Flow and Heat Transfer Property of Oldroyd-B-Fluid-Based Nanofluids Containing Cylindrical Particles in a Pipe
Abstract
1. Introduction
2. Governing Equations
2.1. Equations of Oldroyd-B-Fluid Flow Containing Cylindrical Particles

2.2. Probability Density Functions for Particle Orientation
2.3. Convection–Diffusion Equations of Particles
3. Numerical Simulation
3.1. Main Steps of Simulation
- (1)
- Solve Equations (1)–(6) with Φ = 0 (i.e., pure Oldroyd-B fluid) to get u, p and τ.
- (2)
- Solve Equations (15)–(18) to get n and Φ.
- (3)
- Substitute Φ into Equations (3), (6), (8)–(10) to get μa, ρt, kt and Dt.
- (4)
- Substitute u and Equations (13) and (14) into Equation (12) and solve it to get ψ.
- (5)
- Substitute ψ into Equation (11) to get a2 and a4.
- (6)
- Substitute Φ, ρt, μa, kt, a2, a4 and Dt into Equations (1)–(7) to get u, p, τ and T.
- (7)
- Turn to Step (2) based on the new values of u, p and τ if necessary.
- (8)
- Calculate the friction factor f and Nusselt number Nu:where is the average velocity of the fluid in the flow direction; ∆p is the pressure drop; h is the heat transfer coefficient.
3.2. Numerical Method and Parameters
3.3. Mesh Independence Test and Validation
4. Results and Discussion
4.1. Friction Factor
4.1.1. Effect of Reynolds Number and Weissenberg Number
4.1.2. Effect of Particle Aspect Ratio and Volume Concentration
4.2. Heat Transfer
4.2.1. Effect of Reynolds Number and Weissenberg Number
4.2.2. Effect of Particle Aspect Ratio and Volume Concentration
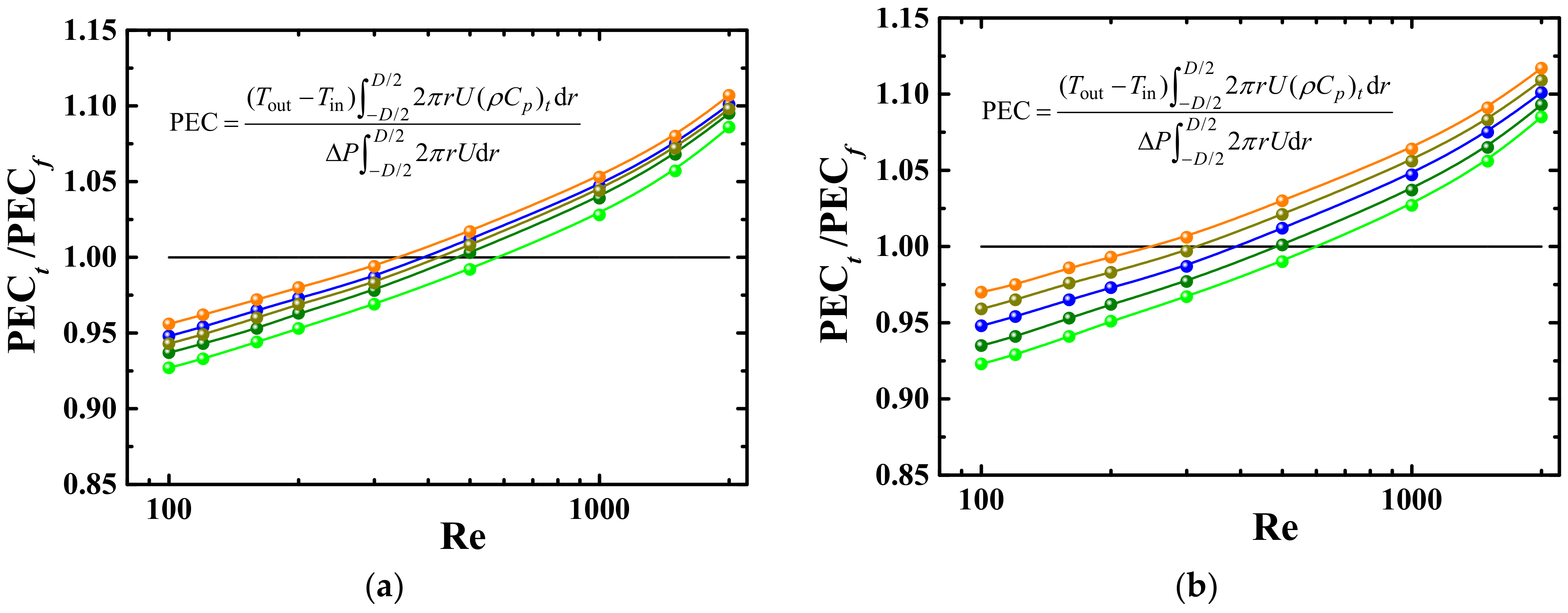
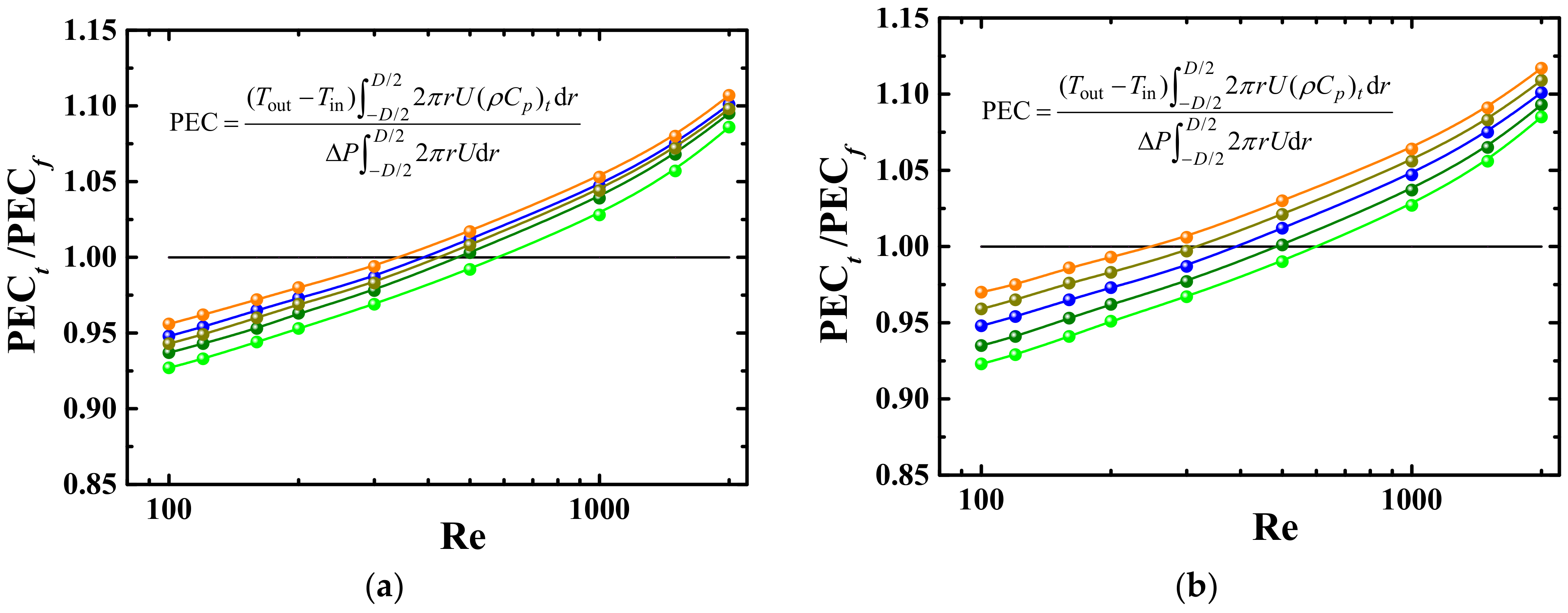
4.3. Performance Evaluation Criterion
4.3.1. Effect of Reynolds Number and Weissenberg Number
4.3.2. Effect of Particle Aspect Ratio and Volume Concentration
4.3.3. Correlation Model
5. Conclusions
Author Contributions
Funding
Institutional Review Board Statement
Informed Consent Statement
Data Availability Statement
Conflicts of Interest
References
- Subedi, J.; Rajendran, S.; Manglik, R.M. Laminar forced convection in viscous shear-thinning liquid flows inside circular pipes: Case for a modified power-law rheology. J. Heat Transf. 2020, 142, 121802. [Google Scholar] [CrossRef]
- Costine, A.; Fawell, P.; Chryss, A.; Dahl, S.; Bellwood, J. Development of test procedures based on chaotic advection for assessing polymer performance in high-solids tailings applications. Processes 2020, 9, 731. [Google Scholar] [CrossRef]
- Safaei, M.R.; Shadloo, M.S.; Goodarzi, M.; Hadjadj, A.; Goshayeshi, H.R.; Afrand, M.; Kazi, S.N. A survey on experimental and numerical studies of convection heat transfer of nanofluids inside closed conduits. Adv. Mech. Eng. 2016, 8, 16878140. [Google Scholar] [CrossRef]
- Martorana, P.; Bayer, I.S.; Steele, A.; Loth, E. Effect of graphite and carbon nanofiber additives on the performance efficiency of a gear pump driven hydraulic circuit using ethanol. Ind. Eng. Chem. Res. 2010, 49, 11363–11368. [Google Scholar] [CrossRef]
- Peng, Y.P.; Zahedidastjerdi, A.; Abdollahi, A.; Amindoust, A.; Bahrami, M.; Karimipour, A.; Goodarzi, M. Investigation of energy performance in a U-shaped evacuated solar tube collector using oxide added nanoparticles through the emitter, absorber and transmittal environments via discrete ordinates radiation method. J. Therm. Anal. Calorim. 2020, 139, 2623–2631. [Google Scholar] [CrossRef]
- Tian, Z.; Abdollahi, A.; Shariati, M.; Amindoust, A.; Arasteh, H.; Karimipour, A.; Goodarzi, M.; Bach, Q.V. Turbulent flows in a spiral double-pipe heat exchanger optimal performance conditions using an enhanced genetic algorithm. Int. J. Numer. Methods Heat Fluid Flow 2020, 30, 39–53. [Google Scholar] [CrossRef]
- Sandeep, N.; Malvandi, A. Enhanced heat transfer in liquid thin film flow of non-newtonian nanofluids embedded with graphene nanoparticles. Adv. Powder Technol. 2016, 27, 2448–2456. [Google Scholar] [CrossRef]
- Sulaiman, M.; Ali, A.; Islam, S. Heat and mass transfer in three-dimensional flow of an Oldroyd-B nanofluid with gyrotactic micro-organisms. Math. Probl. Eng. 2018, 2018, 6790420. [Google Scholar] [CrossRef]
- Sandeep, N.; Sulochana, C. Momentum and heat transfer behavior of Jeffrey, Maxwell and Oldroyd-B nanofluids past a stretching surface with non-uniform heat source/sink. AIN Shams Eng. J. 2018, 9, 517–524. [Google Scholar] [CrossRef]
- Aziz, A.; Muhammad, T.; Alsaedi, A.; Hayat, T. An optimal study for 3D rotating flow of Oldroyd-B nanofluid with convectively heated surface. J. Braz. Soc. Mech. Sci. Eng. 2019, 41, 1–11. [Google Scholar] [CrossRef]
- Masuda, H.; Ebata, A.; Teramae, K.; Hishinuma, N. Alternation of thermal conductivity and viscosity of liquid by dispersing ultra-fine particles (dispersion of γ-Al2O3, SiO2 and TiO2 ultra-fine particles). Netsu Bussei 1993, 7, 227–233. [Google Scholar] [CrossRef]
- Ahmed, Z.; Al-Qahtani, A.; Nadeem, S.; Saleem, S. Computational study of mhd nanofluid flow possessing micro-rotational inertia over a curved surface with variable thermophysical properties. Processes 2019, 7, 387. [Google Scholar] [CrossRef]
- Nan, C.; Shi, Z.; Lin, Y. A simple model for thermal conductivity of carbon nanotube-based composites. Chem. Phys. Lett. 2003, 375, 666–669. [Google Scholar] [CrossRef]
- Murshed, S.; Leong, K.; Yang, C. Investigations of thermal conductivity and viscosity of nanofluids. Int. J. Therm. Sci. 2008, 47, 560–568. [Google Scholar] [CrossRef]
- Patel, H.E.; Anoop, K.B.; Sundararajan, T.; Das, S.K. Model for thermal conductivity of CNT-nanofluids. Bull. Mater. Sci. 2008, 31, 387–390. [Google Scholar] [CrossRef]
- Elias, M.M.; Miqdad, M.; Mahbubul, I.M.; Saidur, R.; Kamalisarvestani, M.; Sohel, M.R.; Hepbasli, A.; Rahim, N.A.; Amalina, M.A. Effect of nanoparticle shape on the heat transfer and thermodynamic performance of a shell and tube heat exchanger. Int. Commun. Heat Mass Transf. 2013, 44, 93–99. [Google Scholar] [CrossRef]
- Ghosh, M.M.; Ghosh, S.; Pabi, S.K. Effects of particle shape and fluid temperature on heat-transfer characteristics of nanofluids. J. Mater. Eng. Perform. 2013, 22, 1525–1529. [Google Scholar] [CrossRef]
- Lin, J.Z.; Xia, Y.; Ku, X.K. Friction factor and heat transfer of nanofluids containing cylindrical nanoparticles in laminar pipe flow. J. Appl. Phys. 2014, 116, 133513. [Google Scholar] [CrossRef]
- Shaikh, S.; Lafdi, K.; Ponnappan, R. Thermal conductivity improvement in Carbon nanoparticle doped PAO oil: An experimental study. J. Appl. Phys. 2007, 101, 64302. [Google Scholar] [CrossRef]
- Nelson, I.C.; Banerjee, D.; Ponnappan, R. Flow loop experiments using polyalphaolefin nanofluids. J. Thermophys. Heat Transf. 2009, 23, 752–761. [Google Scholar] [CrossRef]
- Yu, L.; Liu, D.; Botz, F. Laminar convective heat transfer of alumina-polyalphaolefin nanofluids containing spherical and non-spherical nanoparticles. Exp. Therm. Fluid Sci. 2012, 37, 72–83. [Google Scholar] [CrossRef]
- Batchelor, G.K. Stress generated in a non-dilute suspension of elongated particles by pure straining motion. J. Fluid Mech. 1971, 46, 813–829. [Google Scholar] [CrossRef]
- Mackaplow, M.B.; Shaqfeh, E.S.G. A Numerical study of the rheological properties of suspensions of rigid, non-Brownian fibres. J. Fluid Mech. 1996, 329, 155–186. [Google Scholar] [CrossRef]
- Zhang, X.; Gu, H.; Fujii, M. Effective thermal conductivity and thermal diffusivity of nanofluids containing spherical and cylindrical nanoparticles. Exp. Therm. Fluid Sci. 2007, 31, 593–599. [Google Scholar] [CrossRef]
- Cintra, J.S.; Tucker, C.L. Orthotropic closure approximations for flow-induced fiber orientation. J. Rheol. 1995, 39, 1095–1122. [Google Scholar] [CrossRef]
- Koch, D.L. A model for orientational diffusion in fiber suspensions. Phys. Fluids 1995, 7, 2086–2088. [Google Scholar] [CrossRef]
- Li, G.; Tang, J.X. Diffusion of actin filaments within a thin layer between two walls. Phys. Rev. E 2004, 69, 061921. [Google Scholar] [CrossRef] [PubMed]
- Yapici, K.; Karasozen, B.; Uludag, Y. Numerical analysis of viscoelastic fluids in steady pressure-driven channel flow. J. Fluids Eng. 2012, 134, 051206. [Google Scholar] [CrossRef]
- Bernstein, O.; Shapiro, M. Direct determination of the orientation distribution function of cylindrical particles immersed in laminar and turbulent shear flows. J. Aerosol Sci. 1994, 25, 113–136. [Google Scholar] [CrossRef]
- Ferrouillat, S.; Bontemps, A.; Poncelet, O.; Soriano, O.; Gruss, J.A. Influence of nanoparticle shape factor on convective heat transfer and energetic performance of water-based SiO2 and ZnO nanofluids. Appl. Therm. Eng. 2013, 51, 839–851. [Google Scholar] [CrossRef]
- Ko, G.H.; Heo, K.; Lee, K.; Kim, D.S.; Kim, C.; Sohn, Y.; Choi, M. An Experimental study on the pressure drop of nanofluids containing carbon nanotubes in a horizontal tube. Int. J. Heat Mass Transf. 2007, 50, 4749–4753. [Google Scholar] [CrossRef]
- Steele, A.; Bayer, I.S.; Loth, E. Pipe flow drag reduction effects from carbon nanotube additives. Carbon 2014, 77, 1183–1186. [Google Scholar] [CrossRef]
- Krushkal, E.M.; Gallily, I. On the orientation distribution function of non-spherical aerosol particles in a general shear flow—II. The turbulent case. J. Aerosol Sci. 1988, 19, 197–211. [Google Scholar] [CrossRef]
- Zamzamian, A.; Oskouie, S.N.; Doosthoseini, A.; Joneidi, A.; Pazouki, M. Experimental investigation of forced convective heat transfer coefficient in nanofluids of Al2O3/EG and CuO/EG in a double pipe and plate heat exchangers under turbulent flow. Exp. Therm. Fluid Sci. 2011, 35, 495–502. [Google Scholar] [CrossRef]











| r × θ × S | M1 | r × θ × S | M1 | r × θ × S | M1 |
|---|---|---|---|---|---|
| 112 × 32 × 256 | 1.16582 | 128 × 24 × 256 | 1.16580 | 128 × 32 × 216 | 1.16575 |
| 120 × 32 × 256 | 1.16564 | 128 × 28 × 256 | 1.16563 | 128 × 32 × 236 | 1.16561 |
| 128 × 32 × 256 | 1.16549 | 128 × 32 × 256 | 1.16549 | 128 × 32 × 256 | 1.16549 |
| 136 × 32 × 256 | 1.16541 | 128 × 36 × 256 | 1.16543 | 128 × 32 × 276 | 1.16544 |
| 144 × 32 × 256 | 1.16536 | 128 × 40 × 256 | 1.16539 | 128 × 32 × 296 | 1.16542 |
Publisher’s Note: MDPI stays neutral with regard to jurisdictional claims in published maps and institutional affiliations. |
© 2021 by the authors. Licensee MDPI, Basel, Switzerland. This article is an open access article distributed under the terms and conditions of the Creative Commons Attribution (CC BY) license (https://creativecommons.org/licenses/by/4.0/).
Share and Cite
Lin, W.; Zhang, P.; Lin, J. Flow and Heat Transfer Property of Oldroyd-B-Fluid-Based Nanofluids Containing Cylindrical Particles in a Pipe. Processes 2021, 9, 647. https://doi.org/10.3390/pr9040647
Lin W, Zhang P, Lin J. Flow and Heat Transfer Property of Oldroyd-B-Fluid-Based Nanofluids Containing Cylindrical Particles in a Pipe. Processes. 2021; 9(4):647. https://doi.org/10.3390/pr9040647
Chicago/Turabian StyleLin, Wenqian, Peijie Zhang, and Jianzhong Lin. 2021. "Flow and Heat Transfer Property of Oldroyd-B-Fluid-Based Nanofluids Containing Cylindrical Particles in a Pipe" Processes 9, no. 4: 647. https://doi.org/10.3390/pr9040647
APA StyleLin, W., Zhang, P., & Lin, J. (2021). Flow and Heat Transfer Property of Oldroyd-B-Fluid-Based Nanofluids Containing Cylindrical Particles in a Pipe. Processes, 9(4), 647. https://doi.org/10.3390/pr9040647

