Accuracy Improvement of the 14C Method Applied in Biomass and Coal Co-Firing Power Stations
Abstract
1. Introduction
2. Methods and Prediction Equation
2.1. Data Reprocessing
2.2. Field Sampling
2.2.1. Fossil Carbon Emission
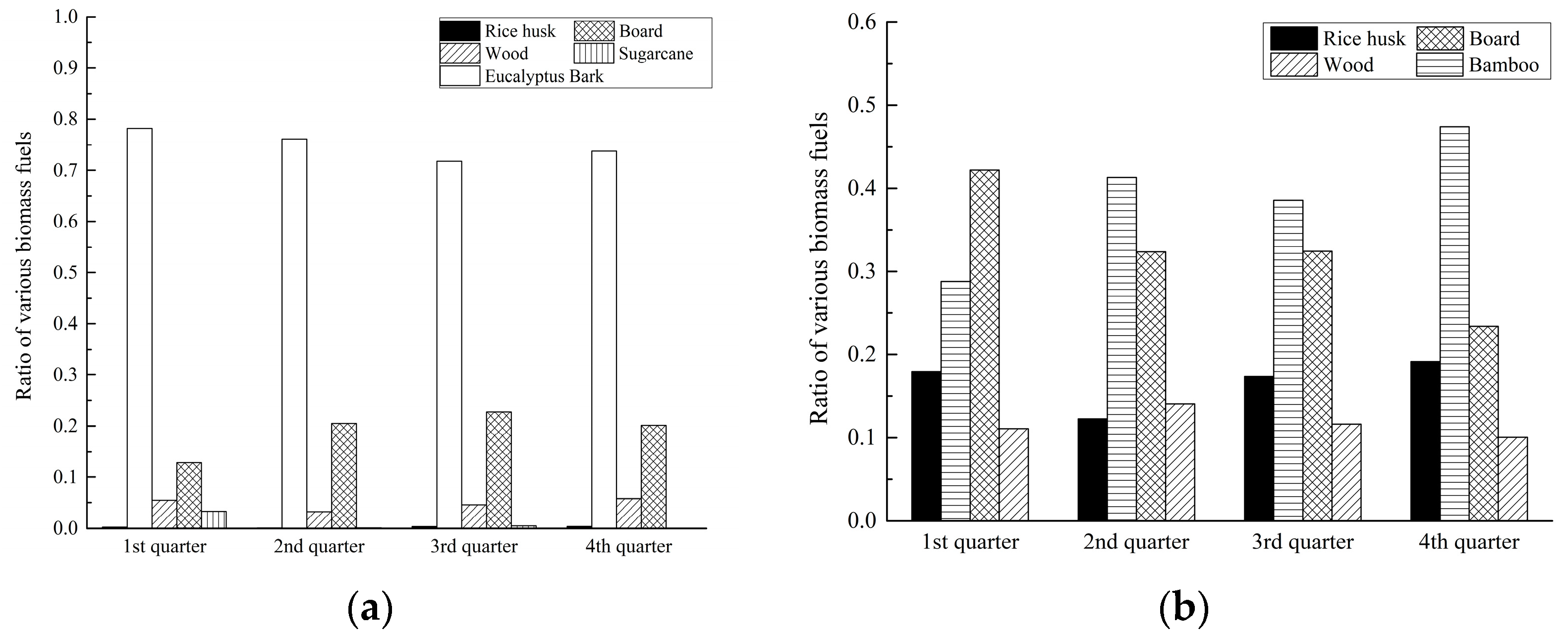
2.2.2. Biomass Species
2.3. 14C Detection Method
3. Results and Discussion
3.1. Theory Renewal of Factors Influencing Biomass 14C Activity
3.2. Effects of Fossil Carbon Emissions
3.3. Effects of Biomass Species
3.4. Prediction Equation of Abiomass
3.4.1. Correction Coefficient of Fossil Carbon Emission
3.4.2. Correction Coefficient of Biomass Species
3.4.3. Calculation Examples of the Prediction Equation
- f(year): Assuming that the atmospheric 14C activity remains the same downward trend in 2018, then f(year) would be 99.80 ± 0.50 pMC calculated using Equation (2).
- EC.fossil: The FCD value of Guigang in 2018 is 13.22 MJ/m2. According to Equation (5), the atmospheric 14C activity at Guigang should be the same as that of the Northern Hemisphere. Considering the influence of common fossil carbon sources nearby such as highways and households, the EC.fossil should be 0.991 ± 0.005 pMC.
- EC.fuel: Corresponding to Table 1, the correction coefficient of the various biomass fuels of the power station at Guigang can be obtained. The Ffuel_i of eucalyptus bark, wood board and sugarcane leaf are 1.000 ± 0.001, 1.200 ± 0.090, and 1.002 ± 0.001, respectively. The fresh wood is mainly the processed waste of eucalyptus, for which the age is 5–7 years, and its Ffuel_i can be taken as 1.007 ± 0.002. Combining with ffuel_i in Figure 7a, the EC.fuel is calculated as 1.038 ± 0.018.
- Pre.Abiomass: The above f(year), EC.fossil, and EC.fuel are substituted into Equation (1), and 102.66 ± 2.81 pMC is obtained as the Abiomass of the biomass direct-fired power station at Guigang in 2018.
4. Conclusions
Supplementary Materials
Author Contributions
Funding
Institutional Review Board Statement
Informed Consent Statement
Data Availability Statement
Conflicts of Interest
References
- Chen, S.; Feng, H.; Zheng, J.; Ye, J.; Song, Y.; Yang, H.; Zhou, M. Life Cycle Assessment and Economic Analysis of Biomass Energy Technology in China: A Brief Review. Processes 2020, 8, 1112. [Google Scholar] [CrossRef]
- Jia, C.H. Combustion Characteristics and Kinetic Analysis of Biomass Pellet Fuel Using Thermogravimetric Analysis. Processes 2021, 9, 868. [Google Scholar] [CrossRef]
- Yang, H.C.; Lee, M.W.; Eun, H.C.; Kim, H.J.; Lee, K.; Seo, B.K. Thermal Decontamination of Spent Activated Carbon Contaminated with Radiocarbon and Tritium. Processes 2020, 8, 1359. [Google Scholar] [CrossRef]
- Hämäläinen, K.M.; Jungner, H.; Antson, O.; Räsänen, J.; Tormonen, K.; Roine, J. Measurement of biocarbon in flue gases using 14C. Radiocarbon 2007, 49, 325–330. [Google Scholar] [CrossRef]
- Mohn, J.; Szidat, S.; Zeyer, K.; Emmenegger, L. Fossil and biogenic CO2 from waste incineration based on a yearlong radiocarbon study. Waste Manag. 2012, 32, 1516–1520. [Google Scholar] [CrossRef] [PubMed]
- Quarta, G.; Calcagnile, L.; Cipriano, D.; D’Elia, M.; Maruccio, L.; Ciceri, G.; Martinotti, V. AMS-14C Determination of the Biogenic-Fossil Fractions in Flue Gases. Radiocarbon 2018, 60, 1327–1333. [Google Scholar] [CrossRef]
- Tang, Y.X.; Luo, Z.Y.; Yu, C.J.; Cen, J.M.; Chen, Q.Y.; Zhang, W.N. Determination of biomass-coal blending ratio by 14C measurement in co-firing flue gas. J. Zhejiang Univsc. A 2019, 20, 475–486. [Google Scholar] [CrossRef]
- Palstra, S.W.L.; Rabou, L.P.L.M.; Meijer, H.A.J. Radiocarbon-based determination of biogenic and fossil carbon partitioning in the production of synthetic natural gas. Fuel 2015, 157, 177–182. [Google Scholar] [CrossRef]
- Fuglsang, K.; Pedersen, N.H.; Larsen, A.W.; Astrup, T.F. Long-term sampling of CO2 from waste-to-energy plants: 14C determination methodology, data variation and uncertainty. Waste Manag. Res. 2016, 32, 115. [Google Scholar] [CrossRef] [PubMed]
- Hammer, S.; Levin, I. Monthly Mean Atmospheric D14CO2 at Jungfraujoch and Schauinsland from 1986 to 2016. heiDATA Dataverse 2017, V2. [Google Scholar] [CrossRef]
- Suess, H.E. Radiocarbon concentration in modern wood. Science 1955, 122, 415–417. [Google Scholar] [CrossRef]
- ASTM International. Method D 6866-16: Determining the Biobased Content of Solid, Liquid, and Gaseous Samples Using Radiocarbon Analysis; National Standards of American: West Conshohocken, PA, USA, 2016. [Google Scholar]
- Hsueh, D.Y.; Krakauer, N.Y.; Randerson, J.T.; Xu, X.; Trumbore, S.E.; Southon, J.R. Regional patterns of radiocarbon and fossil fuel-derived CO2 in surface air across North America. Geophys. Res. Lett. 2007, 34, 155–164. [Google Scholar] [CrossRef]
- Xi, X.T.; Ding, X.F.; Fu, D.P.; Zhou, L.P.; Liu, K.X. Δ14C level of annual plants and fossil fuel derived CO2 distribution across different regions of China. Nucl. Instrum. Meth. B 2013, 294, 515–519. [Google Scholar] [CrossRef]
- Cheng, P.; Zhou, W.; Burr, G.S.; Fu, Y.; Fan, Y.; Wu, S. Authentication of Chinese vintage liquors using bomb-pulse 14C. Sci. Rep. 2016, 6, 38381. [Google Scholar] [CrossRef] [PubMed]
- Hou, Y.; Zhou, W.; Cheng, P.; Xiong, X.; Du, H.; Niu, Z.; Yu, X.; Fu, Y.; Lu, X. 14C-AMS measurements in modern tree rings to trace local fossil fuel-derived CO2 in the greater Xi’an area, China. Sci. Total Environ. 2020, 715, 136669. [Google Scholar] [CrossRef] [PubMed]
- Mao, S.Y.; Ye, Z.C.; Jiang, L.G. China Statistical Yearbook 2019; China Statistics Press: Beijing, China, 2019. [Google Scholar]
- Xu, X.; Trumbore, S.E.; Zheng, S.; Southon, J.R.; McDuffee, K.E.; Luttgen, M.; Liu, J.C. Modifying a sealed tube zinc reduction method for preparation of AMS graphite targets: Reducing background and attaining high precision. Nucl. Instrum. Methods Phys. Res. Sect. B Beam Interact. Mater. Atoms 2007, 259, 320–329. [Google Scholar] [CrossRef]
- British Petroleum. BP Statistical Review of World Energy 2020; British Petroleum: London, UK, 2020. [Google Scholar]
- Turnbull, J.; Rayner, P.; Miller, J.; Naegler, T.; Ciais, P.; Cozic, A. On the use of 14CO2 as a tracer for fossil fuel CO2: Quantifying uncertainties using an atmospheric transport model. J. Geophys. Res. Space Phys. 2009, 114, 22. [Google Scholar] [CrossRef]
- Okla, M.K.; Alamri, S.A.; Salem, M.Z.; Ali, H.M.; Behiry, S.I.; Nasser, R.A.; Alaraidh, I.A.; Al-Ghtani, S.M.; Soufan, W. Yield, Phytochemical Constituents, and Antibacterial Activity of Essential Oils from the Leaves/Twigs, Branches, Branch Wood, and Branch Bark of Sour Orange (Citrus aurantium L.). Processes 2019, 7, 363. [Google Scholar] [CrossRef]
- Liu, X.M. Study on the Abscission Bark Formation Process and Mechanism of Eucalyptus grandis × E. urophylla. Ph.D. Thesis, Fujian Agriculture and Forestry University, Fuzhou, China, 2013. [Google Scholar]
- Shi, T.; Huang, R.M.; Ding, C.B. Research on the Optimal Configuration of Regional Integrated Energy System Based on Production Simulation. Processes 2020, 8, 892. [Google Scholar] [CrossRef]
- Shankarappa, S.K.; Muniyandi, S.J.; Chandrashekar, A.B.; Singh, A.K.; Nagabhushanaradhya, P.; Shivashankar, B.; El-Ansary, D.O.; Wani, S.H.; Elansary, H.O. Standardizing the Hydrogel Application Rates and Foliar Nutrition for Enhancing Yield of Lentil (Lens culinaris). Processes 2020, 8, 420. [Google Scholar] [CrossRef]







| Type | Ffuel_i | Examples | |
|---|---|---|---|
| I | Annual fresh biomass | 0.997–1.003 | Rice husk, rice/corn/wheat straw, sugarcane leaf/bagasse, cotton straw, etc. |
| II | Perennial fresh biomass | 1.005–1.060 | Processing wastes of pine, bamboo, timber eucalyptus and poplar, etc. |
| III | Fresh bark | 1.000, 1.019–1.041 | Eucalyptus bark, poplar bark, etc. |
| IV | Wood board | 1.110–1.290 | Waste furniture, construction waste, etc. |
Publisher’s Note: MDPI stays neutral with regard to jurisdictional claims in published maps and institutional affiliations. |
© 2021 by the authors. Licensee MDPI, Basel, Switzerland. This article is an open access article distributed under the terms and conditions of the Creative Commons Attribution (CC BY) license (https://creativecommons.org/licenses/by/4.0/).
Share and Cite
Tang, Y.; Luo, Z.; Yu, C. Accuracy Improvement of the 14C Method Applied in Biomass and Coal Co-Firing Power Stations. Processes 2021, 9, 994. https://doi.org/10.3390/pr9060994
Tang Y, Luo Z, Yu C. Accuracy Improvement of the 14C Method Applied in Biomass and Coal Co-Firing Power Stations. Processes. 2021; 9(6):994. https://doi.org/10.3390/pr9060994
Chicago/Turabian StyleTang, Yuxing, Zhongyang Luo, and Chunjiang Yu. 2021. "Accuracy Improvement of the 14C Method Applied in Biomass and Coal Co-Firing Power Stations" Processes 9, no. 6: 994. https://doi.org/10.3390/pr9060994
APA StyleTang, Y., Luo, Z., & Yu, C. (2021). Accuracy Improvement of the 14C Method Applied in Biomass and Coal Co-Firing Power Stations. Processes, 9(6), 994. https://doi.org/10.3390/pr9060994

