Blending of Sunflower Oil with Pomegranate Seed Oil from Blanched Seeds: Impact on Functionality, Oxidative Stability, and Antioxidant Properties
Abstract
1. Introduction
2. Materials and Methods
2.1. Plant Material
2.2. Blanching Pretreatment and Sample Preparation
2.3. Oil Extraction
2.4. Neutralisation and Degumming of Sunflower Oil
2.5. Oil Blending
2.6. Characterisation of Sunflower Oil and Oil Blends
2.6.1. Total Phenolic Content and Total Carotenoids Content Determination
2.6.2. Tocopherols Determination
2.6.3. Fatty Acid Composition Determination
2.6.4. Calculated Oxidisability (COX) Value
2.7. Accelerated Oxidation Experiments of SO and Oil Blends
2.8. Monitoring Oil Oxidative Stability and Radical Scavenging Capacity
2.8.1. Peroxide Value, ρ-Anisidine Value, and Total Oxidation Value
2.8.2. DPPH Radical Scavenging Capacity
2.8.3. ABTS Radical Scavenging Capacity
2.9. Determination of Reaction Order and Reaction Rate Constants
2.10. Volatile Oxidation Compounds Analysis
2.11. Statistical Analysis
3. Results and Discussion
3.1. Fatty Acid Composition of SO and Oil Blends
3.2. Total Phenolic Content, Total Carotenoids Content, and Tocopherol Composition of SO and Oil Blends
3.3. Oxidative Indices Changes during Accelerated Storage
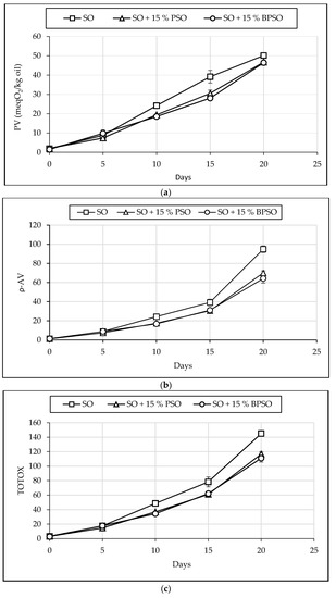
3.3.1. Peroxide Value
3.3.2. Para-Anisidine Value
3.3.3. Total Oxidation Value
3.4. Changes in ABTS and DPPH Radical Scavenging Capacity during Accelerated Storage
3.5. Volatile Oxidation Compounds Concentration at the End of Accelerated Storage Period
4. Conclusions
Author Contributions
Funding
Institutional Review Board Statement
Informed Consent Statement
Data Availability Statement
Acknowledgments
Conflicts of Interest
Abbreviations
| ABTS | 2.2-azino-bis (3-ethylbenzothiazoline-6-sulfonic acid) |
| ANOVA | Analysis of Variance |
| AV | Anisidine value |
| BPSO | Pomegranate seed oil from blanched seed |
| COX | Calculated oxidation |
| DPPH | 2.2-diphenyl-1-picryl hydrazyl |
| FA | Fatty acid |
| FOX | Ferrous oxidation-xylenol orange |
| GC–MS | Gas chromatograph–mass spectroscopy |
| LDL | Low=density lipoprotein |
| MUFA | Monounsaturated fatty acid |
| ND | None detected |
| PS | Pomegranate seed |
| PSO | Pomegranate seed oil |
| PUFA | Polyunsaturated fatty acid |
| PV | Peroxide value |
| TCC | Total carotenoids content |
| SFA | Saturated fatty acid |
| SO | Sunflower oil |
| TOTOX | Total oxidation |
| TPC | Total phenolic content |
| UFA | Unsaturated fatty acid |
| VOC | Volatile oxidation compounds |
References
- Ramadan, M.F.; Wahdan, K.M.M. Blending of corn oil with black cumin (Nigella sativa) and coriander (Coriandrum sativum) seed oil: Impact on functionality, stability, and radical scavenging activity. Food Chem. 2012, 132, 873–879. [Google Scholar] [CrossRef]
- Mazaheri, Y.; Torbati, M.; Azadmard-Damirchi, S.; Savage, G.P. Effect of roasting and microwave pre-treatments of Nigella sativa L. seeds on lipase activity and the quality of the oil. Food Chem. 2019, 274, 480–486. [Google Scholar] [CrossRef]
- Lourenco, S.C.; Moldão-Martins, M.; Alves, V.D. Antioxidants of natural plant origins: From sources to food industry applications. Molecules 2019, 24, 4132. [Google Scholar] [CrossRef]
- Bordon, M.G.; Meriles, S.P.; Ribotta, P.D.; Martine, M.L. Enhancement of composition and oxidative stability of chia (Salvia hispanica L.) seed oil by blending with specialty oils. J. Food Sci. 2019, 84, 1035–1044. [Google Scholar] [CrossRef] [PubMed]
- Kiralan, M.; Ulas, M.; Ozaydin, E.; Ozdem, E.; Ozkan, G.; Bayrak, A.; Ramadan, M.F. Blends of cold pressed black cumin oil and sunflower oil with improved stability: A study based on changes in the levels of volatiles, tocopherols and thymoquinone during accelerated oxidation conditions. J. Food Biochem. 2017, 41, 1–10. [Google Scholar] [CrossRef]
- Aruna, P.; Manohar, B.; Singh, R.P. Processing of pomegranate seed waste and mass transfer studies of extraction of pomegranate seed oil. J. Food Process. Preserv. 2018, 42, 1–11. [Google Scholar] [CrossRef]
- Kaseke, T.; Opara, U.L.; Fawole, O.A. Novel seed pretreatment techniques: Effect on oil quality and antioxidant properties—A review. J. Food Sci. Technol. 2021, 58, 1–14. [Google Scholar]
- Kaseke, T.; Opara, U.L.; Fawole, O.A. Effect of blanching pomegranate seed on physicochemical attributes, bioactive compounds, and antioxidant activity of extracted oil. Molecules 2020, 20, 2554. [Google Scholar] [CrossRef] [PubMed]
- Citeau, M.; Slabi, S.A.; Joffre, F.; Carré, P. Improved rapeseed oil extraction yield and quality via cold separation of ethanol miscella. Oilseeds Fats Crop. Lipids 2018, 25, 1–9. [Google Scholar] [CrossRef]
- Sanchez-Machado, D.L.; Lopez-Cervantes, J.; Nunez-Gastelum, J.A.; Mora-Lopez, G.S.; Lopez-Henandez, J.; Paseiro-Losada, P. Effect of the refining process on moringa oleifera seed oil quality. Food Chem. 2015, 189, 53–57. [Google Scholar] [CrossRef]
- Abbasi, H.; Rezaei, K.; Rashidi, L. Extraction of essential oils from the seeds of pomegranate using organic solvents and supercritical CO2. J. Am. Oil Chem. Soc. 2008, 85, 83–89. [Google Scholar] [CrossRef]
- Ranjith, A.; Kumar, K.S.; Venugopalan, V.V.; Arumughan, C.; Sawhney, R.C.; Singh, V. Fatty acids, tocols, and carotenoids in pulp oil of three sea buckthorn species (Hippophae rhamnoides, H. salicifolia 2006, and H. tibetana) grown in the Indian Himalayas. J. Am. Oil Chem. Soc. 2006, 83, 359–364. [Google Scholar]
- Fernandes, L.; Pereira, J.A.; Lopez-Cortes, I.; Salazar, D.M.; Ramalhosa, E.; Casal, S. Lipid composition of seed oil of different pomegranate (Punica granatum L.) cultivars from Spain. J. Food Compos. Anal. 2015, 39, 13–22. [Google Scholar] [CrossRef]
- Mphahlele, R.R.; Fawole, O.A.; Makunga, N.P.; Linus Opara, U.L. Functional properties of pomegranate fruit parts: Influence of packaging systems and storage time. J. Food Meas. Charact. 2017, 11, 2233–2246. [Google Scholar] [CrossRef]
- Fatemi, S.H.; Hammond, E.G. Analysis of oleate, linoleate and linolenate hydroperoxides in oxidized ester mixtures. Lipids 1980, 15, 379–385. [Google Scholar] [CrossRef]
- Cruz, R.M.S.; Khmelinski, I.; Vieira, M.C. Methods in Food Analysis, 1st ed.; Taylor and Francis Group: New York, NY, USA, 2016. [Google Scholar]
- AOCS. Official Methods and Recommended Practices of the American Oil Chemists’ Society; Firestone, D., Ed.; AOCS Press: Champaign, IL, USA, 2003. [Google Scholar]
- Siano, F.; Straccia, M.C.; Paolucci, M.; Fasulo, G.; Boscaino, F.; Volpe, M.G. Physico-chemical properties and fatty acid composition of pomegranate, cherry, and pumpkin seed oil. J. Sci. Food Agric. 2015, 96, 1730–1735. [Google Scholar] [CrossRef]
- Uluata, S.; Ozdemir, N. Antioxidant activities and oxidative stabilities of some unconventional oilseeds. J. Am. Oil Chem. Soc. 2012, 89, 551–559. [Google Scholar] [CrossRef]
- Wang, L.; Chen, Z.; Han, B.; Wu, W.; Zhao, Q.; Wei1, C.; Liu, W. Comprehensive analysis of volatile compounds in cold-pressed safflower seed oil from Xinjiang, China. Food Sci. Nutr. 2020, 8, 903–914. [Google Scholar] [CrossRef]
- Latif, S.; Anwar, F. Physicochemical studies of hemp (Cannabis sativa) seed oil using enzyme-assisted cold-pressing. Eur. J. Lipid Sci. Technol. 2009, 111, 1042–1048. [Google Scholar] [CrossRef]
- Bhatnagar, A.S.; Kumar, P.K.P.; Hemavathy, J.; Krishna, A.G.G. Fatty acid composition, oxidative stability, and radical scavenging activity of vegetable oil blends with coconut oil. J. Am. Oil Chem. Soc. 2009, 86, 991–999. [Google Scholar] [CrossRef]
- Senyilmaz-Tiebe, D.; Pfaff, D.H.; Virtue, S.; Schwarz, K.V.; Fleming, T.; Altamura, S.; Muckenthaler, M.U.; Okun, J.G.; Vidal-Puig, G.; Nawroth, P.; et al. Dietary stearic acid regulates mitochondria in vivo in humans. Nat. Commun. 2018, 9, 1–10. [Google Scholar] [CrossRef] [PubMed]
- Nadeem, M.; Abdullah, M.; Hussain, I. Improvement of the oxidative stability of butter oil by blending with moringa oleifera oil. J. Food Process. Preserv. 2014, 38, 1491–1500. [Google Scholar] [CrossRef]
- Pieszka, M.; MigdaL, W.; Gdsior, R.; Rudzinska, M.; Bederska-Aojewska, D.; Pieszka, M.; Szczurek, P. Native oils from apple, blackcurrant, raspberry, and strawberry seeds as a source of polyenoic fatty acids, tocochromanols, and phytosterols: A health implication. J. Chem. 2015, 2015, 659541. [Google Scholar] [CrossRef]
- Siraj, N.; Shabbir, M.A.; Khan, M.R.; Rehman, K.U. Preventing oxidation of canola and sunflower oils by addition of pomegranate seed oil. Acta Aliment. 2019, 48, 18–27. [Google Scholar] [CrossRef]
- Cong, S.; Dong, W.; Zhao, J.; Hu, R.; Long, Y.; Chi, X. Characterization of the lipid oxidation process of robusta green coffee beans and shelf-life prediction during accelerated storage. Molecules 2020, 25, 1157. [Google Scholar] [CrossRef] [PubMed]
- Choe, E.; Min, D.B. Mechanisms of antioxidants in the oxidation of foods. Compr. Rev. Food Sci. Food Saf. 2009, 8, 345–358. [Google Scholar] [CrossRef]
- Choe, E.; Min, D.B. Mechanisms and factors for edible oil oxidation. Compr. Rev. Food Sci. Food Saf. 2006, 5, 169–186. [Google Scholar] [CrossRef]
- Codex Alimentarius. Standard for Named Vegetable Oils- Codex Stan 210-1999; Codex Alimentarius: Rome, Italy; Available online: http://www.fao.org/fao-who-codexalimentarius/codex-texts/list-standards (accessed on 7 September 2020).
- Koohikamali, S.; Alam, M.S. Improvement in nutritional quality and thermal stability of palm olein blended with macadamia oil for deep-fat frying application. J. Food Sci. Technol. 2019, 56, 5063–5073. [Google Scholar] [CrossRef]
- Ali, M.; Imran, M.; Nadeem, M.; Khan, M.K.; Sohaib, M.; Suleria, H.A.R.; Bashir, R. Oxidative stability and sensoric acceptability of functional fish meat product supplemented with plant based polyphenolic optimal extracts. Lipids Health Dis. 2019, 18, 1–16. [Google Scholar] [CrossRef]
- Ramadan, M.F.; Sitohy, M.Z.; Moersel, J. Solvent and enzyme-aided aqueous extraction of goldenberry (Physalis peruviana L.) pomace oil: Impact of processing on composition and quality of oil and meal. Eur. Food Res. Technol. 2008, 226, 1445–1458. [Google Scholar] [CrossRef]
- Xu, T.; Li, J.; Fan, J.; Zheng, T.; Deng, Z. Comparison of oxidative stability among edible oils under continuous frying conditions. Int. J. Food Prop. 2015, 18, 1478–1490. [Google Scholar] [CrossRef]
- Karadag, A.; Ozcelik, B.; Saner, S. Review of methods to determine antioxidant capacities. Food Anal. Methods 2009, 2, 41–60. [Google Scholar] [CrossRef]
- Li, Y.; Ma, W.; Qi, B.; Rokayya, S.; Li, D.; Wang, J.; Feng, H.; Sui, X.; Jiang, L. Blending of soybean oil with selected vegetable oils: Impact on oxidative stability and radical scavenging activity. Asian Pac. J. Cancer Prev. 2014, 15, 2583–2589. [Google Scholar] [CrossRef]
- Mu, H.; Gao, H.; Chen, H.; Fang, X.; Zhou, Y.; Wu, W.; Han, Q. Study on the volatile oxidation compounds and quantitative prediction of oxidation parameters in walnut (Carya cathayensis Sarg.) oil. Eur. J. Lipid Sci. Technol. 2019, 121, 1800521. [Google Scholar] [CrossRef]
- Zhou, Y.; Fan, W.; Chu, F.; Wang, C.; Pei, D. Identification of volatile oxidation compounds as potential markers of walnut oil quality. J. Food Sci. 2018, 83, 2745–2752. [Google Scholar] [CrossRef]




| FA (%) | Oil Blends | ||||||||
|---|---|---|---|---|---|---|---|---|---|
| SO | PSO | BPSO | SO:PSO | SO:BPSO | |||||
| SFA | 90:10 w/w | 85:15 w/w | 80:20 w/w | 90:10 w/w | 85:15 w/w | 80:20 w/w | |||
| Lauric acid | ND | 0.01 ± 0.00 a,b | 0.01 ± 0.00 a,b | 0.03 ± 0.00 b,c | 0.03 ± 0.00 b,c | 0.04 ± 0.01 a,b,c | 0.03 ± 0.00 b,c | 0.03 ± 0.00 b,c | 0.03 ± 0.02 b,c |
| Myristic acid | ND | 0.07 ± 0.01 a,d | 0.08 ± 0.00 a,d | 0.05 ± 0.00 c | 0.06 ± 0.00 c,d | 0.07 ± 0.00 a,d | 0.07 ± 0.00 a,d | 0.08 ± 0.00 a,b | 0.09 ± 000 b |
| Pentadecylic acid | ND | 0.07 ± 0.00 a | 0.04 ± 0.00 b | 0.02 ± 0.00 d | 0.02 ± 0.00 d,e | 0.03 ± 0.00 c,e | 0.02 ± 0.00 d | 0.03 ± 0.00 c,d,e | 0.03 ± 0.00 c |
| Palmitic acid | 6.69 ± 0.09 d | 8.10 ± 0.38 a,c | 5.67 ± 0.16 c,e | 7.06 ± 0.08 d | 7.76 ± 0.16 c | 8.78 ± 0.21 b | 7.85 ± 0.02 c | 8.55 ± 0.06 a,b | 8.94 ± 0.08 b |
| Stearic acid | 4.29 ± 0.05 b | 2.32 ± 0.07 c | 1.95 ± 0.05 d | 4.43 ± 0.01 a | 4.44 ± 0.01 a | 4.47 ± 0.02 a | 4.30 ± 0.00 b | 4.39 ± 0.02 a,b | 4.44 ± 0.01 a |
| Arachidic acid | 0.27 ± 0.00 d | 0.73 ± 0.04 b | 0.54 ± 0.01 c | 0.39 ± 0.01 e,f | 0.43 ± 0.00 a,e | 0.46 ± 0.02 a | 0.32 ± 0.00 d | 0.37 ± 0.00 f | 0.42 ± 0.01 a,c,f |
| Behenic acid | ND | ND | ND | 0.03 ± 0.01 b | 0.02 ± 0.01 b | 0.03 ± 0.01 b | 0.03 ± 0.00 b | 0.12 ± 0.04 a | 0.03 ± 0.01 b |
| MUFA | |||||||||
| Palmitoleic acid | 0.09 ± 0.00 d | 0.01 ± 0.00 b | 0.01 ± 0.00 b | 0.09 ± 0.00 d | 0.09 ± 0.00 d | 0.10 ± 0.00 c,e | 0.10 ± 0.00 e | 0.11 ± 0.00 a | 0.11 ± 0.00 a,c |
| cis-Oleic acid | 24.13 ± 0.04 a | 10.17 ± 0.42 b | 7.45 ± 0.21 c | 24.44 ± 0.03 a | 24.49 ± 0.0 a | 24.40 ± 0.03 a | 24.18 ± 0.03 a | 24.18 ± 0.01 a | 24.30 ± 0.05 a |
| trans-Oleic acid | 0.03 ± 0.00 c | 0.19 ± 0.02 b | 0.19 ± 0.02 b | 0.10 ± 0.01 a,d | 0.11 ± 0.02 a,d | 0.12 ± 0.01 d | 0.05 ± 0.00 a,c | 0.12 ± 0.03 d | 0.10 ± 0.03 a,d |
| PUFA | |||||||||
| Linolelaidic acid | 0.04 ± 0.01 b | 0.04 ± 0.00 b | 0.04 ± 0.00 b | 0.11 ± 0.01 d | 0.02 ± 0.01 c | 0.03 ± 0.01 b | 0.02 ± 0.00 c | 0.03 ± 0.00 a,b | 0.02 ± 0.00 c |
| Linoleic acid | 64.46 ± 0.10 d | 15.95 ± 0.72 e | 9.93 ± 0.31 f | 63.38 ± 0.02 d | 62.67 ± 0.15 c | 61.63 ± 0.08 b | 63.17 ± 0.04 c | 62.24 ± 0.18 a,b | 61.67 ± 0.10 b |
| Punicic acid | ND | 62.60 ± 0.83 a | 65.21 ± 1.09 b | 1.18 ± 0.12 c | 1.56 ± 0.03 c | 2.11 ± 0.29 c | 0.76 ± 0.07 c | 1.29 ± 0.08 c | 2.03 ± 0.17 c |
| ∑SFA | 11.26 ± 0.10 a | 11.29 ± 0.50 a | 8.29 ± 0.23 f | 12.01 ± 0.12 d,e | 12.77 ± 0.16 c,d | 13.88 ± 0.25 b | 12.62 ± 0.01 c,d | 13.57 ± 0.08 b,c | 13.99 ± 0.10 b |
| ∑MUFA | 24.24 ± 0.04 d | 10.37 ± 0.44 g | 7.66 ± 0.22 f | 24.62 ± 0.03 c,e | 24.69 ± 0.01 e | 24.63 ± 0.03 c,e | 24.33 ± 0.03 a,d | 24.41 ± 0.04 a,b | 24.50 ± 0.02 b,c |
| ∑PUFA | 64.50 ± 0.10 c | 78.59 ± 1.54 a | 75.18 ± 1.37 b | 64.67 ± 0.02 c | 64.25 ± 0.1 c | 63.77 ± 0.08 c | 63.95 ± 0.04 c | 63.56 ± 0.18 c | 63.72 ± 0.10 c |
| ∑MUFA/∑PUFA index | 0.376 ± 0.00 c | 0.032 ± 0.00 a | 0.029 ± 0.00 b | 0.381 ± 0.00 d | 0.384 ± 0.00 e | 0.386 ± 0.00 e | 0.380 ± 0.00 d | 0.384 ± 0.00 e | 0.384 ± 0.00 e |
| ∑UFA/∑SFA index | 7.89 ± 0.08 a | 7.89 ± 0.19 a | 9.99 ± 0.15 e | 7.44 ± 0.07 b | 6.97 ± 0.10 c | 6.37 ± 0.11 d | 6.99 ± 0.01 c | 6.48 ± 0.04 d | 6.31 ± 0.04 d |
| Cox value | 6.88 ± 0.01 b | 15.27 ± 0.26 a | 15.18 ± 0.27 a | 7.03 ± 0.01 b | 7.04 ± 0.01 b | 7.05 ± 0.04 b | 6.91 ± 0.01 b | 6.93 ± 0.03 b | 7.03 ± 0.03 b |
| Oil Blends | |||||||||
|---|---|---|---|---|---|---|---|---|---|
| Parameter | SO | PSO | BSPO | SO:PSO | SO:BPSO | ||||
| 90:10 w/w | 85:15 w/w | 80:20 w/w | 90:10 w/w | 85:15 w/w | 80:20 w/w | ||||
| TCC (mg β-carotene/g) | 0.01 ± 0.00 d | 0.19 ± 0.01 b | 0.17 ± 0.01 c | 0.02 ± 0.00 d,e | 0.03 ± 0.00 e,f | 0.04 ± 0.00 a,f | 0.02 ± 0.00 d,e | 0.04 ± 0.00 a,f | 0.05 ± 0.00 a |
| TPC (mg GAE/g) | 0.35 ± 0.01 c | 3.45 ± 0.35 a | 3.89 ± 0.20 b | 0.69 ± 0.03 c,d | 0.73 ± 0.01 c,d | 0.82 ± 0.07 d | 0.66 ± 0.03 c,d | 0.84 ± 0.01 d | 0.83 ± 0.01 d |
| Tocopherols (µg/g) | |||||||||
| α-tocopherol | 26.28 ± 5.19 c | 55.45 ± 8.23 b | 63.84 ± 2.36 b | 31.98 ± 3.11 c | 31.07 ± 1.78 | 29.87 ± 4.27 c | 24.87 ± 4.50 c | 54.40 ± 11.52 b | 59.68 ± 3.11 b |
| δ-tocopherol | 13.28 ± 0.32 d | 36.31 ± 2.63 a | 16.78 ± 1.62 b,c,d | 14.79 ± 0.53 c,d | 20.07 ± 1.94 b | 16.65 ± 0.74 b,c,d | 15.05 ± 061 b,c,d | 18.09 ± 1.73 b,c,d | 18.70 ± 2.04 b,c |
| PV | AV | TOTOX | DPPH | ABTS | |
|---|---|---|---|---|---|
| PV | 1 | ||||
| AV | 0.918 | 1 | |||
| TOTOX | 0.972 | 0.801 | 1 | ||
| DPPH | 0.921 | 0.692 | 0.987 | 1 | |
| ABTS | 0.981 | 0.823 | 0.999 | 0.979 | 1 |
| Relative Content (%) | |||
|---|---|---|---|
| Compound | SO | SO:PSO | SO:BPSO |
| Pentanal | 2.28 ± 0.10 b | 3.74 ± 0.51 a | 4.18 ± 0.28 a |
| N-hexanal | 7.63 ± 0.50 c | 3.16 ± 0.09 a | 1.46 ± 0.85 b |
| Trans-2-hexenal | 0.31 ± 0.00 a | 0.17 ± 0.02 b | 0.22 ± 0.03 b |
| 2-Amylfuran | 0.98 ± 0.02 a | 0.14 ± 0.01b | 0.12 ± 0.01 b |
| 1-Pentanol | 1.27 ± 0.02 a | 0.18 ± 0.01 b | 0.18 ± 0.01 b |
| 2-Heptenal | 5.32 ± 0.51 a | 1.56 ± 0.37 b | 1.73 ± 0.07 b |
| Acetic acid | 1.40 ± 0.14 a | 0.50 ± 0.06 b | 0.55 ± 0.03 b |
| 1-Octen-3-ol | 1.78 ± 0.14 a | 0.21 ± 0.03 b | 0.17 ± 0.01 b |
| Formic acid | 4.75 ± 0.71 a | 1.46 ± 0.24 b | 1.59 ± 0.08 b |
| 2.4-Octadienal | 0.19 ± 0.02 a | ND | 0.05 ± 0.00 b |
| Butanoic acid | 0.05 ± 0.01 a | 0.09 ± 0.01 b | 0.08 ± 0.00 a,b |
| 2-Decenal | 0.52 ± 0.02 a | 0.11 ± 0.00 b | 0.09 ± 0.01 b |
| Pentanoic acid | 0.86 ± 0.39 a | 2.20 ± 0.17 b | 2.22 ± 0.16 b |
| Hexanoic acid | 7.68 ± 0.44 a | 2.39 ± 0.11 b | 2.07 ± 0.23 b |
| Heptanoic acid | 0.23 ± 0.00 a | 0.06 ± 0.01 b | 0.04 ± 0.00 b |
| Trans-2-tridecenal | ND | 0.05 ± 0.00 b | 0.05 ± 0.01 b |
| 2-Heptanone | 7.63 ± 0.50 | ND | ND |
| Octanol | 0.13 ± 0.00 | ND | ND |
| 1-Octanol | 0.10 ± 0.00 | ND | ND |
| 2.4-Nonadienal | 0.16 ± 0.02 | ND | ND |
| 2-Octenoic acid | 0.38 ± 0.04 | ND | ND |
| 2-Methyl-1-penten-3-ol | ND | 0.05±0.00 | ND |
Publisher’s Note: MDPI stays neutral with regard to jurisdictional claims in published maps and institutional affiliations. |
© 2021 by the authors. Licensee MDPI, Basel, Switzerland. This article is an open access article distributed under the terms and conditions of the Creative Commons Attribution (CC BY) license (https://creativecommons.org/licenses/by/4.0/).
Share and Cite
Kaseke, T.; Opara, U.L.; Fawole, O.A. Blending of Sunflower Oil with Pomegranate Seed Oil from Blanched Seeds: Impact on Functionality, Oxidative Stability, and Antioxidant Properties. Processes 2021, 9, 635. https://doi.org/10.3390/pr9040635
Kaseke T, Opara UL, Fawole OA. Blending of Sunflower Oil with Pomegranate Seed Oil from Blanched Seeds: Impact on Functionality, Oxidative Stability, and Antioxidant Properties. Processes. 2021; 9(4):635. https://doi.org/10.3390/pr9040635
Chicago/Turabian StyleKaseke, Tafadzwa, Umezuruike Linus Opara, and Olaniyi Amos Fawole. 2021. "Blending of Sunflower Oil with Pomegranate Seed Oil from Blanched Seeds: Impact on Functionality, Oxidative Stability, and Antioxidant Properties" Processes 9, no. 4: 635. https://doi.org/10.3390/pr9040635
APA StyleKaseke, T., Opara, U. L., & Fawole, O. A. (2021). Blending of Sunflower Oil with Pomegranate Seed Oil from Blanched Seeds: Impact on Functionality, Oxidative Stability, and Antioxidant Properties. Processes, 9(4), 635. https://doi.org/10.3390/pr9040635

