Emulsion Formation and Stabilizing Properties of Olive Oil Cake Crude Extracts
Abstract
1. Introduction
2. Materials and Methods
2.1. Materials
2.2. Sample Preparation and Extraction Yields
2.3. Physicochemical Characterization
2.4. Emulsion Preparation
2.5. Emulsion Stability Evaluation
2.5.1. Effect of pH
2.5.2. Effect of Ionic Strength
2.5.3. Effect of Long-Term Storage
2.6. Droplet Characterization
2.7. Data Analysis
3. Results and Discussion
3.1. Physicochemical Properties of OOC Extracts
3.1.1. Surface-Active Composition
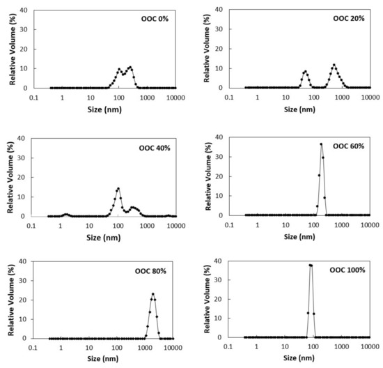
3.1.2. Particle Size Distribution
3.1.3. Interfacial Activity
3.2. Effect of Extract Type on the Formation Characteristics of O/W Emulsion
3.2.1. Droplet Size
3.2.2. Droplet Surface Charge
3.3. Effect of OOC 80% Extract Concentration and Oil Mass Fraction on Emulsion Formation
3.4. Effect of Stress Conditions on OOC 80% Extract Stabilized Emulsions
4. Conclusions
Author Contributions
Funding
Institutional Review Board Statement
Informed Consent Statement
Data Availability Statement
Acknowledgments
Conflicts of Interest
References
- McClements, D.J. Food Emulsions Principles, Practices, and Techniques, 3rd ed.; CRS Press: Boca Raton, FL, USA, 2015; ISBN 9781498726696. [Google Scholar]
- Ozturk, B.; McClements, D.J. Progress in natural emulsifiers for utilization in food emulsions. Curr. Opin. Food Sci. 2016, 7, 1–6. [Google Scholar] [CrossRef]
- Yang, Y.; Leser, M.E.; Sher, A.A.; McClements, D.J. Formation and stability of emulsions using a natural small molecule surfactant: Quillaja saponin (Q-Naturale®). Food Hydrocoll. 2013, 30, 589–596. [Google Scholar] [CrossRef]
- Melanie, H.; Taarji, N.; Zhao, Y.; Khalid, N.; Neves, M.A.; Kobayashi, I.; Tuwo, A.; Nakajima, M. Formulation and characterisation of O/W emulsions stabilised with modified seaweed polysaccharides. Int. J. Food Sci. Technol. 2020, 55, 211–221. [Google Scholar] [CrossRef]
- Chen, Z.; Shu, G.; Taarji, N.; Barrow, C.J.; Nakajima, M.; Khalid, N.; Neves, M.A. Gypenosides as natural emulsifiers for oil-in-water nanoemulsions loaded with astaxanthin: Insights of formulation, stability and release properties. Food Chem. 2018, 261. [Google Scholar] [CrossRef]
- Bouhoute, M.; Taarji, N.; de Oliveira Felipe, L.; Habibi, Y.; Kobayashi, I.; Zahar, M.; Isoda, H.; Nakajima, M.; Neves, M.A. Microfibrillated cellulose from Argania spinosa shells as sustainable solid particles for O/W Pickering emulsions. Carbohydr. Polym. 2021, 251, 116990. [Google Scholar] [CrossRef]
- Ralla, T.; Salminen, H.; Edelmann, M.; Dawid, C.; Hofmann, T.; Weiss, J. Sugar Beet Extract (Beta vulgaris L.) as a New Natural Emulsifier: Emulsion Formation. J. Agric. Food Chem. 2017, 65, 4153–4160. [Google Scholar] [CrossRef]
- Ralla, T.; Herz, E.; Salminen, H.; Edelmann, M.; Dawid, C.; Hofmann, T.; Weiss, J. Emulsifying Properties of Natural Extracts from Panax ginseng L. Food Biophys. 2017, 12, 479–490. [Google Scholar] [CrossRef]
- Ralla, T.; Salminen, H.; Edelmann, M.; Dawid, C.; Hofmann, T.; Weiss, J. Oat bran extract (Avena sativa L.) from food by-product streams as new natural emulsifier. Food Hydrocoll. 2018, 81, 253–262. [Google Scholar] [CrossRef]
- Taarji, N.; Rabelo da Silva, C.A.; Khalid, N.; Gadhi, C.; Hafidi, A.; Kobayashi, I.; Neves, M.A.; Isoda, H.; Nakajima, M. Formulation and stabilization of oil-in-water nanoemulsions using a saponins-rich extract from argan oil press-cake. Food Chem. 2018, 246, 457–463. [Google Scholar] [CrossRef]
- Bouhoute, M.; Taarji, N.; Vodo, S.; Kobayashi, I.; Zahar, M.; Isoda, H.; Nakajima, M.; Neves, M.A. Formation and stability of emulsions using crude extracts as natural emulsifiers from Argan shells. Colloids Surf. A Physicochem. Eng. Asp. 2020, 591, 124536. [Google Scholar] [CrossRef]
- Vodo, S.; Taarji, N.; Bouhoute, M.; de Oliveira Felipe, L.; Neves, M.A.; Kobayashi, I.; Uemura, K.; Nakajima, M. Potential of bagasse obtained using hydrothermal liquefaction pre-treatment as a natural emulsifier. Int. J. Food Sci. Technol. 2020. [Google Scholar] [CrossRef]
- Fernández-Bolaños, J.; Rodríguez, G.; Gómez, E.; Guillén, R.; Jiménez, A.; Heredia, A.; Rodríguez, R. Total recovery of the waste of two-phase olive oil processing: Isolation of added-value compounds. J. Agric. Food Chem. 2004, 52, 5849–5855. [Google Scholar] [CrossRef]
- Mirabella, N.; Castellani, V.; Sala, S. Current options for the valorization of food manufacturing waste: A review. J. Clean. Prod. 2014, 65, 28–41. [Google Scholar] [CrossRef]
- Filotheou, A.; Ritzoulis, C.; Avgidou, M.; Kalogianni, E.P.; Pavlou, A.; Panayiotou, C. Novel emulsifiers from olive processing solid waste. Food Hydrocoll. 2015, 48, 274–281. [Google Scholar] [CrossRef]
- Koliastasi, A.; Kompothekra, V.; Giotis, C.; Moustakas, A.K. Emulsifiers from Partially Composted Olive Waste. Foods 2019, 8, 271. [Google Scholar] [CrossRef]
- Koliastasi, A.; Kompothekra, V.; Giotis, C.; Moustakas, A.K.; Skotti, E.P.; Gerakis, A.; Kalogianni, E.P.; Georgiou, D.; Ritzoulis, C. Food Hydrocolloids Novel emulsi fi ers from olive mill compost. Food Hydrocoll. 2020, 99, 105373. [Google Scholar] [CrossRef]
- Zhaobao, X.; Chunhong, T.; Gang, C.; Zhisong, S. Studied on corlorimetric determination of oleanolic acid in Chinese quince. Nat. Prod. Res. Dev. 2001, 13, 23–26. [Google Scholar]
- Rabelo, C.A.S.; Taarji, N.; Khalid, N.; Kobayashi, I.; Nakajima, M.; Neves, M.A. Formulation and characterization of water-in-oil nanoemulsions loaded with açaí berry anthocyanins: Insights of degradation kinetics and stability evaluation of anthocyanins and nanoemulsions. Food Res. Int. 2018, 106. [Google Scholar] [CrossRef]
- Oleszek, W.; Hamed, A. Saponin-Based Surfactants. In Surfactants from Renewable Resources, 1st ed.; Wiley: Hoboken, NJ, USA, 2010; pp. 239–249. [Google Scholar]
- Lam, R.S.H.; Nickerson, M.T. Food proteins: A review on their emulsifying properties using a structure-function approach. Food Chem. 2013, 141, 975–984. [Google Scholar] [CrossRef]
- Souilem, S.; Kobayashi, I.; Neves, M.A.; Jlaiel, L.; Isoda, H.; Sayadi, S.; Nakajima, M. Interfacial characteristics and microchannel emulsification of oleuropein-containing triglyceride oil–water systems. Food Res. Int. 2014, 62, 467–475. [Google Scholar] [CrossRef]
- Di Mattia, C.D.; Sacchetti, G.; Mastrocola, D.; Sarker, D.K.; Pittia, P. Surface properties of phenolic compounds and their influence on the dispersion degree and oxidative stability of olive oil O/W emulsions. Food Hydrocoll. 2010, 24, 652–658. [Google Scholar] [CrossRef]
- Piotrowski, M.; Lewandowska, J.; Wojciechowski, K. Biosurfactant–Protein Mixtures: Quillaja Bark Saponin at Water/Air and Water/Oil Interfaces in Presence of β-Lactoglobulin. J. Phys. Chem. B 2012, 116, 4843–4850. [Google Scholar] [CrossRef]
- Wojciechowski, K.; Kezwon, A.; Lewandowska, J.; Marcinkowski, K. Effect of β-casein on surface activity of Quillaja bark saponin at fluid/fluid interfaces. Food Hydrocoll. 2014, 34, 208–216. [Google Scholar] [CrossRef]
- Wojciechowski, K.; Piotrowski, M.; Popielarz, W.; Sosnowski, T.R. Short- and mid-term adsorption behaviour of Quillaja Bark Saponin and its mixtures with lysozyme. Food Hydrocoll. 2011, 25, 687–693. [Google Scholar] [CrossRef]
- Bandyopadhyay, P.; Ghosh, A.K.; Ghosh, C. Recent developments on polyphenol–protein interactions: Effects on tea and coffee taste, antioxidant properties and the digestive system. Food Funct. 2012, 3, 592–605. [Google Scholar] [CrossRef]
- Mitra, S.; Dungan, S.R. Micellar Properties of Quillaja Saponin. 1. Effects of Temperature, Salt, and pH on Solution Properties. J. Agric. Food Chem. 1997, 45, 1587–1595. [Google Scholar] [CrossRef]
- Stamkulov, N.S.; Mussabekov, K.B.; Aidarova, S.B.; Luckham, P.F. Stabilisation of emulsions by using a combination of an oil soluble ionic surfactant and water soluble polyelectrolytes. I: Emulsion stabilisation and Interfacial tension measurements. Colloids Surf. A Physicochem. Eng. Asp. 2009, 335, 103–106. [Google Scholar] [CrossRef]
- Taarji, N.; Bouhoute, M.; Fainassi, F.; Hafidi, A.; Kobayashi, I.; Neves, M.A.; Tominaga, K.; Isoda, H.; Nakajima, M. Interfacial and emulsifying properties of purified glycyrrhizin and non-purified glycyrrhizin-rich extracts from liquorice root (Glycyrrhiza glabra). Food Chem. 2021, 337, 127949. [Google Scholar] [CrossRef]
- McClements, D.J.; Gumus, C.E. Natural emulsifiers—Biosurfactants, phospholipids, biopolymers, and colloidal particles: Molecular and physicochemical basis of functional performance. Adv. Colloid Interface Sci. 2016, 234, 3–26. [Google Scholar] [CrossRef]
- Ogino, K.; Onishi, M. Interfacial action of natural surfactants in oil/water systems. J. Colloid Interface Sci. 1981, 83, 18–25. [Google Scholar] [CrossRef]
- Lu, G.W.; Gao, P. CHAPTER 3-Emulsions and Microemulsions for Topical and Transdermal Drug Delivery. In Personal Care & Cosmetic Technology; William Andrew Publishing: Boston, MA, USA, 2010; pp. 59–94. ISBN 978-0-8155-2025-2. [Google Scholar]
- Karaca, A.C.; Low, N.; Nickerson, M. Emulsifying properties of chickpea, faba bean, lentil and pea proteins produced by isoelectric precipitation and salt extraction. Food Res. Int. 2011, 44, 2742–2750. [Google Scholar] [CrossRef]
- Baret, J.-C.; Kleinschmidt, F.; El Harrak, A.; Griffiths, A.D. Kinetic Aspects of Emulsion Stabilization by Surfactants: A Microfluidic Analysis. Langmuir 2009, 25, 6088–6093. [Google Scholar] [CrossRef] [PubMed]








| OOC 0% | OOC 20% | OOC 40% | OOC 60% | OOC 80% | OOC 100% | |
|---|---|---|---|---|---|---|
| EY % (w/w) | 10.2 ± 0.9 de | 11.6 ± 1.1 cd | 9.6 ± 0.9 e | 12.0 ± 1.2 c | 16.6 ± 1.9 b | 22.4 ± 2.3 a |
| Proteins | 1.79 ± 0.14 c | 2.86 ± 0.12 a | 2.27 ± 0.19 b | 2.23 ± 0.14 b | 2.19 ± 0.14 b | 1.20 ± 0.17 d |
| Saponins | 7.80 ± 0.38 c | 8.07 ± 0.58 bc | 8.71 ± 0.67 ab | 9.01 ± 1.07 ab | 8.38 ± 0.86 bc | 9.29 ± 0.68 a |
| Polyphenols | 4.58 ± 0.26 a | 4.20 ± 0.22 a | 3.23 ± 0.14 b | 4.27 ± 0.23 a | 3.49 ± 0.11 b | 0.72 ± 0.04 c |
| 5 °C | 25 °C | 50 °C | |
|---|---|---|---|
| Day 1 | 0.437 | 0.405 | 0.401 |
| Day 7 | 0.416 | 0.440 | 0.470 |
| Day 15 | 0.427 | 0.405 | 0.481 |
| Day 30 | 0.394 | 0.387 | 0.426 |
Publisher’s Note: MDPI stays neutral with regard to jurisdictional claims in published maps and institutional affiliations. |
© 2021 by the authors. Licensee MDPI, Basel, Switzerland. This article is an open access article distributed under the terms and conditions of the Creative Commons Attribution (CC BY) license (https://creativecommons.org/licenses/by/4.0/).
Share and Cite
Fainassi, F.; Taarji, N.; Benkhalti, F.; Hafidi, A.; Neves, M.A.; Isoda, H.; Nakajima, M. Emulsion Formation and Stabilizing Properties of Olive Oil Cake Crude Extracts. Processes 2021, 9, 633. https://doi.org/10.3390/pr9040633
Fainassi F, Taarji N, Benkhalti F, Hafidi A, Neves MA, Isoda H, Nakajima M. Emulsion Formation and Stabilizing Properties of Olive Oil Cake Crude Extracts. Processes. 2021; 9(4):633. https://doi.org/10.3390/pr9040633
Chicago/Turabian StyleFainassi, Firdaous, Noamane Taarji, Fatiha Benkhalti, Abdellatif Hafidi, Marcos A. Neves, Hiroko Isoda, and Mitsutoshi Nakajima. 2021. "Emulsion Formation and Stabilizing Properties of Olive Oil Cake Crude Extracts" Processes 9, no. 4: 633. https://doi.org/10.3390/pr9040633
APA StyleFainassi, F., Taarji, N., Benkhalti, F., Hafidi, A., Neves, M. A., Isoda, H., & Nakajima, M. (2021). Emulsion Formation and Stabilizing Properties of Olive Oil Cake Crude Extracts. Processes, 9(4), 633. https://doi.org/10.3390/pr9040633

