiber hybrid for effective removal of phosphate from wastewater. Carbohydr. Polym. 2016, 154, 40–47. [Google Scholar] [CrossRef]
- O’Connor, N.J.; Jonayat, A.S.M.; Janik, M.J.; Senftle, T.P. Interaction trends between single metal atoms and oxide supports identified with density functional theory and statistical learning. Nat. Catal. 2018, 1, 531–539. [Google Scholar] [CrossRef]
- Xu, L.; Liu, Y.; Wang, J.; Tang, Y.; Zhang, Z. Selective adsorption of Pb2+ and Cu2+ on amino-modified attapulgite: Kinetic, thermal dynamic and DFT studies. J. Hazard. Mater. 2021, 404, 124140. [Google Scholar] [CrossRef]
- Chen, Q.; Tang, Z.; Li, H.; Wu, M.; Zhao, Q.; Pan, B. An electron-scale comparative study on the adsorption of six divalent heavy metal cations on MnFe2O4@CAC hybrid: Experimental and DFT investigations. Chem. Eng. J. 2020, 381, 122656. [Google Scholar] [CrossRef]
- Feng, Z.; Chen, N.; Liu, T.; Feng, C. KHCO3 activated biochar supporting MgO for Pb (II) and Cd (II) adsorption from water: Experimental study and DFT calculation analysis. J. Hazard. Mater. 2022, 426, 128059. [Google Scholar] [CrossRef] [PubMed]










Disclaimer/Publisher’s Note: The statements, opinions and data contained in all publications are solely those of the individual author(s) and contributor(s) and not of MDPI and/or the editor(s). MDPI and/or the editor(s) disclaim responsibility for any injury to people or property resulting from any ideas, methods, instructions or products referred to in the content. |
© 2024 by the authors. Licensee MDPI, Basel, Switzerland. This article is an open access article distributed under the terms and conditions of the Creative Commons Attribution (CC BY) license (https://creativecommons.org/licenses/by/4.0/).
Share and Cite
Zhang, L.; Lu, J.; Liu, B. Hierarchically Ordered Macroporous–Mesoporous (HOM-m) MgFe2O4/MgO for Highly Efficient Adsorption of Ce(III) and La(III): Experimental Study and DFT Calculation Analysis. Separations 2024, 11, 333. https://doi.org/10.3390/separations11120333
Zhang L, Lu J, Liu B. Hierarchically Ordered Macroporous–Mesoporous (HOM-m) MgFe2O4/MgO for Highly Efficient Adsorption of Ce(III) and La(III): Experimental Study and DFT Calculation Analysis. Separations. 2024; 11(12):333. https://doi.org/10.3390/separations11120333
Chicago/Turabian StyleZhang, Lina, Jiarui Lu, and Baixiong Liu. 2024. "Hierarchically Ordered Macroporous–Mesoporous (HOM-m) MgFe2O4/MgO for Highly Efficient Adsorption of Ce(III) and La(III): Experimental Study and DFT Calculation Analysis" Separations 11, no. 12: 333. https://doi.org/10.3390/separations11120333
APA StyleZhang, L., Lu, J., & Liu, B. (2024). Hierarchically Ordered Macroporous–Mesoporous (HOM-m) MgFe2O4/MgO for Highly Efficient Adsorption of Ce(III) and La(III): Experimental Study and DFT Calculation Analysis. Separations, 11(12), 333. https://doi.org/10.3390/separations11120333

