Natural Convection and Entropy Generation of MgO/Water Nanofluids in the Enclosure under a Magnetic Field and Radiation Effects
Abstract
:1. Introduction
2. Problem Definition
2.1. Governing Equations
- Laminar steady flow.
- Incompressible and Newtonian Fluid.
- No viscosity loss
- Homogeneity of nanofluid and establishing the overall balance between nanoparticles and fluid
2.2. Relationships Related to NF Properties
2.3. Numerical Methods
3. Validating and Evaluating the Grid-Independent Solution
4. Results and Discussion
4.1. Changes in RAP and Ra
4.2. Ha Variation
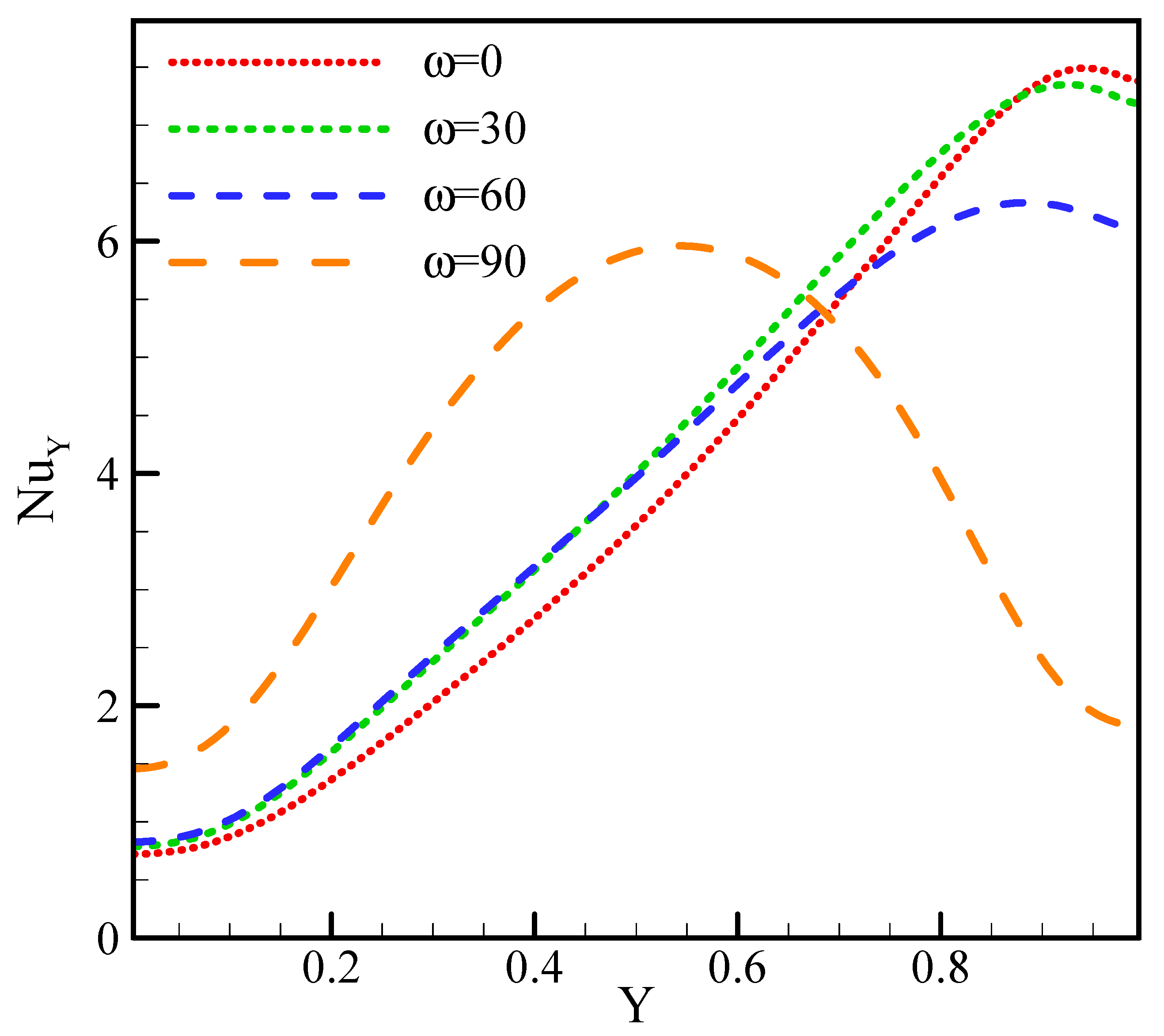
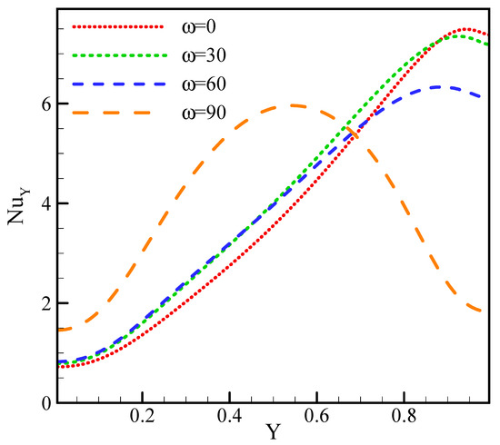
4.3. Changes in the MGF Angle
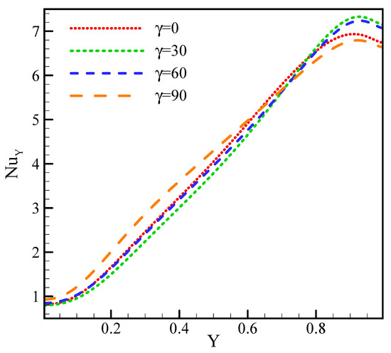
4.4. Changes in Enclosure Angle
4.5. Changes in Aspect Ratio
5. Conclusions
Author Contributions
Funding
Institutional Review Board Statement
Informed Consent Statement
Data Availability Statement
Acknowledgments
Conflicts of Interest
Abbreviations
| Nomenclatures | |
| a | Bigger diameter fin |
| A | Non-dimensional bigger diameter fin |
| AR | Aspect ratio |
| b | Smaller diameter fin |
| B | Non-dimensional smaller diameter fin |
| B0 | Magnetic field strength |
| Specific heat at constant pressure | |
| g | Gravity |
| Hartmann number | |
| k | Thermal conductivity |
| l | Non-dimensional enclosure height |
| L | Enclosure height |
| Nusselt number | |
| Pressure | |
| Prandtl number | |
| Rayleigh number | |
| Radiation parameter | |
| S | Entropy |
| Temperature | |
| Velocity in the x and y directions | |
| Cartesian coordinates | |
| Greek letters | |
| ω | angel of magnetic field (MGF) |
| The electrical conductivity | |
| φ | solid volume fraction |
| Stream function value | |
| Thermal diffusivity | |
| Density | |
| Dynamic viscosity | |
| angel of cavity | |
| Subscripts | |
| Cold | |
| fluid | |
| Hot | |
| Average | |
| Nanofluid (NF) | |
| Nanoparticle (NP) | |
| tot | Total |
References
- Ahmadi, M.H.; Mohseni-Gharyehsafa, B.; Ghazvini, M.; Goodarzi, M.; Jilte, R.D.; Kumar, R. Comparing various machine learning approaches in modeling the dynamic viscosity of CuO/water nanofluid. J. Therm. Anal. Calorim. 2020, 139, 2585–2599. [Google Scholar] [CrossRef]
- Aghakhani, S.; Pordanjani, A.H.; Karimipour, A.; Abdollahi, A.; Afrand, M. Numerical investigation of heat transfer in a power-law non-Newtonian fluid in a C-Shaped cavity with magnetic field effect using finite difference lattice Boltzmann method. Comput. Fluids 2018, 176, 51–67. [Google Scholar] [CrossRef]
- Li, Z.; Sarafraz, M.M.; Mazinani, A.; Hayat, T.; Alsulami, H.; Goodarzi, M. Pool boiling heat transfer to CuO-H2O nanofluid on finned surfaces. Int. J. Heat Mass Transf. 2020, 156, 119780. [Google Scholar] [CrossRef]
- Bahiraei, M.; Jamshidmofid, M.; Goodarzi, M. Efficacy of a hybrid nanofluid in a new microchannel heat sink equipped with both secondary channels and ribs. J. Mol. Liq. 2019, 273, 88–98. [Google Scholar] [CrossRef]
- Shadloo, M.S. Application of support vector machines for accurate prediction of convection heat transfer coefficient of nanofluids through circular pipes. Int. J. Numer. Methods Heat Fluid Flow 2020. [Google Scholar] [CrossRef]
- Ahmadi, A.A.; Arabbeiki, M.; Ali, H.M.; Goodarzi, M.; Safaei, M.R. Configuration and Optimization of a Minichannel Using Water–Alumina Nanofluid by Non-Dominated Sorting Genetic Algorithm and Response Surface Method. Nanomaterials 2020, 10, 901. [Google Scholar] [CrossRef] [PubMed]
- Shadloo, M.S. Numerical simulation of compressible flows by lattice Boltzmann method. Numer. Heat Transf. Part A Appl. 2019, 75, 167–182. [Google Scholar] [CrossRef]
- Maleki, A.; Elahi, M.; Assad, M.E.H.; Nazari, M.A.; Shadloo, M.S.; Nabipour, N. Thermal conductivity modeling of nanofluids with ZnO particles by using approaches based on artificial neural network and MARS. J. Therm. Anal. Calorim. 2021, 143, 4261–4272. [Google Scholar] [CrossRef]
- Sadeghi, R.; Shadloo, M.S.; Hooman, K. Numerical investigation of the natural convection film boiling around elliptical tubes. Numer. Heat Transf. Part A Appl. 2016, 70, 707–722. [Google Scholar] [CrossRef]
- Peng, Y.; Parsian, A.; Khodadadi, H.; Akbari, M.; Ghani, K.; Goodarzi, M.; Bach, Q.-V. Develop optimal network topology of artificial neural network (AONN) to predict the hybrid nanofluids thermal conductivity according to the empirical data of Al2O3—Cu nanoparticles dispersed in ethylene glycol. Phys. A Stat. Mech. Appl. 2020, 549, 124015. [Google Scholar] [CrossRef]
- Wang, N.; Maleki, A.; Nazari, M.A.; Tlili, I.; Shadloo, M.S. Thermal Conductivity Modeling of Nanofluids Contain MgO Particles by Employing Different Approaches. Symmetry 2020, 12, 206. [Google Scholar] [CrossRef] [Green Version]
- Selimefendigil, F.; Öztop, H.F. Corrugated conductive partition effects on MHD free convection of CNT-water nanofluid in a cavity. Int. J. Heat Mass Transf. 2019, 129, 265–277. [Google Scholar] [CrossRef]
- Sheikholeslami, M.; Seyednezhad, M. Simulation of nanofluid flow and natural convection in a porous media under the influence of electric field using CVFEM. Int. J. Heat Mass Transf. 2018, 120, 772–781. [Google Scholar] [CrossRef]
- Miroshnichenko, I.V.; Sheremet, M.A.; Oztop, H.F.; Abu-Hamdeh, N. Natural convection of Al2O3/H2O nanofluid in an open inclined cavity with a heat-generating element. Int. J. Heat Mass Transf. 2018, 126, 184–191. [Google Scholar] [CrossRef]
- Pordanjani, A.H.; Aghakhani, S.; Afrand, M.; Mahmoudi, B.; Mahian, O.; Wongwises, S. An updated review on application of nanofluids in heat exchangers for saving energy. Energy Convers. Manag. 2019, 198, 111886. [Google Scholar] [CrossRef]
- Miroshnichenko, I.V.; Sheremet, M.A.; Oztop, H.F.; Abu-Hamdeh, N. Natural convection of alumina-water nanofluid in an open cavity having multiple porous layers. Int. J. Heat Mass Transf. 2018, 125, 648–657. [Google Scholar] [CrossRef]
- Pordanjani, A.H.; Jahanbakhshi, A.; Nadooshan, A.A.; Afrand, M. Effect of two isothermal obstacles on the natural convection of nanofluid in the presence of magnetic field inside an enclosure with sinusoidal wall temperature distribution. Int. J. Heat Mass Transf. 2018, 121, 565–578. [Google Scholar] [CrossRef]
- Aghakhani, S.; Ghasemi, B.; Pordanjani, A.H.; Wongwises, S.; Afrand, M. Effect of replacing nanofluid instead of water on heat transfer in a channel with extended surfaces under a magnetic field. Int. J. Numer. Methods Heat Fluid Flow 2019, 29, 1249–1271. [Google Scholar] [CrossRef]
- Dogonchi, A.; Selimefendigil, F.; Ganji, D. Magneto-hydrodynamic natural convection of CuO-water nanofluid in complex shaped enclosure considering various nanoparticle shapes. Int. J. Numer. Methods Heat Fluid Flow 2018, 29, 1663–1679. [Google Scholar] [CrossRef]
- Armaghani, T.; Kasaeipoor, A.; Izadi, M.; Pop, I. MHD natural convection and entropy analysis of a nanofluid inside T-shaped baffled enclosure. Int. J. Numer. Methods Heat Fluid Flow 2018, 28, 2916–2941. [Google Scholar] [CrossRef]
- Abbassi, M.A.; Orfi, J. Effects of Magnetohydrodynamics on Natural Convection and Entropy Generation with Nanofluids. J. Thermophys. Heat Transf. 2018, 32, 1059–1071. [Google Scholar] [CrossRef]
- Ghasemi, K.; Siavashi, M. MHD nanofluid free convection and entropy generation in porous enclosures with different conductivity ratios. J. Magn. Magn. Mater. 2017, 442, 474–490. [Google Scholar] [CrossRef]
- Yan, S.-R.; Aghakhani, S.; Karimipour, A. Influence of a membrane on nanofluid heat transfer and irreversibilities inside a cavity with two constant-temperature semicircular sources on the lower wall: Applicable to solar collectors. Phys. Scr. 2020, 95, 085702. [Google Scholar] [CrossRef]
- Ghasemi, B.; Aminossadati, S.; Raisi, A. Magnetic field effect on natural convection in a nanofluid-filled square enclosure. Int. J. Therm. Sci. 2011, 50, 1748–1756. [Google Scholar] [CrossRef]
- Pordanjani, A.H.; Aghakhani, S. Numerical Investigation of Natural Convection and Irreversibilities between Two Inclined Concentric Cylinders in Presence of Uniform Magnetic Field and Radiation. Heat Transf. Eng. 2021, 1–21. [Google Scholar] [CrossRef]
- Nia, M.F.; Nassab, S.A.G.; Ansari, A.B. Transient combined natural convection and radiation in a double space cavity with conducting walls. Int. J. Therm. Sci. 2018, 128, 94–104. [Google Scholar] [CrossRef]
- Ridouane, E.H.; Hasnaoui, M.; Campo, A. Effects of surface radiation on natural convection in a rayleigh-benard square enclosure: Steady and unsteady conditions. Heat Mass Transf. 2006, 42, 214. [Google Scholar] [CrossRef]
- Tian, M.-W.; Rostami, S.; Aghakhani, S.; Goldanlou, A.S.; Qi, C. A techno-economic investigation of 2D and 3D configurations of fins and their effects on heat sink efficiency of MHD hybrid nanofluid with slip and non-slip flow. Int. J. Mech. Sci. 2021, 189, 105975. [Google Scholar] [CrossRef]
- Ramesh, N.; Venkateshan, S. Effect of surface radiation and partition resistance on natural convection heat transfer in a partitioned enclosure: An experimental study. J. Heat Transf. 1999, 121, 616–622. [Google Scholar] [CrossRef]
- Aghakhani, S.; Pordanjani, A.H.; Afrand, M.; Sharifpur, M.; Meyer, J.P. Natural convective heat transfer and entropy generation of alumina/water nanofluid in a tilted enclosure with an elliptic constant temperature: Applying magnetic field and radiation effects. Int. J. Mech. Sci. 2020, 174, 105470. [Google Scholar] [CrossRef]
- Karimipour, A. A novel case study for thermal radiation through a nanofluid as a semitransparent medium via discrete ordinates method to consider the absorption and scattering of nanoparticles along the radiation beams coupled with natural convection. Int. Commun. Heat Mass Transf. 2017, 87, 256–269. [Google Scholar] [CrossRef]
- Mansour, M.A.; Siddiqa, S.; Gorla, R.S.R.; Rashad, A.M. Effects of heat source and sink on entropy generation and MHD natural convection of Al2O3-Cu/water hybrid nanofluid filled with square porous cavity. Therm. Sci. Eng. Prog. 2018, 6, 57–71. [Google Scholar] [CrossRef]
- Mehryan, S.A.M.; Izadi, M.; Chamkha, A.J.; Sheremet, M.A. Natural convection and entropy generation of a ferrofluid in a square enclosure under the effect of a horizontal periodic magnetic field. J. Mol. Liq. 2018, 263, 510–525. [Google Scholar] [CrossRef]
- Sheikholeslami, M.; Ganji, D.D. Entropy generation of nanofluid in presence of magnetic field using Lattice Boltzmann Method. Phys. A Stat. Mech. Appl. 2015, 417, 273–286. [Google Scholar] [CrossRef]
- Selimefendigil, F.; Öztop, H.F. Natural convection and entropy generation of nanofluid filled cavity having different shaped obstacles under the influence of magnetic field and internal heat generation. J. Taiwan Inst. Chem. Eng. 2015, 56, 42–56. [Google Scholar] [CrossRef]
- Cho, C.-C. Heat transfer and entropy generation of natural convection in nanofluid-filled square cavity with partially-heated wavy surface. Int. J. Heat Mass Transf. 2014, 77, 818–827. [Google Scholar] [CrossRef]
- Mahmoudi, A.; Mejri, I.; Abbassi, M.A.; Omri, A. Analysis of the entropy generation in a nanofluid-filled cavity in the presence of magnetic field and uniform heat generation/absorption. J. Mol. Liq. 2014, 198, 63–77. [Google Scholar] [CrossRef]
- Pordanjani, A.H.; Aghakhani, S.; Alnaqi, A.A.; Afrand, M. Effect of alumina nano-powder on the convection and the entropy generation of water inside an inclined square cavity subjected to a magnetic field: Uniform and non-uniform temperature boundary conditions. Int. J. Mech. Sci. 2019, 152, 99–117. [Google Scholar] [CrossRef]
- Esfe, M.H.; Rostamian, H.; Shabani-samghabadi, A.; Arani, A.A.A. Application of three-level general factorial design approach for thermal conductivity of MgO/water nanofluids. Appl. Therm. Eng. 2017, 127, 1194–1199. [Google Scholar] [CrossRef]
- Khodadadi, H.; Toghraie, D.; Karimipour, A. Effects of nanoparticles to present a statistical model for the viscosity of MgO-Water nanofluid. Powder Technol. 2019, 342, 166–180. [Google Scholar] [CrossRef]
- Asadi, A.; Pourfattah, F. Heat transfer performance of two oil-based nanofluids containing ZnO and MgO nanoparticles; a comparative experimental investigation. Powder Technol. 2019, 343, 296–308. [Google Scholar] [CrossRef]
- Mbarki, R.; Mnif, A.; Hamzaoui, A.H. Structural, dielectric relaxation and electrical conductivity behavior in MgO powders synthesized by sol–gel. Mater. Sci. Semicond. Process. 2015, 29, 300–306. [Google Scholar] [CrossRef]
- Aminossadati, S.; Ghasemi, B. Natural convection cooling of a localised heat source at the bottom of a nanofluid-filled enclosure. Eur. J. Mech. B/Fluids 2009, 28, 630–640. [Google Scholar] [CrossRef]
- Li, Y.; Firouzi, M.; Karimipour, A.; Afrand, M. Effect of an inclined partition with constant thermal conductivity on natural convection and entropy generation of a nanofluid under magnetic field inside an inclined enclosure: Applicable for electronic cooling. Adv. Powder Technol. 2019, 31, 645–657. [Google Scholar] [CrossRef]




















| Water | 4179 | 0.613 | 997.1 | 0.001 | 0.05 | - |
| 937 | 0.613 | 3580 | - | 20 |
| Ra | |||||
|---|---|---|---|---|---|
| [43] | 5.39 | 5.41 | 6.95 | 13.66 | Num |
| Present work | 5.38 | 5.40 | 6.93 | 13.48 | |
| Err% | 0.1 | 0.1 | 0.2 | 1.3 |
| 0 | 1 | 2 | 3 | Rd | |
|---|---|---|---|---|---|
| [44] | 2.86 | 2.87 | 2.95 | 3.05 | Stot |
| Present Work | 2.85 | 2.86 | 2.99 | 3.09 | |
| Err% | 1 | 0.6 | 1.3 | 1.3 |
| 60 × 60 | 80 × 80 | 100 × 100 | 120 × 120 | 140 × 140 | 160 × 160 | Grid |
|---|---|---|---|---|---|---|
| 3.75 | 3.97 | 4.18 | 4.21 | 4.21 | 4.21 | |
| 4.80 | 5.09 | 5.86 | 6.11 | 6.11 | 6.11 |
| AR = 0.15–0.2 | AR = 0.3–0.4 | AR = 0.34–0.6 | AR = 0.6–0.8 | |
|---|---|---|---|---|
| Nu | 2.31 | 3.43 | 4.04 | 3.92 |
| Stot | 4.05 | 5.62 | 6.18 | 5.55 |
| Be | 0.37 | 0.47 | 0.56 | 0.70 |
Publisher’s Note: MDPI stays neutral with regard to jurisdictional claims in published maps and institutional affiliations. |
© 2021 by the authors. Licensee MDPI, Basel, Switzerland. This article is an open access article distributed under the terms and conditions of the Creative Commons Attribution (CC BY) license (https://creativecommons.org/licenses/by/4.0/).
Share and Cite
Khetib, Y.; Alahmadi, A.A.; Alzaed, A.; Tahmasebi, A.; Sharifpur, M.; Cheraghian, G. Natural Convection and Entropy Generation of MgO/Water Nanofluids in the Enclosure under a Magnetic Field and Radiation Effects. Processes 2021, 9, 1277. https://doi.org/10.3390/pr9081277
Khetib Y, Alahmadi AA, Alzaed A, Tahmasebi A, Sharifpur M, Cheraghian G. Natural Convection and Entropy Generation of MgO/Water Nanofluids in the Enclosure under a Magnetic Field and Radiation Effects. Processes. 2021; 9(8):1277. https://doi.org/10.3390/pr9081277
Chicago/Turabian StyleKhetib, Yacine, Ahmad Aziz Alahmadi, Ali Alzaed, Ahamd Tahmasebi, Mohsen Sharifpur, and Goshtasp Cheraghian. 2021. "Natural Convection and Entropy Generation of MgO/Water Nanofluids in the Enclosure under a Magnetic Field and Radiation Effects" Processes 9, no. 8: 1277. https://doi.org/10.3390/pr9081277
APA StyleKhetib, Y., Alahmadi, A. A., Alzaed, A., Tahmasebi, A., Sharifpur, M., & Cheraghian, G. (2021). Natural Convection and Entropy Generation of MgO/Water Nanofluids in the Enclosure under a Magnetic Field and Radiation Effects. Processes, 9(8), 1277. https://doi.org/10.3390/pr9081277

