Abstract
(1) Background: Domestic violence (DV), including intimate partner violence (IPV) during pregnancy and the puerperium, represents a major public health issue, significantly affecting maternal and child health. (2) Methods: This systematic review and meta-analysis, conducted according to PRISMA 2020 guidelines, aimed to identify screening tools used to detect DV and IPV among pregnant and postpartum women and to estimate DV prevalence. The protocol was published in PROSPERO in advance (CRD42023473392). (3) Results: A comprehensive literature search across PubMed, EMBASE, Scopus, and Web of Science was conducted on 1 January 2024, resulting in 34,720 records; 98 studies met the inclusion criteria. The included studies were conducted in over 40 countries, and most were cross-sectional. Commonly used screening tools included the WHO Women’s Health and Life Experiences Questionnaire, the Abuse Assessment Screen, and the WHO Violence Against Women Instrument. Meta-analyses showed that 10% of women experienced physical violence, 26% psychological violence, 9% sexual violence, 16% verbal violence, and 13% economic violence. The overall prevalence of IPV during pregnancy and the puerperium was 26%. Despite the widespread use of validated instruments, substantial heterogeneity was observed, underscoring the need for standardization. (4) Conclusion: These findings underline the urgent need to integrate routine IPV screening into maternal care pathways using validated, culturally adapted tools, ensuring women’s safety and confidentiality.
1. Introduction
Violence against women, as defined by the United Nations, encompasses “any act of gender-based violence that results in, or is likely to result in, physical, sexual, or mental harm or suffering to women, including threats of such acts, coercion or arbitrary deprivation of liberty, whether occurring in public or in private life” (United Nations, 1994). It represents one of the most common human rights violations worldwide, cutting across geographical, cultural, and socioeconomic boundaries (UN Women, 2024). When violence is perpetrated by a current or former intimate partner, it is referred to as intimate partner violence (IPV); more broadly, domestic violence (DV) includes abuse by any household member, such as parents or in-laws. This conceptual distinction is relevant for the selection of screening tools, the interpretation of prevalence estimates, and the design of appropriate interventions. Violence can take the form of physical, sexual, psychological, and economic violence (UN Women, 2024). When the violence is directed against pregnant or postpartum women, it can have short- and long-term physical, economic, and psychological consequences for both mother and child, preventing their full and equal participation in society. The significance of this issue is further magnified when considering the first 1000 days of life—a critical window for the child’s growth, development, and long-term health outcomes (Berg, 2016). Exposure to violence during this period can generate severe repercussions not only for individuals and families but also for societal structures, with lasting economic and social costs. Recognizing the global magnitude of this phenomenon, the international community has committed to eliminating all forms of violence against women and girls as a specific target within the Sustainable Development Goals (SDG No. 5—Gender Equality, Target 5.2) to be achieved by 2030 (United Nations, 2015).
The true extent of the phenomenon of violence against women, particularly IPV and DV, is difficult to measure due to significant underreporting, often driven by stigma, fear of retaliation, or sociocultural norms that discourage disclosure. Additionally, the absence of standardized international surveillance systems impedes a comprehensive understanding of the prevalence and nature of the phenomenon. Moreover, the conditions created by humanitarian (Meinhart et al., 2021), health, and environmental crises, such as the recent COVID-19 pandemic (Uzoho et al., 2023), conflict (Wirtz et al., 2014), and climate change (Boddy et al., 2024), appear to have further exacerbated gender-based violence by worsening pre-existing vulnerabilities and creating new and emerging threats. Considering the difficulty of self-reporting by victims of violence, particularly among pregnant and postpartum women, the systematic introduction of screening tools is essential to identify and provide timely support to pregnant and postpartum women at risk. These tools must be both effective and feasible for application within healthcare and community settings, where women can be reached during routine care encounters.
This systematic review aims to identify, describe, and appraise the screening tools available to detect intimate partner violence against women during pregnancy and the puerperium. Specifically, the review seeks to (I) summarize the characteristics and contexts of application of these tools, (II) assess the healthcare or community settings involved in their administration, and (III) explore reported prevalence rates of violence detected through these instruments. By doing so, the review intends to inform clinical practice and policy, supporting the development of effective strategies to protect maternal and child health during this vulnerable life stage.
2. Materials and Methods
2.1. Study Design and Protocol Registration
This systematic review and meta-analysis were conducted in accordance with the Preferred Reporting Items for Systematic Reviews and Meta-Analyses (PRISMA) guidelines (Page et al., 2021). The protocol was prospectively registered with the International Prospective Register of Systematic Reviews (PROSPERO; ID: CRD42023473392), ensuring methodological transparency and rigor.
2.2. Information Sources, Search Strategy, and Study Selection
A comprehensive literature search was conducted simultaneously across all selected databases—PubMed, EMBASE, Scopus, and Web of Science—on the 1st January 2024, ensuring the retrieval of all relevant studies available up to that date. The search strategy combined MeSH terms and keywords related to domestic violence and the target population. The full search strategy for each database is available in Supplementary Table S1.
The search was limited to studies published in English or Italian. Additional references were identified through manual screening of bibliographies of relevant articles.
Studies were eligible if they included pregnant women (across all trimesters) or women in the puerperium period (up to 40 days post-delivery) who were subjected to any form of domestic violence (DV), defined as physical, sexual, psychological abuse, or controlling behaviors, such as economic violence, perpetrated by an intimate partner, during pregnancy or the puerperium. Additionally, only studies using screening tools (e.g., questionnaires, checklists) designed to identify IPV during pregnancy or the puerperium were eligible.
The primary outcome was the prevalence of IPV among pregnant and puerperal women as assessed through the identified screening tools. Lastly, only original epidemiological research—descriptive, observational studies (cross-sectional, case–control, cohort) and interventional trials—published as peer-reviewed articles in English or Italian were included. Detailed inclusion/exclusion criteria are reported in Table 1.
Table 1.
Eligibility criteria used to identify relevant studies, according to the PECOS.
2.3. Study Selection and Data Extraction
Study selection was performed in two steps. Firstly, two reviewers independently screened titles and abstracts of all retrieved records to identify studies meeting the eligibility criteria. Secondly, full-text articles were obtained and independently assessed for inclusion. Disagreements were resolved through discussion or consultation with a third reviewer.
Data extraction was conducted independently by two reviewers using a standardized, pre-piloted extraction form. Extracted data included authors, publication year, country, study period, study design, sample size, participants’ age and key characteristics, attrition rate, setting, type of screening tool used and validation, outcome measures and reported prevalence, adjustment variables, funding sources, and declared conflicts of interest. Any discrepancies were resolved through consensus or third-party adjudication. The authors of the original studies were contacted when data were missing or unclear.
The classification of IPV subtypes, including distinctions between verbal and psychological abuse, was reported according to the terminology and categorization used in the original studies.
2.4. Quality Assessment
The methodological quality and risk of bias of included studies were independently assessed by two reviewers using the Newcastle–Ottawa Scale (NOS) adapted to each study design (Ottawa Hospital Research Institute, 2000). Any disagreements were resolved through discussion or with the involvement of a third reviewer.
2.5. Data Synthesis
Given the anticipated heterogeneity in study designs, populations, and screening tools, a narrative synthesis approach was adopted. Extracted data were synthesized to describe (I) the prevalence of IPV during pregnancy and the puerperium; (II) the characteristics of the screening tools utilized.
2.6. Statistical Analysis
A meta-analysis was conducted to estimate the event rate of violence during pregnancy. Analyses were performed within subgroups defined by the type of violence (physical, sexual, any, verbal, economic). For each study included in the meta-analysis, we systematically extracted the number of women who reported experiencing IPV (event count) and the total number of women analyzed (sample size). The selected effect size was the event rate (ER), defined as the proportion of women exposed to IPV within the study population. This measure was consistently used across all studies and all forms of IPV (physical, psychological, sexual, and any IPV). A meta-analysis was conducted for each category only when at least five studies were available. Some studies were included more than once when they provided distinct data points. For instance, studies reporting results separately for different time periods (e.g., before and during an intervention), different populations (e.g., by country), or different measurement instruments applied to the same sample were entered multiple times accordingly. Both fixed-effects and random-effects models were applied, depending on the degree of heterogeneity. Heterogeneity was assessed using the I2 statistic and interpreted as follows: not important (I2 < 25%), low (25% ≤ I2 < 50%), moderate (50% ≤ I2 < 75%), or high (I2 ≥ 75%) (Higgins et al., 2003). Publication bias was evaluated through visual inspection of funnel plot asymmetry and formally tested using Egger’s test, with a p-value < 0.10 considered indicative of potential bias (Egger et al., 1997). When bias was detected, the trim-and-fill method was used to adjust for the possible impact of missing studies. All statistical analyses were conducted using ProMeta ® 3 software (Internovi, Cesena, Italy).
2.7. Sensitivity Analyses
To investigate the heterogeneity in IPV prevalence across different contexts, we conducted sensitivity analyses stratified by country income level, as defined by the World Bank, i.e., high, upper-middle, lower-middle, and low income, and by region, as defined by the World Health Organization (WHO): African, Americas, Eastern Mediterranean, European, South-East Asia, and Western Pacific (World Health Organization, n.d.). One study (Rasch et al., 2018) was excluded from the geographical analysis, because it was conducted in two countries (Tanzania and Vietnam) belonging to two different areas. These stratifications were performed to examine whether variations in IPV prevalence could be explained by economic or geographic factors. Sensitivity analyses were conducted for each form of IPV, namely, physical, psychological, sexual, and any IPV, but were limited to subgroups that included at least five studies to ensure the stability and reliability of the pooled estimates.
3. Results
3.1. Literature Search
A total of 34,720 records were identified by searching PubMed/MEDLINE (n = 8350), Scopus (n = 7114), EMBASE (n = 11,993), and Web of Science (n = 7263). No additional articles were included based on reference screening and expert consultation. After the preliminary exclusion of duplicates (n = 14,436), a total of 20,284 records were screened based on title and abstract. Based on the initial screening, records were excluded due to being non-original works (n = 966), conference papers (n = 119), written in different languages (n = 944), or focusing on unrelated topics or populations (n = 18,145), resulting in 110 records deemed eligible for inclusion. Based on full-text assessment, 12 records were excluded (not validated tool n = 4, wrong outcome n = 4, wrong population n = 4), resulting in 98 records included in the current systematic review (Table 2 and Table 3). The selection process is shown in Figure 1. Results are reported below according to the type of violence.
Figure 1.
Flow diagram depicting the selection process.
3.2. Results Categorized by Type of Violence
The majority of included studies assessed more than one IPV subtype; however, when disaggregated prevalence estimates were reported, we categorized them accordingly. Overlapping victimization is common in IPV, and this disaggregation does not imply mutually exclusive categories.
3.2.1. Physical IPV
Out of the total 98 included articles, 80 studies assessing physical abuse during pregnancy were included in this systematic review. Study-level details, including year, country, study design, sample size, age, women’s status, setting, and used tools, are summarized in Table 2.
These studies were published between 2013 and 2023 and conducted in 39 countries across different regions, including Africa (Egypt, Ethiopia, Uganda, Nigeria, South Africa, Tanzania, Zimbabwe, Kenya, Namibia), Asia (Iran, Pakistan, India, Nepal, Bangladesh, Vietnam, China, Japan, Malaysia, Saudi Arabia, Jordan, Turkey, South Korea, Sri Lanka, Thailand, Timor-Leste), Europe (United Kingdom, Iceland, Denmark, Estonia, Norway, Sweden, Portugal, Spain, Greece, Belgium), North America (United States), South America (Brazil), and Oceania (Australia, Vanuatu). Regarding study design, the majority of studies were cross-sectional (CSS) (n = 64), followed by prospective cohort studies (PCSs) (n = 8), randomized controlled trial (RCT) (n = 2), case–control studies (CCSs) (n = 2), one mixed-methods study (MMS), and one quality improvement pilot study (QI). The sample sizes varied considerably, ranging from 65 to 7174 participants. The age of participants ranged from 13 to 50 years. Most studies focused on pregnant women (n = 68), whereas others focused on postpartum women (n = 5); in some cases, both pregnant and postpartum women were considered (n = 7). The data were collected in various healthcare and community settings, with studies conducted in hospital-based environments (n = 55) (including obstetric gynecologic departments, maternity wards, perinatal/antenatal, and postnatal clinics), primary healthcare centers (n = 17), and community-based settings (n = 7), and in one study a mobile app-based prenatal care system was implemented. Multiple validated tools were employed across studies to assess physical violence among pregnant and postpartum women. The most frequently used instrument was the WHO Women’s Health and Life Experiences Questionnaire (WHO-WHLEQ) (n = 23). This tool, developed and validated for cross-cultural applicability, was often adapted for specific national contexts, ensuring linguistic and cultural relevance. The Abuse Assessment Screen (AAS) was used in 17 studies (n = 17). The AAS was often adapted and validated for local contexts, for example, in Portuguese, Arabic, and Sinhalese versions, and applied both in hospital- and community-based settings. The WHO Violence Against Women Instrument (VAWI) was also adopted in studies (n = 13), indicating its broad international applicability for IPV assessment, including physical violence. Several studies (n = 8) also employed the Conflict Tactics Scale (CTS or CTS2), which evaluates conflict resolution strategies including physical aggression. This tool was used in countries like the USA, Iran, Bangladesh, and South Africa and is considered suitable for longitudinal studies and RCTs assessing intervention effects. Other validated instruments used less frequently include the Index of Spouse Abuse (ISA) (n = 4); the Woman Abuse Screening Tool (WAST) and its short form (n = 2); and the Composite Abuse Scale (CAS) (n = 3). The Hurt, Insult, Threaten, Scream (HITS) tool was used in three studies in Nigeria, India, and South Korea. The NorVold Abuse Questionnaire (NorAQ) was used in a European multinational study and in a study conducted in Sweden. Some studies also developed or used locally validated tools tailored to specific populations, such as the IPV During Pregnancy Questionnaire in Turkey and the Domestic Violence to Women Determination Scale (DVWDS). All tools were designed to detect physical abuse as a distinct category of intimate partner violence, frequently accompanied by measures of psychological and sexual violence. Overall, the wide adoption of culturally validated instruments across studies strengthens the reliability of reported prevalence estimates of physical violence during pregnancy and the puerperium. However, variations in tool structure, item formulation, recall periods, and thresholds for defining abuse may contribute to heterogeneity in findings.
In the meta-analysis, the fixed-effects model estimated an event rate (ES) of 0.15 (95% CI: 0.15–0.16, p < 0.001), based on a total of 63,429 participants. However, considerable heterogeneity was observed (I2 = 98.56%, p < 0.001). When the random-effects model was applied, the event rate decreased to 0.10 (95% CI: 0.08–0.12, p < 0.001). Publication bias was detected through visual inspection of the funnel plot and confirmed by Egger’s regression test (intercept = −6.83, p = 0.001). These findings are shown in Figure S1 (a: forest plot; b: funnel plot) and Table S2.
3.2.2. Psychological IPV
A total of 66 studies reporting prevalence estimates of psychological or emotional abuse during pregnancy were incorporated into this systematic review. Study-level details, including year, country, study design, sample size, age, women’s status, setting, and used tools, are summarized in Table 3.
Published between 2013 and 2023, these studies were conducted in 36 countries across Africa (Egypt, Ethiopia, Nigeria, South Africa, Tanzania, Zimbabwe, Kenya, Namibia), Asia (Iran, Pakistan, India, Nepal, Bangladesh, Vietnam, China, Malaysia, Saudi Arabia, Jordan, Turkey, South Korea, Timor-Leste), Europe (United Kingdom, Iceland, Denmark, Estonia, Norway, Sweden, Portugal, Spain, Greece, Belgium, Malta), North America (United States), South America (Brazil), and Oceania (Australia, Vanuatu). Concerning methodological approaches, CSS predominated (n = 54), followed by PCS (n = 7), CCS (n = 2), RCT (n = 1), QI (n = 1), and one study employed an MMS. Participant sample sizes ranged widely, from 65 to 7174 individuals, with reported ages ranging from 13 to 50 years. The majority of investigations targeted pregnant women (n = 58); a smaller number focused exclusively on women in the postpartum period (n = 3), while others included both populations (n = 5). Data collection settings varied. Most studies were implemented in hospital-based environments (n = 43), including obstetrics and gynecology departments, maternity wards, and antenatal or postnatal clinics. Other settings included primary healthcare facilities (n = 16), community-based contexts (n = 6), and in one instance, a prenatal care model delivered via a mobile application. Several validated instruments were used across the included studies to assess psychological violence in pregnant and postpartum women, with the WHO-WHLEQ being the most frequently adopted (n = 22).
In the meta-analysis, the fixed-effects model estimated an ES of 0.30 (95% CI: 0.30–0.31, p < 0.001), based on a total of 55,361 participants. However, considerable heterogeneity was observed (I2 = 99.07%, p < 0.001). When the random-effects model was applied, the event rate decreased to 0.26 (95% CI: 0.22–0.31, p < 0.001). No publication bias was detected through visual inspection of the funnel plot, as confirmed by Egger’s regression test (intercept = −3.16, p = 0.256). These findings are shown in Figure S2 (a: forest plot; b: funnel plot) and Table S2.
Table 2.
Characteristics of studies assessing physical IPV (n = 80), extracted from the total 98 included articles.
Table 2.
Characteristics of studies assessing physical IPV (n = 80), extracted from the total 98 included articles.
| Author, Year | Country | Study Period | Study Design | Sample Size | Age in Years (Range or Mean and SD) | Woman Status | People Lost (Attrition Rate) | Setting | Tool Used to Assess the Outcome | Women Victims of Physical Violence (Prevalence) |
|---|---|---|---|---|---|---|---|---|---|---|
| (Abdollahi et al., 2015) | Iran | February–September 2010 | PCS | 1461 | Mean 26.8 ± 5.8 | Pre | n.a. | Primary healthcare center | WHO-WHLEQ | Physical 14.1% |
| (Abebe Abate et al., 2016) | Ethiopia | April 2014 | CSS | 282 | Mean 27 ± 6.1; range 15–44 | Pre | 17 | Community-based | WHO-WHLEQ | Physical 29.2% |
| (Abujilban et al., 2022) | Jordan | September–December 2014 | CSS | 247 | Mean 27.3 ± 5.9 | Pre and Pue | n.a. | Hospital-based | WHO-WHLEQ | Physical 31.2% |
| (Almeida et al., 2017) | Portugal | February–June 2012 | CSS | 852 | Mean 30.69 ± 5.54; range 18–44 | Pre | 352 | Hospital-based | WHO-WHLEQ | Physical 21.9% |
| (Antoniou & Iatrakis, 2019) | Greece | August–September 2009 | CSS | 546 | Mean 32.95 ± 6.78 | Pre | n.a. | Hospital-based | AAS | Physical injury (face 3.1%, abdomen 1.3%) |
| (Gómez Aristizábal et al., 2022) | Brazil | February 2010 and June 2011 | PCS | 1447 | Mean 26.1 ± 5.4 | Pre | 317 | Primary healthcare center | VAWI | Physical 12.5% |
| (Asiimwe et al., 2022) | Uganda | October 2018–February 2019 | CSS | 100 | Mean 17.8 ± 1.26 | Pre and Pue | n.a. | Hospital-based | VAWI | Physical 32.0% |
| (Atilla et al., 2023) | Turkey | September–October 2021 | CSS | 456 | Mean 26.66 ± 5.45 | Pre | 24 | Hospital-based | IPV During Pregnancy Questionnaire | Physical 6.6% |
| (Avcı et al., 2023) | Turkey | October 2017–August 2018 | CSS | 255 | Mean 28.57 ± 6.17 | Pre | n.a. | Primary healthcare center | DVWDS | Physical 14.6% |
| (Baǧcioǧlu et al., 2014) | Turkey | n.a. | CSS | 317 | Mean 27.4 ± 5.9 | Pre | 2 | Hospital-based | AAS | Physical 5.3% |
| (Bahrami-Vazir et al., 2020) | Iran | 2014 | CSS | 525 | Mean 25.8 ± 5.1 | Pre | 25 | Primary healthcare center | CTS2 | Total IPV 67.0% of which: physical 22.0% |
| (Belay et al., 2019) | Ethiopia | February–August 2017 | CSS | 589 | Mean 25; range 16–45 | Pre | n.a. | Community-based | WHO-WHLEQ | Physical 9.2% |
| (Bernstein et al., 2016) | South Africa | March 2013–April 2014 | CSS | 623 | Median age 28; range 18–44 | Pre | n.a. | Primary healthcare center | VAWI | Physical 15.0% |
| (Bikinesi et al., 2017) | Namibia | n.a. | CSS | 386 | Mean 27.5 ± 6.8 | Pre | n.a. | Primary healthcare center | WHO-WHLEQ | Physical 3.4% |
| (Boonnate et al., 2015) | Thailand | n.a. | CSS | 230 | Mean 28.98 ± 5.17 | Pre | n.a. | Hospital-based | ISA | Physical 3.5% |
| (L. H. M. de Lima et al., 2016) | Brazil | May 2009–April 2010 | CSS | 359 (179 adolescents, 180 adults) | Adolescents: mean 17.5 ± 1.4; Adults: mean 26.8 ± 5.8 | Pue | 8 | Hospital-based | AAS | Physical 3.3% |
| (Dinmohammadi et al., 2021) | Iran | August 2017 | RCT | 82 (41 intervention, 41 control) | Mean 27.55 ± 5.13 (intervention), 27.26 ± 4.46 (control) | Pre | 8 | Primary healthcare center | CTS2 | Physical before 18.0% → after 7.0% |
| (Elkhateeb et al., 2021) | Egypt | n.a. | CSS | 513 | n.a. | Pre | 37 | Hospital-based | AAS | Physical 30.2% |
| (Farrokh-Eslamlou et al., 2014) | Iran | February–September 2012 | CSS | 313 | Mean 27.9 ± 5.8; range 17–46 | Pre | 37 | Hospital-based | AAS | Physical 10.2% |
| (Fekadu et al., 2018) | Ethiopia | March–May 2016 | CSS | 450 | Mean 27 ± 4.5 | Pre | n.a. | Hospital-based | WHO-WHLEQ | Physical 32.2% |
| (Ferdos et al., 2018) | Bangladesh | July 2015 to April 2016 | CSS | 443 | <20 y 18.5%; 20–24 y 43.9%; 25–35 y 37.6% | Pue | 43 | Hospital-based | CTS | Physical 39.0% |
| (Field et al., 2018) | South Africa | November 2011–August 2012 | MMS | 376, 95 case notes analyzed qualitatively | Age categories: 18–24 years (39%), 25–29 years (30%), >29 years (31%) | Pre | 186 | Hospital-based | CTS2 | Physical 76.0% |
| (Fonseca-Machado et al., 2015) | Brazil | May 2012–May 2013 | CSS | 358 | Mean 25.0 ± 6.3; range 15–43 | Pre | n.a. | Hospital-based | WHO-WHLEQ | Physical 36.5% |
| (Gebrekristos et al., 2023) | South Africa | July 2017–April 2018 | CSS | 90 | Mean 17.5 ± 1.4; range 14–19 | Pre and Pue | 29 | Hospital-based | CTS | Physical 16.7% |
| (Gharacheh et al., 2015) | Iran | July–December 2012 | CSS | 328 | Abused: mean 26.25 ± 4.12); Non-abused: mean 27.14 ± 4.29) | Pue | 13 | Primary healthcare center | AAS | Physical 26.0% |
| (Gul et al., 2013) | Pakistan | April 2010–March 2011 | CSS | 129 | Mean 31.42 ± 7.02; range 15–50 | Pre | n.a. | Hospital-based | AAS | Physical 35.7% |
| (Ilori et al., 2023) | Nigeria | March–September 2019 | CSS | 240 | Mean 30.7 ± 5.5 | Pre | n.a. | Hospital-based | CAS | Physical 39.3% |
| (Islam et al., 2021) | Bangladesh | October 2015–January 2016 | CSS | 426 | Mean 26.28 ± 5.87; range 15–49 | Pue | 27 | Primary healthcare center | WHO-WHLEQ | Physical 35.2% |
| (Iyengar et al., 2021) | United Kingdom | 3 months in 2016 | CSS | 120 | Mean 25.22 ± 4.93 | Pre | n.a. | Hospital-based | WHO-WHLEQ | Physical + sexual 57.0% |
| (Kana et al., 2020) | Nigeria | January 2017–April 2019 | CSS | 293 | Mean 28.8 ± 5.9 in IPV-exposed group, 29.2 ± 5.7 in unexposed group | Pre | 35 | Hospital-based | CTS | Physical 34.1% |
| (Khaironisak et al., 2017) | Malaysia | March–August 2015 | CSS | 1200 | Mean 29.07 ± 5.39 | Pre | n.a. | Hospital-based | WHO-WHLEQ | Physical 12.9% |
| (Khatlani et al., 2023) | Pakistan | February–May 2014 | CCS | 795 women (256 cases with stillbirths, 539 controls with live births) | Mean 29.6 ± 5.9 in stillbirth group; mean 28.7 ± 5.7 in live birth group | Pre | n.a. | Community-based | WHO-WHLEQ | Physical 9.94% |
| (Kita et al., 2017) | Japan | July 2013–July 2014 | PCS | 453 | Mean 32.1 ± 4.9; range 19–46 | Pre | 502 | Hospital-based | WAST-Short | Physical 3.3% |
| (Kita et al., 2016) | Japan | July 2013–July 2014 | PCS | 562 | Mean 32.2 ± 4.9; range 19–46 | Pre | 393 | Hospital-based | ISA | Physical 2.5% |
| (Koirala, 2022) | Nepal | June–September 2020 | CSS | 220 | Mean 30.18 ± 5.70 | Pre | n.a. | Hospital-based | VAWI | Physical 28.6% |
| (Krishnamurti et al., 2021) | USA | January–May 2020 | QI | 959 (552 before shelter-in-place, 407 during shelter-in-place) | n.a. | Pre | n.a. | Mobile app | CDC BRFSS (for physical and sexual IPV), WEB (for psychological IPV) | Physical: before 0.4% (552), during: 0.5% (407) |
| (Lee et al., 2023) | South Korea | 2020–2021 | CSS | 5616 | Range 16–48 | Pre and Pue | 337 | Primary healthcare center | HITS | physical 0.3% |
| (L. da S. Lima et al., 2020) | Brazil | September–October 2018 | CSS | 65 | Mean 23.88; range 15–42 | Pre | n.a. | Primary healthcare center | WHO-WHLEQ | Physical 18.5% |
| (Luhumyo et al., 2020) | Kenya | April–June 2017 | CSS | 369 | Median age 25 (IQR: 21–31) | Pre | n.a. | Hospital-based | VAWI | Physical 22.8% |
| (Lukasse et al., 2014) | Belgium, Iceland, Denmark, Estonia, Norway, Sweden | March 2008–August 2010 | PCS | 7174 | n.a. | Pre | n.a. | Hospital-based | NorAQ | Physical 2.2% |
| (Mahenge et al., 2013) | Tanzania | December 2011–April 2012 | CSS | 1180 | Mean 29.0; range 17–43 | Pre | 20 | Hospital-based | CTS | Physical 18.0% |
| (S. Martin-de-las-Heras et al., 2019) | Spain | February–June 2010 | PCS | 779 | Mean 29.9 ± 5.6 | Pre | 214 | Hospital-based | ISA | Physical 3.6% |
| (Stella Martin-de-las-Heras et al., 2015) | Spain | n.a. | CSS | 779 | Mean 29.9 ± 5.6 | Pre | 153 | Hospital-based | ISA | Physical 3.6% |
| (McKelvie et al., 2021) | Vanuatu | May–July 2019 | CSS | 188 | Mean 25.7 ± 5.4 | Pre | 4 | Hospital-based | VAWI | Physical 10.6% |
| (Mohamed et al., 2013) | Saudi Arabia | October 2012–February 2013 | CSS | 404 | Mean 31.19 ± 7.36 | Pre | 12 | Primary healthcare center | WAST | Physical 28.0% |
| (Musa et al., 2020) | Ethiopia | November 2018–April 2019 | CSS | 648 | n.a. | Pre | n.a. | Hospital-based | WHO-WHLEQ | Physical 25.93% |
| (Muzrif et al., 2018) | Sri Lanka | April–December 2014 | CSS | 2088 | Mean 29.63 ± 5.57); 53.9% aged 16–30 years, 46.1% aged 31–44 years | Pre | 87 | Hospital-based | AAS | Physical 6.4% |
| (Naghizadeh et al., 2021) | Iran | May–August 2020 | CSS | 250 | Mean 30.57 ± 5.87 | Pre | n.a. | Hospital-based | WHO-WHLEQ | Physical 4.8% |
| (Nhi et al., 2019) | Vietnam | May 2014–August 2015 | PCS | 1274 | Mean 26; range 16–46 | Pre and Pue | 63 | Hospital-based | WHO-WHLEQ | Physical 3.5% |
| (Njoku et al., 2021) | Nigeria | January–March 2017 | CSS | 400 | Mean 30.1 ± 2.47; range 20–45 | Pre | n.a. | Hospital-based | AAS | Physical 44.8% |
| (Okunola et al., 2021) | Nigeria | March 2019 and September 2019 | PCS | 363 | Mean 30 ± 5.3 | Pre | 0 | Hospital-based | Ongoing abuse screen | Physical 3.6% |
| (Omoronyia et al., 2020) | Nigeria | n.a. | CSS | 250 | 29.7 ± 6.1 | Pre | n.a. | Hospital-based | CAS | Physical 26.8% |
| (Priya et al., 2019) | India | December 2013–February 2015 | CSS | 165 | 23.8 ± 3.8 | Pre | n.a. | Community-based | HITS | Physical 60.0% |
| (Pun et al., 2019) | Nepal | June 2015–September 2016 | PCS | 1381 | Age categories: 15–19 (5.6%), 20–24 (42.8%), 25–29 (37.6%), ≥30 (14.0%) | Pre | 623 | Hospital-based | VAWI | Physical 2.5% |
| (Pun et al., 2018) | Nepal | November 2014–November 2015 | CSS | 1011 | Mean 24.4 ± 4.0 | Pre | 28 | Hospital-based | AAS | Physical 4.0%; physical or psychological 6.1% |
| (Rasch et al., 2018) | Tanzania and Vietnam | n.a. | CSS | 2425 (1116 in Tanzania, 1309 in Vietnam) | n.a. | Pre | n.a. | Hospital-based | VAWI | Tanzania: physical 6.0%; Vietnam: physical 3.5% |
| (S. Rees et al., 2017) | Timor-Leste | June 2013–September 2014 | CSS | 1672 | Age groups: <20 years (8.4%), 20–24 (34.0%), 25–29 (34.4%), 30–34 (16.3%), ≥35 (6.8%) | Pre | 2 | Community-based | VAWI | Physical 6.2% |
| (S. J. Rees et al., 2016) | Timor-Leste | May 2014–January 2015 | CSS | 1672 | Age groups: 20 years: 141 (8.4%); 20–24 (34.0%); 25–29 (34.4%); 30–34 (16.3%); ≥35 (6.8%) | Pre | 2 | Hospital-based | WHO-WHLEQ | Physical 6.2% |
| (S. V. O. Ribeiro et al., 2019) | Brazil | 2010–2013 | PCS | 1139 | n.a. | Pre | n.a. | Primary healthcare center | VAWI | Physical 12.1% |
| (M. R. C. Ribeiro et al., 2017) | Brazil | February 2010–June 2011 | CSS | 1446 (São Luís), 1378 (Ribeirão Preto) | n.a. | Pre | 1 | Primary healthcare center | VAWI | Physical 12.4% |
| (Samal & Poornesh, 2022) | India | October–November 2016 | CSS | 200 | Range 19–40 | Pre | n.a. | Hospital-based | AAS | Physical 0.5% |
| (Sánchez et al., 2023) | Brazil | July 2019–September 2021 | CSS | 600 | Mean 27.0 ± 8.58; range 13–47 | Pre and Pue | n.a. | Hospital-based | AAS, WAST, HITS | Physical 2.3% |
| (Sapkota et al., 2021) | Nepal | June–August 2018 | RCT | 140 | Mean 25.3 ± 5.4 | Pre | 3 | Hospital-based | AAS | Physical 12.1% |
| (Shamu et al., 2014) | Zimbabwe | May–September 2011 | CSS | 1951 | n.a. | Pre and Pue | n.a. | Hospital-based | WHO-WHLEQ | Physical 5.8% |
| (Shamu et al., 2013) | Zimbabwe | May–September 2011 | CSS | 2042 | Mean 26 ± 5.71; range 15–48 | Pre | 59 | Primary healthcare center | WHO-WHLEQ | Physical 15.9%; physical and/or sexual 46.2% |
| (Shannon et al., 2016) | USA | August 2005–October 2007 | CSS | 77 | Mean 24.96 ± 3.83 | Pre | n.a. | Hospital-based | NVAWS, CTS2, PMWI | Physical 32.5% |
| (Shrestha et al., 2016) | Nepal | September–November 2015 | CSS | 404 | Mean 25.5 ± 4.3; 43.8% <25 | Pre | n.a. | Hospital-based | WHO-WHLEQ | Physical 3.2% |
| (Silva et al., 2022) | Brazil | August–October 2017 | CSS | 327 | Not explicitly reported; categorized as ≤40 years and >40 years | Pre | n.a. | Hospital-based | VAWI | Physical 7.2% |
| Silva, 2019 (Silva & Leite, 2019) | Brazil | August–October 2017 | CSS | 330 | Not explicitly reported; categorized as 14–19 years and ≥20 years | Pre | n.a. | Hospital-based | VAWI | Physical 7.6% |
| (Sobhani et al., 2018) | Iran | September–December 2014 | CSS | 402 | Mean 28.24 ± 5.91; range 13–44 | Pre | n.a. | Hospital-based | WHO-WHLEQ | Physical 10.2% |
| (Sulaiman et al., 2021) | Nigeria | November 2018–August 2019 | CSS | 403 | Mean 33 ± 4.9 | Pre | 8 | Hospital-based | HITS | Physical 22.1% |
| (Takelle et al., 2023) | Ethiopia | May–June 2022 | CSS | 473 | Mean 28.18 ± 5.28; range 18–41 | Pre | 12 | Hospital-based | WHO-WHLEQ | Physical 4.0% |
| (Utaile et al., 2023) | Ethiopia | July–October 2020 | CSS | 1535 | Mean 26.3 ± 4.7 | Pre | n.a. | Community-based | WHO-WHLEQ | Physical 34.0% |
| (Velasco et al., 2014) | Spain | 2009 | CSS | 779 | Mean 29.9 ± 5.6 | Pre | n.a. | Hospital-based | AAS, ISA | AAS: physical 1.7%; ISA: physical 3.6% |
| (Wangel et al., 2016) | Sweden | March–November 2008 | CSS | 1003 | Age groups: <25 years (11.2%), 25–29 (32%), 30–35 (43.2%), >35 (13.7%) | Pre | 22 | Hospital-based | NorAQ | Physical 14.2% |
| (Watson & Taft, 2013) | Australia | April 2002–March 2004 | CCS | 1726 | n.a. | Pre | 54 | Hospital-based | CAS | Physical 9.9% |
| (Wokoma et al., 2014) | United Kingdom | January 2011–November 2012 | CSS | 507 | TOP group (women requesting termination of pregnancy) mean 24.4, ANC group (antenatal care) mean 28.8 | Pre | 55 | Hospital-based | AAS | Physical: TOP 4.7%, ANC 0.9% |
| (Zapata-Calvente et al., 2022) | Spain | January 2017–March 2019 | CSS | 592 | Mean 31.82 ± 5.61 | Pre | 138 | Primary healthcare center | WAST-Short, AAS | Physical 5.4% |
| (Zheng et al., 2020) | China | July–October 2019 | CSS | 813 | Mean 28.98 ± 4.52 | Pre | n.a. | Community-based | AAS | Physical 0.98% |
| (Zou et al., 2015) | China | October 2006–February 2007 | CSS | 223 (86 in DV group, 137 in non-DV group) | DV group: 27.8 ± 2.7; non-DV group: 27.2 ± 3.0 | Pre | 23 | Primary healthcare center | AAS | Physical + psychological + sexual 2.3% |
AAS: Abuse Assessment Screen; ANC: antenatal care; CAS: Composite Abuse Scale; CDC BRFSS: Centers for Disease Control—Behavioral Risk Factor Surveillance System; CCS: case–control Study; CSS: cross-sectional study; CTS: Conflict Tactics Scale; CTS2: Revised Conflict Tactics Scale; DV: domestic violence; DVWDS: Domestic Violence to Women Determination Scale; HITS: Hurt, Insult, Threaten, Scream; IPV: intimate partner violence; IQR: Interquartile Range; ISA: Index of Spouse Abuse; MMS: mixed-methods study; NorAQ: NorVold Abuse Questionnaire; NVAWS: National Violence Against Women Survey; PCS: prospective cohort study; PMWI: Psychological Maltreatment of Women Inventory; Pre: pregnancy; Pue: puerperium; QI: quality improvement pilot study; RCT: randomized controlled trial; SD: Standard Deviation; TOP: termination of pregnancy; USA: United States of America; VAWI: Violence Against Women Instrument; WAST: Woman Abuse Screening Tool; WAST-Short: Woman Abuse Screening Tool—Short Version; WEB: Women’s Experience with Battering; WHO-WHLEQ: World Health Organization—Women’s Health and Life Experiences Questionnaire.
Table 3.
Characteristics of studies assessing psychological IPV (n = 66), extracted from the total 98 included articles.
Table 3.
Characteristics of studies assessing psychological IPV (n = 66), extracted from the total 98 included articles.
| Author, Year | Country | Study Period | Study Design | Sample Size | Age in Years (Range or Mean and SD) | Woman Status | People Lost (Attrition Rate) | Setting | Tool Used to Assess the Outcome | Women Victims of Psychological Violence (Prevalence) |
|---|---|---|---|---|---|---|---|---|---|---|
| (Abebe Abate et al., 2016) | Ethiopia | April 2014 | CSS | 282 | Mean 27 ± 6.1; range 15–44 | Pre | 17 | Community-based | WHO-WHLEQ | Psychological 16.3% |
| (Abujilban et al., 2022) | Jordan | September–December 2014 | CSS | 247 | Mean 27.3 ± 5.9 | Pre and Pue | n.a. | Hospital-based | WHO-WHLEQ | Psychological 66.0% |
| (Almeida et al., 2017) | Portugal | February–June 2012 | CSS | 852 | Mean 30.69 ± 5.54; range 18–44 | Pre | 352 | Hospital-based | WHO-WHLEQ | Psychological 43.2% |
| (Antoniou & Iatrakis, 2019) | Greece | August–September 2009 | CSS | 546 | Mean 32.95 ± 6.78 | Pre | n.a. | Hospital-based | AAS | Psychological 2.8% |
| (Gómez Aristizábal et al., 2022) | Brazil | February 2010 and June 2011 | PCS | 1447 | Mean 26.1 ± 5.4 | Pre | 317 | Primary healthcare center | VAWI | Psychological 48.5% |
| (Atilla et al., 2023) | Turkey | September–October 2021 | CSS | 456 | Mean 26.66 ± 5.45 | Pre | 24 | Hospital-based | IPV During Pregnancy Questionnaire | Psychological 33.3% |
| (Avcı et al., 2023) | Turkey | October 2017–August 2018 | CSS | 255 | Mean 28.57 ± 6.17 | Pre | n.a. | Primary healthcare center | DVWDS | Psychological 38.8% |
| (Bahrami-Vazir et al., 2020) | Iran | 2014 | CSS | 525 | Mean 25.8 ± 5.1 | Pre | 25 | Primary healthcare center | CTS2 | Total IPV 67.0% of which: psychological 58.0% |
| (Belay et al., 2019) | Ethiopia | February–August 2017 | CSS | 589 | Mean 25; range 16–45 | Pre | n.a. | Community-based | WHO-WHLEQ | Psychological 14.6% |
| (Bernstein et al., 2016) | South Africa | March 2013–April 2014 | CSS | 623 | Median age 28; range 18–44 | Pre | n.a. | Primary healthcare center | VAWI | Psychological 15.0% |
| (Bikinesi et al., 2017) | Namibia | n.a. | CSS | 386 | Mean 27.5 ± 6.8 | Pre | n.a. | Primary healthcare center | WHO-WHLEQ | Psychological 7.0% |
| (Debono et al., 2017) | Malta | October 2014–January 2015 | CSS | 300 | Mean 30.7; range: 18–43 | Pre | 80 | Hospital-based | VAWI | Psychological 15.0% |
| (Dinmohammadi et al., 2021) | Iran | August 2017 | RCT | 82 (41 intervention, 41 control) | Mean 27.55 ± 5.13 (intervention), 27.26 ± 4.46 (control) | Pre | 8 | Primary healthcare center | CTS2 | Psychological before 56.0% → after 36.0% |
| (Elkhateeb et al., 2021) | Egypt | n.a. | CSS | 513 | n.a. | Pre | 37 | Hospital-based | AAS | Psychological 45.4% |
| (Farrokh-Eslamlou et al., 2014) | Iran | February–September 2012 | CSS | 313 | Mean 27.9 ± 5.8; range 17–46 | Pre | 37 | Hospital-based | AAS | Psychological 43.5% |
| (Fekadu et al., 2018) | Ethiopia | March–May 2016 | CSS | 450 | Mean 27 ± 4.5 | Pre | n.a. | Hospital-based | WHO-WHLEQ | Psychological 57.8% |
| (Field et al., 2018) | South Africa | November 2011–August 2012 | MMS | 376, 95 case notes analyzed qualitatively | Age categories: 18–24 years (39%), 25–29 years (30%), >29 years (31%) | Pre | 186 | Hospital-based | CTS2 | Psychological 81.0% |
| (Fonseca-Machado et al., 2015) | Brazil | May 2012–May 2013 | CSS | 358 | Mean 25.0 ± 6.3; range 15–43 | Pre | n.a. | Hospital-based | WHO-WHLEQ | Psychological 95.2% |
| (Gebrekristos et al., 2023) | South Africa | July 2017–April 2018 | CSS | 90 | Mean 17.5 ± 1.4; range 14–19 | Pre and Pue | 29 | Hospital-based | CTS | Psychological 36.7% |
| (Gharacheh et al., 2015) | Iran | July–December 2012 | CSS | 328 | Abused: mean 26.25 ± 4.12); Non-abused: mean 27.14 ± 4.29) | Pue | 13 | Primary healthcare center | AAS | Psychological 88.4% |
| (Gul et al., 2013) | Pakistan | April 2010–March 2011 | CSS | 129 | Mean 31.42 ± 7.02; range 15–50 | Pre | n.a. | Hospital-based | AAS | Psychological 46.5% |
| (Ilori et al., 2023) | Nigeria | March–September 2019 | CSS | 240 | Mean 30.7 ± 5.5 | Pre | n.a. | Hospital-based | CAS | Psychological 40.2% |
| (Islam et al., 2021) | Bangladesh | October 2015–January 2016 | CSS | 426 | Mean 26.28 ± 5.87; range 15–49 | Pue | 27 | Primary healthcare center | WHO-WHLEQ | Psychological 65.0% |
| (Iyengar et al., 2021) | United Kingdom | 3 months in 2016 | CSS | 120 | Mean 25.22 ± 4.93 | Pre | n.a. | Hospital-based | WHO-WHLEQ | Psychological 43.0% |
| (Kana et al., 2020) | Nigeria | January 2017–April 2019 | CSS | 293 | Mean 28.8 ± 5.9 in IPV-exposed group, 29.2 ± 5.7 in unexposed group | Pre | 35 | Hospital-based | CTS | Psychological 51.2% |
| (Khaironisak et al., 2017) | Malaysia | March–August 2015 | CSS | 1200 | Mean 29.07 ± 5.39 | Pre | n.a. | Hospital-based | WHO-WHLEQ | Psychological 29.8% |
| (Khatlani et al., 2023) | Pakistan | February–May 2014 | CCS | 795 women (256 cases with stillbirths, 539 controls with live births) | Mean 29.6 ± 5.9 in stillbirth group; mean 28.7 ± 5.7 in live birth group | Pre | n.a. | Community-based | WHO-WHLEQ | Psychological 38.87% |
| (Koirala, 2022) | Nepal | June–September 2020 | CSS | 220 | Mean 30.18 ± 5.70 | Pre | n.a. | Hospital-based | VAWI | Psychological 30.9% |
| (Krishnamurti et al., 2021) | USA | January–May 2020 | QI | 959 (552 before shelter-in-place, 407 during shelter-in-place) | n.a. | Pre | n.a. | Mobile app | CDC BRFSS (for physical and sexual IPV), WEB (for psychological IPV) | Psychological before 1.0% (552), during 0.7% (407) |
| (Lee et al., 2023) | South Korea | 2020–2021 | CSS | 5616 | Range 16–48 | Pre and Pue | 337 | Primary healthcare center | HITS | Psychological 3.4% |
| (L. da S. Lima et al., 2020) | Brazil | September–October 2018 | CSS | 65 | Mean 23.88; range 15–42 | Pre | n.a. | Primary healthcare center | WHO-WHLEQ | Psychological 40.0% |
| (Luhumyo et al., 2020) | Kenya | April–June 2017 | CSS | 369 | Median age 25 (IQR: 21–31) | Pre | n.a. | Hospital-based | VAWI | Psychological 27.4% |
| (Lukasse et al., 2014) | Belgium, Iceland, Denmark, Estonia, Norway, Sweden | March 2008–August 2010 | PCS | 7174 | n.a. | Pre | n.a. | Hospital-based | NorAQ | Psychological 2.7% |
| (S. Martin-de-las-Heras et al., 2019) | Spain | February–June 2010 | PCS | 779 | Mean 29.9 ± 5.6 | Pre | 214 | Hospital-based | ISA | Psychological 21.0% |
| (Stella Martin-de-las-Heras et al., 2015) | Spain | n.a. | CSS | 779 | Mean 29.9 ± 5.6 | Pre | 153 | Hospital-based | ISA | Psychological 21.0% |
| (McKelvie et al., 2021) | Vanuatu | May–July 2019 | CSS | 188 | Mean 25.7 ± 5.4 | Pre | 4 | Hospital-based | VAWI | Psychological 39.1% |
| (Mohamed et al., 2013) | Saudi Arabia | October 2012–February 2013 | CSS | 404 | Mean 31.19 ± 7.36 | Pre | 12 | Primary healthcare center | WAST | Psychological 39% |
| (Musa et al., 2020) | Ethiopia | November 2018–April 2019 | CSS | 648 | n.a. | Pre | n.a. | Hospital-based | WHO-WHLEQ | Psychological 25.62% |
| (Naghizadeh et al., 2021) | Iran | May–August 2020 | CSS | 250 | Mean 30.57 ± 5.87 | Pre | n.a. | Hospital-based | WHO-WHLEQ | Psychological 32.8% |
| (Nhi et al., 2019) | Vietnam | May 2014–August 2015 | PCS | 1274 | Mean 26; range 16–46 | Pre and Pue | 63 | Hospital-based | WHO-WHLEQ | Psychological 32.3% |
| (Njoku et al., 2021) | Nigeria | January–March 2017 | CSS | 400 | Mean 30.1 ± 2.47; range 20–45 | Pre | n.a. | Hospital-based | AAS | Psychological 34.3% |
| (Okunola et al., 2021) | Nigeria | March 2019 and September 2019 | PCS | 363 | Mean 30 ± 5.3 | Pre | 0 | Hospital-based | Ongoing abuse screen | Psychological 3.9% |
| (Omoronyia et al., 2020) | Nigeria | n.a. | CSS | 250 | 29.7 ± 6.1 | Pre | n.a. | Hospital-based | CAS | Psychological 51.2%; psychological + sexual 10.8% |
| (Pun et al., 2019) | Nepal | June 2015–September 2016 | PCS | 1381 | Age categories: 15–19 (5.6%), 20–24 (42.8%), 25–29 (37.6%), ≥30 (14.0%) | Pre | 623 | Hospital-based | VAWI | Psychological 5.2% |
| (Pun et al., 2018) | Nepal | November 2014–November 2015 | CSS | 1011 | Mean 24.4 ± 4.0 | Pre | 28 | Hospital-based | AAS | Psychological or physical 6.1% |
| (Rasch et al., 2018) | Tanzania and Vietnam | n.a. | CSS | 2425 (1116 in Tanzania, 1309 in Vietnam) | n.a. | Pre | n.a. | Hospital-based | VAWI | Tanzania: psychological 22.8%; Vietnam: psychological 32.2% |
| (S. Rees et al., 2017) | Timor-Leste | June 2013–September 2014 | CSS | 1672 | Age groups: <20 years (8.4%), 20–24 (34.0%), 25–29 (34.4%), 30–34 (16.3%), ≥35 (6.8%) | Pre | 2 | Community-based | VAWI | Psychological 30.6% |
| (S. J. Rees et al., 2016) | Timor-Leste | May 2014–January 2015 | CSS | 1672 | Age groups: 20 years 141 (8.4%); 20–24 (34.0%); 25–29 (34.4%); 30–34 (16.3%); ≥35 (6.8%) | Pre | 2 | Hospital-based | WHO-WHLEQ | Psychological 30.6% |
| (S. V. O. Ribeiro et al., 2019) | Brazil | 2010–2013 | PCS | 1139 | n.a. | Pre | n.a. | Primary healthcare center | VAWI | Psychological 47.3% |
| (M. R. C. Ribeiro et al., 2017) | Brazil | February 2010–June 2011 | CSS | 1446 (São Luís), 1378 (Ribeirão Preto) | n.a. | Pre | 1 | Primary healthcare center | VAWI | Psychological 48.4% |
| (Samal & Poornesh, 2022) | India | October–November 2016 | CSS | 200 | Range 19–40 | Pre | n.a. | Hospital-based | AAS | Psychological 1.0% |
| (Shamu et al., 2014) | Zimbabwe | May–September 2011 | CSS | 1951 | n.a. | Pre and Pue | n.a. | Hospital-based | WHO-WHLEQ | Psychological 18.0% |
| (Shamu et al., 2013) | Zimbabwe | May–September 2011 | CSS | 2042 | Mean 26 ± 5.71; range 15–48 | Pre | 59 | Primary healthcare center | WHO-WHLEQ | Psychological 44.0% |
| (Shannon et al., 2016) | USA | August 2005–October 2007 | CSS | 77 | Mean 24.96 ± 3.83 | Pre | n.a. | Hospital-based | NVAWS, CTS2, PMWI | Psychological 71.4% |
| (Shrestha et al., 2016) | Nepal | September–November 2015 | CSS | 404 | Mean 25.5 ± 4.3; 43.8% <25 | Pre | n.a. | Hospital-based | WHO-WHLEQ | Psychological 16.6% |
| (Silva et al., 2022) | Brazil | August–October 2017 | CSS | 327 | Not explicitly reported; categorized as ≤40 years and >40 years | Pre | n.a. | Hospital-based | VAWI | Psychological 16.8% |
| (Silva & Leite, 2019) | Brazil | August–October 2017 | CSS | 330 | Not explicitly reported; categorized as 14–19 years and ≥20 years | Pre | n.a. | Hospital-based | VAWI | Psychological 16.1% |
| (Sobhani et al., 2018) | Iran | September–December 2014 | CSS | 402 | Mean 28.24 ± 5.91; range 13–44 | Pre | n.a. | Hospital-based | WHO-WHLEQ | Psychological 45.5% |
| (Takelle et al., 2023) | Ethiopia | May–June 2022 | CSS | 473 | Mean 28.18 ± 5.28; range 18–41 | Pre | 12 | Hospital-based | WHO-WHLEQ | Psychological 6.3% |
| (Utaile et al., 2023) | Ethiopia | July–October 2020 | CSS | 1535 | Mean 26.3 ± 4.7 | Pre | n.a. | Community-based | WHO-WHLEQ | Psychological 34.6% |
| (Velasco et al., 2014) | Spain | 2009 | CSS | 779 | Mean 29.9 ± 5.6 | Pre | n.a. | Hospital-based | AAS, ISA | AAS: psychological 4.8%; ISA: psychological 21.0% |
| (Watson & Taft, 2013) | Australia | April 2002–March 2004 | CCS | 1726 | n.a. | Pre | 54 | Hospital-based | CAS | Psychological 12.8% |
| (Wokoma et al., 2014) | United Kingdom | January 2011–November 2012 | CSS | 507 | TOP group (women requesting termination of pregnancy) mean 24.4, ANC group (antenatal care) mean 28.8 | Pre | 55 | Hospital-based | AAS | Psychological: TOP 9.9%, ANC 1.8% |
| (Zapata-Calvente et al., 2022) | Spain | January 2017–March 2019 | CSS | 592 | Mean 31.82 ± 5.61 | Pre | 138 | Primary healthcare center | WAST-Short, AAS | Psychological 19.3% |
| (Zheng et al., 2020) | China | July–October 2019 | CSS | 813 | Mean 28.98 ± 4.52 | Pre | n.a. | Community-based | AAS | Psychological 11.07% |
| (Zou et al., 2015) | China | October 2006–February 2007 | CSS | 223 (86 in DV group, 137 in non-DV group) | DV group: 27.8 ± 2.7; non-DV group: 27.2 ± 3.0 | Pre | 23 | Primary healthcare center | AAS | Psychological 63.9%; psychological + sexual 33.7%; psychological + sexual + physical 2.3% |
AAS: Abuse Assessment Screen; ANC: antenatal care; CAS: Composite Abuse Scale; CDC BRFSS: Centers for Disease Control–Behavioral Risk Factor Surveillance System; CCS: case–control study; CSS: cross-sectional study; CTS: Conflict Tactics Scale; CTS2: Revised Conflict Tactics Scale; DV: domestic violence; DVWDS: Domestic Violence During Women’s Different Stages; HITS: Hurt, Insult, Threaten, Scream; IPV: intimate partner violence; IQR: Interquartile Range; ISA: Index of Spouse Abuse; MMS: mixed-methods study; NorAQ: Norwegian Abuse Questionnaire; NVAWS: National Violence Against Women Survey; PCS: prospective cohort study; PMWI: Psychological Maltreatment of Women Inventory; Pre: pregnancy; Pue: puerperium; QI: quality improvement pilot study; RCT: randomized controlled trial; SD: Standard Deviation; TOP: termination of pregnancy; USA: United States of America; VAWI: Violence Against Women Instrument; WAST: Woman Abuse Screening Tool; WAST-Short: Woman Abuse Screening Tool—Short Version; WEB: Women’s Experience with Battering; WHO-WHLEQ: World Health Organization—Women’s Health and Life Experiences Questionnaire.
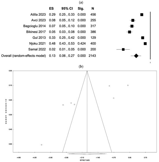
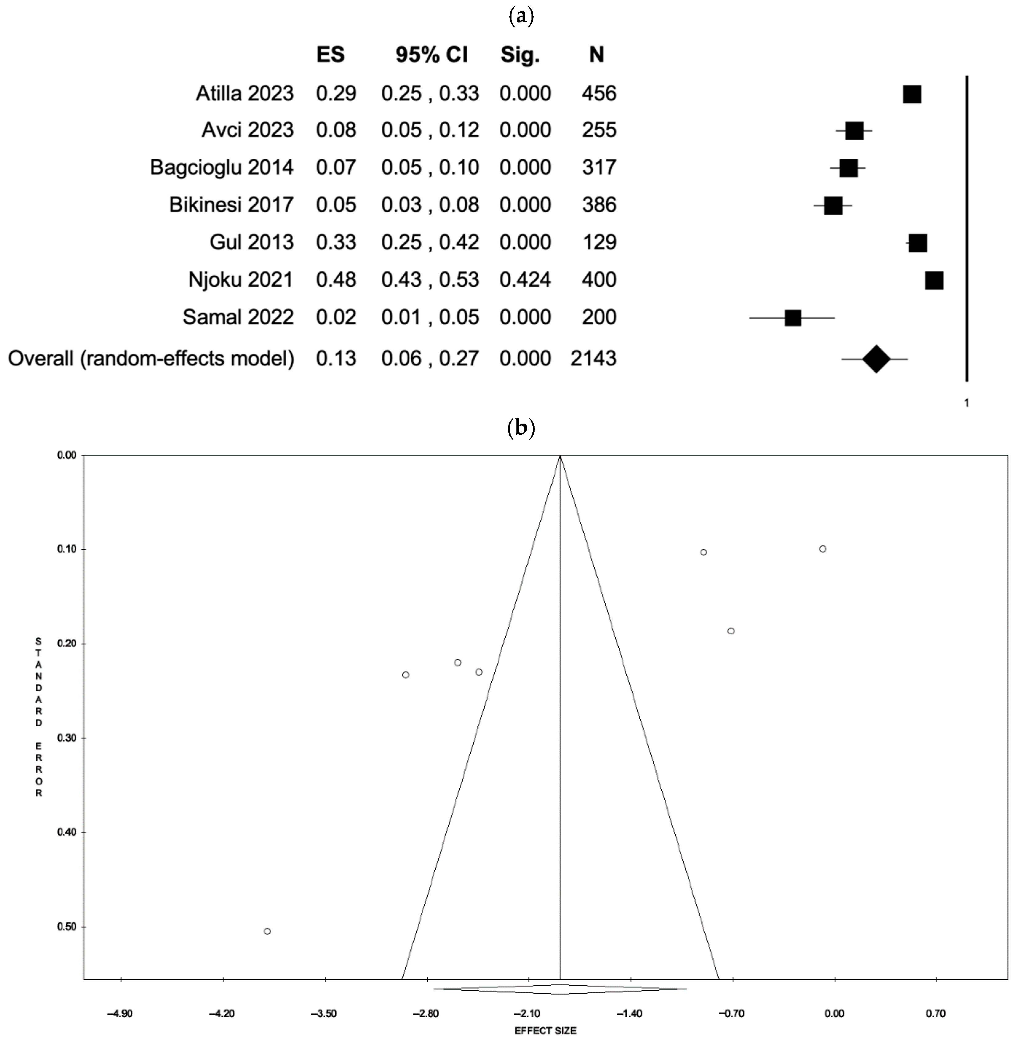
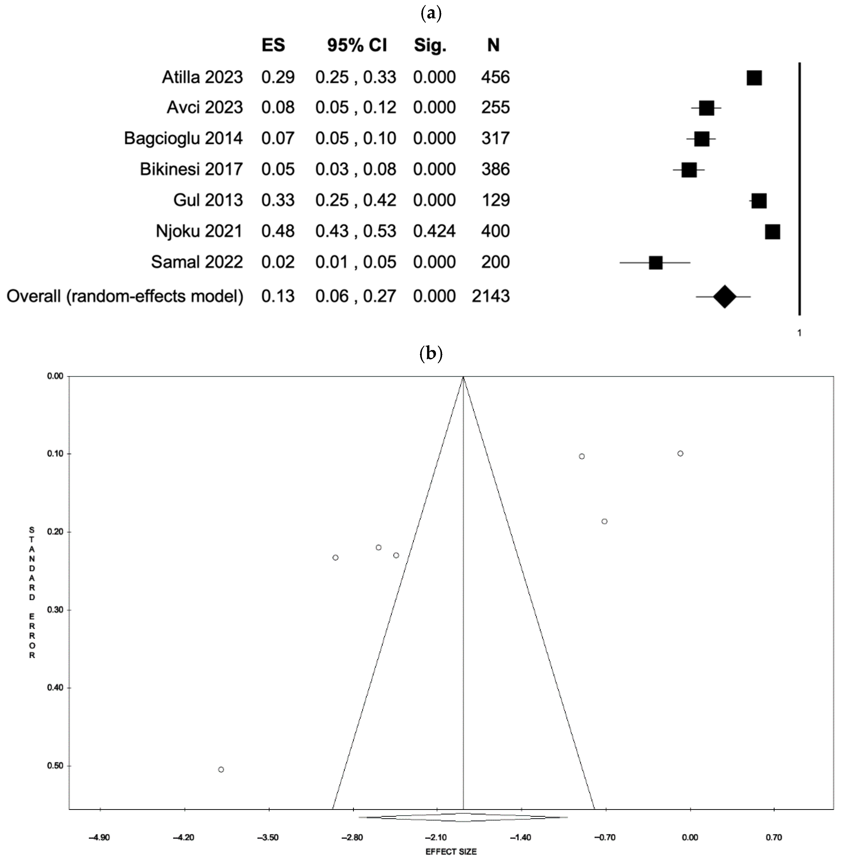
3.2.3. Sexual IPV
A total of 63 studies assessing sexual abuse during pregnancy were included in this systematic review. Study-level details, including year, country, study design, sample size, age, women’s status, setting, and used tools, are summarized in Table 4.
These studies were published between 2013 and 2023 and carried out in 34 countries across different regions, including Africa (Ethiopia, Uganda, Nigeria, South Africa, Tanzania, Egypt, Kenya, Namibia, Zimbabwe), Asia (Saudi Arabia, Iran, Nepal, Bangladesh, India, Pakistan, Malaysia, Vietnam, China), Europe (Sweden, Belgium, Denmark, Estonia, Greece, Iceland, United Kingdom, Norway, Portugal, Spain), South America (Brazil), Oceania (Australia, Vanuatu), and North America (USA). Regarding study design, most of them were a CSS (n = 53), followed by PCS (n = 4), CCS (n = 2), RCT (n = 2), MMS (n = 1), and QI (n = 1). The sample sizes varied considerably, ranging from 65 to 7174 participants. The ages of participants ranged from 13 to 50 years. N = 54 studies focused on pregnant women, n = 5 on postpartum women, and 4 included both pregnancy and postpartum women. The data were collected in various healthcare and community settings, with most studies conducted in hospital-based environments (n = 44), 13 of which were conducted in primary healthcare centers, 5 in community-based settings, and 1 using a mobile app. Prevalence estimates for sexual violence showed considerable variability, ranging from 0% to 45%. Sexual violence among pregnant and postpartum women was assessed using various validated instruments; as in the case of physical violence, the most frequently employed tool was the WHO-WHLEQ (n = 21).
The fixed-effects model yielded an ES of 0.16 (95% CI: 0.15–0.16, p < 0.001), based on data from 44,284 participants. Nevertheless, substantial heterogeneity was detected (I2 = 98.15%, p < 0.001). When the random-effects model was applied, the estimated event rate decreased to 0.09 (95% CI: 0.07–0.11, p < 0.001). Evidence of publication bias emerged from visual inspection of the funnel plot and was further supported by Egger’s regression test (intercept = −6.79, p < 0.01). These results are presented in Figure S3 (a: forest plot; b: funnel plot) and Table S2.
Table 4.
Characteristics of studies assessing sexual IPV (n = 63), extracted from the total 98 included articles.
Table 4.
Characteristics of studies assessing sexual IPV (n = 63), extracted from the total 98 included articles.
| Author, Year | Country | Study Period | Study Design | Sample Size | Age in Years (Range or Mean and SD) | Woman Status | People Lost (Attrition Rate) | Setting | Tool Used to Assess the Outcome | Women Victims of Sexual Violence (Prevalence) |
|---|---|---|---|---|---|---|---|---|---|---|
| (Abebe Abate et al., 2016) | Ethiopia | April 2014 | CSS | 282 | Mean 27 ± 6.1; range 15–44 | Pre | 17 | Community-based | WHO-WHLEQ | Sexual 30.2% |
| (Abujilban et al., 2022) | Jordan | September–December 2014 | CSS | 247 | Mean 27.3 ± 5.9 | Pre and Pue | n.a. | Hospital-based | WHO-WHLEQ | Sexual 8.9% |
| (Almeida et al., 2017) | Portugal | February–June 2012 | CSS | 852 | Mean 30.69 ± 5.54; range 18–44 | Pre | 352 | Hospital-based | WHO-WHLEQ | Sexual 19.6% |
| (Antoniou & Iatrakis, 2019) | Greece | August–September 2009 | CSS | 546 | Mean 32.95 ± 6.78 | Pre | n.a. | Hospital-based | AAS | Sexual 1.9% |
| (Asiimwe et al., 2022) | Uganda | October 2018–February 2019 | CSS | 100 | Mean 17.8 ± 1.26) | Pre and Pue | n.a. | Hospital-based | VAWI | Sexual 45.0% |
| (Atilla et al., 2023) | Turkey | September–October 2021 | CSS | 456 | Mean 26.66 ± 5.45 | Pre | 24 | Hospital-based | IPV During Pregnancy Questionnaire | Sexual 5.7% |
| (Avcı et al., 2023) | Turkey | October 2017–August 2018 | CSS | 255 | Mean 28.57 ± 6.17 | Pre | n.a. | Primary healthcare center | DVWDS | Sexual 7.4% |
| (Baǧcioǧlu et al., 2014) | Turkey | n.a. | CSS | 317 | Mean 27.4 ± 5.9 | Pre | 2 | Hospital-based | AAS | Sexual 5.0% |
| (Bahrami-Vazir et al., 2020) | Iran | 2014 | CSS | 525 | Mean 25.8 ± 5.1 | Pre | 25 | Primary healthcare center | CTS2 | Total IPV 67.0%, of which sexual 30.0% |
| (Belay et al., 2019) | Ethiopia | February–August 2017 | CSS | 589 | Mean 25; range 16–45 | Pre | n.a. | Community-based | WHO-WHLEQ | Sexual 9.5% |
| (Bernstein et al., 2016) | South Africa | March 2013–April 2014 | CSS | 623 | Median age 28; range 18–44 | Pre | n.a. | Primary healthcare center | VAWI | Sexual 2.0% |
| (Bikinesi et al., 2017) | Namibia | n.a. | CSS | 386 | Mean 27.5 ± 6.8 | Pre | n.a. | Primary healthcare center | WHO-WHLEQ | Sexual 1.6% |
| (L. H. M. de Lima et al., 2016) | Brazil | May 2009–April 2010 | CSS | 359 (179 adolescents, 180 adults) | Adolescents: mean 17.5 ± 1.4; Adults: mean 26.8 ± 5.8 | Pue | 8 | Hospital-based | AAS | Sexual 1.1% |
| (Dinmohammadi et al., 2021) | Iran | August 2017 | RCT | 82 (41 intervention, 41 control) | Mean 27.55 ± 5.13 (intervention), 27.26 ± 4.46 (control) | Pre | 8 | Primary healthcare center | CTS2 | Sexual before 27.0% → after 15.0% |
| (Elkhateeb et al., 2021) | Egypt | n.a. | CSS | 513 | n.a. | Pre | 37 | Hospital-based | AAS | Sexual 20.0% |
| (Farrokh-Eslamlou et al., 2014) | Iran | February–September 2012 | CSS | 313 | Mean 27.9 ± 5.8; range 17–46 | Pre | 37 | Hospital-based | AAS | Sexual 17.2% |
| (Fekadu et al., 2018) | Ethiopia | March–May 2016 | CSS | 450 | Mean 27 ± 4.5 | Pre | n.a. | Hospital-based | WHO-WHLEQ | Sexual 7.6% |
| (Ferdos et al., 2018) | Bangladesh | July 2015 to April 2016 | CSS | 443 | <20 y 18.5%; 20–24 y 43.9%; 25–35 y 37.6% | Pue | 43 | Hospital-based | CTS | Sexual 26.3% |
| (Field et al., 2018) | South Africa | November 2011–August 2012 | MMS | 376, 95 case notes analyzed qualitatively | Age categories: 18–24 years (39%), 25–29 years (30%), >29 years (31%) | Pre | 186 | Hospital-based | CTS2 | Sexual 26.0% |
| (Fonseca-Machado et al., 2015) | Brazil | May 2012–May 2013 | CSS | 358 | Mean 25.0 ± 6.3; range 15–43 | Pre | n.a. | Hospital-based | WHO-WHLEQ | Sexual 1.6% |
| (Gharacheh et al., 2015) | Iran | July–December 2012 | CSS | 328 | Abused: mean 26.25 ± 4.12); Non-abused: mean 27.14 ± 4.29) | Pue | 13 | Primary healthcare center | AAS | Sexual 34.9% |
| (Gul et al., 2013) | Pakistan | April 2010–March 2011 | CSS | 129 | Mean 31.42 ± 7.02; range 15–50 | Pre | n.a. | Hospital-based | AAS | Sexual 20.4% |
| (Ilori et al., 2023) | Nigeria | March–September 2019 | CSS | 240 | Mean 30.7 ± 5.5 | Pre | n.a. | Hospital-based | CAS | Sexual 38.1% |
| (Islam et al., 2021) | Bangladesh | October 2015–January 2016 | CSS | 426 | Mean 26.28 ± 5.87; range 15–49 | Pue | 27 | Primary healthcare center | WHO-WHLEQ | Sexual 18.5% |
| (Iyengar et al., 2021) | United Kingdom | 3 months in 2016 | CSS | 120 | Mean 25.22 ± 4.93 | Pre | n.a. | Hospital-based | WHO-WHLEQ | Sexual + physical 57.0% |
| (Kana et al., 2020) | Nigeria | January 2017–April 2019 | CSS | 293 | Mean 28.8 ± 5.9 in IPV-exposed group, 29.2 ± 5.7 in unexposed group | Pre | 35 | Hospital-based | CTS | Sexual 30.7% |
| (Khaironisak et al., 2017) | Malaysia | March–August 2015 | CSS | 1200 | Mean 29.07 ± 5.39 | Pre | n.a. | Hospital-based | WHO-WHLEQ | Sexual 9.8% |
| (Khatlani et al., 2023) | Pakistan | February–May 2014 | CCS | 795 women (256 cases with stillbirths, 539 controls with live births) | Mean 29.6 ± 5.9 in stillbirth group; mean 28.7 ± 5.7 in live birth group | Pre | n.a. | Community-based | WHO-WHLEQ | Sexual 9.81% |
| (Koirala, 2022) | Nepal | June–September 2020 | CSS | 220 | Mean 30.18 ± 5.70 | Pre | n.a. | Hospital-based | VAWI | Sexual 22.7% |
| (Krishnamurti et al., 2021) | USA | January–May 2020 | QI | 959 (552 before shelter-in-place, 407 during shelter-in-place) | n.a. | Pre | n.a. | Mobile app | CDC BRFSS (for physical and sexual IPV), WEB (for psychological IPV) | Sexual before 0.4% (552), during: 0.2% (407) |
| (L. da S. Lima et al., 2020) | Brazil | September–October 2018 | CSS | 65 | Mean 23.88; range 15–42 | Pre | n.a. | Primary healthcare center | WHO-WHLEQ | Sexual 3.1% |
| (Luhumyo et al., 2020) | Kenya | April–June 2017 | CSS | 369 | Median age 25 (IQR: 21–31) | Pre | n.a. | Hospital-based | VAWI | Sexual 13.0% |
| (Lukasse et al., 2014) | Belgium, Iceland, Denmark, Estonia, Norway, Sweden | March 2008–August 2010 | PCS | 7174 | n.a. | Pre | n.a. | Hospital-based | NorAQ | Sexual 0.4% |
| (Mahenge et al., 2013) | Tanzania | December 2011–April 2012 | CSS | 1180 | Mean 29.0; range 17–43 | Pre | 20 | Hospital-based | CTS | Sexual 20.0% |
| (McKelvie et al., 2021) | Vanuatu | May–July 2019 | CSS | 188 | Mean 25.7 ± 5.4 | Pre | 4 | Hospital-based | VAWI | Sexual 7.4% |
| (Mohamed et al., 2013) | Saudi Arabia | October 2012–February 2013 | CSS | 404 | Mean 31.19 ± 7.36 | Pre | 12 | Primary healthcare center | WAST | Sexual 14.0% |
| (Musa et al., 2020) | Ethiopia | November 2018–April 2019 | CSS | 648 | n.a. | Pre | n.a. | Hospital-based | WHO-WHLEQ | Sexual 3.7% |
| (Naghizadeh et al., 2021) | Iran | May–August 2020 | CSS | 250 | Mean 30.57 ± 5.87 | Pre | n.a. | Hospital-based | WHO-WHLEQ | Sexual 12.4% |
| (Nhi et al., 2019) | Vietnam | May 2014–August 2015 | PCS | 1274 | Mean 26; range 16–46 | Pre and Pue | 63 | Hospital-based | WHO-WHLEQ | Sexual 9.8% |
| (Njoku et al., 2021) | Nigeria | January–March 2017 | CSS | 400 | Mean 30.1 ± 2.47; range 20–45 | Pre | n.a. | Hospital-based | AAS | Sexual 7.3%% |
| (Okunola et al., 2021) | Nigeria | March 2019 and September 2019 | PCS | 363 | Mean 30 ± 5.3 | Pre | 0 | Hospital-based | Ongoing abuse screen | Sexual 3.6% |
| (Omoronyia et al., 2020) | Nigeria | n.a. | CSS | 250 | 29.7 ± 6.1 | Pre | n.a. | Hospital-based | CAS | Sexual 29.2%; psychological + sexual 10.8% |
| (Pun et al., 2019) | Nepal | June 2015–September 2016 | PCS | 1381 | Age categories: 15–19 (5.6%), 20–24 (42.8%), 25–29 (37.6%), ≥30 (14.0%) | Pre | 623 | Hospital-based | VAWI | Sexual 0.9% |
| (Pun et al., 2018) | Nepal | November 2014–November 2015 | CSS | 1011 | Mean 24.4 ± 4.0 | Pre | 28 | Hospital-based | AAS | Sexual 1.6% |
| (Rasch et al., 2018) | Tanzania and Vietnam | n.a. | CSS | 2425 (1116 in Tanzania, 1309 in Vietnam) | n.a. | Pre | n.a. | Hospital-based | VAWI | Tanzania: sexual 15.4%; Vietnam: sexual 9.9% |
| (M. R. C. Ribeiro et al., 2017) | Brazil | February 2010–June 2011 | CSS | 1446 (São Luís), 1378 (Ribeirão Preto) | n.a. | Pre | 1 | Primary healthcare center | VAWI | Sexual 2.8% |
| (Samal & Poornesh, 2022) | India | October–November 2016 | CSS | 200 | Range 19–40 | Pre | n.a. | Hospital-based | AAS | Sexual 0% |
| (Sapkota et al., 2021) | Nepal | June–August 2018 | RCT | 140 | Mean 25.3 ± 5.4 | Pre | 3 | Hospital-based | AAS | Sexual 15.0% |
| (Shamu et al., 2014) | Zimbabwe | May–September 2011 | CSS | 1951 | n.a. | Pre and Pue | n.a. | Hospital-based | WHO-WHLEQ | Sexual 22.6% |
| (Shamu et al., 2013) | Zimbabwe | May–September 2011 | CSS | 2042 | Mean 26 ± 5.71; range 15–48 | Pre | 59 | Primary healthcare center | WHO-WHLEQ | Sexual 38.9%; sexual and/or physical 46.2% |
| (Shannon et al., 2016) | USA | August 2005–October 2007 | CSS | 77 | Mean 24.96 ± 3.83 | Pre | n.a. | Hospital-based | NVAWS, CTS2, PMWI | Sexual 14.3% |
| (Shrestha et al., 2016) | Nepal | September–November 2015 | CSS | 404 | Mean 25.5 ± 4.3; 43.8% <25 | Pre | n.a. | Hospital-based | WHO-WHLEQ | Sexual 17.3% |
| (Silva et al., 2022) | Brazil | August–October 2017 | CSS | 327 | Not explicitly reported; categorized as ≤40 years and >40 years | Pre | n.a. | Hospital-based | VAWI | Sexual 3.08% |
| (Silva & Leite, 2019) | Brazil | August–October 2017 | CSS | 330 | Not explicitly reported; categorized as 14–19 years and ≥20 years | Pre | n.a. | Hospital-based | VAWI | Sexual 2.7% |
| (Sobhani et al., 2018) | Iran | September–December 2014 | CSS | 402 | Mean 28.24 ± 5.91; range 13–44 | Pre | n.a. | Hospital-based | WHO-WHLEQ | Sexual 16.7% |
| (Takelle et al., 2023) | Ethiopia | May–June 2022 | CSS | 473 | Mean 28.18 ± 5.28; range 18–41 | Pre | 12 | Hospital-based | WHO-WHLEQ | Sexual 3.2% |
| (Utaile et al., 2023) | Ethiopia | July–October 2020 | CSS | 1535 | Mean 26.3 ± 4.7 | Pre | n.a. | Community-based | WHO-WHLEQ | Sexual 19.3% |
| (Velasco et al., 2014) | Spain | 2009 | CSS | 779 | Mean 29.9 ± 5.6 | Pre | n.a. | Hospital-based | AAS, ISA | AAS sexual 0.5% |
| (Wangel et al., 2016) | Sweden | March–November 2008 | CSS | 1003 | Age groups: <25 years (11.2%), 25–29 (32%), 30–35 (43.2%), >35 (13.7%) | Pre | 22 | Hospital-based | NorAQ | Sexual 15.5% |
| (Watson & Taft, 2013) | Australia | April 2002–March 2004 | CCS | 1726 | n.a. | Pre | 54 | Hospital-based | CAS | Sexual 5.1% |
| (Zapata-Calvente et al., 2022) | Spain | January 2017–March 2019 | CSS | 592 | Mean 31.82 ± 5.61 | Pre | 138 | Primary healthcare center | WAST-Short, AAS | Sexual 2.4% |
| (Zheng et al., 2020) | China | July–October 2019 | CSS | 813 | Mean 28.98 ± 4.52 | Pre | n.a. | Community-based | AAS | Sexual 0.86% |
| (Zou et al., 2015) | China | October 2006–February 2007 | CSS | 223 (86 in DV group, 137 in non-DV group) | DV group: 27.8 ± 2.7; non-DV group: 27.2 ± 3.0 | Pre | 23 | Primary healthcare center | AAS | Sexual + psychological 33.7%; Sexual + physical + psychological 2.3% |
AAS: Abuse Assessment Screen; CAS: Composite Abuse Scale; CDC BRFSS: Centers for Disease Control—Behavioral Risk Factor Surveillance System; CCS: case–control study; CSS: cross-sectional study; CTS: Conflict Tactics Scale; CTS2: Revised Conflict Tactics Scale; DV: domestic violence; DVWDS: Domestic Violence During Women’s Different Stages; IPV: intimate partner violence; IQR: Interquartile Range; MMS: mixed-methods study; NorAQ: Norwegian Abuse Questionnaire; NVAWS: National Violence Against Women Survey; PCS: prospective cohort study; PMWI: Psychological Maltreatment of Women Inventory; Pre: pregnancy; Pue: puerperium; QI: quality improvement pilot study; RCT: randomized controlled trial; SD: Standard Deviation; USA: United States of America; VAWI: Violence Against Women Instrument; WAST: Woman Abuse Screening Tool; WAST-Short: Woman Abuse Screening Tool—Short Version; WEB: Women’s Experience with Battering; WHO-WHLEQ: World Health Organization—Women’s Health and Life Experiences Questionnaire.
3.2.4. Any IPV
Some of the included articles (n = 71) report the prevalence of violence during pregnancy or the postpartum period in a generic way, without specifying its typology; we refer to these cases as “any IPV”. However, this does not mean that these articles do not also include separate data on individual forms of violence (physical, psychological, etc.). Study-level details, including year, country, study design, sample size, age, women’s status, setting, and used tools, are summarized in Table 5.
These articles were published between 2013 and 2023 and conducted across 30 countries spanning several global regions: Africa (Ethiopia, Nigeria, Egypt, Kenya, Namibia, South Africa, Tanzania, Zimbabwe), Asia (China, India, Iran, Japan, Jordan, Malaysia, Nepal, Saudi Arabia, South Korea, Thailand, Vietnam), Europe (Denmark, United Kingdom, Greece, Portugal, Spain), North America (United States), South America (Brazil, Peru), and Oceania (Australia, Vanuatu). The predominant study design was CSS (n = 56), followed by PCS (n = 10); in addition, each of the other study design categories present in the 98 included studies is represented by a single article: RCS, RCT, MMS, CCS, and qualitative study (QUAL). The studies included a wide range of sample sizes, from 43 to 16,068 participants, and participants’ ages ranged from 13 to 48 years. Most studies focused exclusively on pregnant women (n = 56), while others included postpartum women (n = 6) or both groups (n = 9). Prevalence estimates for any IPV showed considerable variability, ranging from 3.5% to 93.1%. Some studies provided stratified data: one study found IPV in 48.3% of women at follow-up, while 51.7% remained exposed to IPV; differences between geographical locations were also observed, with one study reporting an 8.53% prevalence in Denmark and 17.03% in Spain, and another showing higher rates in rural (40.56%) compared to urban (37.25%) settings. Data were collected primarily in hospital-based environments (n = 51), and others were obtained in primary care centers (n = 13) and community settings (n = 7). Various validated tools were used across studies to assess any form of IPV among pregnant and postpartum women. The most frequently employed instrument was the WHO-WHLEQ (n = 19), followed closely by the Abuse Assessment Screen (AAS) (n = 18).
In the meta-analysis, the fixed-effects model produced an estimated event rate of 0.28 (95% CI: 0.27–0.28, p < 0.001), based on data from 70,860 participants. However, considerable heterogeneity was observed (I2 = 99.21%, p < 0.001). Under the random-effects model, the estimated event rate slightly decreased to 0.26 (95% CI: 0.22–0.30, p < 0.001). No evidence of publication bias was detected, as confirmed by both the symmetrical funnel plot and Egger’s regression test (intercept = 0.46, p = 0.860). These findings are shown in Figure S5 (a: forest plot; b: funnel plot) and Table S2.
Table 5.
Characteristics of studies assessing any IPV (n = 71), extracted from the total 98 included articles.
Table 5.
Characteristics of studies assessing any IPV (n = 71), extracted from the total 98 included articles.
| Author, Year | Country | Study Period | Study Design | Sample Size | Age in Years (Range or Mean and SD) | Woman Status | People Lost (Attrition Rate) | Setting | Tool Used to Assess the Outcome | Women Victims of any IPV (Prevalence) |
|---|---|---|---|---|---|---|---|---|---|---|
| (Abebe Abate et al., 2016) | Ethiopia | April 2014 | CSS | 282 | Mean 27 ± 6.1; range 15–44 | Pre | 17 | Community-based | WHO-WHLEQ | Any IPV 44.5% |
| (Abujilban et al., 2022) | Jordan | September–December 2014 | CSS | 247 | Mean 27.3 ± 5.9 | Pre and Pue | n.a. | Hospital-based | WHO-WHLEQ | Any IPV 93.1% |
| (Alhalal et al., 2022) | Saudi Arabia | December 2019–March 2020 | CSS | 684 | Mean 31.19 ± 7.36 | Pre and Pue | 66 | Hospital-based | CAS | Any IPV 28.9% |
| (Alhusen et al., 2015) | USA | February 2009–March 2010 | CSS | 166 | Mean 23.3 ± 5.4 | Pre | n.a. | Hospital-based | AAS | Any IPV 19.3% |
| (Almeida et al., 2017) | Portugal | February–June 2012 | CSS | 852 | Mean 30.69 ± 5.54; range 18–44 | Pre | 352 | Hospital-based | WHO-WHLEQ | Any IPV 43.4% |
| (Andreasen et al., 2023) | Denmark, Spain | 2021–2022 | PCS | Total 16,068 (Denmark 14,013, Spain 2055) | Mean Denmark: 28.7 ± 5.1; Spain: 31.6 ± 5.9 | Pre | 77 | Hospital-based | AAS | Any IPV 9.62%: Denmark 8.53%; Spain 17.03% |
| (Antoniou & Iatrakis, 2019) | Greece | August–September 2009 | CSS | 546 | Mean 32.95 ± 6.78 | Pre | n.a. | Hospital-based | AAS | Any IPV 6.0% |
| (Gómez Aristizábal et al., 2022) | Brazil | February 2010 and June 2011 | PCS | 1447 | Mean 26.1 ± 5.4 | Pre | 317 | Primary healthcare center | VAWI | Any IPV 49.7% |
| (Atilla et al., 2023) | Turkey | September–October 2021 | CSS | 456 | Mean 26.66 ± 5.45 | Pre | 24 | Hospital-based | IPV During Pregnancy Questionnaire | Any IPV 44.1% |
| (Avcı et al., 2023) | Turkey | October 2017–August 2018 | CSS | 255 | Mean 28.57 ± 6.17 | Pre | n.a. | Primary healthcare center | DVWDS | Any IPV 9.8% |
| (Baǧcioǧlu et al., 2014) | Turkey | n.a. | CSS | 317 | Mean 27.4 ± 5.9 | Pre | 2 | Hospital-based | AAS | Any IPV 10.3% |
| (Belay et al., 2019) | Ethiopia | February–August 2017 | CSS | 589 | Mean 25; range 16–45 | Pre | n.a. | Community-based | WHO-WHLEQ | Any IPV 21.2% |
| (Bernstein et al., 2016) | South Africa | March 2013–April 2014 | CSS | 623 | Median age 28; range 18–44 | Pre | n.a. | Primary healthcare center | VAWI | Any IPV 21% |
| (Bikinesi et al., 2017) | Namibia | n.a. | CSS | 386 | Mean 27.5 ± 6.8 | Pre | n.a. | Primary healthcare center | WHO-WHLEQ | Any IPV 8.0% |
| (Boonnate et al., 2015) | Thailand | n.a. | CSS | 230 | Mean 28.98 ± 5.17 | Pre | n.a. | Hospital-based | ISA | Any IPV 11.7% |
| (Caprara et al., 2020) | Brazil | 2011–2016 | PCS | 232 | Mean 27.4 ± 6.7 | Pue | n.a. | Hospital-based | AAS | Any IPV 15.1% |
| (Chen et al., 2017) | USA | January 2003–December 2009 | RCS | 1438 | Mean 26.0 (victims: 27.1; non-victims: 25.9) | Pre | n.a. | Hospital-based | HITS | Any IPV 7.5% |
| (Dinmohammadi et al., 2021) | Iran | August 2017 | RCT | 82 (41 intervention, 41 control) | Mean 27.55 ± 5.13 (intervention), 27.26 ± 4.46 (control) | Pre | 8 | Primary healthcare center | CTS2 | Any IPV before 59.0% → after 38.0% |
| (Elkhateeb et al., 2021) | Egypt | n.a. | CSS | 513 | n.a. | Pre | 37 | Hospital-based | AAS | Any IPV 50.8% |
| (Farrokh-Eslamlou et al., 2014) | Iran | February–September 2012 | CSS | 313 | Mean 27.9 ± 5.8; range 17–46 | Pre | 37 | Hospital-based | AAS | Any IPV 55.9% |
| (Fekadu et al., 2018) | Ethiopia | March–May 2016 | CSS | 450 | Mean 27 ± 4.5 | Pre | n.a. | Hospital-based | WHO-WHLEQ | Any IPV 58.7% |
| (Field et al., 2018) | South Africa | November 2011–August 2012 | MMS | 376, 95 case notes analyzed qualitatively | Age categories: 18–24 years (39%), 25–29 years (30%), >29 years (31%) | Pre | 186 | Hospital-based | CTS2 | Any IPV 15.0% |
| (Fisher et al., 2013) | Vietnam | December 2009–June 2011 | PCS | 417 (pregnancy), 453 (postpartum) | Mean 26.1 ± 4.8 | Pre and Pue | 80 | Community-based | WHO-WHLEQ | Any IPV 3.8% (pregnancy); any IPV 5.9% (postpartum) |
| (Fonseca-Machado et al., 2015) | Brazil | May 2012–May 2013 | CSS | 358 | Mean 25.0 ± 6.3; range 15–43 | Pre | n.a. | Hospital-based | WHO-WHLEQ | Any IPV 17.6% |
| (Gashaw et al., 2019) | Ethiopia | November 2015–March 2016 | CSS | 720 | Mean 25 ± 5.0 | Pre | n.a. | Hospital-based | AAS | Any IPV 44.0% |
| (Gebrekristos et al., 2023) | South Africa | July 2017–April 2018 | CSS | 90 | Mean 17.5 ± 1.4; range 14–19 | Pre and Pue | 29 | Hospital-based | CTS | Any IPV 40.0% |
| (Gelaye et al., 2016) | Peru | February 2012–March 2014 | CSS | 2970 | Mean 28.1 ± 6.3; range 18–35 | Pre | 89 | Hospital-based | WHO-WHLEQ | Any IPV 36.7% |
| (Gharacheh et al., 2015) | Iran | July–December 2012 | CSS | 328 | Abused: mean 26.25 ± 4.12); non-abused: mean 27.14 ± 4.29) | Pue | 13 | Primary healthcare center | AAS | Any IPV 44.5% |
| (Hooker & Taft, 2021) | Australia | 2011 | CSS | 2621 | Mean 34.0 | Pue | n.a. | Primary healthcare center | CAS | Any IPV 6.8% |
| (Ilori et al., 2023) | Nigeria | March–September 2019 | CSS | 240 | Mean 30.7 ± 5.5 | Pre | n.a. | Hospital-based | CAS | Any IPV 45.8% |
| (Iyengar et al., 2021) | United Kingdom | 3 months in 2016 | CSS | 120 | Mean 25.22 ± 4.93 | Pre | n.a. | Hospital-based | WHO-WHLEQ | Any IPV 35.0% |
| (Kana et al., 2020) | Nigeria | January 2017–April 2019 | CSS | 293 | Mean 28.8 ± 5.9 in IPV-exposed group, 29.2 ± 5.7 in unexposed group | Pre | 35 | Hospital-based | CTS | Any IPV 66.6% |
| (Kataoka & Imazeki, 2018) | Japan | September–December 2011 | QUAL | 43 | Age categories: <20 years (2.3%), 20–29 (32.6%), ≥30 (65.1%) | Pue | 5 | Hospital-based | VAWS | Any IPV 18.6% |
| (Khaironisak et al., 2017) | Malaysia | March–August 2015 | CSS | 1200 | Mean 29.07 ± 5.39 | Pre | n.a. | Hospital-based | WHO-WHLEQ | Any IPV 35.9% |
| (Kian et al., 2019) | Iran | 2015–2016 | CSS | 400 (200 rural, 200 urban) | Mean 29.15 ± 5.37 (urban), 28.25 ± 6.3 (rural) | Pre and Pue | n.a. | Primary healthcare center | Standardized violence questionnaire | Any IPV: rural 40.56%; urban 37.25% |
| (Kita et al., 2017) | Japan | July 2013–July 2014 | PCS | 453 | Mean 32.1 ± 4.9; range 19–46 | Pre | 502 | Hospital-based | WAST-Short | Any IPV 12.1% |
| (Koirala, 2022) | Nepal | June–September 2020 | CSS | 220 | Mean 30.18 ± 5.70 | Pre | n.a. | Hospital-based | VAWI | Any IPV 32.7% |
| (Lee et al., 2023) | South Korea | 2020–2021 | CSS | 5616 | Range 16–48 | Pre and Pue | 337 | Primary healthcare center | HITS | Any IPV 7.6% |
| (Luhumyo et al., 2020) | Kenya | April–June 2017 | CSS | 369 | Median age 25 (IQR: 21–31) | Pre | n.a. | Hospital-based | VAWI | Any IPV 34.1% |
| (Mahenge et al., 2013) | Tanzania | December 2011–April 2012 | CSS | 1180 | Mean 29.0; range 17–43 | Pre | 20 | Hospital-based | CTS | Any IPV 27.0% |
| (Stella Martin-de-las-Heras et al., 2015) | Spain | n.a. | CSS | 779 | Mean 29.9 ± 5.6 | Pre | 153 | Hospital-based | ISA | Any IPV 21.3% |
| (McKelvie et al., 2021) | Vanuatu | May–July 2019 | CSS | 188 | Mean 25.7 ± 5.4 | Pre | 4 | Hospital-based | VAWI | Any IPV 44.68% |
| (Mohamed et al., 2013) | Saudi Arabia | October 2012–February 2013 | CSS | 404 | Mean 31.19 ± 7.36 | Pre | 12 | Primary healthcare center | WAST | Any IPV 52.0% |
| (Musa et al., 2020) | Ethiopia | November 2018–April 2019 | CSS | 648 | n.a. | Pre | n.a. | Hospital-based | WHO-WHLEQ | Any IPV 39.81% |
| (Naghizadeh et al., 2021) | Iran | May–August 2020 | CSS | 250 | Mean 30.57 ± 5.87 | Pre | n.a. | Hospital-based | WHO-WHLEQ | Any IPV 35.2% |
| (Nhi et al., 2019) | Vietnam | May 2014–August 2015 | PCS | 1274 | Mean 26; range 16–46 | Pre and Pue | 63 | Hospital-based | WHO-WHLEQ | Any IPV 35.3% |
| (Njoku et al., 2021) | Nigeria | January–March 2017 | CSS | 400 | Mean 30.1 ± 2.47; range 20–45 | Pre | n.a. | Hospital-based | AAS | Any IPV 43.0% |
| (Nongrum et al., 2014) | India | Not reported | PCS | 150 | Mean 26.32 ± 4.22 | Pre | 18 | Hospital-based | AAS | Any IPV 7.3% |
| (Okunola et al., 2021) | Nigeria | March 2019 and September 2019 | PCS | 363 | Mean 30 ± 5.3 | Pre | 0 | Hospital-based | Ongoing abuse screen | Any IPV 15.4% |
| (Omoronyia et al., 2020) | Nigeria | n.a. | CSS | 250 | 29.7 ± 6.1 | Pre | n.a. | Hospital-based | CAS | Any IPV 54.8% |
| (Priya et al., 2019) | India | December 2013–February 2015 | CSS | 165 | 23.8 ± 3.8 | Pre | n.a. | Community-based | HITS | Any IPV 23.0% |
| (Pun et al., 2019) | Nepal | June 2015–September 2016 | PCS | 1381 | Age categories: 15–19 (5.6%), 20–24 (42.8%), 25–29 (37.6%), ≥30 (14.0%) | Pre | 623 | Hospital-based | VAWI | Any IPV 20.5% |
| (Pun et al., 2018) | Nepal | November 2014–November 2015 | CSS | 1011 | Mean 24.4 ± 4.0 | Pre | 28 | Hospital-based | AAS | Any IPV 23.7% |
| (Rasch et al., 2018) | Tanzania and Vietnam | n.a. | CSS | 2425 (1116 in Tanzania, 1309 in Vietnam) | n.a. | Pre | n.a. | Hospital-based | VAWI | Tanzania: any IPV 30.2%; Vietnam: any IPV 35.2% |
| (M. R. C. Ribeiro et al., 2017) | Brazil | February 2010–June 2011 | CSS | 1446 (São Luís), 1378 (Ribeirão Preto) | n.a. | Pre | 1 | Primary healthcare center | VAWI | Any IPV 49.6% |
| (Rishal et al., 2020) | Nepal | August 2014–November 2016 | PCS | 1010 screened, 181 reported IPV | n.a. | Pre | 119 | Hospital-based | AAS | Any IPV 17.9%; at follow-up: no longer IPV 48.3%; still IPV 51.7% |
| (Samal & Poornesh, 2022) | India | October–November 2016 | CSS | 200 | Range 19–40 | Pre | n.a. | Hospital-based | AAS | Any IPV 6.5% |
| (Sánchez et al., 2023) | Brazil | July 2019–September 2021 | CSS | 600 | Mean 27.0 ± 8.58; range 13–47 | Pre and Pue | n.a. | Hospital-based | AAS, WAST, HITS | WAST: Any IPV 6.7%; HITS: Any IPV 3.5% |
| (Shamu et al., 2014) | Zimbabwe | May–September 2011 | CSS | 1951 | n.a. | Pre and Pue | n.a. | Hospital-based | WHO-WHLEQ | Any IPV 32.8% |
| (Shamu et al., 2013) | Zimbabwe | May–September 2011 | CSS | 2042 | Mean 26 ± 5.71; range 15–48 | Pre | 59 | Primary healthcare center | WHO-WHLEQ | Any IPV 63.1% |
| (Shannon et al., 2016) | USA | August 2005–October 2007 | CSS | 77 | Mean 24.96 ± 3.83 | Pre | n.a. | Hospital-based | NVAWS, CTS2, PMWI | Any IPV 75.3% |
| (Shrestha et al., 2016) | Nepal | September–November 2015 | CSS | 404 | Mean 25.5 ± 4.3; 43.8% <25 | Pre | n.a. | Hospital-based | WHO-WHLEQ | Any IPV 27.2% |
| (Sobhani et al., 2018) | Iran | September–December 2014 | CSS | 402 | Mean 28.24 ± 5.91; range 13–44 | Pre | n.a. | Hospital-based | WHO-WHLEQ | Any IPV 48.5% |
| (Sulaiman et al., 2021) | Nigeria | November 2018–August 2019 | CSS | 403 | Mean 33 ± 4.9 | Pre | 8 | Hospital-based | HITS | Any IPV 56.3% |
| (Sussmann et al., 2020) | Brazil | January 2006–March 2007 | CSS | 700 | Age categories: 16–20 years, 21–30 years, >31 years | Pue | 128 | Community-based | VAWI | Any IPV 24.7% |
| (Suzuki et al., 2018) | Japan | April–October 2016 | CSS | 470 | n.a. | Pre | 2 | Hospital-based | VAWS | Any IPV 4.1% |
| (Utaile et al., 2023) | Ethiopia | July–October 2020 | CSS | 1535 | Mean 26.3 ± 4.7 | Pre | n.a. | Community-based | WHO-WHLEQ | Any IPV 48.0% |
| (Velasco et al., 2014) | Spain | 2009 | CSS | 779 | Mean 29.9 ± 5.6 | Pre | n.a. | Hospital-based | AAS, ISA | AAS: Any IPV 7.7%; ISA: Any IPV 21.0% |
| (Watson & Taft, 2013) | Australia | April 2002–March 2004 | CCS | 1726 | n.a. | Pre | 54 | Hospital-based | CAS | Any IPV 14.9% |
| (Zapata-Calvente et al., 2022) | Spain | January 2017–March 2019 | CSS | 592 | Mean 31.82 ± 5.61 | Pre | 138 | Primary healthcare center | WAST-Short, AAS | Any IPV 9.5% |
| (Zheng et al., 2020) | China | July–October 2019 | CSS | 813 | Mean 28.98 ± 4.52 | Pre | n.a. | Community-based | AAS | Any IPV 15.62% |
AAS: Abuse Assessment Screen; CAS: Composite Abuse Scale; CCS: case–control study; CSS: cross-sectional study; CTS: Conflict Tactics Scale; CTS2: Revised Conflict Tactics Scale; DVWDS: Domestic Violence During Women’s Different Stages; HITS: Hurt, Insult, Threaten, Scream; IPV: intimate partner violence; IQR: Interquartile Range; ISA: Index of Spouse Abuse; MMS: mixed-methods study; NVAWS: National Violence Against Women Survey; PCS: prospective cohort study; PMWI: Psychological Maltreatment of Women Inventory; Pre: pregnancy; Pue: puerperium; QUAL: qualitative study; RCS: retrospective cohort study; RCT: randomized controlled trial; SD: Standard Deviation; USA: United States of America; VAWI: Violence Against Women Instrument; WAST: Woman Abuse Screening Tool; WAST-Short: Woman Abuse Screening Tool—Short Version; VAWS: Violence Against Women Screen; WHO-WHLEQ: World Health Organization—Women’s Health and Life Experiences Questionnaire.
3.2.5. Verbal IPV
Out of the 98 total included articles, this review identified 8 studies that examined verbal violence during pregnancy. Study-level details, including year, country, study design, sample size, age, women’s status, setting, and used tools, are summarized in Table 6.
These studies were published between 2013 and 2023 across various global regions, including Africa (Egypt, Nigeria), Asia (Pakistan, South Korea, India), and Europe (Turkey, Malta). All included studies employed a CSS design. The participant numbers varied, with sample sizes ranging from 129 to 5616. Participants’ ages spanned from 15 to 50 years. All participants were pregnant women, except in one study that also included the puerperium period. Most studies were conducted in hospital-based settings, with the exception of one study carried out in a primary healthcare center. Reported prevalence rates for verbal violence exhibited a wide range, from 0.3% up to 85.5%. Instruments to assess IPV with a specific focus on verbal abuse included the Abuse Assessment Screen (AAS) (n = 5), the Hurt, Insult, Threaten, Scream (HITS) tool (n = 2), and the WHO Violence Against Women Instrument (VAWI) (n = 1). These tools had either been previously validated in their respective languages and cultural contexts or were adapted versions of internationally recognized IPV screening instruments.
The fixed-effects model estimated an event rate of 0.36 (95% CI: 0.34–0.38, p < 0.001), based on data from 7878 participants. Nonetheless, substantial heterogeneity was detected (I2 = 99.26%, p < 0.001). When applying the random-effects model, the event rate was lower, estimated at 0.16 (95% CI: 0.05–0.40, p < 0.001). No evidence of publication bias was found, as suggested by the symmetry of the funnel plot and confirmed by Egger’s regression test (intercept = –15.12, p = 0.130). These results are presented in Figure 2 (a: forest plot; b: funnel plot) and Table S2.
Figure 2.
(a) A forest plot and (b) funnel plot of the random-effects model assessing verbal IPV (Baǧcioǧlu et al., 2014, Debono et al., 2017, Elkhateeb et al., 2021, Gul et al., 2013, Lee et al., 2023, Njoku et al., 2021, Samal & Poornesh, 2022, Sulaiman et al., 2021).
3.2.6. Economic IPV
Research on economic violence during pregnancy remains limited, with only seven studies. Study-level details, including year, country, study design, sample size, age, woman status, setting, and used tools, are summarized in Table 7.
These studies were published between 2013 and 2023 and specifically addressed this form of abuse. These studies were carried out in diverse geographical contexts, including Turkey (three studies), Namibia, Pakistan, Nigeria, and India. Despite the limited number, all studies consistently applied a CSS design. The populations examined consisted exclusively of pregnant women, with sample sizes ranging from 129 to 456 and participant ages between 15 and 50 years. While the majority of studies were conducted in hospital-based settings, two were implemented in Primary Healthcare Center contexts. Reported prevalence rates of economic violence varied notably, spanning from 2% to 48.3%. All studies used validated instruments for assessing IPV, including tools such as the AAS (n = 4), the WHO Women’s Health and Life Experiences Questionnaire, the Domestic Violence to Women Determination Scale (Turkey), and the IPV During Pregnancy Questionnaire. These tools allowed for standardized evaluation of economic abuse, alongside other IPV subtypes.
The fixed-effects model estimated an event rate of 0.27 (95% CI: 0.25–0.29, p < 0.001), based on data from 2143 participants. However, substantial heterogeneity was observed (I2 = 97.86%, p < 0.001). When the random-effects model was applied, the estimated event rate decreased to 0.13 (95% CI: 0.06–0.27, p < 0.001). Evidence of publication bias was identified, as indicated by funnel plot asymmetry and confirmed by Egger’s regression test (intercept = −3.48, p = 0.018). These findings are presented in Figure 3 (a: forest plot; b: funnel plot) and Supplementary Table S2.
Table 6.
Characteristics of studies assessing verbal IPV (n = 8), extracted from the total 98 included articles.
Table 6.
Characteristics of studies assessing verbal IPV (n = 8), extracted from the total 98 included articles.
| Author, Year | Country | Study Period | Study Design | Sample Size | Age in Years (Range or Mean and SD) | Woman Status | People Lost (Attrition Rate) | Setting | Tool Used to Assess the Outcome | Women Victims of Verbal Violence (Prevalence) |
|---|---|---|---|---|---|---|---|---|---|---|
| (Baǧcioǧlu et al., 2014) | Turkey | n.a. | CSS | 317 | Mean 27.4 ± 5.9 | Pre | 2 | Hospital-based | AAS | Verbal 4.4% |
| (Debono et al., 2017) | Malta | October 2014–January 2015 | CSS | 300 | Mean 30.7; range: 18–43 | Pre | 80 | Hospital-based | VAWI | Verbal 12.0% |
| (Elkhateeb et al., 2021) | Egypt | n.a. | CSS | 513 | n.a. | Pre | 37 | Hospital-based | AAS | Verbal 41.7% |
| (Gul et al., 2013) | Pakistan | April 2010–March 2011 | CSS | 129 | Mean 31.42 ± 7.02; range 15–50 | Pre | n.a. | Hospital-based | AAS | Verbal 51.9% |
| (Lee et al., 2023) | South Korea | 2020–2021 | CSS | 5616 | Range 16–48 | Pre and Pue | 337 | Primary healthcare center | HITS | Verbal 0.3% |
| (Njoku et al., 2021) | Nigeria | January–March 2017 | CSS | 400 | Mean 30.1 ± 2.47; range 20–45 | Pre | n.a. | Hospital-based | AAS | Verbal 85.5% |
| (Samal & Poornesh, 2022) | India | October–November 2016 | CSS | 200 | Range 19–40 | Pre | n.a. | Hospital-based | AAS | Verbal 3.0% |
| (Sulaiman et al., 2021) | Nigeria | November 2018–August 2019 | CSS | 403 | Mean 33 ± 4.9 | Pre | 8 | Hospital-based | HITS | Verbal 38.4% |
AAS: Abuse Assessment Screen; CSS: cross-sectional study; HITS: Hurt, Insult, Threaten, Scream; Pre: pregnancy; Pue: puerperium; SD: Standard Deviation; VAWI: Violence Against Women Instrument.
Table 7.
Characteristics of studies assessing economic IPV (n = 7), extracted from the total 98 included articles.
Table 7.
Characteristics of studies assessing economic IPV (n = 7), extracted from the total 98 included articles.
| Author, Year | Country | Study Period | Study Design | Sample Size | Age in Years (Range or Mean and SD) | Woman Status | People Lost (Attrition Rate) | Setting | Tool Used to Assess the Outcome | Women Victims of Economic Violence (Prevalence) |
|---|---|---|---|---|---|---|---|---|---|---|
| (Atilla et al., 2023) | Turkey | September–October 2021 | CSS | 456 | Mean 26.66 ± 5.45 | Pre | 24 | Hospital-based | IPV During Pregnancy Questionnaire | Economic 28.9% |
| (Avcı et al., 2023) | Turkey | October 2017–August 2018 | CSS | 255 | Mean 28.57 ± 6.17 | Pre | n.a. | Primary healthcare center | DVWDS | Economic 8.2% |
| (Baǧcioǧlu et al., 2014) | Turkey | n.a. | CSS | 317 | Mean 27.4 ± 5.9 | Pre | 2 | Hospital-based | AAS | Economic 6.6% |
| (Bikinesi et al., 2017) | Namibia | n.a. | CSS | 386 | Mean 27.5 ± 6.8 | Pre | n.a. | Primary healthcare center | WHO-WHLEQ | Economic 5.2% |
| (Gul et al., 2013) | Pakistan | April 2010–March 2011 | CSS | 129 | Mean 31.42 ± 7.02; range 15–50 | Pre | n.a. | Hospital-based | AAS | Economic 33.3% |
| (Njoku et al., 2021) | Nigeria | January–March 2017 | CSS | 400 | Mean 30.1 ± 2.47; range 20–45 | Pre | n.a. | Hospital-based | AAS | Economic 48.3% |
| (Samal & Poornesh, 2022) | India | October–November 2016 | CSS | 200 | Range 19–40 | Pre | n.a. | Hospital-based | AAS | Economic 2.0% |
AAS: Abuse Assessment Screen; CSS: cross-sectional study; DVWDS: Domestic Violence During Women’s Different Stages; IPV: intimate partner violence; Pre: pregnancy; SD: Standard Deviation; WHO-WHLEQ: World Health Organization—Women’s Health and Life Experiences Questionnaire.
Figure 3.
(a) A forest plot and (b) funnel plot of the random-effects model assessing economic IPV (Atilla et al., 2023, Avcı et al., 2023, Baǧcioǧlu et al., 2014, Bikinesi et al., 2017, Gul et al., 2013, Njoku et al., 2021, Samal & Poornesh, 2022).
3.2.7. Non-Physical Violence
A total of three studies specifically assessed non-physical IPV during pregnancy. Study-level details, including year, country, study design, sample size, age, woman status, setting, and used tools, are summarized in Table 8.
All of them focused exclusively on women during pregnancy, with no assessment in the puerperium period. The studies were conducted in two Asian countries—Japan and Thailand—and were published between 2015 and 2017. The included studies adopted either a CSS (n = 1) or PCS (n = 2) design. Sample sizes ranged from 230 to 562 participants. The mean age of participants was consistently late twenties to early thirties. All studies were hospital-based, recruiting pregnant women from antenatal clinics at university or public hospitals. To assess non-physical violence, the studies used established tools: the Index of Spouse Abuse (ISA) (n = 2) and the Woman Abuse Screening Tool-Short (WAST-Short), both of which had been validated for use in the local contexts. These instruments evaluated non-physical components of IPV, including psychological and emotional abuse, social exclusion, intimidation, and controlling behaviors. The prevalence of non-physical IPV during pregnancy ranged from 3.1% to 4.3%.
Table 8.
Characteristics of studies assessing non-physical IPV (n = 3), extracted from the total 98 included articles.
Table 8.
Characteristics of studies assessing non-physical IPV (n = 3), extracted from the total 98 included articles.
| Author, Year | Country | Study Period | Study Design | Sample Size | Age in Years (Range or Mean and SD) | Woman Status | People Lost (Attrition Rate) | Setting | Tool Used to Assess the Outcome | Women Victims of Violence (Prevalence) |
|---|---|---|---|---|---|---|---|---|---|---|
| (Boonnate et al., 2015) | Thailand | n.a. | CSS | 230 | Mean 28.98 ± 5.17 | Pre | n.a. | Hospital-based | ISA | Non-physical 4.3% |
| (Kita et al., 2017) | Japan | July 2013–July 2014 | PCS | 453 | Mean 32.1 ± 4.9; range 19–46 | Pre | 502 | Hospital-based | WAST-Short | Non-physical 3.1% |
| (Kita et al., 2016) | Japan | July 2013–July 2014 | PCS | 562 | Mean 32.2 ± 4.9; range 19–46 | Pre | 393 | Hospital-based | ISA | Non-physical 3.6% |
CSS: Cross-sectional study; ISA: Index of Spouse Abuse; PCS: prospective cohort study; Pre: pregnancy; SD: Standard Deviation; WAST-Short: Woman Abuse Screening Tool—Short Version.
3.3. Sensitivity Analyses by WHO Region and Income Level
Sensitivity analyses stratified by WHO region (Table S3) (World Health Organization, n.d.) and World Bank income classification (Table S4) (Metreau et al., 2024) demonstrated substantial variability in the prevalence of physical, psychological, sexual, and any IPV, with consistently high between-study heterogeneity observed across all subgroup analyses.
For physical IPV, the highest pooled prevalence estimates (ER^) were observed in the African Region (0.23; 95% CI: 0.23–0.24), Eastern Mediterranean Region (0.20; 95% CI: 0.18–0.21), and South-East Asia Region (0.15; 95% CI: 0.14–0.16). Stratification by income level revealed a clear gradient, with the highest ER^ in low-income countries (0.28; 95% CI: 0.27–0.30), followed by lower-middle-income (0.16; 95% CI: 0.15–0.17), upper-middle-income (0.15; 95% CI: 0.14–0.16), and high-income countries (0.08; 95% CI: 0.07–0.08). Corresponding ER* values ranged from 0.04 (95% CI: 0.02–0.07) in high-income to 0.21 (95% CI: 0.14–0.30) in low-income settings.
For psychological IPV, the highest ER^ was reported in the Region of the Americas (0.45; 95% CI: 0.44–0.47) and Eastern Mediterranean Region (0.45; 95% CI: 0.43–0.47), followed by the African Region (0.33; 95% CI: 0.32–0.34). Adjusted ER* estimates ranged from 0.15 (95% CI: 0.08–0.24) in Europe to 0.50 (95% CI: 0.41–0.58) in the Eastern Mediterranean. Across income strata, upper-middle-income countries exhibited the highest prevalence (ER^ = 0.41; 95% CI: 0.40–0.42; ER* = 0.42; 95% CI: 0.33–0.50), while high-income countries reported the lowest (ER^ = 0.14; 95% CI: 0.13–0.15; ER* = 0.11; 95% CI: 0.007–0.18).
For sexual IPV, the African Region had the highest ER^ (0.24; 95% CI: 0.23–0.25), followed by the Eastern Mediterranean (0.18; 95% CI: 0.17–0.19) and South-East Asia (0.16; 95% CI: 0.14–0.16). Corresponding ER* estimates ranged from 0.03 (95% CI: 0.02–0.05) in the Americas to 0.17 (95% CI: 0.13–0.22) in the Eastern Mediterranean. By income level, lower-middle-income countries showed the highest prevalence (ER^ = 0.21; 95% CI: 0.20–0.22; ER* = 0.13; 95% CI: 0.10–0.17), while high-income countries had the lowest (ER^ = 0.08; 95% CI: 0.07–0.08; ER* = 0.05; 95% CI: 0.03–0.09).
For any IPV, the African Region again exhibited the highest ER^ (0.42; 95% CI: 0.41–0.43) and ER* (0.37; 95% CI: 0.30–0.44), followed by the Eastern Mediterranean Region (ER^ = 0.45; 95% CI: 0.44–0.47; ER* = 0.51; 95% CI: 0.42–0.59). The lowest values were observed in the European Region (ER^ = 0.14; 95% CI: 0.13–0.14; ER* = 0.16; 95% CI: 0.10–0.26) and high-income countries (ER^ = 0.13; 95% CI: 0.13–0.13; ER* = 0.17; 95% CI: 0.12–0.23).
In all subgroup analyses, heterogeneity was extremely high (I2 > 95%; p < 0.001), indicating substantial variability across studies.
3.4. Quality Assessment
Overall, the majority of studies received a moderate-to-high quality rating, indicating a generally acceptable level of methodological rigor. Only a small number of studies were classified as low quality (n = 9) (Bikinesi et al., 2017; Gharacheh et al., 2015; Gómez Aristizábal et al., 2022; Gul et al., 2013; Hooker & Taft, 2021; Koirala, 2022; Rishal et al., 2020; Shannon et al., 2016; Wokoma et al., 2014). These lower-rated studies primarily exhibited limitations related to sample representativeness and sample size, or weaknesses in the comparability domain, such as insufficient control for potential confounders. These findings highlight the need for improved study designs and reporting in future research, particularly in ensuring adequate sampling strategies and appropriate adjustment for confounding variables. In the RCTs, the main limitation was potential performance bias due to lack of blinding of participants and personnel. While this methodological shortcoming is often unavoidable in psychological and behavioral interventions—where blinding is inherently difficult to implement—it nevertheless represents a possible source of bias that should be considered when interpreting the results.
4. Discussion
4.1. Interpretation of the Main Results
This systematic review included 98 studies published between 2013 and 2023, conducted in more than 40 countries worldwide. The most common study design was the CSS, followed by the cohort study. In the studies analyzed, the most commonly used tools to assess intimate partner violence against women during pregnancy and the puerperium were the WHO Women’s Health and Life Experiences Questionnaire (WHO-WHLEQ), Abuse Assessment Screen (AAS), WHO Violence Against Women Instrument (VAWI), and Conflict Tactics Scale (CTS/CTS2). The meta-analysis, conducted using a random-effects model, found the following event rates: 10% (95% CI: 8–12%) for physical violence, 26% (95% CI: 22–31%) for psychological violence, 9% (95% CI: 7–11%) for sexual violence, 16% (95% CI: 5–40%) for verbal violence, and 13% (95% CI: 6–27%) for economic violence. Considering all types of violence together, the event rate for any IPV was 26% (95% CI: 22–30%). Sensitivity analyses stratified by WHO regions showed considerable differences in the prevalence of various types of violence, which were generally higher in the African and Eastern Mediterranean regions, particularly for physical and sexual violence. Psychological violence, on the other hand, was more common in the Region of the Americas and the Eastern Mediterranean Region. The analyses that were carried out according to the World Bank’s income classification showed that high-income countries always had the lowest prevalence of any violence.
Despite the rigorous methodological approach and stratified analyses, the findings of this review must be interpreted with caution due to the consistently high heterogeneity observed across all models (I2 > 98%). This reflects substantial variability in study design, population characteristics, IPV definitions, recall periods, and the screening tools adopted. Subgroup analyses by region and income level only partially accounted for this variability. Notably, even within high-income countries, large differences in prevalence persisted, suggesting that cultural, structural, and healthcare system factors may influence IPV disclosure. Therefore, pooled prevalence estimates should be regarded as indicative rather than definitive, underscoring the need for localized, context-sensitive approaches and greater standardization in future research.
4.2. Implications for Policies and Practices
The results of this study show that a substantial proportion of women are affected by intimate partner violence during pregnancy and the puerperium. Despite the common perception of pregnancy as a safe and joyful stage of life, it can be a time of significant stress and threat for over one in four women. Many women are unaware that such violence may occur during this period, as highlighted by a recent study on parental information needs and expectations (Brunelli et al., 2023).
The magnitude of this phenomenon is even more concerning when one considers the domino effect that this condition can have not only on the primary object of violence, i.e., the women and the mother, but also on the fetus and the newborn, given how crucial the first 1000 days of life (Draper et al., 2024) are for the future physical and mental health of the baby. Indeed, violence can have particularly detrimental effects during these early years, as the brain and essential functions—including executive function and self-regulation—develop rapidly and in close interaction with the environment (Nelson & Gabard-Durnam, 2020).
For these reasons, the issue should be more effectively addressed in health promotion and prevention programs during pregnancy and the puerperium, as well as in maternal and child healthcare. This requires well-informed and adequately trained healthcare professionals (Kirk & Bezzant, 2020) throughout pregnancy and infancy, including midwives, nurses, health assistants, obstetricians, anesthesiologists, general practitioners, neonatologists, and pediatricians. Asking women this hard question should be taught to all health professionals since academic courses to improve confidence in working with pregnant women who disclose domestic and intimate partner violence (Smith et al., 2018). In addition, the public health system should enable routine screening for all forms of IPV at every stage of the care pathway (e.g., consultations, examinations, follow-up visits) and across all care settings (e.g., hospitals, clinics, primary care, prevention units).
In low- and middle-income countries, the implementation of IPV screening may face unique structural and sociocultural challenges, including limited privacy during consultations, overburdened healthcare systems, insufficient training of staff, and legal frameworks that may not adequately protect women. These barriers can significantly affect the feasibility of routine screening and the willingness of women to disclose violence, highlighting the need for locally adapted and context-sensitive approaches.
In this sense, the use of validated violence detection tools that are culturally adapted as needed, such as the WHO-WHLEQ, AAS, and VAWI, is essential. However, IPV screening must be conducted with full respect for women’s confidentiality and safety, ensuring that disclosures occur freely and without influence from the potential perpetrator. Opportunities to be explored include access to health services, e.g., blood tests, stress curves for diabetes screening, pap smear and swab collection, vaccinations, and antenatal classes, when the woman is alone more often. Alternatively, private and confidential spaces should be created to facilitate disclosure during other healthcare encounters. Furthermore, public awareness campaigns are needed to reduce stigma and encourage help-seeking among women experiencing IPV during pregnancy and the puerperium.
In any case, close collaboration with other health professionals, social services, anti-violence centers and services, and law enforcement agencies, as well as the establishment of multi-professional intervention protocols, is essential to ensure a rapid and efficient response to any form of violence.
Moreover, IPV during pregnancy and the puerperium should be fully recognized as a public health priority and integrated into national and international guidelines for early identification and response. Furthermore, systematic monitoring and evaluation of interventions to detect and address IPV during this period should be implemented through a dedicated surveillance system.
4.3. Future Directions
This analysis highlights the need for further research to address several outstanding questions and areas for improvement. First, a comparative analysis of existing screening tools should be conducted to determine the most accurate—considering sensitivity, specificity, and positive and negative predictive values—but also acceptable tool for women and health professionals. Secondly, the effectiveness of alternative digital screening tools, such as the use of apps or online questionnaires integrated into telemedicine pathways or remote prenatal care, needs to be further investigated. Thirdly, intervention studies are needed to evaluate the real-world impact of implementing systematic IPV screening during pregnancy and the puerperium, particularly with regard to standard care and maternal and child health outcomes. Finally, the cost-effectiveness of introducing such screening should be assessed from a public health perspective to better inform health policy.
4.4. Strengths and Limitations
This systematic review and meta-analysis have several strengths. First, it is the most comprehensive synthesis to date focusing specifically on validated screening tools for the detection of IPV during pregnancy and the puerperium. The inclusion of 98 studies from over 40 countries ensures broad geographic and cultural representation and increases the generalizability of the results. The rigorous methodology, adherence to PRISMA guidelines, and registration of the protocol in PROSPERO contribute to the transparency and reproducibility of the review. Moreover, the use of subgroup meta-analyses by type of violence (physical, psychological, sexual, verbal, economic, and non-physical) allows for a nuanced understanding of the prevalence of different IPV forms across various settings. The assessment of publication bias and heterogeneity using appropriate statistical methods further strengthens the reliability of the results. While this review cataloged the screening tools used, a critical appraisal of their psychometric properties was not performed, as it was beyond the scope defined in our protocol, and such data are typically reported in validation studies rather than in prevalence-focused research.
However, some limitations should be acknowledged. High heterogeneity (I2 > 90%) was observed in most meta-analyses, likely due to variability in study designs, populations, settings, and screening tools. Although only validated instruments were included, differences in item wording, recall periods, and cultural adaptations may have affected comparability. Most of the included studies were cross-sectional, which limits the ability to infer temporal or causal relationships. One limitation worth mentioning is the potential bias in performance due to the lack of blinding of participants and staff in the included trials. While this methodological shortcoming is often unavoidable in psychological and behavioral interventions—as blinding is inherently difficult to implement—it nevertheless represents a potential source of bias that should be considered when interpreting the results. Although studies were grouped by IPV subtype, the presence of co-occurring IPV forms cannot be excluded. Most studies assessed multiple IPV types, but not all provided data on their overlap. Therefore, prevalence estimates by subtype should be interpreted with caution. Moreover, only articles published in English or Italian were considered, which may introduce linguistic bias. Lastly, publication bias was identified in several outcome categories, which may have led to an over- or underestimation of prevalence rates. Importantly, the consistent presence of high heterogeneity and the limited availability of detailed psychometric data also imply that recommendations on the systematic implementation of IPV screening should be interpreted with caution. While the goal of integrating routine screening into care pathways is essential, real-world application faces ethical, logistical, and contextual barriers, especially in low-resource settings, that require further investigation and system-level preparedness.
While our review focused on empirical applications of IPV screening tools, it is worth noting that some instruments were informed by theoretical constructs, such as the ecological model or stages of change, though this information was not consistently reported across studies. Future research could benefit from a more explicit linkage between theory and tool development or application.
5. Conclusions
This systematic review and meta-analysis highlight the high prevalence of IPV during pregnancy and the puerperium, with psychological, physical, and sexual forms being the most commonly reported. Despite the differences between countries and settings, the findings underline the global relevance of the issue and the urgent need for routine screening in maternal healthcare. Validated tools—such as the WHO-WHLEQ, AAS, and VAWI—have been shown to be widely used and adaptable in different contexts, supporting their implementation in clinical and community settings. However, the heterogeneity of study design and tool characteristics calls for greater standardization in future research. The integration of effective screening tools into antenatal and postnatal care can play a critical role in early detection, timely support, and improved health outcomes for women and their children.
Supplementary Materials
The following supporting information can be downloaded at https://www.mdpi.com/article/10.3390/ejihpe15080161/s1: Figure S1: (a) A forest plot and (b) funnel plot of the random-effects model assessing physical IPV; Figure S2: (a) A forest plot and (b) funnel plot of the random-effects model assessing psychological IPV; Figure S3: (a) A forest plot and (b) funnel plot of the random-effects model assessing sexual IPV; Figure S4: (a) A forest plot and (b) funnel plot of the random-effects model assessing any IPV. Table S1: Full search strategy for each database; Table S2: Summary statistics of random-effects and fixed-effects models; Table S3: Summary statistics of random-effects and fixed-effects models: Sensitivity analyses by WHO region; Table S4: Summary statistics of random-effects and fixed-effects models: Sensitivity analyses by country income level.
Author Contributions
Conceptualization, L.B., L.C. and V.G.; Methodology, L.B. and V.G.; Software, L.B., L.C., F.P. and A.P.; Validation, L.B., F.P., A.P. and V.G.; Formal Analysis, F.P. and A.P.; Investigation, L.B., L.C., F.P. and A.P.; Resources, L.B. and L.C.; Data Curation, F.P. and A.P.; Writing—Original Draft Preparation, L.B., F.P., A.P. and V.G.; Writing—Review and Editing, V.G., M.P., S.B., C.S. and V.B.; Visualization, A.P.; Supervision, V.G. and M.P.; Project Administration, V.G.; Quality Assessment, L.B., F.P., A.P. and V.G. All authors have read and agreed to the published version of the manuscript.
Funding
This research received no external funding.
Data Availability Statement
We will share the research data with MDPI.
Conflicts of Interest
The authors declare no conflicts of interest.
References
- Abdollahi, F., Abhari, F. R., Delavar, M. A., & Charati, J. Y. (2015). Physical violence against pregnant women by an intimate partner, and adverse pregnancy outcomes in Mazandaran Province, Iran. Journal of Family & Community Medicine, 22(1), 13–18. [Google Scholar] [CrossRef]
- Abebe Abate, B., Admassu Wossen, B., & Tilahun Degfie, T. (2016). Determinants of intimate partner violence during pregnancy among married women in Abay Chomen district, Western Ethiopia: A community based cross sectional study. BMC Women’s Health, 16, 16. [Google Scholar] [CrossRef]
- Abujilban, S., Mrayan, L., & Damra, J. K. (2022). Intimate partner violence among Jordanian pregnant women and its predictors. Nursing Open, 9(1), 267–276. [Google Scholar] [CrossRef]
- Alhalal, H., Alhalal, E., Alhaizan, M., Alghuson, L., Alahmari, M., Alkhayyal, N., & Akkour, K. (2022). Intimate partner violence and its associations with adverse pregnancy outcomes in Saudi Arabia: A cross-sectional study. Journal of Interpersonal Violence, 37(15–16), NP14457–NP14484. [Google Scholar] [CrossRef]
- Alhusen, J. L., Frohman, N., & Purcell, G. (2015). Intimate partner violence and suicidal ideation in pregnant women. Archives of Women’s Mental Health, 18(4), 573–578. [Google Scholar] [CrossRef]
- Almeida, F. S. J., Coutinho, E. C., Duarte, J. C., Chaves, C. M. B., Nelas, P. A. B., Amaral, O. P., & Parreira, V. C. (2017). Domestic violence in pregnancy: Prevalence and characteristics of the pregnant woman. Journal of Clinical Nursing, 26(15–16), 2417–2425. [Google Scholar] [CrossRef]
- Andreasen, K., Zapata-Calvente, A. L., Martín-de-Las-Heras, S., Bueno-Cavanillas, A., Schei, B., Dokkedahl, S., de León de León, S., Fernandez Lopez, R., Oviedo-Gutiérrez, A., Ankerstjerne, L. B. S., Megías, J. L., Khan, K. S., Rasch, V., & Linde, D. S. (2023). Video consultations and safety App targeting pregnant women exposed to intimate partner violence in Denmark and Spain: Nested cohort intervention study (STOP study). JMIR Formative Research, 7, e38563. [Google Scholar] [CrossRef] [PubMed]
- Antoniou, E., & Iatrakis, G. (2019). Domestic violence during pregnancy in Greece. International Journal of Environmental Research and Public Health, 16(21), 4222. [Google Scholar] [CrossRef] [PubMed]
- Asiimwe, R., Tseng, C. F., Murray, S. M., Ojuka, J. C., Arima, E. G., & Familiar-Lopez, I. (2022). Association of pregnancy-related stigma and intimate partner violence with anxiety and depression among adolescents. Journal of Adolescence, 94(2), 270–275. [Google Scholar] [CrossRef] [PubMed]
- Atilla, R., Yavuz, A., & Kocaöz, S. (2023). Exposure of pregnant women to intimate partner violence during the Pandemic in Turkey and influencing factors. Journal of Community Health Nursing, 40(1), 1–13. [Google Scholar] [CrossRef]
- Avcı, S., Ortabag, T., Ulusal, H., & Taysi, S. (2023). The effect of domestic violence during pregnancy on cortisol hormone release, breastfeeding, and Newborn. Journal of Interpersonal Violence, 38(1–2), NP905–NP930. [Google Scholar] [CrossRef]
- Baǧcioǧlu, E., Vural, M., Karababa, I. F., Akşin, M., & Selek, S. (2014). Decrease in domestic violence during pregnancy: A study from Turkey. Journal of Interpersonal Violence, 29(2), 203–216. [Google Scholar] [CrossRef] [PubMed]
- Bahrami-Vazir, E., Mohammad-Alizadeh-Charandabi, S., Ghelichkhani, F., Mohammadi, A., & Mirghafourvand, M. (2020). Intimate partner abuse among couples during pregnancy and its predictors as reported by pregnant women visiting governmental health care centres in Tabriz, Iran. Journal of Biosocial Science, 52(3), 400–411. [Google Scholar] [CrossRef] [PubMed]
- Belay, S., Astatkie, A., Emmelin, M., & Hinderaker, S. G. (2019). Intimate partner violence and maternal depression during pregnancy: A community-based cross-sectional study in Ethiopia. PLoS ONE, 14(7), e0220003. [Google Scholar] [CrossRef]
- Berg, A. (2016). The importance of the first 1000 days of life. Journal of Child and Adolescent Mental Health, 28(2), iii–vi. [Google Scholar] [CrossRef]
- Bernstein, M., Phillips, T., Zerbe, A., McIntyre, J. A., Brittain, K., Petro, G., Abrams, E. J., & Myer, L. (2016). Intimate partner violence experienced by HIV-infected pregnant women in South Africa: A cross-sectional study. BMJ Open, 6(8), e011999. [Google Scholar] [CrossRef]
- Bikinesi, L. T., Mash, R., & Joyner, K. (2017). Prevalence of intimate partner violence and associated factors amongst women attending antenatal care at Outapi clinic, Namibia: A descriptive survey. African Journal of Primary Health Care and Family Medicine, 9(1). [Google Scholar] [CrossRef] [PubMed]
- Boddy, J., Harris, C., O’Leary, P., Hohenhaus, M., Bond, C., Panagiotaros, C., & Holdsworth, L. (2024). Intersections of intimate partner violence and natural disasters: A systematic review of the quantitative evidence. Trauma, Violence & Abuse, 25(4), 3131–3148. [Google Scholar] [CrossRef]
- Boonnate, N., Tiansawad, S., Chareonsanti, J., & Thungjaroenkul, P. (2015). Factors predicting intimate partner violence during pregnancy among Thai Pregnant Women. Pacific Rim International Journal of Nursing Research, 19, 218–231. [Google Scholar]
- Brunelli, L., Bussolaro, S., Dobrina, R., De Vita, C., Mazzolini, E., Verardi, G., Degrassi, M., Piazza, M., Cassone, A., Starec, A., Ricci, G., Zanchiello, S., & Stampalija, T. (2023). Exploring the needs and expectations of expectant and new parents for an mHealth application to support the first 1000 days of life: Steps toward a co-design approach. International Journal of Environmental Research and Public Health, 20(2), 1227. [Google Scholar] [CrossRef]
- Caprara, G. L., Bernardi, J. R., Bosa, V. L., Da Silva, C. H., & Goldani, M. Z. (2020). Does domestic violence during pregnancy influence the beginning of complementary feeding? BMC Pregnancy and Childbirth, 20(1), 447. [Google Scholar] [CrossRef] [PubMed]
- Chen, P. H., Rovi, S., Vega, M. L., Barrett, T., Pan, K. Y., & Johnson, M. S. (2017). Birth outcomes in relation to intimate partner violence. Journal of the National Medical Association, 109(4), 238–245. [Google Scholar] [CrossRef]
- Debono, C., Borg Xuereb, R., Scerri, J., & Camilleri, L. (2017). Intimate partner violence: Psychological and verbal abuse during pregnancy. Journal of Clinical Nursing, 26(15–16), 2426–2438. [Google Scholar] [CrossRef] [PubMed]
- de Lima, L. H. M., Mattar, R., & Abrahão, A. R. (2016). Domestic violence in pregnant women: A study conducted in the postpartum period of adolescents and adults. Journal of Interpersonal Violence, 34(6), 1183–1197. [Google Scholar] [CrossRef]
- Dinmohammadi, S., Dadashi, M., Ahmadnia, E., Janani, L., & Kharaghani, R. (2021). The effect of solution-focused counseling on violence rate and quality of life of pregnant women at risk of domestic violence: A randomized controlled trial. BMC Pregnancy and Childbirth, 21(1), 221. [Google Scholar] [CrossRef]
- Draper, C. E., Yousafzai, A. K., McCoy, D. C., Cuartas, J., Obradović, J., Bhopal, S., Fisher, J., Jeong, J., Klingberg, S., Milner, K., Pisani, L., Roy, A., Seiden, J., Sudfeld, C. R., Wrottesley, S. V., Fink, G., Nores, M., Tremblay, M. S., & Okely, A. D. (2024). The next 1000 days: Building on early investments for the health and development of young children. The Lancet, 404(10467), 2094–2116. [Google Scholar] [CrossRef]
- Egger, M., Davey Smith, G., Schneider, M., & Minder, C. (1997). Bias in meta-analysis detected by a simple, graphical test. BMJ (Clinical Research Ed.), 315(7109), 629–634. [Google Scholar] [CrossRef]
- Elkhateeb, R., Abdelmeged, A., Ahmad, S., Mahran, A., Abdelzaher, W. Y., Welson, N. N., Al-Zahrani, Y., Alhuwaydi, A. M., & Bahaa, H. A. (2021). Impact of domestic violence against pregnant women in Minia governorate, Egypt: A cross sectional study. BMC Pregnancy and Childbirth, 21(1), 535. [Google Scholar] [CrossRef]
- Farrokh-Eslamlou, H., Sima, O., & Negar, H. (2014). Intimate partner violence during pregnancy in Urmia, Iran in 2012. Journal of Forensic and Legal Medicine, 24, 28–32. [Google Scholar] [CrossRef]
- Fekadu, E., Yigzaw, G., Gelaye, K. A., Ayele, T. A., Minwuye, T., Geneta, T., & Teshome, D. F. (2018). Prevalence of domestic violence and associated factors among pregnant women attending antenatal care service at University of Gondar Referral Hospital, Northwest Ethiopia. BMC Women’s Health, 18(1), 138. [Google Scholar] [CrossRef] [PubMed]
- Ferdos, J., Rahman, M. M., Jesmin, S. S., Rahman, M. A., & Sasagawa, T. (2018). Association between intimate partner violence during pregnancy and maternal pregnancy complications among recently delivered women in Bangladesh. Aggressive Behavior, 44(3), 294–305. [Google Scholar] [CrossRef]
- Field, S., Onah, M., van Heyningen, T., & Honikman, S. (2018). Domestic and intimate partner violence among pregnant women in a low resource setting in South Africa: A facility-based, mixed methods study. BMC Women’s Health, 18(1), 119. [Google Scholar] [CrossRef]
- Fisher, J., Tran, T. D., Biggs, B., Dang, T. H., Nguyen, T. T., & Tran, T. (2013). Intimate partner violence and perinatal common mental disorders among women in rural Vietnam. International Health, 5(1), 29–37. [Google Scholar] [CrossRef]
- Fonseca-Machado, M. de O., Monteiro, J. C. dos S., Haas, V. J., de Vilhena, A. C. F. A., & Gomes-Sponholz, F. (2015). Intimate partner violence and anxiety disorders in pregnancy: The importance of vocational training of the nursing staff in facing them. Revista Latino-Americana de Enfermagem, 23(5), 855–864. [Google Scholar] [CrossRef] [PubMed]
- Gashaw, B. T., Magnus, J. H., & Schei, B. (2019). Intimate partner violence and late entry into antenatal care in Ethiopia. Women and Birth, 32(6), e530–e537. [Google Scholar] [CrossRef]
- Gebrekristos, L. T., Groves, A. K., McNaughton Reyes, L., Moodley, D., Beksinska, M., & Maman, S. (2023). Intimate partner violence victimization during pregnancy increases risk of postpartum depression among urban adolescent mothers in South Africa. Reproductive Health, 20(1), 68. [Google Scholar] [CrossRef] [PubMed]
- Gelaye, B., Do, N., Avila, S., Carlos Velez, J., Zhong, Q. Y., Sanchez, S. E., Lee Peterlin, B., & Williams, M. A. (2016). Childhood abuse, intimate partner violence and risk of migraine among pregnant women: An epidemiologic study. Headache, 56(6), 976–986. [Google Scholar] [CrossRef]
- Gharacheh, M., Azadi, S., Mohammadi, N., Montazeri, S., & Khalajinia, Z. (2015). Domestic violence during pregnancy and women’s health-related quality of life. Global Journal of Health Science, 8(2), 27–34. [Google Scholar] [CrossRef] [PubMed]
- Gómez Aristizábal, L. Y., Confortin, S. C., Batista, R. F. L., de Britto e Alves, M. T. S. S., Simões, V. M. F., & da Silva, A. A. M. (2022). Association between violence and depression during pregnancy with perinatal outcomes: A moderated mediation analysis. BMC Pregnancy and Childbirth, 22(1), 801. [Google Scholar] [CrossRef]
- Gul, S., Zeb, L., & Ruby Faiz, N. (2013). Frequency of different types of domestic violence in antenatal patients. Journal of Postgraduate Medical Institute, 27, 331–335. [Google Scholar]
- Higgins, J. P. T., Thompson, S. G., Deeks, J. J., & Altman, D. G. (2003). Measuring inconsistency in meta-analyses. BMJ (Clinical Research Ed.), 327(7414), 557–560. [Google Scholar] [CrossRef]
- Hooker, L., & Taft, A. (2021). Who is being screened for intimate partner violence in primary care settings? Secondary data analysis of a cluster randomised trial. Maternal and Child Health Journal, 25(10), 1554–1561. [Google Scholar] [CrossRef] [PubMed]
- Ilori, O. R., Olugbenga-Bello, A. I., & Awodutire, P. O. (2023). Is intimate partner violence more common among HIV-positive pregnant women? A comparative study in Oyo State, Nigeria. Journal of the International Association of Providers of AIDS Care, 22, 23259582231151844. [Google Scholar] [CrossRef] [PubMed]
- Islam, M. J., Broidy, L., Mazerolle, P., Baird, K., & Mazumder, N. (2021). Exploring intimate partner violence before, during, and after pregnancy in Bangladesh. Journal of Interpersonal Violence, 36(7–8), 3584–3612. [Google Scholar] [CrossRef]
- Iyengar, R., Bondade, S., & Raj, R. (2021). A cross sectional hospital-based study of intimate partner violence and psychiatric comorbidity in pregnancy. Archives of Psychiatry and Psychotherapy, 22(4), 12–21. [Google Scholar] [CrossRef]
- Kana, M. A., Safiyan, H., Yusuf, H. E., Musa, A. S. M., Richards-Barber, M., Harmon, Q. E., & London, S. J. (2020). Association of intimate partner violence during pregnancy and birth weight among term births: A cross-sectional study in Kaduna, Northwestern Nigeria. BMJ Open, 10(12), e036320. [Google Scholar] [CrossRef]
- Kataoka, Y., & Imazeki, M. (2018). Experiences of being screened for intimate partner violence during pregnancy: A qualitative study of women in Japan. BMC Women’s Health, 18(1), 75. [Google Scholar] [CrossRef] [PubMed]
- Khaironisak, H., Zaridah, S., Hasanain, F. G., & Zaleha, M. I. (2017). Prevalence, risk factors, and complications of violence against pregnant women in a hospital in Peninsular Malaysia. Women and Health, 57(8), 919–941. [Google Scholar] [CrossRef]
- Khatlani, K., Azam, I., Baqir, M., Mehmood, A., & Pasha-Razzak, O. (2023). Exploring the relationship between intimate partner violence during pregnancy and stillbirths. Injury, 54, 110477. [Google Scholar] [CrossRef]
- Kian, F. R., Alikamali, M., Aliei, M. M., & Mehran, A. (2019). Patterns of intimate partner violence: A study of female victims in urban versus rural areas of southeast Iran. Shiraz E Medical Journal, 20(10), e69680. [Google Scholar] [CrossRef]
- Kirk, L., & Bezzant, K. (2020). What barriers prevent health professionals screening women for domestic abuse? A literature review. British Journal of Nursing (Mark Allen Publishing), 29(13), 754–760. [Google Scholar] [CrossRef]
- Kita, S., Haruna, M., Hikita, N., Matsuzaki, M., & Kamibeppu, K. (2017). Development of the Japanese version of the Woman Abuse Screening Tool-Short. Nursing and Health Sciences, 19(1), 35–43. [Google Scholar] [CrossRef]
- Kita, S., Haruna, M., Matsuzaki, M., & Kamibeppu, K. (2016). Associations between intimate partner violence (IPV) during pregnancy, mother-to-infant bonding failure, and postnatal depressive symptoms. Archives of Women’s Mental Health, 19(4), 623–634. [Google Scholar] [CrossRef]
- Koirala, S. (2022). Intimate Partner Violence and Adverse Pregnancy Outcomes. Kathmandu University Medical Journal, 20, 290–294. [Google Scholar] [CrossRef]
- Krishnamurti, T., Davis, A. L., Quinn, B., Castillo, A. F., Martin, K. L., & Simhan, H. N. (2021). Mobile remote monitoring of intimate partner violence among pregnant patients during the COVID-19 shelter-in-place Order: Quality improvement pilot study. Journal of Medical Internet Research, 23(2), e22790. [Google Scholar] [CrossRef]
- Lee, J. Y., June, K. J., Khang, Y. H., Kim, Y. M., & Cho, H. J. (2023). Prevalence of intimate partner violence victimization among Korean perinatal women and associated factors. International Journal of Gynecology and Obstetrics, 161(2), 649–654. [Google Scholar] [CrossRef] [PubMed]
- Lima, L. da S., do Carmo, T. O. A., de Souza Brito Neto, C., & da Cunha Pena, J. L. (2020). Depressive symptoms in pregnant women and intimate partner violence: A cross-sectional study. Enfermeria Global, 19(4), 31–45. [Google Scholar] [CrossRef]
- Luhumyo, L., Mwaliko, E., Tonui, P., Getanda, A., & Hann, K. (2020). The magnitude of intimate partner violence during pregnancy in Eldoret, Kenya: Exigency for policy action. Health Policy and Planning, 35, I7–I18. [Google Scholar] [CrossRef]
- Lukasse, M., Schroll, A. M., Ryding, E. L., Campbell, J., Karro, H., Kristjansdottir, H., Laanpere, M., Steingrimsdottir, T., Tabor, A., Temmerman, M., Van Parys, A. S., Wangel, A. M., & Schei, B. (2014). Prevalence of emotional, physical and sexual abuse among pregnant women in six European countries. Acta Obstetricia et Gynecologica Scandinavica, 93(7), 669–677. [Google Scholar] [CrossRef]
- Mahenge, B., Likindikoki, S., Stöckl, H., & Mbwambo, J. (2013). Intimate partner violence during pregnancy and associated mental health symptoms among pregnant women in Tanzania: A cross-sectional study. BJOG: An International Journal of Obstetrics and Gynaecology, 120(8), 940–947. [Google Scholar] [CrossRef]
- Martin-de-las-Heras, S., Velasco, C., de Dios Luna, J., & Martin, A. (2015). Unintended pregnancy and intimate partner violence around pregnancy in a population-based study. Women and Birth, 28(2), 101–105. [Google Scholar] [CrossRef]
- Martin-de-las-Heras, S., Velasco, C., Luna-del-Castillo, J. D. D., & Khan, K. S. (2019). Breastfeeding avoidance following psychological intimate partner violence during pregnancy: A cohort study and multivariate analysis. BJOG: An International Journal of Obstetrics and Gynaecology, 126(6), 778–783. [Google Scholar] [CrossRef]
- McKelvie, S., Stocker, R., Manwo, M. M., Manwo, A., Sala, T., Leodoro, B., Tran, T., & Fisher, J. (2021). Intimate partner violence and health outcomes experienced by women who are pregnant: A cross-sectional survey in Sanma Province, Vanuatu. The Lancet Regional Health—Western Pacific, 16, 100272. [Google Scholar] [CrossRef] [PubMed]
- Meinhart, M., Seff, I., Troy, K., McNelly, S., Vahedi, L., Poulton, C., & Stark, L. (2021). Identifying the impact of intimate partner violence in humanitarian settings: Using an ecological framework to review 15 years of evidence. International Journal of Environmental Research and Public Health, 18(13), 6963. [Google Scholar] [CrossRef] [PubMed]
- Metreau, E., Young, K. E., & Eapen, S. G. (2024, July 1). World Bank country classifications by income level for 2024–2025. Available online: https://blogs.worldbank.org/en/opendata/world-bank-country-classifications-by-income-level-for-2024-2025 (accessed on 10 May 2025).
- Mohamed, A. A., Mohamed Fahmy, A., Amin Hassan Fahmy El-Sabaa, H., & Abd-Allah Oweedah, N. (2013). Intimate partner violence during pregnancy and its adverse outcomes. Life Science Journal, 10(3), 1097–8135. Available online: https://www.jofamericanscience.org/journals/am-sci/am0908/021_19509am0908_142_150.pdf (accessed on 10 May 2025).
- Musa, A., Chojenta, C., & Loxton, D. (2020). High rate of partner violence during pregnancy in eastern Ethiopia: Findings from a facility-based study. PLoS ONE, 15(6), e0233907. [Google Scholar] [CrossRef]
- Muzrif, M. M., Perera, D., Wijewardena, K., Schei, B., & Swahnberg, K. (2018). Domestic violence: A cross-sectional study among pregnant women in different regions of Sri Lanka. BMJ Open, 8(2), e017745. [Google Scholar] [CrossRef]
- Naghizadeh, S., Mirghafourvand, M., & Mohammadirad, R. (2021). Domestic violence and its relationship with quality of life in pregnant women during the outbreak of COVID-19 disease. BMC Pregnancy and Childbirth, 21(1), 88. [Google Scholar] [CrossRef] [PubMed]
- Nelson, C. A., & Gabard-Durnam, L. J. (2020). Early adversity and critical periods: Neurodevelopmental consequences of violating the expectable environment. Trends in Neurosciences, 43(3), 133–143. [Google Scholar] [CrossRef]
- Nhi, T. T., Hanh, N. T. T., Hinh, N. D., Van Toan, N., Gammeltoft, T., Rasch, V., & Meyrowitsch, D. W. (2019). Intimate partner violence among pregnant women and postpartum depression in Vietnam: A longitudinal study. BioMed Research International, 2019, 4717485. [Google Scholar] [CrossRef]
- Njoku, I. V., Enebe, J. T., & Dim, C. C. (2021). Magnitude and predictors of female domestic abuse in pregnancy in a patriarchal african society: A cross-sectional study of pregnant women in Enugu, South East Nigeria. Pan African Medical Journal, 40. [Google Scholar]
- Nongrum, R., Thomas, E., Lionel, J., & Jacob, K. S. (2014). Domestic violence as a risk factor for maternal depression and neonatal outcomes: A hospital-based cohort study. Indian Journal of Psychological Medicine, 36(2), 179–181. [Google Scholar] [CrossRef]
- Okunola, T. O., Awoleke, J. O., Olofinbiyi, B. A., Rosiji, B. O., Omoya, S., & Olubiyi, A. O. (2021). Adverse birth outcomes among women exposed to intimate partner violence in pregnancy in Ikere-Ekiti, South-west Nigeria: A prospective cohort study. European Journal of Obstetrics and Gynecology and Reproductive Biology, 267, 186–191. [Google Scholar] [CrossRef]
- Omoronyia, O., Ayuk, A., Nwafor, K., & Legogie, A. (2020). Association between Intimate Partner Violence and Mental Health Status During Pregnancy: A Survey among Pregnant Women in Calabar, Nigeria. Indian Journal of Public Health Research & Development, 11(11), 248–254. [Google Scholar] [CrossRef]
- Ottawa Hospital Research Institute. (2000). The Newcastle-Ottawa Scale (NOS) for assessing the quality of nonrandomised studies in meta-analyses. Available online: https://www.ohri.ca/programs/clinical_epidemiology/oxford.asp (accessed on 10 May 2025).
- Page, M. J., McKenzie, J. E., Bossuyt, P. M., Boutron, I., Hoffmann, T. C., Mulrow, C. D., Shamseer, L., Tetzlaff, J. M., Akl, E. A., Brennan, S. E., Chou, R., Glanville, J., Grimshaw, J. M., Hróbjartsson, A., Lalu, M. M., Li, T., Loder, E. W., Mayo-Wilson, E., McDonald, S., … Moher, D. (2021). The PRISMA 2020 statement: An updated guideline for reporting systematic reviews. BMJ, 372, n71. [Google Scholar] [CrossRef]
- Priya, A., Chaturvedi, S., Bhasin, S., Bhatia, M., & Radhakrishnan, G. (2019). Are pregnant women also vulnerable to domestic violence? A community based enquiry for prevalence and predictors of domestic violence among pregnant women. Journal of Family Medicine and Primary Care, 8(5), 1575. [Google Scholar] [CrossRef] [PubMed]
- Pun, K. D., Rishal, P., Darj, E., Infanti, J. J., Shrestha, S., Lukasse, M., Schei, B., Lund, R., Koju, R., Wijewardene, K., Perera, D. C., Muzrif, M. M., Swahnberg, K., & Campbell, J. C. (2019). Domestic violence and perinatal outcomes—A prospective cohort study from Nepal. BMC Public Health, 19(1), 671. [Google Scholar] [CrossRef] [PubMed]
- Pun, K. D., Rishal, P., Infanti, J. J., Bjørngaard, J. H., Koju, R., Schei, B., & Darj, E. (2018). Exposure to domestic violence influences pregnant women’s preparedness for childbirth in Nepal: A cross-sectional study. PLoS ONE, 13(7), e0200234. [Google Scholar] [CrossRef] [PubMed]
- Rasch, V., Van, T. N., Nguyen, H. T. T., Manongi, R., Mushi, D., Meyrowitsch, D. W., Gammeltoft, T., & Wu, C. S. (2018). Intimate partner violence (IPV): The validity of an IPV screening instrument utilized among pregnant women in Tanzania and Vietnam. PLoS ONE, 13(2), e0190856. [Google Scholar] [CrossRef]
- Rees, S., Mohsin, M., Tay, A. K., Soares, E., Tam, N., da Costa, Z., Tol, W., & Silove, D. (2017). Associations between bride price stress and intimate partner violence amongst pregnant women in Timor-Leste. Globalization and Health, 13(1), 66. [Google Scholar] [CrossRef]
- Rees, S. J., Tol, W., Mohammad, M., Tay, A., Tam, N., dos Reis, N., da Costa, E., Soares, C., & Silove, D. (2016). A high-risk group of pregnant women with elevated levels of conflict-related trauma, intimate partner violence, symptoms of depression and other forms of mental distress in post-conflict Timor-Leste. Translational Psychiatry, 6, e725. [Google Scholar] [CrossRef]
- Ribeiro, M. R. C., Da Silva, A. A. M., De Britto E Alves, M. T. S. S., Batista, R. F. L., Ribeiro, C. C. C., Schraiber, L. B., Bettiol, H., & Barbieri, M. A. (2017). Effects of socioeconomic status and social support on violence against pregnant women: A structural equation modeling analysis. PLoS ONE, 12(1), e0170469. [Google Scholar] [CrossRef]
- Ribeiro, S. V. O., Batista, R. F. L., Ribeiro, M. R. C., Pessoa, K. C., Simões, V. M. F., De Figueiredo, F. P., & Bettiol, H. (2019). Violence and depressive symptoms during pregnancy in brisa cohort: Using structural equation modeling approach. Revista Brasileira de Saude Materno Infantil, 19(1), 173–184. [Google Scholar] [CrossRef]
- Rishal, P., Pun, K. D., Schei, B., Bhandari, B., Joshi, S. K., Swahnberg, K., Infanti, J. J., Lukasse, M., Bjørngaard, J. H., Darj, E., Lund, R., Koju, R., Wijewardene, K., Perera, D. C., Muzrif, M. M. M., & Campbell, J. C. (2020). Improving safety among pregnant women reporting domestic violence in Nepal—A pilot study. International Journal of Environmental Research and Public Health, 17(7), 2268. [Google Scholar] [CrossRef]
- Samal, S., & Poornesh, S. (2022). Prevalence of Domestic Violence among Pregnant Women: A Cross-sectional Study from a Tertiary Care Centre, Puducherry, India. Journal of Clinical and Diagnostic Research, 16, 6. [Google Scholar] [CrossRef]
- Sapkota, D., Anderson, D., Saito, A., & Baird, K. (2021). Domestic and family violence and its association with mental health among pregnant women attending antenatal care in a tertiary hospital of Eastern Nepal. Journal of Nepal Health Research Council, 19(1), 115–121. [Google Scholar] [CrossRef] [PubMed]
- Sánchez, O. D. R., Tanaka Zambrano, E., Dantas-Silva, A., Bonás, M. K., Grieger, I., Machado, H. C., & Surita, F. G. (2023). Domestic violence: A cross-sectional study among pregnant and postpartum women. Journal of Advanced Nursing, 79(4), 1525–1539. [Google Scholar] [CrossRef] [PubMed]
- Shamu, S., Abrahams, N., Zarowsky, C., Shefer, T., & Temmerman, M. (2013). Intimate partner violence during pregnancy in Zimbabwe: A cross-sectional study of prevalence, predictors and associations with HIV. Tropical Medicine and International Health, 18(6), 696–711. [Google Scholar] [CrossRef]
- Shamu, S., Zarowsky, C., Shefer, T., Temmerman, M., & Abrahams, N. (2014). Intimate partner violence after disclosure of HIV test results among pregnant women in Harare, Zimbabwe. PLoS ONE, 9(10), e109447. [Google Scholar] [CrossRef]
- Shannon, L., Nash, S., & Jackson, A. (2016). Examining intimate partner violence and health factors among rural appalachian pregnant women. Journal of Interpersonal Violence, 31(15), 2622–2640. [Google Scholar] [CrossRef]
- Shrestha, M., Shrestha, S., & Shrestha, B. (2016). Domestic violence among antenatal attendees in a Kathmandu hospital and its associated factors: A cross-sectional study. BMC Pregnancy and Childbirth, 16(1), 360. [Google Scholar] [CrossRef][Green Version]
- Silva, R. de P., & Leite, F. M. C. (2019). Intimate partner violence during pregnancy: Prevalence and associated factors. Revista de Saude Publica, 54(97), 1–11. [Google Scholar] [CrossRef]
- Silva, R. de P., Leite, F. M. C., Dos Santos Netto, E. T., & Deslandes, S. F. (2022). Intimate partner violence during pregnancy: A focus on partner characteristics. In Ciencia e Saude Coletiva (Vol. 27, Issue 5, pp. 1873–1882). Associacao Brasileira de Pos—Graduacao em Saude Coletiva. [Google Scholar] [CrossRef]
- Smith, R., Wight, R., & Homer, C. S. E. (2018). “Asking the hard questions”: Improving midwifery students’ confidence with domestic violence screening in pregnancy. Nurse Education in Practice, 28, 27–33. [Google Scholar] [CrossRef] [PubMed]
- Sobhani, S., Niknami, M., Mirhaghjou, S. N., & Roshan, Z. A. e. (2018). Domestic violence and its maternal and fetal consequences among pregnant women. Journal of Holistic Nursing and Midwifery, 28(2), 143–149. [Google Scholar] [CrossRef]
- Sulaiman, B., Omonua, K. I., Opadiran, O. R., & Yabagi, A. I. (2021). Intimate partner violence among obstetric population at university of Abuja teaching hospital, Abuja, Nigeria. Nigerian Postgraduate Medical Journal, 28(4), 255–258. [Google Scholar] [CrossRef] [PubMed]
- Sussmann, L. G. P. R., Faisal-Cury, A., & Pearson, R. (2020). Depression as a mediator between intimate partner violence and postpartum sexual issues: A structural analysis. Revista Brasileira de Epidemiologia, 23, e200048. [Google Scholar] [CrossRef] [PubMed]
- Suzuki, S., Yamada, F., & Eto, M. (2018). Influence of intimate partner violence on mental status in Japanese women during the first trimester of pregnancy. Journal of Maternal-Fetal and Neonatal Medicine, 31(11), 1524–1526. [Google Scholar] [CrossRef]
- Takelle, G. M., Nakie, G., Rtbey, G., & Melkam, M. (2023). Depressive symptoms and associated factors among pregnant women attending antenatal care at Comprehensive Specialized Hospitals in Northwest Ethiopia, 2022: An institution-based cross-sectional study. Frontiers in Psychiatry, 14, 1148638. [Google Scholar] [CrossRef]
- United Nations. (1994). Declaration on the elimination of violence against women proclaimed by general assembly resolution 48/104 of 20 December. Available online: https://www.un.org/en/genocideprevention/documents/atrocity-crimes/Doc.21_declaration%20elimination%20vaw.pdf (accessed on 12 May 2025).
- United Nations. (2015). Transforming our world: The 2030 Agenda for sustainable development: Resolution/adopted by the general assembly. United Nations. [Google Scholar]
- UN Women. (2024). Types of violence against women and girls. Available online: https://www.unwomen.org/en/articles/faqs/faqs-types-of-violence-against-women-and-girls (accessed on 13 May 2025).
- Utaile, M. M., Ahmed, A. A., & Yalew, A. W. (2023). Multilevel analysis of factors for intimate partner violence during pregnancy in Gammo Goffa Zone, South Ethiopia: A community based study. Frontiers in Public Health, 11, 1122041. [Google Scholar] [CrossRef]
- Uzoho, I. C., Baptiste-Roberts, K., Animasahun, A., & Bronner, Y. (2023). The impact of COVID-19 pandemic on Intimate Partner Violence (IPV) against women. International Journal of Social Determinants of Health and Health Services, 53(4), 494–507. [Google Scholar] [CrossRef]
- Velasco, C., Luna, J. D., Martin, A., Caño, A., & Martin-De-las-heras, S. (2014). Intimate partner violence against Spanish pregnant women: Application of two screening instruments to assess prevalence and associated factors. Acta Obstetricia et Gynecologica Scandinavica, 93(10), 1050–1058. [Google Scholar] [CrossRef]
- Wangel, A. M., Ryding, E. L., Schei, B., Östman, M., Lukasse, M., Temmerman, M., Steingrímsdóttir, T., Tabor, A., Karro, H., Van, A. S., Kristjánsdóttir, H., Schroll, A. M., & Laanpere, M. (2016). Emotional, physical, and sexual abuse and the association with symptoms of depression and posttraumatic stress in a multi-ethnic pregnant population in southern Sweden. Sexual and Reproductive Healthcare, 9, 7–13. [Google Scholar] [CrossRef] [PubMed]
- Watson, L. F., & Taft, A. J. (2013). Intimate partner violence and the association with very preterm birth. Birth, 40(1), 17–23. [Google Scholar] [CrossRef]
- Wirtz, A. L., Pham, K., Glass, N., Loochkartt, S., Kidane, T., Cuspoca, D., Rubenstein, L. S., Singh, S., & Vu, A. (2014). Gender-based violence in conflict and displacement: Qualitative findings from displaced women in Colombia. Conflict and Health, 8(1), 10. [Google Scholar] [CrossRef]
- Wokoma, T. T., Jampala, M., Bexhell, H., Guthrie, K., & Lindow, S. (2014). A comparative study of the prevalence of domestic violence in women requesting a termination of pregnancy and those attending the antenatal clinic. BJOG: An International Journal of Obstetrics and Gynaecology, 121(5), 627–633. [Google Scholar] [CrossRef]
- World Health Organization. (n.d.). Regional offices. Available online: https://www.who.int/about/who-we-are/regional-offices (accessed on 18 March 2025).
- Zapata-Calvente, A. L., Megías, J. L., Velasco, C., Caño, A., Khan, K. S., Rubio, L., & Martín-De-Las-Heras, S. (2022). Screening for intimate partner violence during pregnancy: A test accuracy study. European Journal of Public Health, 32(3), 429–435. [Google Scholar] [CrossRef]
- Zheng, B., Zhu, X., Hu, Z., Zhou, W., Yu, Y., Yin, S., & Xu, H. (2020). The prevalence of domestic violence and its association with family factors: A cross-sectional study among pregnant women in urban communities of Hengyang City, China. BMC Public Health, 20(1), 620. [Google Scholar] [CrossRef] [PubMed]
- Zou, S., Zhang, Y., Cao, Y., & Zhang, Y. (2015). Correlation of maternal abuse during pregnancy with infant temperament and development. Archives of Disease in Childhood, 100(10), 938–943. [Google Scholar] [CrossRef] [PubMed]
Disclaimer/Publisher’s Note: The statements, opinions and data contained in all publications are solely those of the individual author(s) and contributor(s) and not of MDPI and/or the editor(s). MDPI and/or the editor(s) disclaim responsibility for any injury to people or property resulting from any ideas, methods, instructions or products referred to in the content. |
© 2025 by the authors. Published by MDPI on behalf of the University Association of Education and Psychology. Licensee MDPI, Basel, Switzerland. This article is an open access article distributed under the terms and conditions of the Creative Commons Attribution (CC BY) license (https://creativecommons.org/licenses/by/4.0/).