Effects of Fin Arrangements on Thermal Hydraulic Performance of Supercritical Nitrogen in Printed Circuit Heat Exchanger
Abstract
1. Introduction
- The heat transfer and flow resistance of supercritical nitrogen in the PCHE with different arrangements of airfoil fins are investigated numerically.
- The local characteristics along the flow direction in the PCHE according to different arrangements of airfoil fins are analyzed.
- The overall pressure drops and heat transfer performance of the PCHE with respect to varying vertical and staggered distances of fins are investigated and the performance evaluation criteria (PEC) are compared to find the best arrangement of fins in this study.
2. Numerical Methodology
2.1. Physical Model and Boundary Condition
2.2. Numerical Model and Grid Independence
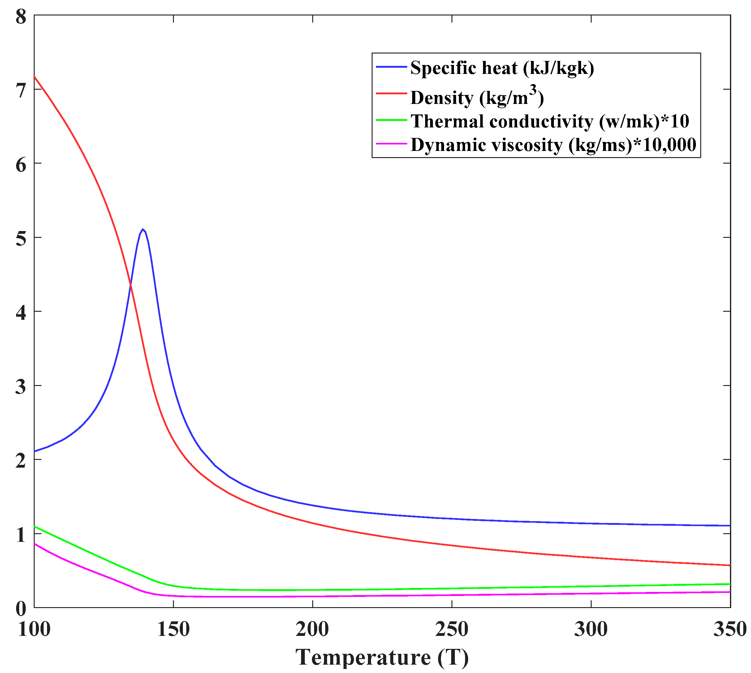
2.3. Thermal Physical Properties of Supercritical Nitrogen
2.4. Model Validation
2.5. Calculation Methodology
3. Results and Discussion
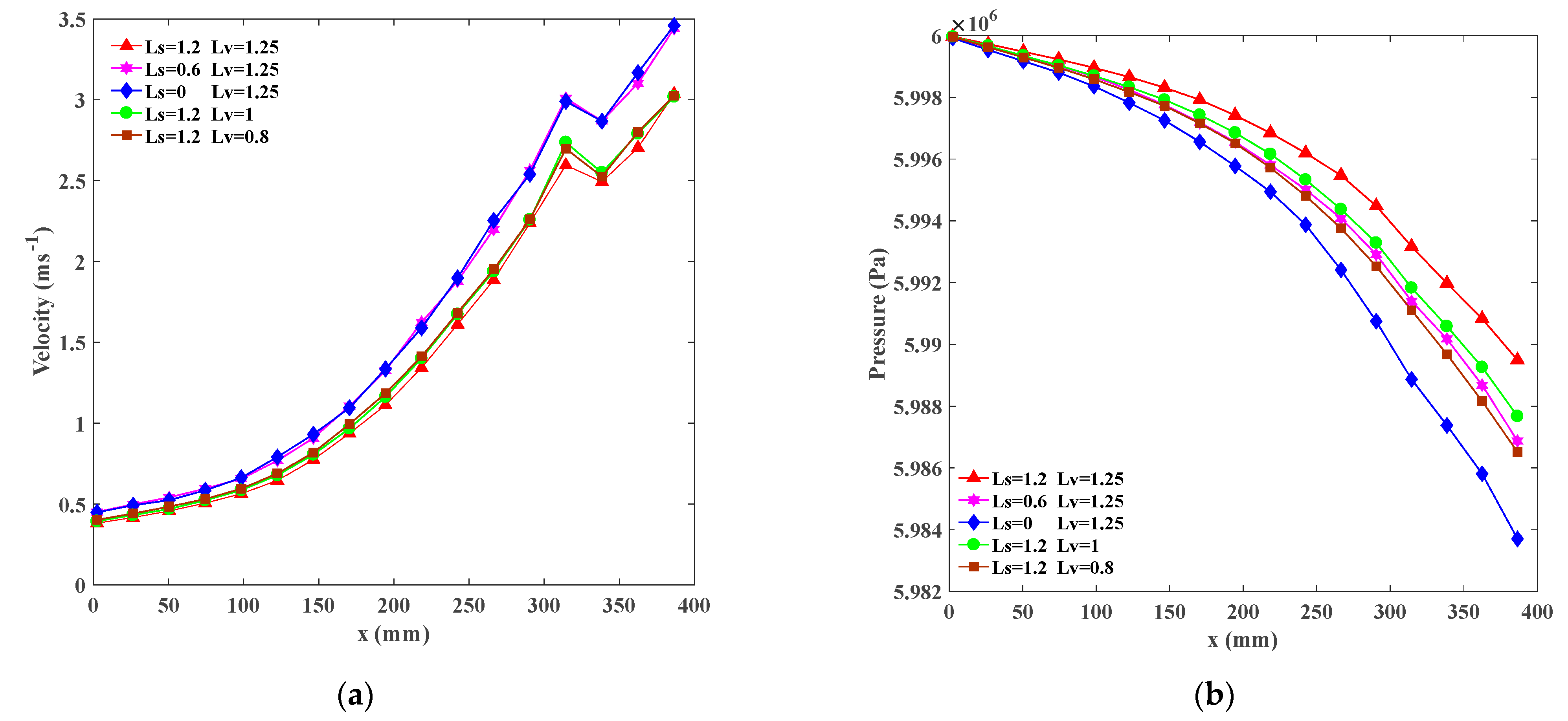
3.1. Local Characteristics of Different Fin Arrangements
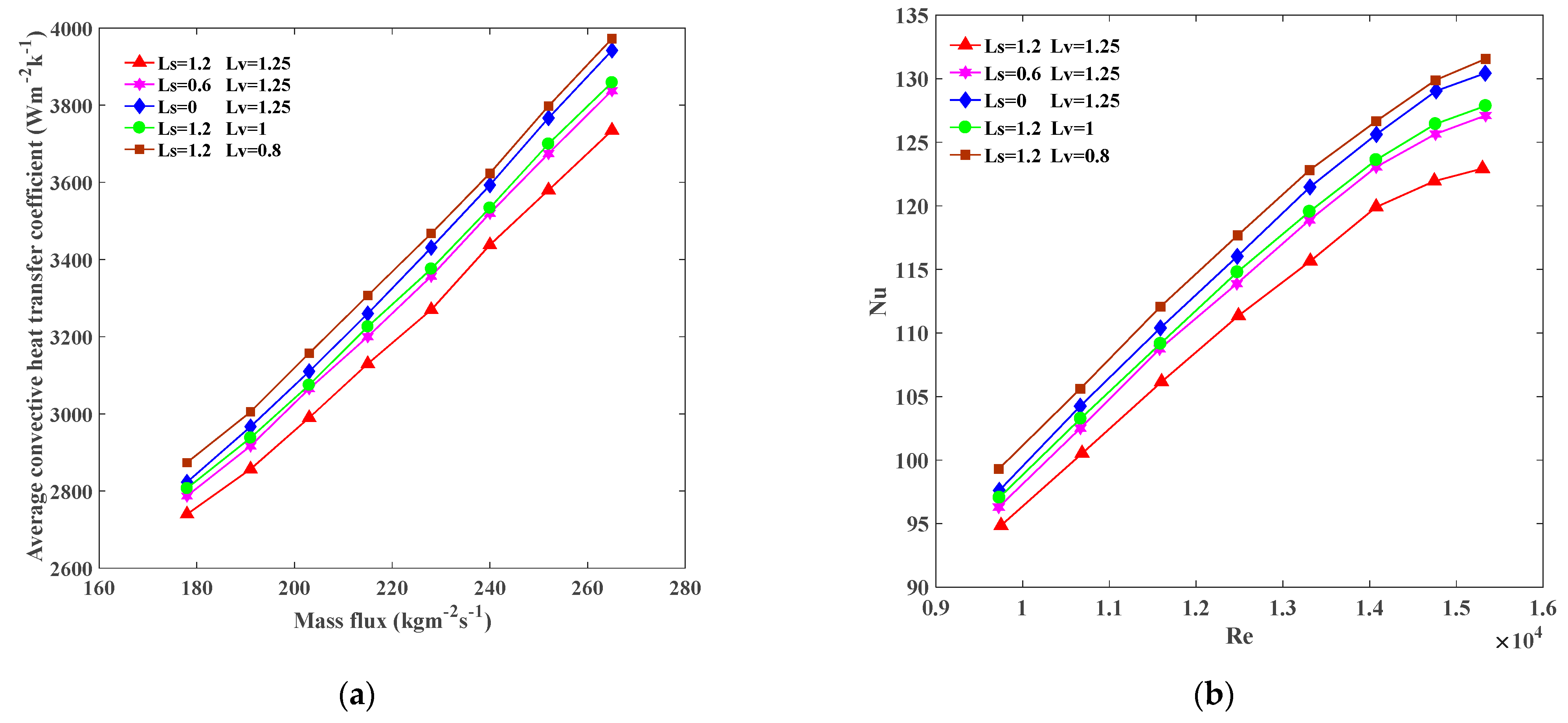
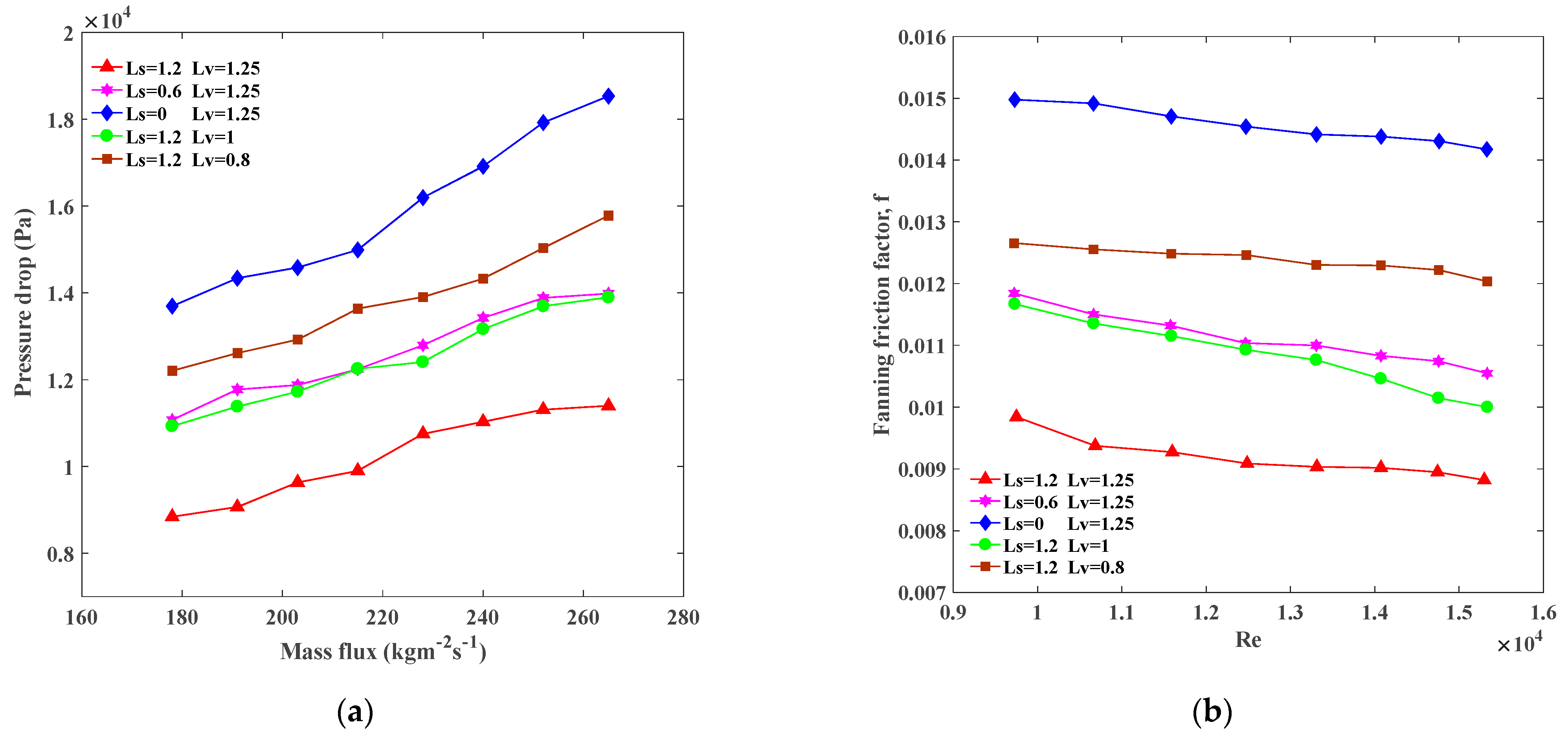
3.2. Overall Performance of Different Fin Arrangements
4. Conclusions
- When Lv is constant, the velocity distribution tends to be stable gradually as the Ls increases from 0 mm to 1.2 mm. Since the fin structure is wide head and narrow tail, it is easier to form a streamline when the fins are staggered. As the tail of the fin is narrow, there is nearly no vortex at the tail of the fin. In the case of completely staggered airfoil fins (Ls = 1.2 mm), the velocity improvement and uniform distribution can be achieved when Ls is the minimum value, i.e., 0.8 mm. The increasing trend of the velocity along the channel is similar for different fin arrangements and this increasing trend becomes steeper along the channel. In addition, when the Ls increases from 0 mm to 1.2 mm, the change in pressure becomes lower under the condition of constant Lv. At the same staggered distance (Ls = 1.2 mm), reducing the vertical distance between two rows of fins can lead to an increased pressure reduction.
- When the Lv remains constant, the convective heat transfer performance is enhanced by decreasing the value of Ls. In addition, when Ls is at a constant value of 1.2 mm, the vertical distance of Lv = 0.8 mm has a stronger convective heat transfer performance than that at Lv = 1 mm and Lv = 1.25 mm. Hence, appropriate reductions in Ls and Lv are more suitable for improving the convective heat transfer of the PCHE.
- At the same vertical distance (Lv = 1.25 mm), the pressure drop decreases with the increase in Ls. Therefore, when Ls = 1.2 mm, the average pressure drop is the minimum, only 56.6% of the parallel arrangement. For the same Ls of 1.2 mm, the pressure loss decreases by 34.9% on average as the vertical distance increases from 0.8 mm to 1.25 mm. Therefore, appropriate increases in Ls and Lv can reduce the pressure loss.
- Among all fin arrangements, the PEC average value of the staggered channel with Ls = 1.2 mm and Lv = 1.25 mm is the highest, which is 11.6% higher than that of the parallel channel, especially for a smaller value of Re. The comprehensive heat transfer performance can be improved by increasing the Ls and Lv.
Author Contributions
Funding
Institutional Review Board Statement
Conflicts of Interest
Nomenclature
| A | area |
| Cp | specific heat |
| Dh | hydraulic diameter |
| f | Fanning friction factor |
| h | convective heat transfer coefficient |
| L | length of channel |
| m | mass flow rate |
| Nu | Nusselt number |
| P | pressure drop |
| PCHE | Printed Circuit Heat Exchanger |
| PEC | Performance Evaluation Criteria |
| Pr | Prandtl number |
| q | heat flux |
| Re | Reynolds number |
| S | surface area |
| SST | Shear Stress Transport |
| T | temperature |
| V | volume |
| Greek letters | |
| density | |
| thermal conductivity | |
| dynamic viscosity | |
| velocity | |
| Subscripts | |
| w | wall |
| in | inlet |
| out | outlet |
| b | bulk |
| h | hydraulic |
| l | liquid |
| a | airfoil fin |
| c | chord length |
References
- Bartel, N.; Chen, M.; Utgikar, V.P.; Sun, X.; Kim, I.H.; Christensen, R.; Sabharwall, P. Comparative analysis of compact heat exchangers for application as the intermediate heat exchanger for advanced nuclear reactors. Ann. Nucl. Energy. 2015, 83, 143–149. [Google Scholar] [CrossRef]
- Hesselgreaves, J.E. The impact of compact heat exchangers on refrigeration technology and CFC replacement. In Proceedings of the International Refrigeration and Air Conditioning Conference, West Lafayette, IN, USA, 25–28 July 1990. [Google Scholar]
- Pra, F.; Tochon, P.; Mauget, C.; Fokkens, J.; Willemsen, S. Promising designs of compact heat exchangers for modular HTRs using the Brayton cycle. Nucl. Eng. Des. 2008, 238, 3160–3173. [Google Scholar] [CrossRef]
- Chen, L.; Zhang, X.R.; Okajima, J.; Maruyama, S. Numerical investigation of near-critical fluid convective flow mixing in micro-channels. Chem. Eng. Sci. 2013, 97, 67–80. [Google Scholar] [CrossRef]
- Chu, W.X.; Li, X.H.; Ma, T.; Chen, Y.T.; Wang, Q.W. Experimental investigation on SCO2-water heat transfer characteristics in a printed circuit heat exchanger with straight channels. Int. J. Heat Mass Tran. 2017, 113, 184–194. [Google Scholar] [CrossRef]
- Zhao, Z.C.; Zhang, X.; Zhao, K.; Jiang, P.P.; Chen, Y.P. Numerical investigation on heat transfer and flow characteristics of supercritical nitrogen in a straight channel of printed circuit heat exchanger. Appl. Therm. Eng. 2017, 126, 717–729. [Google Scholar] [CrossRef]
- Nikitin, K.; Kato, Y.; Ngo, L. Printed circuit heat exchanger thermal-hydraulic performance in supercritical CO2 experimental loop. Int. J. Refrig. 2006, 29, 807–814. [Google Scholar] [CrossRef]
- Lee, S.M.; Kim, Y.K. Multi-objective optimization of arc-shaped ribs in the channels of a printed circuit heat exchanger. Int. J. Therm. Sci. 2015, 94, 1–8. [Google Scholar] [CrossRef]
- Tsuzuki, N.; Kato, Y.; Ishiduka, T. High performance printed circuit heat exchanger. Appl. Therm. Eng. 2007, 27, 1702–1707. [Google Scholar] [CrossRef]
- Lee, S.M.; Kim, K.Y. Optimization of zigzag flow channels of a printed circuit heat exchanger for nuclear power plant application. J. Nucl. Sci. Technol. 2012, 49, 343–351. [Google Scholar] [CrossRef]
- Ngo, T.L.; Kato, Y.; Nikitin, K.; Tsuzuki, N. New printed circuit heat exchanger with S-shaped fins for hot water supplier. Exp. Therm. Fluid Sci. 2006, 30, 811–819. [Google Scholar] [CrossRef]
- Ngo, T.L.; Kato, Y.; Nikitin, K.; Ishizuka, T. Heat transfer and pressure drop correlations of microchannel heat exchangers with S-shaped and zigzag fins for carbon dioxide cycles. Exp. Therm. Fluid Sci. 2007, 32, 560–570. [Google Scholar] [CrossRef]
- Xu, X.Y.; Ma, T.; Li, L.; Zeng, M.; Chen, Y.T.; Huang, Y.P.; Wang, Q.W. Optimization of fin arrangement and channel configuration in an airfoil fin PCHE for supercritical CO2 cycle. Appl. Therm. Eng. 2014, 70, 867–875. [Google Scholar] [CrossRef]
- Kim, T.H.; Kwon, J.G.; Yoon, S.H.; Park, H.S.; Kim, M.H.; Cha, J.E. Numerical analysis of airfoil shaped fin performance in printed circuit heat exchanger in a supercritical carbon dioxide power cycle. Nucl. Eng. Des. 2015, 288, 110–118. [Google Scholar] [CrossRef]
- Chen, F.; Zhang, L.S.; Huai, X.L.; Li, J.F.; Zhang, H.; Liu, Z.G. Comprehensive performance comparison of airfoil fin PCHEs with NACA 00XX series airfoil. Nucl. Eng. Des. 2017, 315, 42–50. [Google Scholar] [CrossRef]
- Kwon, J.G.; Kim, T.H.; Park, H.S.; Cha, J.E.; Kim, M.H. Optimization of airfoil-type PCHE for the recuperator of small scale brayton cycle by cost-based objective function. Appl. Therm. Eng. 2016, 298, 192–200. [Google Scholar] [CrossRef]
- Kim, D.E.; Kim, M.H.; Cha, J.E.; Kim, S.O. Numerical investigation on thermal hydraulic performance of new printed circuit heat exchanger model. Nucl. Eng. Des. 2008, 238, 3269–3276. [Google Scholar] [CrossRef]
- Ma, T.; Xin, F.; Li, L.; Xu, X.Y.; Chen, Y.T.; Wang, Q.W. Effect of fin-end wall fillet on thermal hydraulic performance of airfoil printed circuit heat exchanger. Appl. Therm. Eng. 2015, 89, 1087–1095. [Google Scholar] [CrossRef]
- Popova, D.; Fikiin, K.; Stankov, B.; Alvarez, G.; Youbi-Idrissi, M.; Damas, A.; Evans, J.; Brown, T. Cryogenic heat exchangers for process cooling and renewable energy storage: A review. Appl. Therm. Eng. 2019, 153, 275–290. [Google Scholar] [CrossRef]
- Zhao, Z.C.; Chen, X.D.; Zhang, X.; Ma, X.L.; Yang, S. Experimental and numerical study on thermal-hydraulic performance of printed circuit heat exchanger for liquefied gas vaporization. Energy Sci. Eng. 2020, 8, 426–440. [Google Scholar] [CrossRef]
- Zhao, Z.C.; Zhang, Y.R.; Chen, X.D.; Ma, X.L.; Yang, S.; Li, S.L. A numerical study on condensation flow and heat transfer of refrigerant in minichannels of printed circuit heat exchanger. Int. J. Refrig. Rev. Int. Froid. 2019, 102, 96–111. [Google Scholar] [CrossRef]
- Zhao, Z.C.; Zhou, Y.M.; Ma, X.L.; Chen, X.D.; Li, S.L.; Yang, S. Numerical Study on Thermal Hydraulic Performance of Supercritical LNG in Zigzag-Type Channel PCHEs. Energies 2019, 12, 548. [Google Scholar] [CrossRef]
- Zhao, Z.C.; Zhao, K.; Jia, D.D.; Jiang, P.P.; Shen, R.D. Numerical Investigation on the Flow and Heat Transfer Characteristics of Supercritical Liquefied Natural Gas in an Airfoil Fin Printed Circuit Heat Exchanger. Energies 2017, 10, 1828. [Google Scholar] [CrossRef]
- Zhao, Z.C.; Zhang, Y.; Chen, X.D.; Ma, X.L.; Yang, S.; Li, S.L. Experimental and numerical investigation of thermal-hydraulic performance of supercritical nitrogen in airfoil fin printed circuit heat exchanger. Appl. Therm. Eng. 2020, 168, 114829. [Google Scholar] [CrossRef]
- ANSYS CFX-12.1 Solver Theory Guide, ANSYS, Inc. 2009. Available online: http://www.ansys.com/ (accessed on 23 March 2021).
- Yang, Z.D.; Wang, S.W.; Li, Y. Experimental and numerical analysis of heat transfer to water at supercritical pressures. Int. J. Heat Mass Tran. 2017, 108, 1676–1688. [Google Scholar] [CrossRef]
- Li, Z.H.; Wu, Y.X.; Lu, J.F.; Zhang, D.L.; Zhang, H. Heat transfer to supercritical water in circular tubes with circumferentially non-uniform heating. Appl. Therm. Eng. 2014, 70, 190–200. [Google Scholar] [CrossRef]
- Wen, Q.L.; Gu, H.Y. Numerical investigation of acceleration effect on heat transfer deterioration phenomenon in supercritical water. Prog. Nucl. Energy. 2011, 53, 480–486. [Google Scholar] [CrossRef]
- Xu, X.Y.; Wang, Q.W.; Li, L.; Ekkad, S.V.; Ma, T. Thermal-hydraulic performance of different discontinuous fins used in a printed circuit heat exchanger for supercritical CO2. Numer. Heat Transf. Part A Appl. 2015, 68, 1067–1086. [Google Scholar] [CrossRef]
- Taylor, N.B.; Kuyatt, C.E. Guideliness for Evaluating and Expressing the Uncertainty of NIST Measurement Results; NIST Technical Note 1297; National Institute of Standards and Technology: Gaithersburg, MD, USA, 1994. [Google Scholar]
- Figley, J.; Sun, X.D.; Mylavarapu, S.K.; Hajek, B. Numerical study on thermal hydraulic performance of a printed circuit heat exchanger. Prog. Nucl. Energy. 2013, 66, 89–96. [Google Scholar] [CrossRef]
- Webb, R.L.; Kim, N.H. Algebraic Formulation of the PEC. In Principles of Enhanced Heat Transfer, 2nd ed.; Taylor & Francis Group: Milton Park, UK, 2005; pp. 1–816. [Google Scholar]












| Case | 3,523,635 | 4,804,956 | 5,724,613 | 6,406,608 | 7,687,930 | Experimental Data |
|---|---|---|---|---|---|---|
| Outlet temperature | 281.56 | 282.92 | 283.61 | 284.18 | 284.06 | 284.5 |
| Temperature Range (K) | Density |
|---|---|
| 100–140 | 10−3T3 |
| 140–200 | = 61544.16687 − 1366.704T + 11.43075T2 − 0.04253T3 + 0.0000593151T4 |
| 200–350 | = 476.54019 − 3.09919T + 0.00784T2 − 0.00000688434T3 |
| Specific Heat | |
| 100–140 | 10−2T3 |
| 140–200 | Cp = 269355.00689 − 4401.41191T + 24.12557T2 − 0.0441T3 |
| 200–350 | Cp = 2961.5785 − 13.56096T + 0.03285T2 − 0.0000265589T3 |
| Thermal Conductivity | |
| 100–140 | 10−8 T3 |
| 140–200 | 10−7 T3 |
| 200–350 | 10−10 T3 |
| Viscosity | |
| 100–140 | 10−10T3 |
| 140–200 | 10−9T3 |
| 200–350 | 10−13T3 |
| Mass Flux (kg/m2s) | Error (%) | |
|---|---|---|
| Temperature | Pressure Drop | |
| 184.6 | 0.62 | 2.32 |
| 190.7 | 0.51 | 2.01 |
| 196.9 | 0.34 | 2.25 |
| 203.1 | 0.16 | 0.66 |
| 209.2 | 0.18 | 1.40 |
| 215.4 | 0.22 | 2.82 |
| 221.5 | 0.23 | 3.19 |
| 227.7 | 0.78 | 1.28 |
| 233.8 | 0.84 | 4.51 |
Publisher’s Note: MDPI stays neutral with regard to jurisdictional claims in published maps and institutional affiliations. |
© 2021 by the authors. Licensee MDPI, Basel, Switzerland. This article is an open access article distributed under the terms and conditions of the Creative Commons Attribution (CC BY) license (https://creativecommons.org/licenses/by/4.0/).
Share and Cite
Yang, S.; Zhao, Z.; Zhang, Y.; Chen, Z.; Yang, M. Effects of Fin Arrangements on Thermal Hydraulic Performance of Supercritical Nitrogen in Printed Circuit Heat Exchanger. Processes 2021, 9, 861. https://doi.org/10.3390/pr9050861
Yang S, Zhao Z, Zhang Y, Chen Z, Yang M. Effects of Fin Arrangements on Thermal Hydraulic Performance of Supercritical Nitrogen in Printed Circuit Heat Exchanger. Processes. 2021; 9(5):861. https://doi.org/10.3390/pr9050861
Chicago/Turabian StyleYang, Shan, Zhongchao Zhao, Yong Zhang, Zhengchao Chen, and Min Yang. 2021. "Effects of Fin Arrangements on Thermal Hydraulic Performance of Supercritical Nitrogen in Printed Circuit Heat Exchanger" Processes 9, no. 5: 861. https://doi.org/10.3390/pr9050861
APA StyleYang, S., Zhao, Z., Zhang, Y., Chen, Z., & Yang, M. (2021). Effects of Fin Arrangements on Thermal Hydraulic Performance of Supercritical Nitrogen in Printed Circuit Heat Exchanger. Processes, 9(5), 861. https://doi.org/10.3390/pr9050861
