Application of Cylindrical Fin to Improve Heat Transfer Rate in Micro Heat Exchangers Containing Nanofluid under Magnetic Field
Abstract
1. Introduction
2. Mathematical Model Representation
2.1. Physical Model, Governing Equations, and Boundary Constraints
2.2. Validation
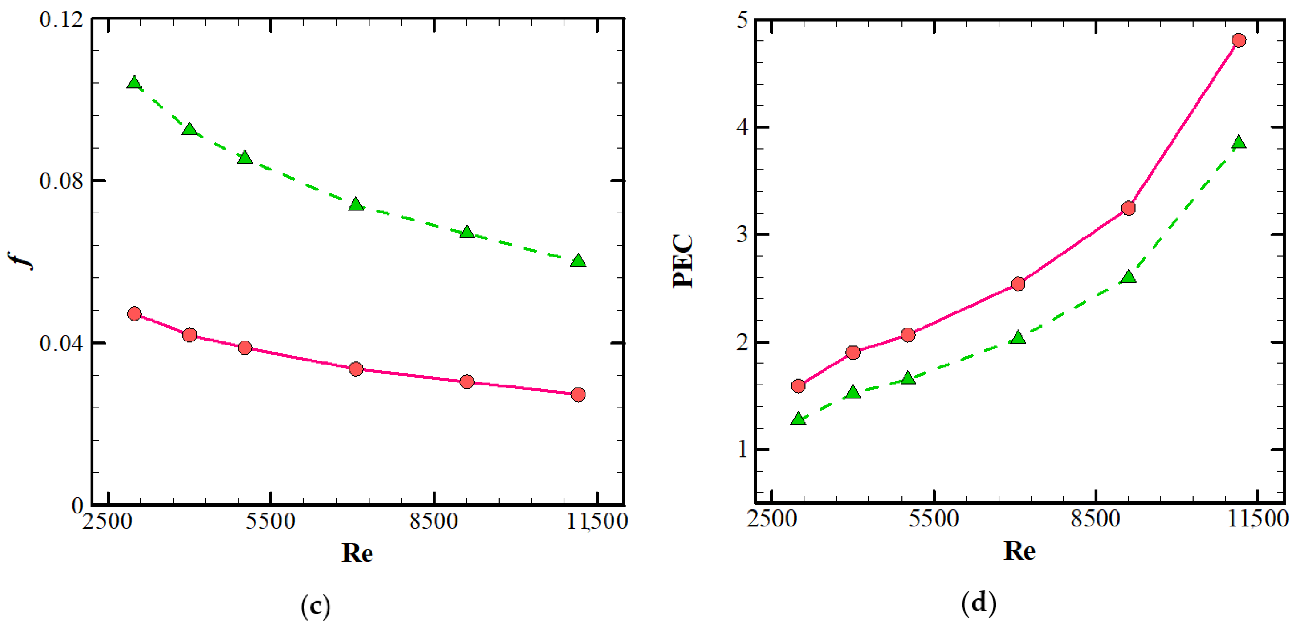
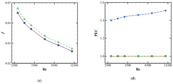
3. Results and Discussion
4. Limitations
5. Conclusions
- The presence of a magnetic field leads to higher values of Nuav.
- The magnetic field with B = 0.5 T leads to the maximum heat transfer compared to the other fields.
- Usage of a magnetic field with B = 0.1 T did not have a substantial impact on the thermal performance of a channel.
- The channel with h = 15 μm height leads to the maximum value of Nuav at all studied for constant values of d and h.
- The channel with p = 1.5 μm results in the maximum value of Nuav at all studied for constant values of d and h.
- The channel with d = 8 μm leads to the maximum value of Nuav at all studied for constant values of d and h.
Author Contributions
Funding
Acknowledgments
Conflicts of Interest
Nomenclature
| Symbols | |
| B | magnetic flux density |
| H | magnetic field strength |
| Specific heat, (J/kgK) | |
| Dh | Hydraulic diameter, (m) |
| d | Diameter of nanoparticles (nm) |
| f | Friction factor |
| Thermal conductivity, (W/mK) | |
| Pr | Prandtl number |
| p | Pressure, (Pa) |
| Re | Reynolds number |
| Renp | Reynolds number of nanoparticle |
| T | Temperature (K) |
| Nuav | average Nusselt number |
| PEC | Thermal-Hydraulic Performance Evaluation Criteria |
| Greek Symbols | |
| α | Thermal diffusion |
| μ | Dynamic viscosity, (Ns/m2) |
| ρ | Density, |
| φ | Nanoparticles volume fraction |
| Subscriptions | |
| bf | Base fluid |
| nf | Nanofluid |
| np | Nanoparticle |
References
- Menni, Y.; Ghazvini, M.; Ameur, H.; Kim, M.; Ahmadi, M.H.; Sharifpur, M. Combination of baffling technique and high-thermal conductivity fluids to enhance the overall performances of solar channels. Eng. Comput. 2020, 1–22. [Google Scholar] [CrossRef]
- Osman, S.; Sharifpur, M.; Meyer, J.P. Experimental investigation of convection heat transfer in the transition flow regime of aluminium oxide-water nanofluids in a rectangular channel. Int. J. Heat Mass Transf. 2019, 133, 895–902. [Google Scholar] [CrossRef]
- Menni, Y.; Ameur, H.; Sharifpur, M.; Ahmadi, M.H. Effects of in-line deflectors on the overall performance of a channel heat exchanger. Eng. Appl. Comput. Fluid Mech. 2021, 15, 512–529. [Google Scholar] [CrossRef]
- Saifi, H.; Sari, M.R.; Kezzar, M.; Ghazvini, M.; Sharifpur, M.; Sadeghzadeh, M. Heat transfer through converging-diverging channels using Adomian decomposition method. Eng. Appl. Comput. Fluid Mech. 2020, 14, 1373–1384. [Google Scholar] [CrossRef]
- Kalbasi, R. Introducing a novel heat sink comprising PCM and air—Adapted to electronic device thermal management. Int. J. Heat Mass Transf. 2021, 169, 120914. [Google Scholar] [CrossRef]
- Bhattacharyya, S.; Vishwakarma, D.; Chakraborty, S.; Roy, R.; Issakhov, A.; Sharifpur, M. Turbulent Flow Heat Transfer through a Circular Tube with Novel Hybrid Grooved Tape Inserts: Thermohydraulic Analysis and Prediction by Applying Machine Learning Model. Sustainability 2021, 13, 3068. [Google Scholar] [CrossRef]
- Rostami, S.; Kalbasi, R.; Talebkeikhah, M.; Goldanlou, A.S. Improving the thermal conductivity of ethylene glycol by addition of hybrid nano-materials containing multi-walled carbon nanotubes and titanium dioxide: Applicable for cooling and heating. J. Therm. Anal. Calorim. 2021, 143, 1701–1712. [Google Scholar] [CrossRef]
- Parsa, S.M.; Rahbar, A.; Koleini, M.; Javadi, Y.D.; Afrand, M.; Rostami, S.; Amidpour, M. First approach on nanofluid-based solar still in high altitude for water desalination and solar water disinfection (SODIS). Desalination 2020, 491, 114592. [Google Scholar] [CrossRef]
- Giwa, S.O.; Sharifpur, M.; Ahmadi, M.H.; Murshed, S.M.S.; Meyer, J.P. Experimental Investigation on Stability, Viscosity, and Electrical Conductivity of Water-Based Hybrid Nanofluid of MWCNT-Fe2O3. Nanomaterials 2021, 11, 136. [Google Scholar] [CrossRef] [PubMed]
- Parsa, S.M.; Rahbar, A.; Javadi, Y.D.; Koleini, M.; Afrand, M.; Amidpour, M. Energy-matrices, exergy, economic, environmental, exergoeconomic, enviroeconomic, and heat transfer (6E/HT) analysis of two passive/active solar still water desalination nearly 4000m: Altitude concept. J. Clean. Prod. 2020, 261, 121243. [Google Scholar] [CrossRef]
- Parsa, S.M.; Yazdani, A.; Dhahad, H.; Alawee, W.H.; Hesabi, S.; Norozpour, F.; Javadi, Y.D.; Ali, H.M.; Afrand, M. Effect of Ag, Au, TiO2 metallic/metal oxide nanoparticles in double-slope solar stills via thermodynamic and environmental analysis. J. Clean. Prod. 2021, 311, 127689. [Google Scholar] [CrossRef]
- Parsa, S.M. Reliability of thermal desalination (solar stills) for water/wastewater treatment in light of COVID-19 (novel coronavirus “SARS-CoV-2”) pandemic: What should consider? Desalination 2021, 512, 115106. [Google Scholar] [CrossRef] [PubMed]
- Yan, S.-R.; Kalbasi, R.; Karimipour, A.; Afrand, M. Improving the thermal conductivity of paraffin by incorporating MWCNTs nanoparticles. J. Therm. Anal. Calorim. 2020, 1–8. [Google Scholar] [CrossRef]
- Wei, H.; Afrand, M.; Kalbasi, R.; Ali, H.M.; Heidarshenas, B.; Rostami, S. The effect of tungsten trioxide nanoparticles on the thermal conductivity of ethylene glycol under different sonication durations: An experimental examination. Powder Technol. 2020, 374, 462–469. [Google Scholar] [CrossRef]
- Tian, X.-X.; Kalbasi, R.; Jahanshahi, R.; Qi, C.; Huang, H.-L.; Rostami, S. Competition between intermolecular forces of adhesion and cohesion in the presence of graphene nanoparticles: Investigation of graphene nanosheets/ethylene glycol surface tension. J. Mol. Liq. 2020, 311, 113329. [Google Scholar] [CrossRef]
- Ibrahim, M.; Saeed, T.; Chu, Y.-M.; Ali, H.M.; Cheraghian, G.; Kalbasi, R. Comprehensive study concerned graphene nano-sheets dispersed in ethylene glycol: Experimental study and theoretical prediction of thermal conductivity. Powder Technol. 2021, 386, 51–59. [Google Scholar] [CrossRef]
- Eshgarf, H.; Kalbasi, R.; Maleki, A.; Shadloo, M.S.; Karimipour, A. A review on the properties, preparation, models and stability of hybrid nanofluids to optimize energy consumption. J. Therm. Anal. Calorim. 2021, 144, 1959–1983. [Google Scholar] [CrossRef]
- Oyakawa, K.; Shinzato, T.; Mabuchi, I. The effects of the channel width on heat-transfer augmentation in a sinusoidal wave channel. JSME Int. J. 1989, 32, 403–410. [Google Scholar] [CrossRef]
- Wang, G.V.; Vanka, S. Convective heat transfer in periodic wavy passages. Int. J. Heat Mass Transf. 1995, 38, 3219–3230. [Google Scholar] [CrossRef]
- Rush, T.A.; Newell, T.A.; Jacobi, A.M. An experimental study of flow and heat transfer in sinusoidal wavy passages. Int. J. Heat Mass Transf. 1999, 42, 1541–1553. [Google Scholar] [CrossRef]
- Ničeno, B.; Nobile, E. Numerical analysis of fluid flow and heat transfer in periodic wavy channels. Int. J. Heat Fluid Flow 2001, 22, 156–167. [Google Scholar] [CrossRef]
- Wang, C.C.; Chen, C.K. Forced convection in a wavy-wall channel. Int. J. Heat Mass Transf. 2002, 45, 2587–2595. [Google Scholar] [CrossRef]
- Yin, J.; Yang, G.; Li, Y. The Effects of Wavy Plate Phase Shift on Flow and Heat Transfer Characteristics in Corrugated Channel. Energy Procedia 2012, 14, 1566–1573. [Google Scholar] [CrossRef]
- Ahmed, M.A.; Shuaib, N.H.; Yusoff, M.Z. Effects of geometrical parameters on the flow and heat transfer characteristics in trapezoidal-corrugated channel using nanofluid. Int. Commun. Heat Mass Transf. 2013, 42, 69–74. [Google Scholar] [CrossRef]
- Karimipour, A.; Bahrami, D.; Kalbasi, R.; Marjani, A. Diminishing vortex intensity and improving heat transfer by applying magnetic field on an injectable slip microchannel containing FMWNT/water nanofluid. J. Therm. Anal. Calorim. 2020, 144, 2235–2246. [Google Scholar] [CrossRef]
- Rajabi, A.H.; Toghraie, D.; Mehmandoust, B. Numerical simulation of turbulent nanofluid flow in the narrow channel with a heated wall and a spherical dimple placed on it by using of single- phase and mixture- phase models. Int. Commun. Heat Mass Transf. 2019, 108, 104316. [Google Scholar] [CrossRef]
- Ajeel, R.K.; Salim, W.S.-I.W.; Hasnan, K. Thermal and hydraulic characteristics of turbulent nanofluids flow in trapezoidal-corrugated channel: Symmetry and zigzag shaped. Case Stud. Therm. Eng. 2018, 12, 620–635. [Google Scholar] [CrossRef]
- Khoshvaght-Aliabadi, M.; Salami, M. Turbulent flow of Al2O3-water nanofluid through plate-fin heat exchanger (PFHE) with offset-strip channels. Therm. Sci. Eng. Prog. 2018, 6, 164–176. [Google Scholar] [CrossRef]
- Parsaiemehr, M.; Pourfattah, F.; Akbari, O.A.; Toghraie, D.; Sheikhzadeh, G.A. Turbulent flow and heat transfer of Water/Al 2 O 3 nanofluid inside a rectangular ribbed channel. Phys. E Low-Dimens. Syst. Nanostructures 2018, 96, 73–84. [Google Scholar] [CrossRef]
- Ahmed, M.; Yusoff, M.; Ng, K.C.; Shuaib, N. Numerical investigations on the turbulent forced convection of nanofluids flow in a triangular-corrugated channel. Case Stud. Therm. Eng. 2015, 6, 212–225. [Google Scholar] [CrossRef]
- Sadripour, S.; Ghorashi, S.A.; Estajloo, M. Numerical Investigation of a Cavity Equipped with Corrugated Heat Source: A Full Convection-Conduction-Radiation Coupling. Am. J. Aerosp. Eng. 2017, 4, 27–37. [Google Scholar] [CrossRef][Green Version]
- Heris, S.Z.; Esfahany, M.N.; Etemad, G. Numerical investigation of nanofluid laminar convective heat transfer through a circular tube. Numer. Heat Transf. Part A Appl. 2007, 52, 1043–1058. [Google Scholar] [CrossRef]
- Heris, S.Z.; Etemad, S.G.; Esfahany, M.N. Convective heat transfer of a Cu/water nanofluid flowing through a circular tube. Exp. Heat Transf. 2009, 22, 217–227. [Google Scholar] [CrossRef]
- Moraveji, M.K.; Haddad, S.M.H.; Darabi, M. Modeling of forced convective heat transfer of a non-Newtonian nanofluid in the horizontal tube under constant heat flux with computational fluid dynamics. Int. Commun. Heat Mass Transf. 2012, 39, 995–999. [Google Scholar] [CrossRef]
- Akbari, O.A.; Toghraie, D.; Karimipour, A.; Marzban, A.; Ahmadi, G.R. The effect of velocity and dimension of solid nanoparticles on heat transfer in non-Newtonian nanofluid. Phys. E Low-Dimens. Syst. Nanostructures 2017, 86, 68–75. [Google Scholar] [CrossRef]
- Minea, A.A. Uncertainties in modeling thermal conductivity of laminar forced convection heat transfer with water alumina nanofluids. Int. J. Heat Mass Transf. 2014, 68, 78–84. [Google Scholar] [CrossRef]
- Alnaqi, A.A.; Alsarraf, J.; Al-Rashed, A.A.; Afrand, M. Thermal-hydraulic analysis and irreversibility of the MWCNTs-SiO2/EG-H2O non-Newtonian hybrid nanofluids inside a zigzag micro-channels heat sink. Int. Commun. Heat and Mass Transf. 2021, 122, 105158. [Google Scholar] [CrossRef]
- Sadripoor, S. 3D Numerical Analysis of Atmospheric-Aerosol/Carbon-Black Nanofluid Flow within a Solar Air Heater Located in Shiraz, Iran. Int. J. Numer. Methods Heat Fluid Flow 2019, 29, 1378–1402. [Google Scholar] [CrossRef]
- Sadripoor, S.; Chamkha, A.J. The Effect of Nanoparticle Morphology on Heat Transfer and Entropy Generation of Supported Nanofluids in a Heat Sink Solar Collector. Therm. Sci. Eng. Prog. 2019, 9, 266–280. [Google Scholar] [CrossRef]
- Ali, H.M. Recent advancements in PV cooling and efficiency enhancement integrating phase change materials based systems—A comprehensive review. Sol. Energy 2020, 197, 163–198. [Google Scholar] [CrossRef]
- Ejaz, A.; Babar, H.; Ali, H.M.; Jamil, F.; Janjua, M.M.; Fattah, I.R.; Said, Z.; Li, C. Concentrated photovoltaics as light harvesters: Outlook, recent progress, and challenges. Sustain. Energy Technol. Assess. 2021, 46, 101199. [Google Scholar] [CrossRef]
- Akram, M.A.; Khushnood, S.; Tariq, S.L.; Nizam, L.A.; Ali, H.M. The effect of grid generated turbulence on the fluidelastic instability response in parallel triangular tube array. Ann. Nucl. Energy 2021, 158, 108245. [Google Scholar] [CrossRef]
- Alqahtani, S.; Ali, H.M.; Farukh, F.; Silberschmidt, V.V.; Kandan, K. Thermal performance of additively manufactured polymer lattices. J. Build. Eng. 2021, 39, 102243. [Google Scholar] [CrossRef]
- Sajjad, U.; Sadeghianjahromi, A.; Ali, H.M.; Wang, C.-C. Enhanced pool boiling of dielectric and highly wetting liquids—A review on surface engineering. Appl. Therm. Eng. 2021, 195, 117074. [Google Scholar] [CrossRef]
- Afrand, M.; Karimipour, A.; Nadooshan, A.A.; Akbari, M. he variations of heat transfer and slip velocity of FMWNT-water nano-fluid along the micro-channel in the lack and presence of a magnetic field. Phys. E Low Dimens. Syst. Nanostructures 2016, 84, 474–481. [Google Scholar] [CrossRef]
- Davarpanah, A.; Zarei, M.; Valizadeh, K.; Mirshekari, B. CFD design and simulation of ethylene dichloride (EDC) thermal cracking reactor. Energy Sources Part A Recovery Util. Environ. Eff. 2019, 41, 1573–1587. [Google Scholar] [CrossRef]
- Ehyaei, M.A.; Ahmadi, A.; Rosen, M.A.; Davarpanah, A. Thermodynamic Optimization of a Geothermal Power Plant with a Genetic Algorithm in Two Stages. Processes 2020, 8, 1277. [Google Scholar] [CrossRef]
- Valizadeh, K.; Farahbakhsh, S.; Bateni, A.; Zargarian, A.; Davarpanah, A.; Alizadeh, A.; Zarei, M. A parametric study to simulate the non-Newtonian turbulent flow in spiral tubes. Energy Sci. Eng. 2019, 8, 134–149. [Google Scholar] [CrossRef]
- Timofeeva, E.V.; Yu, W.; France, D.M.; Singh, D.; Routbort, J.L. Base fluid and temperature effects on the heat transfer characteristics of SiC in ethylene glycol/ H2O and H2O nanofluids. J. Appl. Phys. 2011, 109, 1–6. [Google Scholar] [CrossRef]
- Goldanlou, A.S.; Kalbasi, R.; Afrand, M. Energy usage reduction in an air handling unit by incorporating two heat recovery units. J. Build. Eng. 2020, 32, 101545. [Google Scholar] [CrossRef]
- Munro, R.G. Material properties of a sintered α–SiC. J. Phys. Chem. Ref. Data 1997, 26, 1195–1203. [Google Scholar] [CrossRef]
- Borgnakke, C.; Sonntag, R.E. Fundamentals of Thermodynamics, 7th ed.; Wiley: Hoboken, NJ, USA, 2009. [Google Scholar]
- Sadripour, S. Investigation of Flow Characteristics and Heat Transfer Enhancement of a Corrugated Duct using Nanofluid. J. Appl. Mech. Tech. Phys. 2018, 59, 1049–1057. [Google Scholar] [CrossRef]
- Sadripour, S. First and Second Laws Analysis and Optimization of a Solar Absorber; Using Insulator Mixers and MWCNTs Nanoparticles. Glob. J. Res. Eng. A Mech. Mech. 2017, 17, 37–48. [Google Scholar]
- Bohne, D.; Fisher, S. Obermeier, Thermal, conductivity, density, viscosity, and Prandtl–numbers of ethylene glycol–water mixtures. Ber. Der Bunsenges. für Phys. Chem. 1984, 88, 739–742. [Google Scholar] [CrossRef]
- Yu, W.; France, D.M.; Smith, D.S.; Singh, D.; Timofeeva, E.V.; Routbort, J.L. Heat transfer to a silicon carbide/water nanofluid. Int. J. Heat Mass Transf. 2009, 52, 3606–3612. [Google Scholar] [CrossRef]
- Launder, B.E.; Spalding, D.B. Mathematical Models of Turbulence; Academic Press: New York, NY, USA, 1972. [Google Scholar]
- Patankar, S.V. Numerical Heat Transfer and Fluid Flow; Taylor & Francis Group: New York, NY, USA, 1980. [Google Scholar]
- Sadripour, S.; Adibi, M.; Sheikhzadeh, G.A. Two Different Viewpoints about using Aerosol-Carbon Nanofluid in Corrugated Solar Collectors: Thermal-Hydraulic Performance and Heating Performance. Glob. J. Res. Eng. A Mech. Mech. 2017, 17, 19–36. [Google Scholar]
- Anderson, J.D. Computational Fluid Dynamics; McGraw-Hill: New York, NY, USA, 1995. [Google Scholar]













| Constants | ||||
|---|---|---|---|---|
| Model | h (μm) | p (mm) | b (mm) | d (μm) |
| Case 1 | 10 | 1.0 | 1.0 | 10 |
| Case 2 | 10 | 1.5 | 0.5 | 10 |
| Case 3 | 15 | 1.5 | 0.5 | 10 |
| Case 4 | 20 | 1.5 | 0.5 | 10 |
| Case 5 | 15 | 1.5 | 0.5 | 8 |
| Case 6 | 15 | 1.5 | 0.5 | 12 |
| Material | ρ (kg/m3) | cp (J/kg·K) | k (W/m·K) | − | ||
| Pure Water | 997.1 | 4179 | 0.613 | 6.2 | ||
| Al2O3 | 3970 | 765 | 40 | − | ||
| Nanofluid | ρ (kg/m3) | cp (J/kg·K) | k (W/m·K) | |||
| dnp = 25 nm | dnp = 45 nm | dnp = 100 nm | ||||
| CMC(0.5%) + 1.0% Al2O3 | 1013.5 | 4121 | 0.6262 | 0.6211 | 0.6157 | |
| CMC(0.5%) + 1.5% Al2O3 | 1040.5 | 4012 | 0.660 | 0.648 | 0.6356 | |
| Mass conservation equation: | |
| Momentum equation | |
| Energy conservation equation | |
| Power-law non-Newtonian model | |
| Maxwell equations | |
Publisher’s Note: MDPI stays neutral with regard to jurisdictional claims in published maps and institutional affiliations. |
© 2021 by the authors. Licensee MDPI, Basel, Switzerland. This article is an open access article distributed under the terms and conditions of the Creative Commons Attribution (CC BY) license (https://creativecommons.org/licenses/by/4.0/).
Share and Cite
Khetib, Y.; Alahmadi, A.; Alzaed, A.; Jai Krishnan, S.; Sharifpur, M.; Cheraghian, G. Application of Cylindrical Fin to Improve Heat Transfer Rate in Micro Heat Exchangers Containing Nanofluid under Magnetic Field. Processes 2021, 9, 1278. https://doi.org/10.3390/pr9081278
Khetib Y, Alahmadi A, Alzaed A, Jai Krishnan S, Sharifpur M, Cheraghian G. Application of Cylindrical Fin to Improve Heat Transfer Rate in Micro Heat Exchangers Containing Nanofluid under Magnetic Field. Processes. 2021; 9(8):1278. https://doi.org/10.3390/pr9081278
Chicago/Turabian StyleKhetib, Yacine, Ahmad Alahmadi, Ali Alzaed, Suseel Jai Krishnan, Mohsen Sharifpur, and Goshtasp Cheraghian. 2021. "Application of Cylindrical Fin to Improve Heat Transfer Rate in Micro Heat Exchangers Containing Nanofluid under Magnetic Field" Processes 9, no. 8: 1278. https://doi.org/10.3390/pr9081278
APA StyleKhetib, Y., Alahmadi, A., Alzaed, A., Jai Krishnan, S., Sharifpur, M., & Cheraghian, G. (2021). Application of Cylindrical Fin to Improve Heat Transfer Rate in Micro Heat Exchangers Containing Nanofluid under Magnetic Field. Processes, 9(8), 1278. https://doi.org/10.3390/pr9081278

