Abstract
The unique and outstanding physical and chemical properties of aluminosilicate minerals, including zeolites, make them extremely useful in remediation processes. That is due to their demonstrated high efficiency, inexpensiveness, and environmental friendliness in processes aimed on the elimination of heavy metals from water. The paper reports the results of the examination of selectivity of the tested clay minerals and zeolites toward different heavy metals in light of the postulated sorption mechanisms. It was stated that while the most efficient at concurrent removal of lead and copper from aqueous solutions were synthetic zeolites 3A and 10A, smectite was the best in dealing with prolonged pollution with Pb2+ and Cu2+. Determined as one of the parameters in DKR isotherm energy of the process for each combination of sorbate and sorbent, it showed that the dominant mechanism of adsorption on the tested mineral sorbents was physisorption. The exception was kaolinite, for which that energy implied ion exchange as the dominant mechanism of the process.
Highlights
- -
- Synthetic zeolites remove Pb2+ and Cu2+ ions from multi-component aqueous solutions faster and more efficiently than natural minerals;
- -
- The natural aluminosilicate smectite has a higher sorption capacity than synthetic aluminosilicates over a wider range of concentrations;
- -
- Lead displays about 30% higher affinity towards the tested aluminosilicates than copper;
- -
- Natural and synthetic aluminosilicates are able to reduce the mobility of Pb2+ and Cu2+ in aquatic environments.
1. Introduction
One of the results of technological development is an increasing level of environmental pollution with various compounds, including heavy metals. That contributes to the decrease in freshwater resources and lowering of their quality and is related to the impacted recovery and self-purification abilities of natural freshwater ecosystems [1,2,3,4,5,6].
Heavy metals are among the most important environmental pollutants, because of their high potential for accumulation in various components of the environment. Mining and processing of non-ferrous metals, the activities which generate a broad spectrum of solid and liquid wastes often bearing high amounts of those elements, are enumerated among the most important sources of pollution of environment with heavy metals. Pollution from these sources impacts the environment and poses a significant threat to the human health due to the inclusion of heavy metals into the food chain.
The experimental hypothesis of this work is based on the earlier experience of the authors on reducing the incorporation of heavy metals in the trophic chain by minimising their uptake from soils by plants and the results of other researchers examining the elimination of these elements from polluted waters [7,8,9,10,11,12,13,14,15,16,17,18,19,20]. At present several various methods of elimination of heavy metals from water, based on the sorption phenomena, are characterised and used in practice. Among those newly developed and most promising are physisorption on nanomaterials and ultrafiltration with nanomembranes [21,22,23,24].
In this work it was assumed that the materials used to eliminate heavy metals from water should display following three features: high efficiency, inexpensiveness, and environmental friendliness. These conditions are met by the natural and synthetic aluminosilicate minerals.
The main task of the study was to determine the sorption capacity and selectivity of layered aluminosilicate minerals (clays) and porous aluminosilicate minerals containing networks of pores and chambers (zeolites) toward lead and copper present in a multi-solute aqueous solution. An additional goal was to identify the would-be mechanisms of Pb2+ and Cu2+ ions onto the tested sorbents. That led to the assessment of the possibility of using the tested minerals for the decontamination of water, in particular in case of accidental emissions. From a practical point of view, the obtained results should give the practitioners a clear indication on the selection of the adequate sorbent to cope with accidental high-concentration releases of lead and copper into an aquatic environment, hitherto seldom considered in scientific publications.
For that reason, the concentrations of metals used in the experiment were correlated with the Cation Exchange Capacity (CEC) of the tested minerals. That was done to clearly and unambiguously determine the efficiency of the tested minerals in removing the pollutants from the purified matrix by means of sorption.
To meet the above aims of the study, the sorption from aqueous solution onto aluminosilicate minerals of Pb2+ and Cu2+ dissolved alongside Cd2+, and Zn2+ was examined.
The reason for that was two-fold. First, these two metals are on the list of the most common metallic environmental pollutants.
It was stated that the affinity to clay minerals is much stronger in the case of Pb2+, than that for Cu2+. Due to these similarities in behaviour in the environment, it was decided to examine and compare the sorption of those two elements on the selected aluminosilicates, in order to attempt to determine the similarities and differences of their behaviour.
It is important to remove those compounds from the surface water compartment, in order to limit their inclusion in the food chain [3,6,24,25,26].
2. Materials and Methods
In the study, two kinds of aluminosilicate minerals—natural clays, having a layered structure, and zeolites—porous minerals also named “molecular sieves” were used.
Two natural clay minerals were selected—kaolinite and smectite. The layers of those minerals are composed of sheets containing silicate tetrahedra arranged in hexagons linked with sheets formed of octahedra containing Al atoms. The Si atoms in tetrahedra may be substituted by Al atoms, while Al atoms in octahedra by Mg and Fe. Depending on the arrangement of tetrahedron and octahedron sheets in a layer, the aluminosilicates are divided into two-layer (1:1) and three-layer (2:1) structures. The main representative of two-layer aluminosilicates is kaolinite, while that of three-layer minerals is smectite.
That results in different sorption properties. In the case of two-layer aluminosilicates, having layers linked by hydrogen bonds, interlayer sorption is impossible, and the sorption occurs only on the grain surface (as in kaolinite). In the three-layer minerals, such as smectite, the layers are linked by weak intermolecular electrostatic forces, such as van der Waals forces. As a result, sorption onto these minerals occurs on the surface of the mineral, as well as in the internal interlayer space.
The kaolinite used in the study originated from deposits located in southern Poland and smectite from deposits located in Milwaukee, WI, USA.
Alongside them, four zeolites were tested—A natural Cliniptilolite and three synthetic zeolites: 3A, 10a, and 13X. Clinoptilolite came from Caucasian deposits—A zeolite-bearing rock containing 90% clinoptilolite from Sokyrnytsa mine, Zakarpatye region, Ukraine. All three synthetic zeolites, which are commercially available chemicals, were purchased from a manufacturer (IZC “Soda-Mątwy”, Inowrocław, Poland) who also provided their SDS (Safety Data Sheet) cards.
Zeolites are crystalline hydrated aluminosilicates with highly variable internal structures. They consist of silicate tetrahedra linked by the oxygen bridges, in which central Si atoms may be heterovalently substituted by Al atoms or the elements belonging to the groups Ia and IIa of the periodic table (Li+, Na+, K+, Mg2+, Ca2+, Sr2+, and Ba2+); preferably Mg2+. Their characteristic feature are empty spaces packed with ions and molecules of water displaying a high degree of freedom of movement. Their alternate name—“molecular sieves” is due to their ability to selectively sorb the chemical molecules smaller than their pores.
Clinoptilolite, the selected natural zeolite, has an experimentally determined Si/Al ratio of 2:5, equal to 1:2.5, K+ and Ca2+ as dominant exchangeable cations, and pore diameter of 0.44–0.55 nm. Synthetic zeolite 3A is a sodium-and-potassium zeolite, while 10A and 13x are both sodium zeolites. Their pore diameter is 0.38 nm for 3A, 0.9–1.0 nm for 10A and 0.9–1.0 nm for 13X. For all three zeolites the Si/Al ratio reported by the manufacturer was 2:4 (equal to 1:2).
In Table 1 below, the key properties of each tested aluminosilicate mineral are provided.
Table 1.
The key properties of minerals used in the experiment.
The adsorption of lead and copper, as Pb2+ and Cu2+, onto selected six minerals was carried out using aqueous solutions also containing Zn2+ and Cd2+, prepared using the serial dilution method from respective stock solutions. Their initial concentrations were set to 2% CEC, 10% CEC, 20% CEC, 30% CEC, 50% CEC, 75% CEC, and 100% CEC (Cation Exchange Capacity) of the given mineral sorbent.
Adequate amounts of individual, analytical grade solid nitrate (V) salts (purchased from Merck™) were dissolved in deionized water to prepare stock solutions. The obtained mixtures had a total concentration of test ions equal to 100% CEC of the given mineral sorbent.
The experiment was performed in line with the provisions of the OECD Guideline 106 [27] and it consisted of two stages.
The initial stage was aimed at the determination of the adequate incubation temperature and equilibration time, and in general, it was performed to confirm the previous findings of the authors (for that reason it was shortened to the absolute minimum). The aim of the definitive test was to determine the sorption capacity of each tested mineral towards each of the test metal ions.
The whole experiment was performed in the batch mode using the pre-defined sorbent:solution ratio of 1:25.
In the definitive test, seven polymetallic solutions were used. Their concentrations are presented above. The samples were placed on a on a horizontal shaker (type EIMI WS) in a water bath having a constant temperature of T = 20 ± 1 °C and equilibrated. After that each sample was centrifuged. Clarified supernatants were collected and analyzed for the content of heavy metals using the AAS technique with flame atomization (equipment: Carl Zeiss Jenoptic). The method of analysis, and in particular, the atomization technique, was selected to fit to the analyzed concentrations, which covered the broad range from 0.1 ppm to ~6000 ppm while simultaneously limiting the number of necessary dilutions. For the same reason, depending on the range of expected concentrations in analyzed solutions, different spectral lines corresponding to the different level of sensitivity and pre-defined calibration curves covering the different ranges of concentrations were selected. For each set of analyses, a single calibration sample was used as a means of control. That analysis provided the equilibrium concentrations in solution—Ce.
From the difference between the initial and the equilibrium concentrations in test solutions, the corresponding equilibrium concentrations of each metal adsorbed onto sorbent were calculated—x/m values (indirect method of determining the sorption isotherms).
The obtained equilibrium concentrations Ce and x/m were used to determine the following parameters of the process:
- -
- Percentage of sorption;
- -
- Distribution coefficient Kd;
- -
- Freundlich sorption isotherm and its parameters—Kf and 1/n;
- -
- Langmuir’s sorption isotherm and its parameters—KL and NS;
- -
- DKR sorption isotherm and its parameters;
The detailed characterisation of the data-processing procedure is characterized in our previous work [28].
3. Results and Discussion
In the preliminary experiments it was found that the equilibrium state was attained after 1 h, while the optimum sorption was observed at T = 20 °C, the temperature considered as representative of average experimental conditions. For that reason, in the definitive test, samples were equilibrated for 1 h at the constant temperature T = 20 °C.
Two parameters were calculated for each tested combination M2+—mineral sorbent in relation to the tested concentrations—the percentage of sorption and the distribution coefficient Kd. The results are presented below in two tables. Table 2 provides the results for sorption onto natural minerals calculated. The results are presented, in numerical form, in the two tables below: Table 2 for the sorption of Pb2+ and Cu2+ ions onto natural minerals and Table 3 for the sorption of both elements onto synthetic zeolites.
Table 2.
The results of the examination of sorption of Pb2+ and Cu2+ onto tested natural mineral sorbents—% sorption and Kd values.
Table 3.
The results of the examination of sorption of Pb2+ and Cu2+ onto tested synthetic zeolites—% sorption and Kd values.
The comparison of the above results with aim to determine behaviour patterns showed that neither for lead nor copper was it possible to find such a single pattern for all tested minerals. That may be attributed to the structural properties of the tested sorbents. At the same time, the sorption of lead was higher than that of copper, which may be explained by the commonly observed higher affinity of lead towards aluminosilicate mineral sorbents in general and clay minerals in particular [13].
In case of sorption of both Pb2+ and Cu2+ onto kaolinite, the gradual decrease in sorption capacity of the sorbent was observed. According to the literature, this may be attributed to the decreasing negativity of the potential of the surface of that mineral with the increase in the ionic strength of the solution [29,30,31,32].
As the explanation of the generally high efficiency of smectite in the sorption of both Pb2+ and Cu2+, provided by the scientific literature on the subject, for that mineral, the main identified mechanism of sorption the was ion exchange. For Pb2+, this was also coupled with the intersphere complex formation, while for Cu2+, the additional mechanism was surface complex formation [31,33,34,35]. It should be noted that, for this mineral, two mechanisms of sorption were observed: physisorption on the outer and inner surfaces of the mineral, as well as ion exchange. In the case of the second postulated mechanism, Na+ (ion radius 0.118 nm) and Ca+2 (ion radius 0.112 nm) ions present in the mineral’s lattice were most probably substituted by lead (ion radius 0.132 nm), as these elements have a similar ionic radius. That explains the lower amount of sorbed copper, which has a smaller ionic radius (0.087 nm) than sodium and calcium [36,37,38,39].
The sorption of Cu2+ onto natural zeolite was, except for the lowest concentration tested, significantly lower than that of Pb2+—by 40–60% at lower concentrations (i.e., 10% CEC to 50% CEC) and by 10–20% for the two highest concentrations. It was also noticed that the decrease in adsorption of Cu2+ with increasing concentration was initially sharp, but then became less steep than that of Pb2+.
When the data for all three natural aluminosilicate minerals used in the experiment were compared, two general observations were made:
- -
- The level of sorption of Pb2+ was generally higher than that of Cu2+, which is due to the high affinity of lead to the oxygen in the functional groups of the tested minerals and the lower solvation energy—for Pb2+ it is −1481 [kJ/mol], while Cu2+ ions have a solvation energy of −2100 [kJ/mol]. That, in turn, results in a higher affinity of copper ions to the free water molecules in the test system and their higher presence in solution [36,37]; and
- -
- The decrease in the amount sorbed with concentration displayed a higher continuity for copper than for lead.
The comparative analysis of the data for synthetic zeolites led to the following two general conclusions:
- -
- The level of sorption of Pb2+ was generally higher than that of Cu2+, for similar reasons as indicated above for natural minerals; and
- -
- Unlike that in natural minerals, the decrease in the amount sorbed with increasing initial concentration displayed a high degree of continuity for Pb2+; while for Cu2+ that was observed only for sorption onto zeolite 13X.
All the above was reflected, for both Pb2+ and Cu2+, by the Kd values, where those could be calculated (for the samples where the level of sorption was 100%, it was not possible to calculate the Kd values).
Similar general conclusions were drawn by other researchers [18], on the basis of the performed statistical analysis.
The above analysis shows that by determining of the percentage of sorption and Kd values, it was not possible to clearly identify among the seven tested minerals that, which may be considered the most efficient in concurrent elimination of Pb2+ and Cu2+ ions from multi-component aqueous solutions, which was the main goal of the study. It was, therefore, decided to apply three sorption isotherms in further analysis—Freundlich, Langmuir, and DKR. The suitability of these three isotherms in examination of sorption in multi-solute systems is well documented [40].
They were used in the following way:
- -
- From the Freundlich isotherm, the information on the sorption strength and extent as well as on the nature of the process was derived;
- -
- Langmuir isotherm returned the maximum sorption capacity;
- -
- DKR isotherm enabled possible mechanisms of sorption and the capacity of sorption in micropores to be identified.
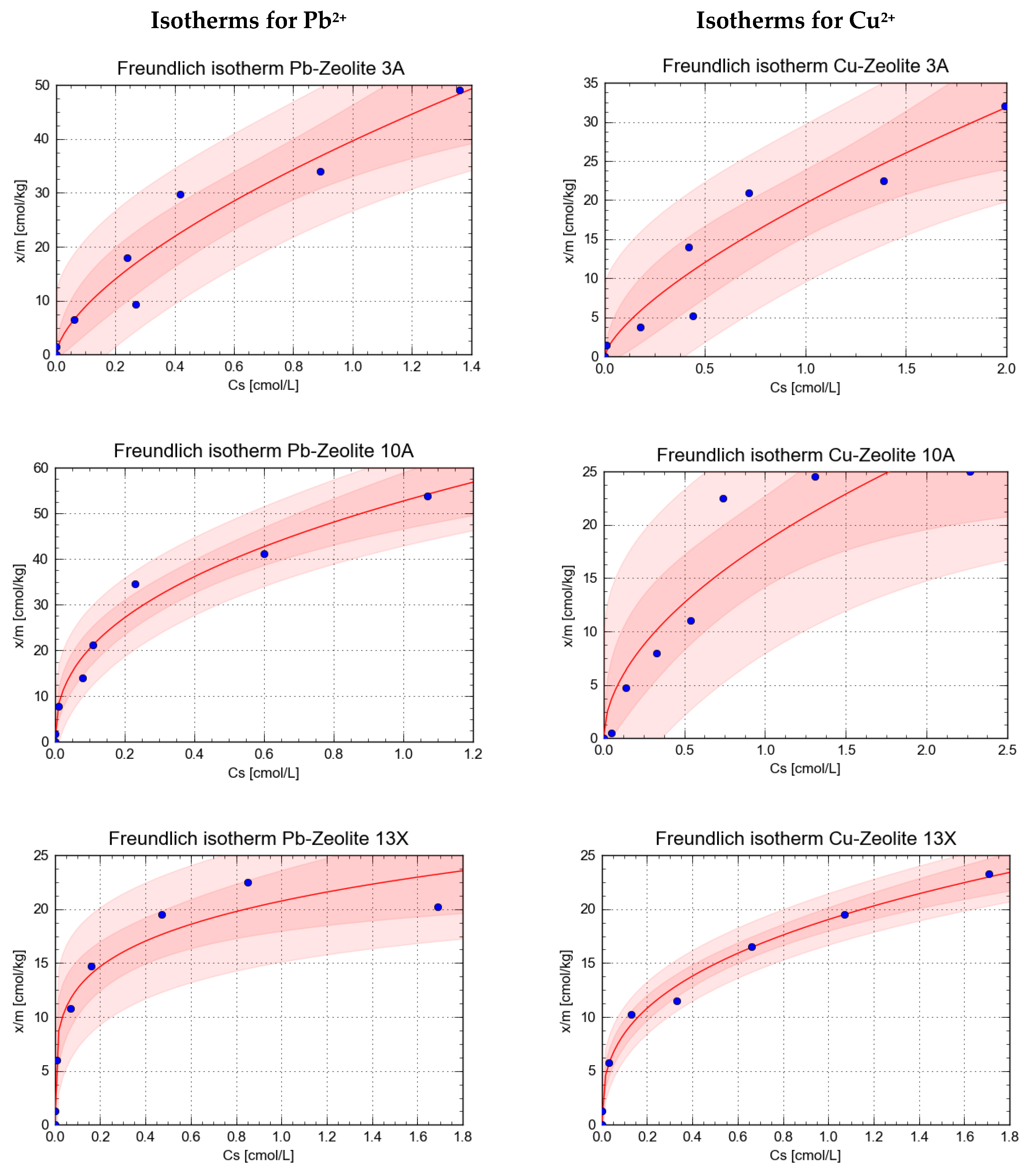
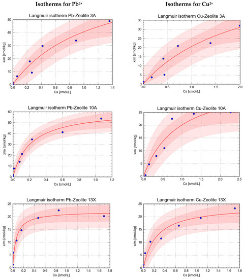
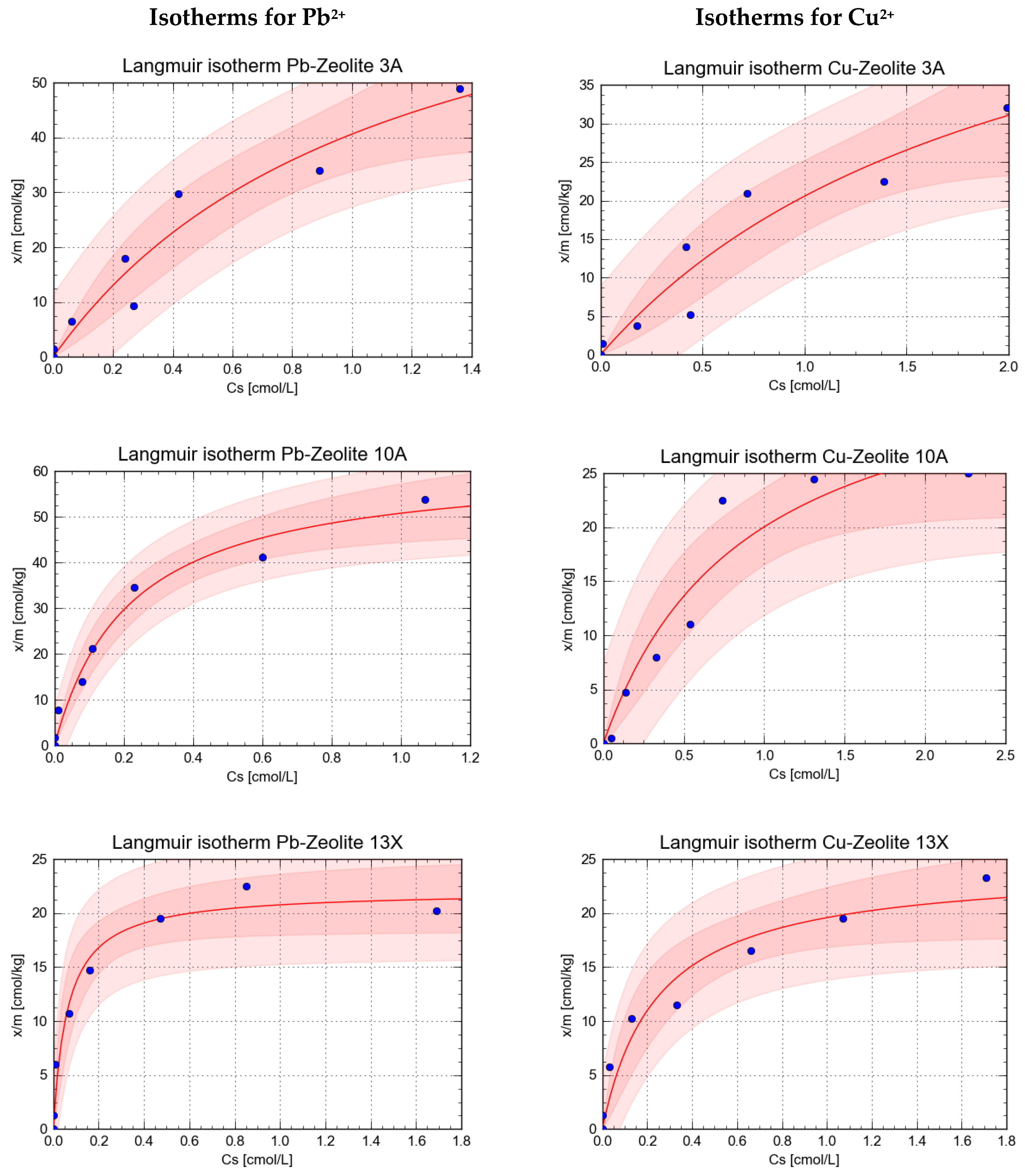
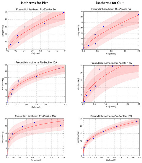
Below the numerical and graphical results of the determination of Freundlich and Langmuir isotherms are presented. The parameters of each isotherm are provided in Table 4 for the Freundlich model and Table 5 for the Langmuir model. The plotted Freundlich isotherms are presented in Figure 1 and Figure 2 and plots of Langmuir isotherms in Figure 3 and Figure 4. The isotherms, represented by red solid lines with blue dots for the experimental points, are plotted with their Confidence Bands, determined at two levels of confidence—95% and 90%, marked using dark pink and light pink, respectively (dark grey and light grey, respectively, if reproduced in black-and-white format).
Table 4.
Parameters of Freundlich isotherms and isotherms’ statistical evaluation.
Table 5.
Parameters of Langmuir isotherms and isotherms’ statistical evaluation.
Figure 1.
The Freundlich isotherms obtained in the study for sorption of Pb2+ and Cu2+ onto tested natural mineral sorbents.
Figure 2.
The Freundlich isotherms obtained in the study for sorption of Pb2+ and Cu2+ onto tested synthetic zeolites.
Figure 3.
The Langmuir isotherms obtained in the study for sorption of Pb2+ and Cu2+ onto tested natural mineral sorbents.
Figure 4.
The Langmuir isotherms obtained in the study for sorption of Pb2+ and Cu2+ onto tested synthetic zeolites.
The plotted isotherms were analyzed for their goodness of fit by means of visual inspection and examination of the values of correlation coefficient r and determination coefficient R2. The visual inspection showed good compliance of the estimated curves with the input data. On the basis of the coefficients r and R2, it may be stated that the adsorption of Pb2+ and Cu2+ onto the tested minerals was better characterised by the Freundlich model. As a result, the parameters of Freundlich isotherms were chosen as those characterizing the sorption strength and its extent.
Analysis of the strength of sorption based on the determined Kf values showed that Pb2+ ions were sorbed more strongly than Cu2+ ions, which indicated a higher affinity of lead towards the tested aluminosilicates. Additionally, the tested sorbents which were the strongest with regard to both Pb2+ and Cu2+ were synthetic zeolites, while the weakest one was kaolinite. Smectite was the strongest sorbent among the tested natural minerals.
The arrangement of the tested minerals for their strength and extent of sorption, from strongest to the weakest, returned the following order:
for Pb2+:
0 and, for Cu2+:
Zeolite 10A > Zeolite 3A > Zeolite 13X > Smectite > Natural Zeolite > Kaolinite;
Zeolite 3A ≥ Zeolite 13X ≥ Zeolite 10A > Smectite > Natural Zeolite > Kaolinite.
It has to be noted that differences in the sorption strength of Pb2+ onto the three synthetic zeolites tested were clearly visible; while, in case of Cu2+, those values were comparable, indicating that copper may display a similar affinity to those three aluminosilicates.
The values of the parameter 1/n, which informs about the nature of the process, were always below 0.8. That indicated the preferential character of sorption of both Pb2+ and Cu2+ on all tested minerals. It was either favourable or pseudo-linear [41]. The order in which those values may be arranged, from highest to the lowest, thus reflecting the decrease in the linearity, is following:
for Pb2+:
and, for Cu2+:
Zeolite 3A > Zeolite 10A > Natural Zeolite > Kaolinite > Smectite > Zeolite 13X;
Zeolite 3A > Natural Zeolite > Zeolite 10A > Kaolinite > Zeolite 13X > Smectite.
This may indicate that for either the broader range of concentrations or prolonged exposure to the polluted matrix, natural zeolite and the synthetic zeolites 3A and 5A will be more efficient in the elimination of pollutants than the remaining tested minerals. Additionally, for 1/n interpreted as a potential availability of different sorption sites on the sorbent’s surface to the sorbed compound, it may be stated that smectite, kaolinite, and zeolite 13X will become saturated faster with the metal ions of concern than the remaining four zeolites tested.
A good correlation was observed between the Freundlich adsorption constant, characterizing the strength of sorption, and the maximum sorption capacity—the parameter N of the Langmuir sorption isotherm. It can be stated that the maximum sorption capacity of both Pb2+ and Cu2+ was higher for the synthetic zeolites than for the natural minerals tested. Once again, the lowest maximum sorption capacity was determined for kaolinite.
When arranged from highest to lowest, the maximum sorption capacity for both Pb2+ and Cu2+, followed the order:
Zeolite 3A > Zeolite 10A > Zeolite 13X > Natural Zeolite > Smectite > Kaolinite.
It was also noticed that the maximum sorption capacity was generally higher for Pb2+ than for Cu2+, although the differences were bigger in the synthetic zeolites. For natural minerals, they tended to be smaller, with very little difference in values observed in kaolinite and natural zeolite. This may indicate that those two aluminosilicates displayed much lower relative selectivity to lead and copper.
The numerical parameters of the DKR isotherm are presented in Table 6.
Table 6.
Parameters of the DKR isotherms and isotherms’ statistical evaluation.
The correlation and determination coefficients—r and R2, considered as the indicators of the goodness of fit of each isotherm showed that for each combination sorbate sorbent, the fit was at least acceptable. On that basis, it can be stated that the DKR isotherm adequately characterized sorption in the test systems, confirming the appropriateness of selection of that model. This statement is similar to the analogic conclusions drawn for Freundlich and Langmuir isotherms.
The constant, Xm, which characterizes the maximum sorption capacity, was higher for the sorption of Pb2+ (3.38–40.68 (cmol/kg)) than that for Cu2+ (2.27–27.79 (cmol/kg)), which confirms the conclusions drawn using the results of the two previously presented isotherms.
The decrease in that parameter observed for the tested minerals followed the order:
for Pb2+:
and, for Cu2+:
Zeolite 10A > Zeolite 3A > Zeolite 13X > Smectite > Natural Zeolite > Kaolinite;
Zeolite 3A > Zeolite 10A > Zeolite 13X > Smectite > Natural Zeolite > Kaolinite.
Comparison with the analysis for the analogical parameter of Langmuir isotherm—N, showed that for Cu2+, the trend was identical, while for Pb2+ it was very similar. The observed differences in values may be observed by the conceptual differences of the two models. The DKR isotherm was oriented in the examination of sorption in the micropores, while Langmuir’s model was more general.
The further comparison of the two parameters consisted of the calculation of the N:Xm ratio, presented, alongside differently expressed Xm and N values, as seen in the Table 7. In the case of smectite, for both Pb2+ and Cu2+, that ratio showed that N was lower than Xm, indicating a potentially high significance of interlattice sorption as the sorption mechanism. In the case of kaolinite, the difference between the two parameters was not significant. In the case of all tested zeolites, the value of Xm, was always a fraction of that of N.
Table 7.
The values of maximum sorption capacity in Langmuir’s (N) and DKR (Xm) isotherms and their ratios.
The second parameter of sorption, determined indirectly from DKR isotherm, was the energy of sorption. It provides the information on the possible mechanism of the process [30,42,43], based on the following classification:
- -
- Physisorption is postulated as the dominant mechanism of sorption when E < 8 kJ/mol;
- -
- For E in the range of 8 to 16 kJ/mol, ion exchange is indicated as the dominant mechanism of sorption;
- -
- Finally, when E > 16 kJ/mol, sorption occurs mainly as chemisorption, which is the strongest.
In the experiment, the range of the energy of sorption was 3.60–8.99 [kJ/mol] for Pb2+ and 2.20–9.34 [kJ/mol] for Cu2+.
Only for kaolinite was ion exchange the dominant mechanism of sorption for both elements. For the remaining minerals tested it was physical sorption.
In the case of Pb2+, the decrease in the sorption energy E may be arranged as follows:
Kaolinite > Smectite ≥ Zeolite 13X > Natural Zeolite > Zeolite 10A > Zeolite 3A;
A similar arrangement for Cu2+ follows:
Kaolinite > Zeolite 13X ≥ Smectite > Natural Zeolite > Zeolite 10A > Zeolite 3A.
It should be indicated that the difference in E for the sorption of Cu2+ onto smectite and zeolite 13X was small. A similar observation was made in the case of Pb2+; therefore, in reality, the order of the determined sorption energies for both elements may be the same.
Table 7 contains the values of the maximum sorption capacity of each tested mineral towards either Pb2+ and Cu2+ ions, determined using the Langmuir’s and DKR isotherms. Alongside the values derived directly from isotherms—in (cmol/kg), the values in (mmol/g) and (mg/g) are provided, as they are more commonly encountered in the scientific literature on the subject. To convert (cmol/kg) to (mg/g), the relevant molar weights: 207.2 g/mol for Pb and 63.546 g/mol for Cu, were used. The conversion was performed to compare the results with those presented in other scientific papers on the same subject [10,16,17,20,29,44,45,46]. That comparison demonstrated that the tested minerals displayed similar or greater sorption capacities than the similar sorbents and other novel materials tested to eliminate heavy metals from wastewaters. As a result, the tested minerals were shown to meet the criteria of high efficiency, inexpensiveness, and environmental friendliness in purification of water polluted with heavy metal ions.
4. Conclusions
On the basis of the obtained results, it may be stated that:
- (1)
- The efficiency of the tested synthetic zeolites—3A, 10A and 13X, in the concurrent elimination of Pb2+ and Cu2+ ions from aqueous solutions was greater than that of the tested natural minerals—kaolinite, smectite, and natural zeolite, which may be explained by the higher mineralogical homogeneity of the formers as well as, in the case of zeolites 3A and 10A, by their structural properties, in particular, a high share of mesopores (having the diameter in the range of 1.5 to 200 nm), constituting 68% of the total porosity of those two sorbents;
- (2)
- The analysis of the parameters of sorption isotherm models showed that of the six tested mineral sorbents, the most efficient in the simultaneous removal of Pb2+ and Cu2+ ions from aqueous solutions were zeolite 3A and zeolite 10A. Therefore, those two sorbents should be recommended for the rapid reduction in the level of pollution with those two elements and their spread in the environment;
- (3)
- It was demonstrated that smectite displayed a relatively high and constant sorption capacity over a broader range of concentrations, which indicates that it will be efficient in coping with a prolonged low- and medium-level lead and copper pollution in aquatic environments;
- (4)
- The determined adsorption energies indicated that for the five tested minerals—smectite, natural zeolite, and synthetic zeolites 3A, 10A, 13X, physisorption may be postulated as the predominant mechanism of sorption. For kaolinite, the weakest sorbent tested, the mechanism was ion exchange. Additionally, the lowest sorption energies were determined for zeolite 3A and zeolite 10A, further confirming their highest sorption capacity.
- (5)
- For all tested minerals, the sorption of lead was about 30% higher than that of copper, which may indicate the selectivity of the process with preference for Pb2+ ions.
Author Contributions
B.G. Conceptualization, Methodology, Investigation, Supervision, Writing—Review and Editing; B.K.-S. Conceptualization, Methodology, Investigation, Validation; I.K. Formal analysis, Visualization, Writing—Original Draft, Writing—Review and Editing. J.C. Conceptualization, Methodology, Investigation. All authors have read and agreed to the published version of the manuscript.
Funding
This research received no external funding.
Institutional Review Board Statement
Not applicable.
Informed Consent Statement
Not applicable.
Acknowledgments
This research was supported by statutory activity of the University of Life Sciences and the Institute of Environmental Protection, National Research Institute. The authors would like to thank Zbigniew Zagórski for identification of zeolites.
Conflicts of Interest
The authors declare no conflict of interest.
References
- Karlaviciene, V.; Svendine, S.; Marciulioniene, D.E.; Randerson, P.; Rimeika, M.; Hogland, W. The impact of storm water runoff on a small urban stream. J. Soils Sediments 2009, 9, 6–12. [Google Scholar] [CrossRef]
- Lynch, S.F.L.; Batty, L.C.; Byrne, P. Environmental Risk of Metal Mining Contaminated River Bank Sediment at Redox-Transitional Zones. Minerals 2014, 4, 52–73. [Google Scholar] [CrossRef]
- Newman, M.C. Fundamentals of Ecotoxicology. The Science of Pollution, 4th ed.; CRC Press, Taylor & Francis Group: Boca Raton, FL, USA, 2015. [Google Scholar]
- Hudson-Edwards, K.A.; Dold, E. Mine Waste Characterization, Management and Remediation. Minerals 2015, 5, 82–85. [Google Scholar] [CrossRef]
- Ramesh, K.; Elango, L. Impact of Groundwater Quality from Industrial East Coastal Town, Southern India. Int. J. Eng. Res. Appl. 2014, 4, 346–354. [Google Scholar]
- Pierzynski, G.M.; Sims, T.J.; Vance, G.F. Soils and Environmental Quality, 2nd ed.; CRC Press, Taylor & Francis Group: Boca Raton, FL, USA, 2000. [Google Scholar]
- Gworek, B. Inactivation of cadmium in contaminated Soils using synthetic zeolites. Environ. Pollut. 1992, 75, 269–271. [Google Scholar] [CrossRef]
- Gworek, B. Inactivation of lead anthropogenic soils by synthetic zeolites and plants growth. Plant Soil 1992, 143, 71–74. [Google Scholar] [CrossRef]
- Gworek, B. The Effect of Zeolites on Cooper Uptake by plants growing in Contaminated Soils. J. Incl. Phenom. Mol. Recognit. Chem. 1993, 15, 1–7. [Google Scholar] [CrossRef]
- El-Azim, H.A.; Mourad, F.A. Removal of Heavy Metals Cd (II), Fe (III) and Ni (II), from Aqueous Solutions by Natural (Clinoptilolite) Zeolites and Application to Industrial Wastewater. Asian J. Environ. Ecol. 2018, 7, 1–13. [Google Scholar] [CrossRef]
- Oste, L.A.; Lexmond, T.M.; Van Riemsdijk, W.H. Metal Immobilization in Soils Using Synthetic Zeolites. J. Environ. Qual. 2002, 31, 813–821. [Google Scholar] [CrossRef]
- Karatas, M. Removal of Pb(II) from water by natural zeolitic tuff: Kinetics and thermodynamics. J. Hazard. Mater. 2012, 199–200, 383–389. [Google Scholar] [CrossRef]
- Ibrahim, H.S.; Jamil, T.; Hegazy, E.Z. Application of Zeolite Prepared from Egyptian Kaolin for the Removal of Heavy Metals: II. Isotherm Models. J. Hazard. Mater. 2010, 182, 842–847. [Google Scholar] [CrossRef]
- Blanchard, G.; Maunaye, M.; Martin, G. Removal of heavy metals from waters by means of natural zeolites. Water Res. 1984, 18, 1501–1507. [Google Scholar] [CrossRef]
- Wingenfelder, U.; Hansen, C.; Furrer Schulin, R. Removal of Heavy Metals from Mine Waters by Natural Zeolites. Environ. Sci. Technol. 2005, 39, 4606–4613. [Google Scholar] [CrossRef]
- Fanta, F.T.; Dubale, A.A.; Bebizuh, D.F.; Atlabachew, M. Copper doped zeolite composite for antimicrobial activity and heavy metal removal from waste water. BMC Chem. 2019, 13, 44. [Google Scholar] [CrossRef] [PubMed]
- Bhattacharyya, K.G.; Gupta, S.S. Adsorptive accumulation of Cd(II), Co(II), Cu(II), Pb(II), and Ni(II) from water on montmorillonite: Influence of acid activation. J. Colloid Interface Sci. 2007, 310, 411–424. [Google Scholar] [CrossRef] [PubMed]
- Sprynskyy, M.; Buszewski, B.; Terzyk, A.P.; Namieśnik, J. Study of the selection mechanism of heavy metal (Pb2+, Cu2+, Ni2+, and Cd2+) adsorption on clinoptilolite. J. Colloid Interface Sci. 2006, 304, 21–28. [Google Scholar] [CrossRef] [PubMed]
- Usman, A.; Yakov, R.A.; Kuzyakov, Y.; Lorenz, K.; Stahr, K. Remediation of a soil contaminated with heavy metals by immobilizing compounds. J. Plant Nutr. Soil Sci. 2006, 169, 205–212. [Google Scholar] [CrossRef]
- Zhao, Y. Review of the Natural, Modified, and Synthetic Zeolites for Heavy Metals Removal from Wastewater. Environ. Eng. Sci. 2016, 33, 443–454. [Google Scholar] [CrossRef]
- Wu, J.; Xue, S.; Bridges, D.; Yu, Y.; Zhang, L.; Pooram, J.; Hill, C.; Wu, J.; Hu, A. Fe-based ceramic nanocomposite membranes fabricated via e-spinning and vacuum filtration for Cd2+ ions removal. Chemosphere 2019, 230, 527–535. [Google Scholar] [CrossRef]
- Mahmoud, M.E.; Osman, M.M.; Yakout, A.A.; Abdelfattah, A.M. Green nanosilica@folic Acid (VB9) nanocomposite for engineered adsorptive water remediation of bivalent lead, cadmium and copper. Powder Technol. 2019, 344, 719–729. [Google Scholar] [CrossRef]
- Castro-Muñoz, R.; González-Melgoza, L.L.; Garciá-Depraect, O. Ongoing progress on novel nanocomposite membranes for the separation of heavy metals from contaminated water. Chemosphere 2021, 270, 129421. [Google Scholar] [CrossRef] [PubMed]
- Mittal, H.; Maity, A.; Ray, S.S. The adsorption of Pb2+ and Cu2+ onto gum ghatti-grafted poly(acrylamide-co-acrylonitrile) biodegradable hydrogel: Isotherms and kinetic models. J. Phys. Chem. B 2015, 119, 2026–2089. [Google Scholar] [CrossRef] [PubMed]
- Agency for Toxic Substances and disease Registry (ATSDR). Toxicological Profile for Copper; US Department of Health and Human Services, Centers for Diseases Control: Atlanta, GA, USA, 2004.
- Agency for Toxic Substances and disease Registry (ATSDR). Toxicological Profile for Lead; US Department of Health and Human Services, Centers for Diseases Control: Atlanta, GA, USA, 2007.
- OECD. OECD Guideline for the Testing of Chemicals No. 106 “Adsorption-Desorption Using a Batch Equilibrium Method”. 2000. Adopted 21st January 2000. Available online: https://www.oecd-ilibrary.org/environment/test-no-106-adsorption-desorption-using-a-batch-equilibrium-method_9789264069602-en (accessed on 20 November 2020).
- Kozera-Sucharda, B.; Gworek, B.; Kondzielski, I. The simultaneous Removal of Zinc and Cadmium from Multicomponent Aqueous Solutions by Their Sorption onto Selected Natural and Synthetic Zeolites. Minerals 2020, 10, 343. [Google Scholar] [CrossRef]
- Kralik, M. Adsorption, chemisorption, and catalysis. Chem. Pap. 2014, 68, 1625–1638. [Google Scholar] [CrossRef]
- Apiratikul, R.; Pavasant, P. Sorption of Cu2+, Cd2+ and Pb2+ using modified zeolite from coal fly ash. Chem. Eng. J. 2008, 144, 245–258. [Google Scholar] [CrossRef]
- Uddin, M.K. A review on the adsorption of heavy metals by clay minerals, with special focus on the past decade. Chem. Eng. J. 2017, 308, 438–462. [Google Scholar] [CrossRef]
- Coles, C.A.; Yong, R.N. Aspects of kaolinite characterization and retention of Pb and Cd. Appl. Clay Sci. 2002, 22, 39–45. [Google Scholar] [CrossRef]
- Chyaari, I.; Fakhfakh, E.; Charkoun, S.; Bouzid, J.; Boujelben, N.; Feki, M.; Rocha, F.; Jamoussi, F. Lead removal from aqueous solutions by a Tunisian smectitic clay. J. Hazard. Mater. 2008, 156, 545–551. [Google Scholar] [CrossRef]
- Eren, E.; Afsin, B. An investigation of Cu(II) adsorption by raw and acid activated bentonite: A combined potentiometric, thermodynamic, XRD, IR, DTA study. J. Hazard. Mater. 2008, 151, 682–691. [Google Scholar] [CrossRef] [PubMed]
- Eren, E. Removal of copper ions by modified Unye clay, Turkey. J. Hazard. Mater. 2008, 159, 235–244. [Google Scholar] [CrossRef]
- Baker, H.M.; Massadeh, A.M.; Younes, H.A. Natural Jordanian zeolite: Removal of heavy metal ions from water samples using column and batch methods. Environ. Monit. Assess. 2009, 157, 319–330. [Google Scholar] [CrossRef]
- Bohli, T.; Villaescusa, I.; Quederini, A. Comparative Study of Bivalent Cationic Metals Adsorption Pb(II0, Cd(II), Ni(II) and Cu(II) on Olive Stones Chemically Activated Carbon. J. Chem. Eng. Process Technol. 2013, 4, 1000158. [Google Scholar] [CrossRef]
- Sepehrian, H.; Ahmadi, S.J.; Waqif-Husain, S.; Faghihian, H.; Alighanbari, H. Adsorption Studies of Heavy Metal Ions on mesoporous Aluminosilicate, Novel Cation Exchanger. J. Hazard. Mater. 2010, 176, 252–256. [Google Scholar] [CrossRef] [PubMed]
- Eloussaief, M.; Hamza, W.; Kallel, N.; Benzin, M. Wastewaters decontamination: Mechanisms of Pb(II), Zn(II), and Cd(II) competitive adsorption on tunisian smectite in single and multi-solute systems. Environ. Prog. Sustain. Energy 2013, 32, 223–238. [Google Scholar] [CrossRef]
- Allen, S.J.; Mckay, G.; Porter, J.F. Adsorption isotherm models for basic dye adsorption by peat in single and binary component system. Colloid Interface Sci. 2004, 280, 322–333. [Google Scholar] [CrossRef]
- Tseng, R.-L.; Wu, F.-C. Inferring the favorable adsorption level and the concurrent multi-stage process with the Freundlich constant. J. Hazard. Mater. 2008, 155, 277–287. [Google Scholar] [CrossRef] [PubMed]
- Mobacherpour, I.; Salahi, E.; Pazouki, M. Comparative of the removal of Pb2+, Cd2+ and Ni2+ by nano crystallite hydroxyapatite from aqueous solutions: Adsorption isotherms study. Arab. J. Chem. 2012, 5, 439–446. [Google Scholar] [CrossRef]
- Erdem, E.; Karapinar, N.; Donat, R. The removal of heavy metals by natural zeolites. J. Colloid Interface Sci. 2004, 280, 309–314. [Google Scholar] [CrossRef]
- De Gisi, S.; Giusy, L.; Grassi, M.; Notarnicola, M. Characteristics and adsorption capacities of low-cost sorbents for wastewater treatment: A review. Sustain. Mater. Technol. 2016, 9, 10–40. [Google Scholar] [CrossRef]
- Du, T.; Zhou, L.-F.; Zhang, Q.; Liu, L.-Y.; Li, G.; Luo, W.-B.; Liu, H.-K. Mesoporous structured aluminosilicate with excellent adsorption performances for water purification. Sustain. Mater. Technol. 2018, 17, e00080. [Google Scholar] [CrossRef]
- Kumari, P.; Alam, M.; Siddiqi, W.A. Usage of nanoparticles as adsorbents for waste water treatment: An emerging trend. Sustain. Mater. Technol. 2019, 22, e00128. [Google Scholar] [CrossRef]
Publisher’s Note: MDPI stays neutral with regard to jurisdictional claims in published maps and institutional affiliations. |
© 2021 by the authors. Licensee MDPI, Basel, Switzerland. This article is an open access article distributed under the terms and conditions of the Creative Commons Attribution (CC BY) license (https://creativecommons.org/licenses/by/4.0/).



