Capillary Zone Electrophoresis with Light-Emitting Diode-Induced Fluorescence Detection for the Analysis of Monoclonal Antibodies: Detector Optimization through Design of Experiments and Comparison to UV Detection
Abstract
1. Introduction
2. Materials and Methods
2.1. Materials
2.2. Preparation of Reagent Solutions
2.3. Capillary Electrophoresis System
2.4. Capillary Electrophoresis Methods
2.5. Design of Experiments
2.6. Linearity and Signal-to-Noise Ratio
2.7. Precision
2.8. Evaluation
3. Results
3.1. Design of Experiments
Verification of the Predicted Optimal Factor Settings
3.2. Signal-to-Noise Ratio
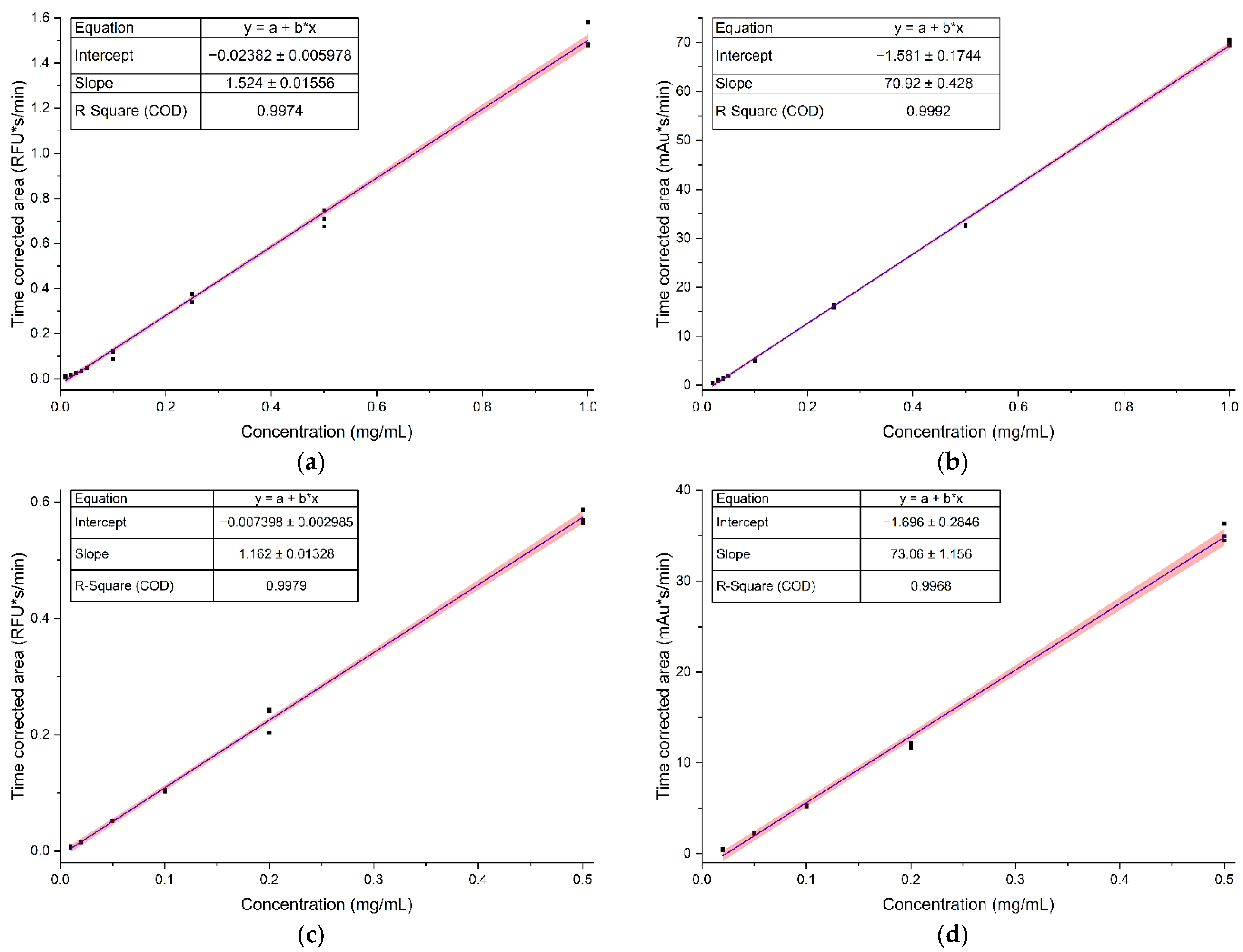
3.3. Linearity
3.4. Precision
4. Discussion
4.1. Design of Experiments
4.1.1. Selection of Factors and Responses
4.1.2. Results from the Design of Experiments
4.2. Signal-to-Noise Ratio
4.3. Linearity
4.4. Precision
5. Conclusions and Outlook
Supplementary Materials
Author Contributions
Funding
Data Availability Statement
Acknowledgments
Conflicts of Interest
References
- Gassmann, E.; Kuo, J.E.; Zare, R.N. Electrokinetic separation of chiral compounds. Science 1985, 230, 813–814. [Google Scholar] [CrossRef] [PubMed]
- Galievsky, V.A.; Stasheuski, A.S.; Krylov, S.N. “Getting the best sensitivity from on-capillary fluorescence detection in capillary electrophoresis”—A tutorial. Anal. Chim. Acta 2016, 935, 58–81. [Google Scholar] [CrossRef]
- Ban, E.; Song, E.J. Recent developments and applications of capillary electrophoresis with laser-induced fluorescence detection in biological samples. J. Chromatogr. B Analyt. Technol. Biomed. Life Sci. 2013, 929, 180–186. [Google Scholar] [CrossRef]
- Couderc, F.; Ong-Meang, V.; Poinsot, V. Capillary electrophoresis hyphenated with UV-native-laser induced fluorescence detection (CE/UV-native-LIF). Electrophoresis 2017, 38, 135–149. [Google Scholar] [CrossRef] [PubMed]
- Morani, M.; Taverna, M.; Mai, T.D. A fresh look into background electrolyte selection for capillary electrophoresis-laser induced fluorescence of peptides and proteins. Electrophoresis 2019, 40, 2618–2624. [Google Scholar] [CrossRef] [PubMed]
- García-Campaña, A.M.; Taverna, M.; Fabre, H. LIF detection of peptides and proteins in CE. Electrophoresis 2007, 28, 208–232. [Google Scholar] [CrossRef]
- Szekrényes, Á.; Park, S.S.; Santos, M.; Lew, C.; Jones, A.; Haxo, T.; Kimzey, M.; Pourkaveh, S.; Szabó, Z.; Sosic, Z.; et al. Multi-Site N-glycan mapping study 1: Capillary electrophoresis—Laser induced fluorescence. MAbs 2016, 8, 56–64. [Google Scholar] [CrossRef]
- Skeidsvoll, J.; Ueland, P.M. Analysis of double-stranded DNA by capillary electrophoresis with laser-induced fluorescence detection using the monomeric dye SYBR green I. Anal. Biochem. 1995, 231, 359–365. [Google Scholar] [CrossRef]
- Ban, E.; Kwon, H.; Song, E.J. A rapid and reliable CE-LIF method for the quantitative analysis of miRNA-497 in plasma and organs and its application to a pharmacokinetic and biodistribution study. RSC Adv. 2020, 10, 18648–18654. [Google Scholar] [CrossRef]
- Ta, H.Y.; Collin, F.; Perquis, L.; Poinsot, V.; Ong-Meang, V.; Couderc, F. Twenty years of amino acid determination using capillary electrophoresis: A review. Anal. Chim. Acta 2021, 1174, 338233. [Google Scholar] [CrossRef]
- Le Potier, I.; Boutonnet, A.; Ecochard, V.; Couderc, F. Chemical and Instrumental Approaches for Capillary Electrophoresis (CE)-Fluorescence Analysis of Proteins. Methods Mol. Biol. 2016, 1466, 1–10. [Google Scholar] [CrossRef]
- Toseland, C.P. Fluorescent labeling and modification of proteins. J. Chem. Biol. 2013, 6, 85–95. [Google Scholar] [CrossRef] [PubMed]
- Malek, A.; Khaledi, M.G. Expression and analysis of green fluorescent proteins in human embryonic kidney cells by capillary electrophoresis. Anal. Biochem. 1999, 268, 262–269. [Google Scholar] [CrossRef]
- Jin, Y.; Chen, C.; Meng, L.; Chen, J.; Li, M.; Zhu, Z.; Lin, J. A CE-LIF method to monitor autophagy by directly detecting LC3 proteins in HeLa cells. Analyst 2012, 137, 5571–5575. [Google Scholar] [CrossRef] [PubMed]
- Lakowicz, J.R. Principles of Fluorescence Spectroscopy, 3rd ed.; Springer Science+Business Media LLC: Boston, MA, USA, 2006; ISBN 978-0-387-46312-4. [Google Scholar]
- Mukunda, D.C.; Joshi, V.K.; Mahato, K.K. Light emitting diodes (LEDs) in fluorescence-based analytical applications: A review. Appl. Spectrosc. Rev. 2022, 57, 1–38. [Google Scholar] [CrossRef]
- de Kort, B.J.; de Jong, G.J.; Somsen, G.W. Native fluorescence detection of biomolecular and pharmaceutical compounds in capillary electrophoresis: Detector designs, performance and applications: A review. Anal. Chim. Acta 2013, 766, 13–33. [Google Scholar] [CrossRef]
- Rodat-Boutonnet, A.; Naccache, P.; Morin, A.; Fabre, J.; Feurer, B.; Couderc, F. A comparative study of LED-induced fluorescence and laser-induced fluorescence in SDS-CGE: Application to the analysis of antibodies. Electrophoresis 2012, 33, 1709–1714. [Google Scholar] [CrossRef]
- Couderc, F.; Nertz, M.; Nouadje, G. Laser-Induced Fluorescence Detector and Method for the Implementation of Said Device. WO1999FR00800, 7 April 1999. [Google Scholar]
- Bayle, C.; Siri, N.; Poinsot, V.; Treilhou, M.; Caussé, E.; Couderc, F. Analysis of tryptophan and tyrosine in cerebrospinal fluid by capillary electrophoresis and “ball lens” UV-pulsed laser-induced fluorescence detection. J. Chromatogr. A 2003, 1013, 123–130. [Google Scholar] [CrossRef]
- Kumar, R.; Guttman, A.; Rathore, A.S. Applications of capillary electrophoresis for biopharmaceutical product characterization. Electrophoresis 2022, 43, 143–166. [Google Scholar] [CrossRef]
- Gilardoni, E.; Regazzoni, L. Liquid phase separation techniques for the characterization of monoclonal antibodies and bioconjugates. J. Chromatogr. Open 2022, 2, 100034. [Google Scholar] [CrossRef]
- Dadouch, M.; Ladner, Y.; Perrin, C. Analysis of Monoclonal Antibodies by Capillary Electrophoresis: Sample Preparation, Separation, and Detection. Separations 2021, 8, 4. [Google Scholar] [CrossRef]
- Salas-Solano, O.; Tomlinson, B.; Du, S.; Parker, M.; Strahan, A.; Ma, S. Optimization and validation of a quantitative capillary electrophoresis sodium dodecyl sulfate method for quality control and stability monitoring of monoclonal antibodies. Anal. Chem. 2006, 78, 6583–6594. [Google Scholar] [CrossRef] [PubMed]
- Rodat, A.; Gavard, P.; Couderc, F. Improving detection in capillary electrophoresis with laser induced fluorescence via a bubble cell capillary and laser power adjustment. Biomed. Chromatogr. 2009, 23, 42–47. [Google Scholar] [CrossRef]
- Kahle, J.; Zagst, H.; Wiesner, R.; Wätzig, H. Comparative charge-based separation study with various capillary electrophoresis (CE) modes and cation exchange chromatography (CEX) for the analysis of monoclonal antibodies. J. Pharm. Biomed. Anal. 2019, 174, 460–470. [Google Scholar] [CrossRef]
- Candreva, J.; Esterman, A.L.; Ge, D.; Patel, P.; Flagg, S.C.; Das, T.K.; Li, X. Dual-detection approach for a charge variant analysis of monoclonal antibody combination products using imaged capillary isoelectric focusing. Electrophoresis 2022, 43, 1701–1709. [Google Scholar] [CrossRef]
- Kahle, J.; Wätzig, H. Determination of protein charge variants with (imaged) capillary isoelectric focusing and capillary zone electrophoresis. Electrophoresis 2018, 39, 2492–2511. [Google Scholar] [CrossRef]
- Wiesner, R.; Zagst, H.; Lan, W.; Bigelow, S.; Holper, P.; Hübner, G.; Josefsson, L.; Lancaster, C.; Lo, L.; Lößner, C.; et al. An interlaboratory capillary zone electrophoresis-UV study of various monoclonal antibodies, instruments, and ε-aminocaproic acid lots. Electrophoresis 2023. accepted manuscript. [Google Scholar] [CrossRef] [PubMed]
- Fukuda, I.M.; Pinto, C.F.F.; Moreira, C.d.S.; Saviano, A.M.; Lourenço, F.R. Design of Experiments (DoE) applied to Pharmaceutical and Analytical Quality by Design (QbD). Braz. J. Pharm. Sci. 2018, 54. [Google Scholar] [CrossRef]
- Silva Araújo, A.; Fernandes Andrade, D.; Babos, D.V.; Castro, J.P.; Garcia, J.A.; Sperança, M.A.; Gamela, R.R.; Cardoso Machado, R.; Câmara Costa, V.; Nascimento Guedes, W.; et al. Key information related to quality by design (QbD) applications in analytical methods development. Braz. J. Anal. Chem. 2020, 8, 14–28. [Google Scholar] [CrossRef]
- Emonts, P.; Avohou, H.T.; Hubert, P.; Ziemons, E.; Fillet, M.; Dispas, A. Optimization of a robust and reliable FITC labeling process for CE-LIF analysis of pharmaceutical compounds using design of experiments strategy. J. Pharm. Biomed. Anal. 2021, 205, 114304. [Google Scholar] [CrossRef] [PubMed]
- van Tricht, E.; Geurink, L.; Backus, H.; Germano, M.; Somsen, G.W.; Sänger-van de Griend, C.E. One single, fast and robust capillary electrophoresis method for the direct quantification of intact adenovirus particles in upstream and downstream processing samples. Talanta 2017, 166, 8–14. [Google Scholar] [CrossRef] [PubMed]
- Hancu, G.; Orlandini, S.; Papp, L.A.; Modroiu, A.; Gotti, R.; Furlanetto, S. Application of Experimental Design Methodologies in the Enantioseparation of Pharmaceuticals by Capillary Electrophoresis: A Review. Molecules 2021, 26, 4681. [Google Scholar] [CrossRef]
- Krait, S.; Heuermann, M.; Scriba, G.K.E. Development of a capillary electrophoresis method for the determination of the chiral purity of dextromethorphan by a dual selector system using quality by design methodology. J. Sep. Sci. 2018, 41, 1405–1413. [Google Scholar] [CrossRef] [PubMed]
- Michels, D.A.; Parker, M.; Salas-Solano, O. Quantitative impurity analysis of monoclonal antibody size heterogeneity by CE-LIF: Example of development and validation through a quality-by-design framework. Electrophoresis 2012, 33, 815–826. [Google Scholar] [CrossRef]
- Moritz, B.; Locatelli, V.; Niess, M.; Bathke, A.; Kiessig, S.; Entler, B.; Finkler, C.; Wegele, H.; Stracke, J. Optimization of capillary zone electrophoresis for charge heterogeneity testing of biopharmaceuticals using enhanced method development principles. Electrophoresis 2017, 38, 3136–3146. [Google Scholar] [CrossRef]
- EDQM Council of Europe. 2.2.47 Kapillarelektrophorese. In Europäisches Arzneibuch 10.5: Ph. Eur. 10.5—Grundwerk 2020 inkl. 5. Nachtrag (Online Version), 10th ed.; Deutscher Apotheker Verlag Dr. Roland Schmiedel GmbH & Co. KG: Stuttgart, Germany, 2020; pp. 119–126. [Google Scholar]
- International Council for Harmonisation of Technical Requirements for Pharmaceuticals for Human Use. Validation of Analytical Procedures: Text and Methodology Q2(R1): ICH Q2(R1), Step 4. International Council for Harmonisation of Technical Requirements for Pharmaceuticals for Human Use: 2005; (Q2(R1)). Available online: https://database.ich.org/sites/default/files/Q2%28R1%29%20Guideline.pdf (accessed on 17 January 2023).
- National Institute of Standards and Technology. Reference Material Information Sheet, Reference Material 8671 NISTmAb, Humanized IgG1κ Monoclonal Antibody Lot 14HB-D-002; 2022. Available online: https://tsapps.nist.gov/srmext/certificates/8671.pdf (accessed on 12 January 2023).
- Schiel, J.E.; Davis, D.L.; Borisov, O. (Eds.) Biopharmaceutical Characterization: The NISTmAb Case Study; American Chemical Society: Washington, DC, USA; Distributed in Print by Oxford University Press: Oxford, UK, 2015; ISBN 9780841230293. [Google Scholar]
- Waters Corporation. Intact mAb Mass Check Standard Care and Use Manual. 720004420EN. 2013. Available online: https://www.waters.com/webassets/cms/support/docs/720004420en.pdf (accessed on 12 January 2023).
- Knoechel, T.; Schmiedel, J.; Ferguson, K.M. Crystalline Egfr—Matuzumab Complex and Matuzumab Mimetics Obtained Thereof. WO2008EP07889, 19 September 2008. [Google Scholar]
- Seiden, M.V.; Burris, H.A.; Matulonis, U.; Hall, J.B.; Armstrong, D.K.; Speyer, J.; Weber, J.D.A.; Muggia, F. A phase II trial of EMD72000 (matuzumab), a humanized anti-EGFR monoclonal antibody, in patients with platinum-resistant ovarian and primary peritoneal malignancies. Gynecol. Oncol. 2007, 104, 727–731. [Google Scholar] [CrossRef]
- Rao, S.; Starling, N.; Cunningham, D.; Sumpter, K.; Gilligan, D.; Ruhstaller, T.; Valladares-Ayerbes, M.; Wilke, H.; Archer, C.; Kurek, R.; et al. Matuzumab plus epirubicin, cisplatin and capecitabine (ECX) compared with epirubicin, cisplatin and capecitabine alone as first-line treatment in patients with advanced oesophago-gastric cancer: A randomised, multicentre open-label phase II study. Ann. Oncol. 2010, 21, 2213–2219. [Google Scholar] [CrossRef]
- Taiga Uranaka. UPDATE 1-Merck, Takeda Cancel Development of Cancer Drug. Thomson Reuters. 2008. Available online: https://www.reuters.com/article/takeda-idUST35282120080218 (accessed on 12 January 2023).
- González-Ruiz, V.; Drouin, N.; Reginato, E.; Rudaz, S.; Schappler, J. zeecalc: 1.0b. Available online: https://ispso.unige.ch/labs/fanal/zeecalc:en (accessed on 31 August 2018).
- Baumann, K.; Wätzig, H. Appropriate calibration functions for capillary electrophoresis II. Heteroscedasticity and its consequences. J. Chromatogr. A 1995, 700, 9–20. [Google Scholar] [CrossRef]
- DIN Deutsches Institut für Normung e. V. Deutsche Einheitsverfahren zur Wasser-, Abwasser- und Schlammuntersuchung—Allgemeine Angaben (Gruppe A)—Teil 51: Kalibrierung von Analysenverfahren—Lineare Kalibrierfunktion (A 51): (German Standard Methods for the Examination of Water, Waste Water and Sludge—General Information (Group A)—Part 51: Calibration of Analytical Methods—Linear Calibration (A 51)), 2017-05; Beuth Verlag GmbH: Berlin, Germany, 2017; 13.060.50 (DIN 38402-51). [Google Scholar]
- Köppel, H.; Wätzig, H. Trends in der statistischen QC Teil 2: Verteilungsabhägige Test. PZ Prisma 2009, 16, 251–256. [Google Scholar]
- Köppel, H.; Cianciulli, C.; Wätzig, H. Trendtests für die statistische Qualitätskontrolle Teil 3: Anwendung und Leistungsbewertung. PZ Prisma 2010, 17, 229–243. [Google Scholar]
- Platen, H.; Jähnichen, S. Prüfung der Gleichwertigkeit Zweier Analysenverfahren Mittels Two One-Sided t-Test (TOST) nach DIN 38402-71:2020-10. Available online: https://www.wasserchemische-gesellschaft.de/dev/validierungsdokumente?download=204:a71-gleichwertigkeitspruefung-tost-verfahren&lang=de (accessed on 24 January 2023).
- Limentani, G.B.; Ringo, M.C.; Ye, F.; Berquist, M.L.; McSorley, E.O. Beyond the t-test: Statistical equivalence testing. Anal. Chem. 2005, 77, 221A–226A. [Google Scholar] [CrossRef]
- DIN Deutsches Institut für Normung e. V. Deutsche Einheitsverfahren zur Wasser-, Abwasser- und Schlammuntersuchung—Allgemeine Angaben (Gruppe A)—Teil 71: Gleichwertigkeit von Zwei Analysenverfahren Aufgrund des Vergleichs von Analysenergebnissen (A 71): (German Standard Methods for the Examination of Water, Waste Water and Sludge—General Information (Group A)—Part 71: Equivalence of Two Analysis Methods Based on the Comparison of Analysis Results (A 71)), 2020-10; Beuth Verlag GmbH: Berlin, Germany, 2020; 13.060.45 (DIN 38402-71). [Google Scholar]
- Valeur, B.; Berberan-Santos, M.N. Molecular Fluorescence: Principles and Applications, 2nd ed.; Wiley-VCH: Weinheim, Germany, 2012; ISBN 9783527650002. [Google Scholar]
- Christophe, A.B. Valley to peak ratio as a measure for the separation of two chromatographic peaks. Chromatographia 1971, 4, 455–458. [Google Scholar] [CrossRef]
- Stutz, H. Protein attachment onto silica surfaces—A survey of molecular fundamentals, resulting effects and novel preventive strategies in CE. Electrophoresis 2009, 30, 2032–2061. [Google Scholar] [CrossRef] [PubMed]
- He, Y.; Isele, C.; Hou, W.; Ruesch, M. Rapid analysis of charge variants of monoclonal antibodies with capillary zone electrophoresis in dynamically coated fused-silica capillary. J. Sep. Sci. 2011, 34, 548–555. [Google Scholar] [CrossRef]
- Foret, F.; Szoko, E.; Karger, B.L. On-column transient and coupled column isotachophoretic preconcentration of protein samples in capillary zone electrophoresis. J. Chromatogr. A 1992, 608, 3–12. [Google Scholar] [CrossRef]
- Malá, Z.; Gebauer, P. Analytical isotachophoresis 1967–2022: From standard analytical technique to universal on-line concentration tool. TrAC Trends Anal. Chem. 2023, 158, 116837. [Google Scholar] [CrossRef]
- Křivánková, L.; Boček, P. Synergism of capillary isotachophoresis and capillary zone electrophoresis. J. Chromatogr. B Biomed. Sci. Appl. 1997, 689, 13–34. [Google Scholar] [CrossRef]
- Vinther, A.; Soeberg, H.; Nielsen, L.; Pedersen, J.; Biedermann, K. Thermal degradation of a thermolabile Serratia marcescens nuclease using capillary electrophoresis with stacking conditions. Anal. Chem. 1992, 64, 187–191. [Google Scholar] [CrossRef]
- Formolo, T.; Ly, M.; Levy, M.; Kilpatrick, L.; Lute, S.; Phinney, K.; Marzilli, L.; Brorson, K.; Boyne, M.; Davis, D.; et al. Determination of the NISTmAb Primary Structure. In Biopharmaceutical Characterization: The NISTmAb Case Study; Schiel, J.E., Davis, D.L., Borisov, O., Eds.; American Chemical Society: Washington, DC, USA; Distributed in Print by Oxford University Press: Oxford, UK, 2015; pp. 1–62. ISBN 9780841230293. [Google Scholar]
- DIN Deutsches Institut für Normung e. V. Lineare Kalibrierung unter Verwendung von Referenzmaterialien (ISO 11095:1996); Text Deutsch und Englisch: (Linear Calibration Using Reference Materials (ISO 11095:1996); Text German and English), 2008-04; Beuth Verlag GmbH: Berlin, Germany, 2008; 17.020 (DIN ISO 11095). [Google Scholar]
- Kaminski, L.; Schepers, U.; Wätzig, H. Analytical method transfer using equivalence tests with reasonable acceptance criteria and appropriate effort: Extension of the ISPE concept. J. Pharm. Biomed. Anal. 2010, 53, 1124–1129. [Google Scholar] [CrossRef]








| Response | S/N Basic (n = 4) | S/N Main (n = 5) | P/V Acidic (n = 5) | P/V Basic (n = 5) |
|---|---|---|---|---|
| Mean | 712.0 | 2.410 × 104 | 1.419 | 1.132 |
| SD | 10.24 | 177.8 | 0.005327 | 0.007638 |
| 95% CI | 625.8–753.1 | 2.388 × 104–2.433 × 104 | 1.412–1.425 | 1.123–1.123 |
| RSD | 1.439% | 0.7378% | 0.3755% | 0.6745% |
| Predicted value | 778.4 | 2.678 × 104 | 1.468 | 1.160 |
| Absolute deviation experimental value | −66.37 | −2674 | −0.04938 | −0.02760 |
| Relative deviation experimental value | −8.526% | −9.986% | −3.363% | −2.379% |
| Matuzumab | NISTmAb | ||||
|---|---|---|---|---|---|
| Concentration (mg/mL) | UV Detection | LEDIF Detection | Concentration (mg/mL) | UV Detection | LEDIF Detection |
| 0.01 | 8.7 | 59 | 0.003 | - | 1.7 |
| 0.02 | 27 | 188 | 0.004 | - | 2.1 * |
| 0.03 | 42 | 249 | 0.005 | - | 2.0 |
| 0.04 | 42 | 412 | 0.01 | 2.7 | 28 |
| 0.05 | 55 | 465 | 0.02 | 14 | 85 |
| 0.10 | 180 | 1983 | 0.05 | 114 | 452 |
| 0.25 | 542 | 6745 | 0.10 | 316 | 997 |
| 0.50 | 1046 | 1.12 × 104 | 0.20 | 828 | 2125 |
| 1.00 | 1964 | 1.92 × 104 | 0.50 | 2220 | 4241 |
| Parameter | Time Interval | Mean | 95% CI | SD | RSD | ||||
|---|---|---|---|---|---|---|---|---|---|
| UV | LEDIF | UV | LEDIF | UV | LEDIF | UV | LEDIF | ||
| Migration time | Week 1, day 1 | 27.86 min | 27.67 min * | 27.78 min–27.93 min | 27.61 min–27.74 min * | 0.1025 min | 0.07062 min * | 0.3681% | 0.2552% * |
| Week 1, day 2 | 27.67 min | 27.60 min | 27.57 min–27.77 min | 27.53 min–27.67 min | 0.1405 min | 0.09533 min | 0.5079% | 0.3454% | |
| Week 2 | 28.44 min | 27.67 min * | 28.38 min–28.50 min | 27.55 min–27.79 min * | 0.08552 min | 0.1573 min * | 0.3007% | 0.5684% * | |
| Week 1 and 2 | 27.99 min | 27.64 min * | 27.86 min–28.12 min | 27.60 min–27.69 min * | 0.3509 min | 0.1161 min | 1.254% | 0.4199% * | |
| %area basic | Week 1, day 1 | 7.473% | 7.395% * | 7.215–7.732% | 7.118–7.671% * | 0.3618% | 0.2989% * | 4.841% | 4.042% * |
| Week 1, day 2 | 7.278% | 6.521% | 7.152–7.404% | 6.465–6.577% | 0.1762% | 0.07832% | 2.421% | 1.201% | |
| Week 2 | 7.296% | 6.215% * | 7.143–7.450% | 6.133–6.297% * | 0.2146% | 0.1063% * | 2.941% | 1.711% * | |
| Week 1 and 2 | 7.349% | 6.650% * | 7.249–7.450% | 6.446–6.855% * | 0.2694% | 0.5072% * | 3.666% | 7.627% * | |
| %area main 1 | Week 1, day 1 | 18.26% | 16.98% * | 18.20–18.32% | 16.82–17.14% * | 0.08628% | 0.1715% * | 0.4726% | 1.010% * |
| Week 1, day 2 | 18.25% | 17.78% | 18.19–18.32% | 17.75–17.82% | 0.09175% | 0.04757% | 0.5026% | 0.2676% | |
| Week 2 | 17.96% | 17.48% * | 17.86–18.05% | 17.36–17.60% * | 0.1334% | 0.1568% * | 0.7427% | 0.8972% * | |
| Week 1 and 2 | 18.16% | 17.46% * | 18.09–18.22% | 17.32–17.60% * | 0.1762% | 0.3474% * | 0.9702% | 1.990% * | |
| %area mid | Week 1, day 1 | 3.615% | 4.009% * | 3.591–3.639% | 3.982–4.036% * | 0.03346% | 0.02957% * | 0.9254% | 0.7376% * |
| Week 1, day 2 | 3.559% | 3.945% | 3.542–3.575% | 3.903–3.987% | 0.02317% | 0.05898% | 0.6510% | 1.495% | |
| Week 2 | 3.602% | 4.001% * | 3.576–3.628% | 3.975–4.026% * | 0.03644% | 0.03321% * | 1.012% | 0.8301% * | |
| Week 1 and 2 | 3.592% | 3.982% * | 3.577–3.607% | 3.961–4.002% * | 0.03918% | 0.05183% * | 1.091% | 1.302% * | |
| %area main 2 | Week 1, day 1 | 22.61% | 22.13% * | 22.52–22.71% | 21.95–22.30% * | 0.1363% | 0.1909% * | 0.6027% | 0.8626% * |
| Week 1, day 2 | 22.77% | 21.84% | 22.66–22.88% | 21.74–21.95% | 0.1509% | 0.04445% | 0.6626% | 0.6435% | |
| Week 2 | 22.45% | 21.70% * | 22.33–22.57% | 21.61–21.79% * | 0.1644% | 0.1172% * | 0.7323% | 0.5400% * | |
| Week 1 and 2 | 22.61% | 21.87% * | 22.54–22.68% | 21.78–21.96% * | 0.1972% | 0.2217% * | 0.8722% | 1.013% * | |
| %area acidic | Week 1, day 1 | 48.04% | 49.49% * | 47.89–48.18% | 49.23–49.75% * | 0.2054% | 0.2817% * | 0.4277% | 0.5693% * |
| Week 1, day 2 | 48.14% | 49.91% | 47.96–48.31% | 49.85–49.96% | 0.2443% | 0.07524% | 0.5075% | 0.1508% | |
| Week 2 | 48.67% | 50.60% * | 48.52–48.82% | 50.47–50.73% * | 0.2116% | 0.1693% * | 0.4347% | 0.3345% * | |
| Week 1 and 2 | 48.28% | 50.04% * | 48.15–48.41% | 49.84–50.23% * | 0.3526% | 0.4869% * | 0.7303% | 0.9732% * | |
| P/V acidic | Week 1, day 1 | 1.784 | 2.084 * | 1.754–1.814 | 2.046–2.121 * | 0.04204 | 0.04075 * | 2.356% | 1.956% * |
| Week 1, day 2 | 1.746 | 2.115 | 1.717–1.775 | 2.072–2.158 | 0.04083 | 0.06051 | 2.338% | 2.861% | |
| Week 2 | 1.907 | 2.155 * | 1.880–1.933 | 2.094–2.216 * | 0.03727 | 0.07875 * | 1.955% | 3.654% * | |
| Week 1 and 2 | 1.812 | 2.120 * | 1.783–1.842 | 2.093–2.148 * | 0.07970 | 0.06722 * | 4.397% | 3.170% * | |
| Parameter | Time Interval | Mean | 95% CI | SD | RSD | ||||
|---|---|---|---|---|---|---|---|---|---|
| UV | LEDIF | UV | LEDIF | UV | LEDIF | UV | LEDIF | ||
| Migration time | Week 1, day 1 | 18.57 min | 17.35 min | 18.49 min–18.65 min | 17.32 min–17.38 min | 0.1076 min | 0.03669 min | 0.5793% | 0.2115% |
| Week 1, day 2 | 18.31 min | 17.35 min | 18.27 min–18.35 min | 17.34 min–17.37 min | 0.05050 min | 0.01996 min | 0.2758% | 0.1150% | |
| Week 2 | 18.81 min | 17.52 min | 18.79 min–18.84 min | 17.50 min–17.54 min | 0.03821 min | 0.02855 min | 0.2031% | 0.1630% | |
| Week 1 and 2 | 18.57 min | 17.41 min | 18.48 min–18.65 min | 17.37 min–17.44 min | 0.2208 min | 0.08464 min | 1.189% | 0.4863% | |
| %area basic | Week 1, day 1 | 16.91% | 15.01% | 16.84–16.97% | 14.87–15.15% | 0.09029% | 0.1927% | 0.5340% | 1.284% |
| Week 1, day 2 | 16.55% | 15.61% | 16.45–16.65% | 15.45–15.78% | 0.1350% | 0.2297% | 0.8159% | 1.471% | |
| Week 2 | 14.81% | 14.97% | 14.74–14.87% | 14.70–15.24% | 0.09175% | 0.3762% | 0.6196% | 2.513% | |
| Week 1 and 2 | 16.09% | 15.20% | 15.74–16.44% | 15.05–15.35% | 0.9385% | 0.4014% | 5.834% | 2.641% | |
| %area main | Week 1, day 1 | 67.18% | 67.01% | 67.02–67.34% | 66.74–67.28% | 0.2236% | 0.3794% | 0.3328% | 0.5662% |
| Week 1, day 2 | 67.74% | 66.83% | 67.62–67.86% | 66.57–67.08% | 0.1689% | 0.3602% | 0.2494% | 0.5390% | |
| Week 2 | 69.26% | 67.44% | 69.10–69.42% | 67.20–67.67% | 0.2212% | 0.3305% | 0.3193% | 0.4901% | |
| Week 1 and 2 | 68.06% | 67.09% | 67.71–68.40% | 66.93–67.25% | 0.9169% | 0.4319% | 1.347% | 0.6438% | |
| %area acidic | Week 1, day 1 | 15.92% | 17.98% | 15.79–16.05% | 17.60–18.36% | 0.1822% | 0.5298% | 1.144% | 2.947% |
| Week 1, day 2 | 15.71% | 17.56% | 15.62–15.81% | 17.37–17.75% | 0.1312% | 0.2611% | 0.8347% | 1.487% | |
| Week 2 | 15.93% | 17.59% | 15.81–16.05% | 17.46–17.72% | 0.1682% | 0.1818% | 1.056% | 1.033% | |
| Week 1 and 2 | 15.85% | 17.71% | 15.78–15.92% | 17.56–17.86% | 0.1869% | 0.3947% | 1.179% | 2.229% | |
| P/V acidic | Week 1, day 1 | 1.353 | 1.405 | 1.311–1.396 | 1.400–1.411 | 0.05928 | 0.007960 | 4.380% | 0.5663% |
| Week 1, day 2 | 1.356 | 1.418 | 1.352–1.359 | 1.413–1.423 | 0.005266 | 0.007310 | 0.3885% | 0.5155% | |
| Week 2 | 1.385 | 1.424 | 1.379–1.390 | 1.421–1.427 | 0.007782 | 0.004245 | 0.5620% | 0.2982% | |
| Week 1 and 2 | 1.365 | 1.416 | 1.351–1.378 | 1.412–1.420 | 0.03646 | 0.01011 | 2.672% | 0.7138% | |
| mAb | Parameter | Equivalence at 2% | Equivalence at 5% |
|---|---|---|---|
| Waters mAb | Migration time | Yes | - |
| %area basic | - | No | |
| %area main 1 | - | Yes | |
| %area mid | - | No | |
| %area main 2 | - | Yes | |
| %area acidic | - | Yes | |
| P/V | - | No | |
| NISTmAb | Migration time | No | - |
| %area basic | - | No | |
| %area main | - | Yes | |
| %area acidic | - | No | |
| P/V | - | Yes |
Disclaimer/Publisher’s Note: The statements, opinions and data contained in all publications are solely those of the individual author(s) and contributor(s) and not of MDPI and/or the editor(s). MDPI and/or the editor(s) disclaim responsibility for any injury to people or property resulting from any ideas, methods, instructions or products referred to in the content. |
© 2023 by the authors. Licensee MDPI, Basel, Switzerland. This article is an open access article distributed under the terms and conditions of the Creative Commons Attribution (CC BY) license (https://creativecommons.org/licenses/by/4.0/).
Share and Cite
Zagst, H.; Hartung, S.; Menges, D.-M.; Wittmann, A.; Wätzig, H. Capillary Zone Electrophoresis with Light-Emitting Diode-Induced Fluorescence Detection for the Analysis of Monoclonal Antibodies: Detector Optimization through Design of Experiments and Comparison to UV Detection. Separations 2023, 10, 320. https://doi.org/10.3390/separations10050320
Zagst H, Hartung S, Menges D-M, Wittmann A, Wätzig H. Capillary Zone Electrophoresis with Light-Emitting Diode-Induced Fluorescence Detection for the Analysis of Monoclonal Antibodies: Detector Optimization through Design of Experiments and Comparison to UV Detection. Separations. 2023; 10(5):320. https://doi.org/10.3390/separations10050320
Chicago/Turabian StyleZagst, Holger, Sophie Hartung, Dina-Mareike Menges, Antonia Wittmann, and Hermann Wätzig. 2023. "Capillary Zone Electrophoresis with Light-Emitting Diode-Induced Fluorescence Detection for the Analysis of Monoclonal Antibodies: Detector Optimization through Design of Experiments and Comparison to UV Detection" Separations 10, no. 5: 320. https://doi.org/10.3390/separations10050320
APA StyleZagst, H., Hartung, S., Menges, D.-M., Wittmann, A., & Wätzig, H. (2023). Capillary Zone Electrophoresis with Light-Emitting Diode-Induced Fluorescence Detection for the Analysis of Monoclonal Antibodies: Detector Optimization through Design of Experiments and Comparison to UV Detection. Separations, 10(5), 320. https://doi.org/10.3390/separations10050320
