Can Decentralization Drive Green Innovation? A Game Theoretical Analysis of Manufacturer Encroachment Selection with Consumer Green Awareness
Abstract
1. Introduction
2. Literature Review
3. Model Formulation
3.1. Model Description
3.2. Assumptions
- The manufacturer and the retailer compete in the market for quantities while the environmentally aware consumers are willing to pay a higher price for products with higher green quality. To characterize these features, we follow similar widely adopted demand functions [8,33,34,35] to depict the retail prices for products and as follows:where a is the initial market potential, stands for the manufacturer’s efforts in green innovation, is the retail price for per unit green product , is the order quantities for per unit green product . The cross-price sensitivity coefficient is less than its price-sensitivity coefficient, i.e., [33,34]. In extreme cases, the value of reflects that the two competing products are completely independent. represents the green preference coefficient of the consumers. The larger it is, the higher the price that consumers are willing to pay for green products.
- Compared with non-green products, the manufacturer will invest more in green innovation, such as low-carbon storage technology, solar technology and new energy vehicle technology. This is often in the form of fixed costs. For tractability, we consider a second-order cost function to represent the green innovation investment, where is the cost coefficient of the investment. It can be seen that the investment cost of the green product is a convex function of green innovation efforts, that is, the cost of green input increases with the level of the green innovation effort, which is consistent with the practical industry operations. This function is commonly used in the literatures [35].
- In addition to the cost of green investment, the manufacturer will also incur the cost of producing products. To avoid the trivial, we assume the manufacturer’s unit production cost is not related with product green innovation and set it to zero. We use () to represent the manufacturer’s unit selling cost while the retailer’s unit selling cost is normalized to zero, indicating the retailer has cost advantage in retailing. The retailer’s sales advantage comes from a better understanding of customer’s preferences and more direct contact with the customers [30].
- To make our paper realistic and without loss of generality, we assume the green investment cost is sufficiently high, i.e., (see the Proofs of Lemmas 1 and 2).
- We assume that the manufacturers and retailers are completely rational, pursuing the maximization of their respective interests. In the research of many scholars, firms often seek to maximize their profits as their objectives [36].
4. The Equilibrium Results
4.1. Centralized Encroachment
4.2. Decentralized Encroachment
5. Centralized vs. Decentralized Encroachment
6. Numerical Studies
6.1. Effect of Consumer Green Awareness () on Profits
6.2. Effect of Product Substitutability () on Profits
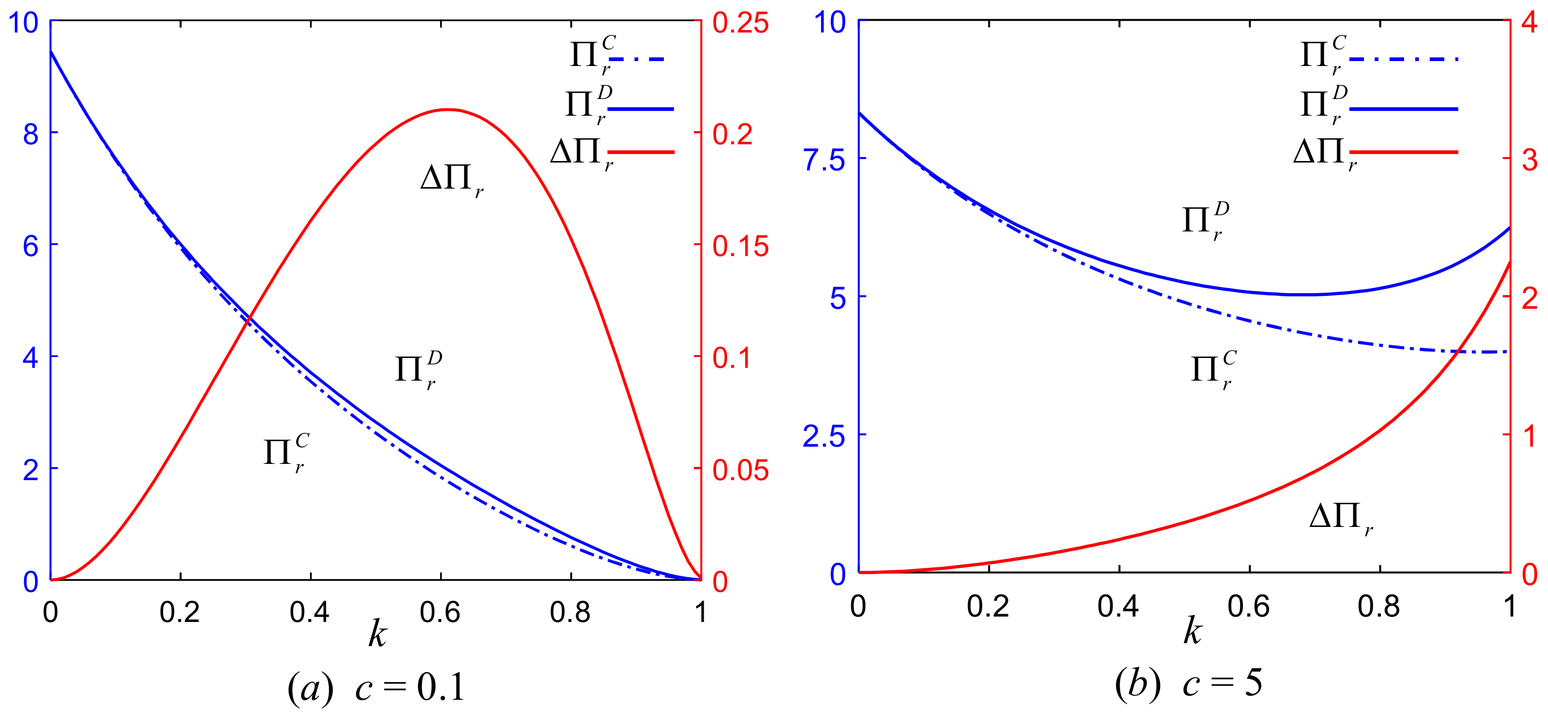
6.3. Effect of , and on Social Welfares
7. Conclusions
Author Contributions
Funding
Institutional Review Board Statement
Informed Consent Statement
Data Availability Statement
Acknowledgments
Conflicts of Interest
Appendix A. Proofs
References
- Wang, K.; Wei, Y.M.; Huang, Z. Potential Gains from Carbon Emissions Trading in China: A DEA Based Estimation on Abatement Cost Savings. Omega 2016, 63, 48–59. [Google Scholar]
- Ramanathan, U.; Bentley, Y.; Pang, G. The Role of Collaboration in the UK Green Supply Chains: An Exploratory Study of the Perspectives of Suppliers, Logistics and Retailers. J. Clean. Prod. 2014, 70, 231–241. [Google Scholar] [CrossRef]
- Sarkis, J. A Strategic Decision Framework for Green Supply Chain Management. J. Clean. Prod. 2003, 11, 397–440. [Google Scholar] [CrossRef]
- Linton, J.D.; Klassen, R.; Jayaraman, V. Sustainable Supply Chains: An Introduction. J. Oper. Manag. 2007, 25, 1075–1082. [Google Scholar] [CrossRef]
- Hong, Z.; Guo, X. Green Product Supply Chain Contracts Considering Environmental Responsibilities. Omega 2019, 83, 155–166. [Google Scholar] [CrossRef]
- Basiri, Z.; Heydari, J. A Mathematical Model for Green Supply Chain Coordination with Substitutable Products. J. Clean. Prod. 2017, 145, 232–249. [Google Scholar] [CrossRef]
- Hong, P.; Jagani, S.; Kim, J.; Youn, S.H. Managing Sustainability Orientation: An Empirical Investigation of Manufacturing Firms. Int. J. Prod. Econ. 2019, 211, 71–81. [Google Scholar] [CrossRef]
- Li, B.; Hou, P.-W.; Chen, P.; Li, Q.-H. Pricing Strategy and Coordination in a Dual Channel Supply Chain with a Risk-Averse Retailer. Int. J. Prod. Econ. 2016, 178, 154–168. [Google Scholar] [CrossRef]
- Conrad, K. Price Competition and Product Differentiation when Consumers Care for the Environment. Environ. Resour. Econ. 2005, 31, 1–19. [Google Scholar] [CrossRef]
- Reinhardt, F.L. Environmental Product Differentiation: Implications for Corporate Strategy. Calif. Manag. Rev. 1998, 40, 43–73. [Google Scholar] [CrossRef]
- Thøgersen, J. Eco-labeling is one among a number of policy tools that are used in what. In New Tools for Environmental Protection: Education, Information, and Voluntary Measures; Dietz, T., Stern, P.C., Eds.; National Academy Press: Washington, DC, USA, 2002; pp. 83–104. [Google Scholar]
- Ranjan, A.; Jha, J.K. Pricing and Coordination Strategies of a Dual-Channel Supply Chain Considering Green Quality and Sales Effort. J. Clean. Prod. 2019, 218, 409–424. [Google Scholar] [CrossRef]
- Yoon, D. Supplier Encroachment and Investment Spillovers. Prod. Oper. Manag. 2016, 25, 1839–1854. [Google Scholar] [CrossRef]
- Li, T.T.; Xie, J.X.; Zhao, X.B. Supplier Encroachment in Competitive Supply Chains. Int. J. Prod. Econ. 2015, 165, 120–131. [Google Scholar] [CrossRef]
- Sony Sells a Portion of Its Shares in StylingLife Holdings. Available online: https://www.sony.net/SonyInfo/News/Press/200612/06-114E/index.html (accessed on 27 April 2021).
- Kalnins, A. An Empirical Analysis of Territorial Encroachment Within Franchised and Company-Owned Branded Chains. Mark. Sci. 2004, 23, 476–489. [Google Scholar] [CrossRef]
- Vinhas, A.S.; Anderson, E. How Potential Conflict Drives Channel Structure: Concurrent (Direct and Indirect) Channels. J. Mark. Res. 2005, 42, 507–515. [Google Scholar] [CrossRef]
- Arya, A.; Mittendorf, B.; Yoon, D.-H. Friction in Related-Party Trade When a Rival Is Also a Customer. Manag. Sci. 2008, 54, 1850–1860. [Google Scholar] [CrossRef]
- Patra, P. Distribution of Profit in a Smart Phone Supply Chain under Green Sensitive Consumer Demand. J. Clean. Prod. 2018, 192, 608–620. [Google Scholar] [CrossRef]
- Liu, Z.L.; Anderson, T.D.; Cruz, J.M. Consumer Environmental Awareness and Competition in Two-Stage Supply Chains. Eur. J. Oper. Res. 2012, 218, 602–613. [Google Scholar] [CrossRef]
- Green, K.W.G., Jr.; Zelbst, P.J.; Meacham, J.; Bhadauria, V.S. Green Supply Chain Management Practices: Impact on Performance. Supply Chain Manag. Int. J. 2012, 17, 290–305. [Google Scholar] [CrossRef]
- Ghosh, D.; Shah, J. A Comparative Analysis of Greening Policies Across Supply Chain Structures. Int. J. Prod. Econ. 2012, 135, 568–583. [Google Scholar] [CrossRef]
- He, J.; Lei, Y.; Fu, X. Do Consumer’s Green Preference and the Reference Price Effect Improve Green Innovation? A Theoretical Model Using the Food Supply Chain as a Case. Int. J. Environ. Res. Public Health 2019, 16, 5007. [Google Scholar] [CrossRef] [PubMed]
- Liu, X.; Du, W.; Sun, Y. Green Supply Chain Decisions Under Different Power Structures: Wholesale Price vs. Revenue Sharing Contract. Int. J. Environ. Res. Public Health 2020, 17, 7737. [Google Scholar] [CrossRef] [PubMed]
- Lee, D. Who Drives Green Innovation? A Game Theoretical Analysis of a Closed-Loop Supply Chain under Different Power Structures. Int. J. Environ. Res. Public Health 2020, 17, 2274. [Google Scholar] [CrossRef]
- Cai, G. Channel Selection and Coordination in Dual-Channel Supply Chains. J. Retail. 2010, 86, 22–36. [Google Scholar] [CrossRef]
- Heydari, J.; Govindan, K.; Aslani, A. Pricing and Greening Decisions in a Three-Tier Dual Channel Supply Chain. Int. J. Prod. Econ. 2019, 217, 185–196. [Google Scholar] [CrossRef]
- Fein, A.J.; Anderson, E. Patterns of Credible Commitments: Territory and Brand Selectivity in Industrial Distribution Channels. J. Mark. 1997, 61, 19–34. [Google Scholar] [CrossRef]
- Tsay, A.A.; Agrawal, N. Channel Conflict and Coordination in the E-Commerce Age. Production and Operations Management. Prod. Oper. Manag. 2009, 13, 93–110. [Google Scholar] [CrossRef]
- Arya, A.; Mittendorf, B.; Sappington, D.E.M. The Bright Side of Supplier Encroachment. Mark. Sci. 2007, 26, 651–659. [Google Scholar] [CrossRef]
- Li, Z.; Gilbert, S.M.; Lai, G. Supplier Encroachment Under Asymmetric Information. Manag. Sci. 2014, 60, 449–462. [Google Scholar] [CrossRef]
- Ha, A.; Long, X.; Nasiry, J. Quality in Supply Chain Encroachment. Manuf. Serv. Oper. Manag. 2015, 18, 280–298. [Google Scholar] [CrossRef]
- Cai, G.G.; Zhang, Z.G.; Zhang, M. Game Theoretical Perspectives on Dual Channel Supply Chain Competition with Price Dis-Counts and Pricing Schemes. Int. J. Prod. Econ. 2009, 117, 80–96. [Google Scholar] [CrossRef]
- Chen, J.; Zhang, H.; Sun, Y. Implementing Coordination Contracts in a Manufacturer Stackelberg Dual-Channel Supply Chain. Omega 2012, 40, 571–583. [Google Scholar] [CrossRef]
- Swami, S.; Shah, J. Channel Coordination in Green Supply Chain Management. J. Oper. Res. Soc. 2013, 64, f336–f351. [Google Scholar] [CrossRef]
- Li, W.N.; Elsadany, A.A.; Zhou, W.; Zhu, Y.L. Global Analysis, Multi-Stability and Synchronization in a Competition Model of Public Enterprises with Consumer Surplus. Chaos Solitons Fractals 2021, 143, 110604. [Google Scholar] [CrossRef]
- Pal, R.; Saha, B. Pollution Tax, Partial Privatization and Environment. Resour. Energy Econ. 2015, 40, 19–35. [Google Scholar] [CrossRef]
- Bian, J.; Zhao, X. Tax or Subsidy? An analysis of Environmental Policies in Supply Chains with Retail Competition. Eur. J. Oper. Res. 2020, 283, 901–914. [Google Scholar] [CrossRef]
- Spence, M. Product Differentiation and Welfare. Am. Econ. Rev. 1976, 66, 407–414. [Google Scholar]
- Krass, D.; Nedorezov, T.; Ovchinnikov, A. Environmental Taxes and the Choice of Green Technology. Prod. Oper. Manag. 2013, 22, 1035–1055. [Google Scholar] [CrossRef]
- Poyago-Theotoky, J. The Organization of R&D and Environmental Policy. J. Econ. Behav. Organ. 2007, 62, 63–75. [Google Scholar]
- Ouchida, Y.; Goto, D. Do Emission Subsidies Reduce Emission? In the Context of Environmental R&D Organization. Econ. Model. 2014, 36, 511–516. [Google Scholar]
- Bian, J.; Guo, X.; Li, K.W. Decentralization or Integration: Distribution Channel Selection under Environmental Taxation. Transp. Res. Part E Logist. Transp. Rev. 2018, 113, 170–193. [Google Scholar] [CrossRef]
- Zhang, J.; Li, S.; Zhang, S.; Dai, R. Manufacturer Encroachment with Quality Decision under Asymmetric Demand Information. Eur. J. Oper. Res. 2019, 273, 217–236. [Google Scholar] [CrossRef]
- Chiang, W.K.; Chhajed, D.; Hess, J.D. Direct Marketing, Indirect Profits: A Strategic Analysis of Dual-Channel Supply-Chain Design. Manag. Sci. 2003, 49, 1–20. [Google Scholar] [CrossRef]
- Sun, X.; Tang, W.; Chen, J.; Li, S.; Zhang, J. Manufacturer Encroachment with Production Cost Reduction under Asymmetric Information. Transp. Res. Part E Logist. Transp. Rev. 2019, 128, 191–211. [Google Scholar] [CrossRef]
- Li, J.; Liang, J.; Shi, V.; Wang, Q. The Benefit of Manufacturer Encroachment Considering Consumer’s Environmental Awareness and Product Competition. Ann. Oper. Res. 2021, 3, 1–19. [Google Scholar]
- Li, J.; Wang, F.; He, Y. Electric Vehicle Routing Problem with Battery Swapping Considering Energy Consumption and Carbon Emissions. Sustainability 2020, 12, 10537. [Google Scholar] [CrossRef]
- Zhang, C.; Su, W.; Zeng, S.; Balezentis, T.; Herrera-Viedma, E. A Two-Stage Subgroup Decision-Making Method for Processing Large-Scale Information. Expert Syst. Appl. 2021, 171, 114586. [Google Scholar] [CrossRef]
- Li, J.; Yi, L.; Shi, V.; Chen, X. Supplier Encroachment Strategy in the Presence of Retail Strategic Inventory: Centralization or Decentralization? Omega 2021, 98, 102213. [Google Scholar] [CrossRef]




| Notations | Description |
|---|---|
| Index of firms: manufacturer (), subsidiary () or retailer () | |
| Index of centralized () or decentralized () encroachment | |
| Market base (the intercept of demand function) | |
| The coefficient of demand sensitivity for green innovation per unit product | |
| The manufacturer’s direct sales cost for per unit product, | |
| Green innovation effort made by the manufacturer | |
| Manufacturer’s wholesale price for the retailer | |
| Manufacturer’s transfer price for her subsidiary | |
| The product quantities of firm and | |
| The product’s retail price of firm and | |
| Profit function of firm |
Publisher’s Note: MDPI stays neutral with regard to jurisdictional claims in published maps and institutional affiliations. |
© 2021 by the authors. Licensee MDPI, Basel, Switzerland. This article is an open access article distributed under the terms and conditions of the Creative Commons Attribution (CC BY) license (https://creativecommons.org/licenses/by/4.0/).
Share and Cite
Cao, D.; Li, J.; Liu, G.; Mei, R. Can Decentralization Drive Green Innovation? A Game Theoretical Analysis of Manufacturer Encroachment Selection with Consumer Green Awareness. Processes 2021, 9, 990. https://doi.org/10.3390/pr9060990
Cao D, Li J, Liu G, Mei R. Can Decentralization Drive Green Innovation? A Game Theoretical Analysis of Manufacturer Encroachment Selection with Consumer Green Awareness. Processes. 2021; 9(6):990. https://doi.org/10.3390/pr9060990
Chicago/Turabian StyleCao, Dan, Jin Li, Gege Liu, and Ran Mei. 2021. "Can Decentralization Drive Green Innovation? A Game Theoretical Analysis of Manufacturer Encroachment Selection with Consumer Green Awareness" Processes 9, no. 6: 990. https://doi.org/10.3390/pr9060990
APA StyleCao, D., Li, J., Liu, G., & Mei, R. (2021). Can Decentralization Drive Green Innovation? A Game Theoretical Analysis of Manufacturer Encroachment Selection with Consumer Green Awareness. Processes, 9(6), 990. https://doi.org/10.3390/pr9060990
