Experimental Study on the Flexural Behavior of Concrete-Filled Steel Box Slabs
Abstract
:1. Introduction
2. Experimental Program
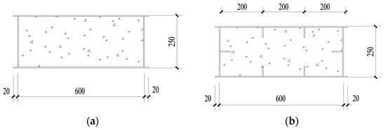
2.1. Test Specimens
2.2. Loading Device and Measuring Point Arrangement
2.3. Loading System
3. Experimental Test Results and Discussions
3.1. Failure Modes
3.2. Deflection Curve of a Tested Slab
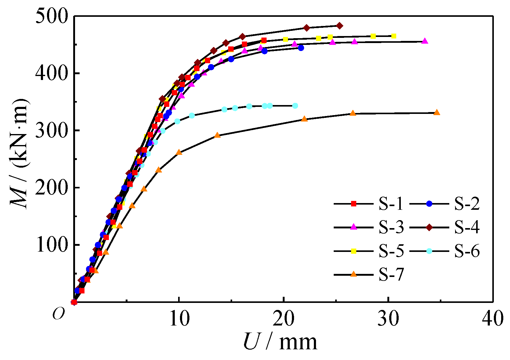
3.3. Mid-Span Moment versus Mid-Span Deflection Relations
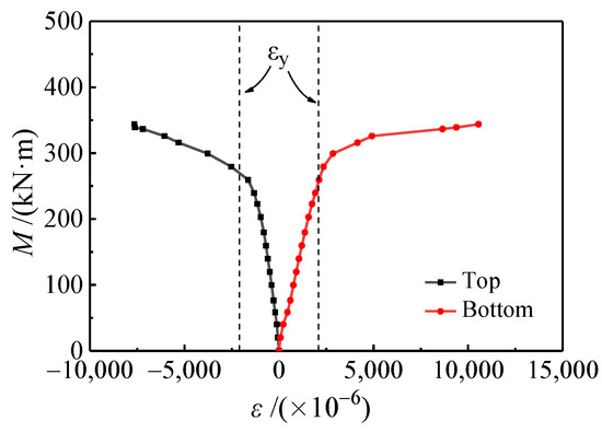
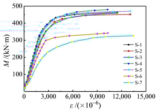
3.4. Mid-Span Moment versus Bottom (Top) Steel Plate Strain of Specimens
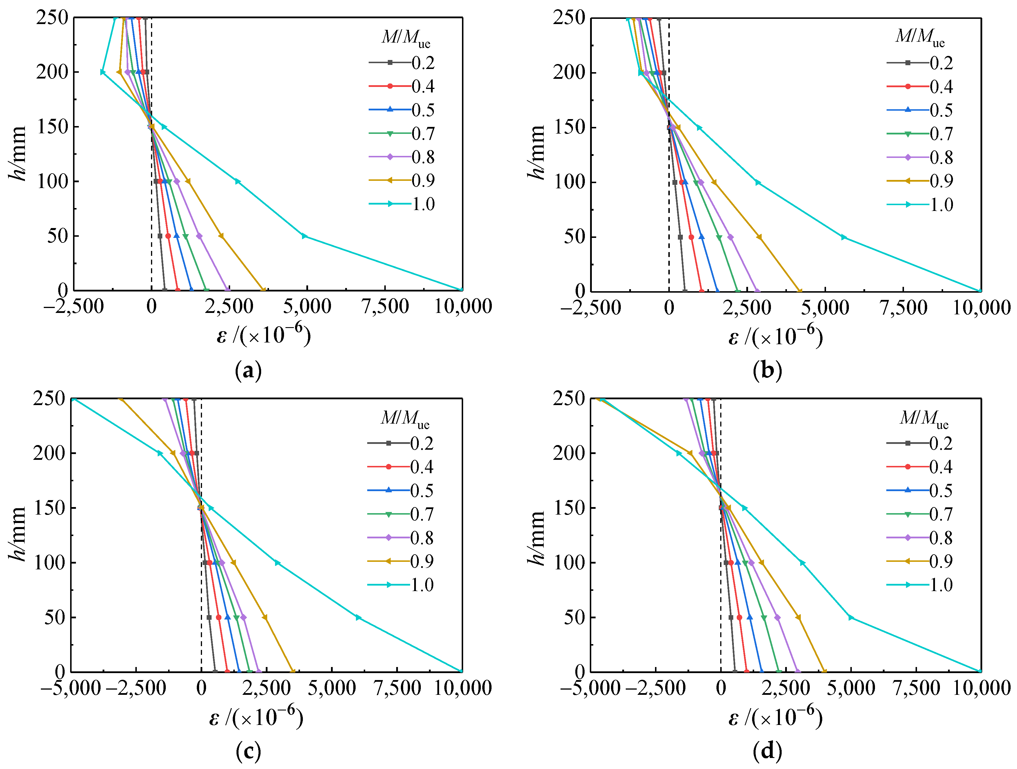
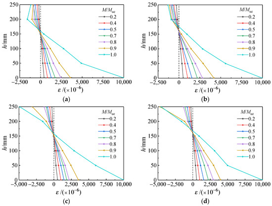
3.5. Longitudinal Strain Distribution along the Height at the Mid-Span of Specimens
4. Discussions on the Calculation Method of Moment Capacity for the Concrete-Filled Steel Box Slab
4.1. Calculation Formula of Moment Capacity
4.2. Current Codes
- GB 50936;
- 2.
- AISC, 360-16;
4.3. Comparison of the Moment Capacity of the Slab
5. Conclusions
Author Contributions
Funding
Institutional Review Board Statement
Informed Consent Statement
Data Availability Statement
Acknowledgments
Conflicts of Interest
Nomenclature
| Ac | concrete cross-sectional area |
| As | steel cross-sectional area |
| b | width of the built-in concrete |
| B | width of rectangular steel box |
| d | height of the built-in concrete |
| H | height of rectangular steel box |
| L | length of rectangular steel box |
| Ec | elastic modulus of concrete |
| Es | elastic modulus of steel |
| fcu | cube compressive strength of concrete |
| fc | axial compressive strength of concrete(fc = 0.67fcu) |
| fy | yield strength of steel |
| fsc | yield strength of the composite section |
| fu | ultimate strength of steel |
| M | bending moment |
| Me | yield moment |
| Mu | ultimate bending moment of the composite section |
| Mue | experimental moment capacity |
| Muc | calculated moment capacity |
| U | deflection |
| t | thickness of steel plate |
| Wsc | section modulus of the composite section |
| Z | plastic section modulus about the axis of bending |
| Δe | yield deflection |
| ε | strain of steel |
| εy | yield strain of steel |
| ξ | confinement factor |
| γm | flexural strength index |
References
- Lu, Y.Q.; Kennedy, D.J.L. The flexural behaviour of concrete-filled hollow structural sections. Can. J. Civ. Eng. 1994, 21, 111–130. [Google Scholar] [CrossRef]
- Uy, B. Strength of concrete filled steel box columns incorporating local buckling. J. Struct. Eng. 2000, 126, 341–352. [Google Scholar] [CrossRef]
- Uy, B. Strength of short concrete filled high strength steel box columns. J. Constr. Steel Res. 2001, 57, 113–134. [Google Scholar] [CrossRef]
- AI-Zand, A.W.; Badaruzzaman, W.H.W.; Al-Shaikhli, M.S.; Ali, M.M. Flexural performance of square concrete-filled steel tube beams stiffened with V-shaped grooves. J. Constr. Steel Res. 2020, 166, 105930. [Google Scholar] [CrossRef]
- Al-Zand, A.W.; Badaruzzaman, W.H.W.; Tawfeeq, W.M. New empirical methods for predicting flexural capacity and stiffness of CFST beam. J. Constr. Steel Res. 2020, 164, 105778. [Google Scholar] [CrossRef]
- Han, L.H. Flexural behaviour of concrete-filled steel tubes. J. Constr. Steel Res. 2004, 60, 313–337. [Google Scholar] [CrossRef]
- Guo, L.H.; Zhang, S.M.; Wang, Y.Y. Experimental research and theoretical analysis on flexural behavior of high-strength concrete-filled square and rectangular steel tubes. Steel Constr. 2002, 6, 29–33. (In Chinese) [Google Scholar]
- Lu, H.; Han, L.H.; Zhao, X.L. Analytical behavior of circular concrete-filled thin-walled steel tubes subjected to bending. Thin Walled Struct. 2009, 47, 346–358. [Google Scholar] [CrossRef]
- Wang, R.; Han, L.H.; Nie, J.G.; Zhao, X.L. Flexural performance of rectangular CFST members. Thin Walled Struct. 2014, 79, 154–165. [Google Scholar] [CrossRef]
- Yu, C.J.; Zhang, Y.; Fu, G.Y.; Yan, D.; Li, S.P. Flexural behavior of concrete-filled rectangular steel tube beams with non-identical thickness flanges. J. Build. Struct. 2018, 39, 120–129. (In Chinese) [Google Scholar]
- Ahmed, A.A.; Hassan, M.; Masmoudi, R. Effect of concrete strength and tube thickness on the flexural behavior of prestressed rectangular concrete-filled FRP tubes beams. Eng. Struct. 2020, 205, 110112. [Google Scholar] [CrossRef]
- Han, L.H.; Lu, H.; Yao, G.H.; Liao, F.Y. Further study on the flexural behaviour of concrete-filled steel tubes. J. Constr. Steel Res. 2006, 62, 554–565. [Google Scholar] [CrossRef]
- Li, G.C.; Liu, D.; Yang, Z.J.; Zhang, C.Y. Flexural behavior of high strength concrete filled high strength square steel tube. J. Constr. Steel Res. 2017, 128, 732–744. [Google Scholar] [CrossRef]
- Masmoudi, R.; Abouzied, A. Flexural performance and deflection prediction of rectangular FRP-tube beams fully or partially filled with reinforced concrete. J. Struct. Eng. 2018, 144, 04018067. [Google Scholar] [CrossRef]
- Al-Shaar, A.A.M.; Göğüş, M.T. Flexural behavior of lightweight concrete and self-compacting concrete-filled steel tube beams. J. Constr. Steel Res. 2018, 149, 153–164. [Google Scholar] [CrossRef]
- GB/T 228.1-2010. Metallic Materials–Tensile Testing—Part 1: Method of Test at Room Temperature; Standards Press of China: Beijing, China, 2010. [Google Scholar]
- GB/T 50081-2019. Standard for Test Methods of Concrete Physical and Mechanical Properties; China Architecture & Building Press: Beijing, China, 2019. [Google Scholar]
- GB 50936-2014. Technical Code for Concrete Filled Steel Tubular Structures; China Architecture & Building Press: Beijing, China, 2014. [Google Scholar]
- AISC, 360–16. Specification for Structural Steel Buildings; American Institute of Steel Construction: Chicago, IL, USA, 2016. [Google Scholar]

















| Specimen Number | L/mm | B/mm | H/mm | t/mm | Stud | Stiffening Plate |
|---|---|---|---|---|---|---|
| S-1 | 2200 | 600 | 250 | 5 | No | No |
| S-2 | 2200 | 600 | 250 | 5 | Φ8@200 | No |
| S-3 | 2200 | 600 | 250 | 5 | Φ8@400 | No |
| S-4 | 2200 | 600 | 250 | 5 | No | 5 mm |
| S-5 | 2200 | 600 | 250 | 5 | Φ8@200 | 5 mm |
| S-6 | 2200 | 600 | 250 | 4 | Φ8@200 | No |
| S-7 | 2200 | 600 | 250 | 3.5 | Φ8@200 | No |
| Steel Plate Thickness t/mm | Yield Strength fy/MPa | Tensile Strength fu/MPa | Yield Strain/με | Elastic Modulus/MPa |
|---|---|---|---|---|
| 5 (4.62) | 453.3 | 585.1 | 2041 | 2.22 × 105 |
| 4 (3.64) | 431.3 | 565.7 | 1996 | 2.16 × 105 |
| 3.5 (3.47) | 428.5 | 546.6 | 2197 | 1.95 × 105 |
| Number | Failure Load/kN | Cube Compressive Strength fcu/MPa | Average Cube Compressive Strength fcu/MPa |
|---|---|---|---|
| 1 | 745.5 | 33.1 | 33.7 |
| 2 | 736.5 | 32.7 | |
| 3 | 791.9 | 35.2 |
| Specimen | Me/kN·m | Δe/mm | Mu/kN·m | Δu/mm |
|---|---|---|---|---|
| S-1 | 345.7 | 8.55 | 462.5 | 17.75 |
| S-2 | 325.2 | 8.79 | 448.5 | 18.18 |
| S-3 | 320.7 | 8.65 | 456.4 | 17.81 |
| S-4 | 355.0 | 8.43 | 483.7 | 18.97 |
| S-5 | 337.8 | 8.10 | 465.4 | 18.01 |
| S-6 | 259.4 | 7.04 | 343.2 | 18.69 |
| S-7 | 196.9 | 6.66 | 323.6 | 23.99 |
| Number | Mue/kN·m | Formula (3) | GB50936 | AISC | |||
|---|---|---|---|---|---|---|---|
| Muc/kN·m | Muc/Mue | Muc/kN⋅m | Muc/Mue | Muc/kN·m | Muc/Mue | ||
| S-1 | 462.5 | 406.0 | 0.878 | 463.6 | 1.002 | 369.0 | 0.794 |
| S-2 | 448.5 | 406.0 | 0.905 | 463.6 | 1.034 | 369.0 | 0.823 |
| S-3 | 456.4 | 406.0 | 0.890 | 463.6 | 1.016 | 369.0 | 0.809 |
| S-4 | 483.7 | 406.0 | 0.839 | 463.6 | 0.958 | 369.0 | 0.763 |
| S-5 | 465.4 | 406.0 | 0.872 | 463.6 | 0.996 | 369.0 | 0.779 |
| S-6 | 343.2 | 309.6 | 0.902 | 372.1 | 1.086 | 278.3 | 0.812 |
| S-7 | 323.6 | 294.1 | 0.909 | 357.4 | 1.104 | 263.9 | 0.816 |
| Mean value | 0.885 0.0228 | 1.028 0.0476 | 0.802 0.0185 | ||||
| Standard deviation | |||||||
Publisher’s Note: MDPI stays neutral with regard to jurisdictional claims in published maps and institutional affiliations. |
© 2021 by the authors. Licensee MDPI, Basel, Switzerland. This article is an open access article distributed under the terms and conditions of the Creative Commons Attribution (CC BY) license (https://creativecommons.org/licenses/by/4.0/).
Share and Cite
Lin, Y.; Zhong, C.; Song, J.; Qu, S. Experimental Study on the Flexural Behavior of Concrete-Filled Steel Box Slabs. Processes 2021, 9, 649. https://doi.org/10.3390/pr9040649
Lin Y, Zhong C, Song J, Qu S. Experimental Study on the Flexural Behavior of Concrete-Filled Steel Box Slabs. Processes. 2021; 9(4):649. https://doi.org/10.3390/pr9040649
Chicago/Turabian StyleLin, Yan, Chongting Zhong, Jiankai Song, and Shuang Qu. 2021. "Experimental Study on the Flexural Behavior of Concrete-Filled Steel Box Slabs" Processes 9, no. 4: 649. https://doi.org/10.3390/pr9040649
APA StyleLin, Y., Zhong, C., Song, J., & Qu, S. (2021). Experimental Study on the Flexural Behavior of Concrete-Filled Steel Box Slabs. Processes, 9(4), 649. https://doi.org/10.3390/pr9040649

