Toward Balancing the Pros and Cons of Spreading Olive Mill Wastewater in Irrigated Olive Orchards
Abstract
1. Introduction
- A relatively low OMW dose in the range of 50 m3 ha−1 y−1 balances the low degradation rates of OMW organic residues expected during the cold and wet winter season, and the soil can recover between consecutive winter applications;
- Toxic effects of OMW toward soil biota will disappear between successive winter applications; and
- Soil tillage following OMW application will enhance soil biodegradation rates of OMW constituents and therefore reduce the negative effects of OMW on soil physicochemistry and biology.
2. Materials and Methods
2.1. Study Area and Sampling Design
2.2. Soil and OMW Analyses
2.3. Biological Activity and Invertebrates
2.4. Data Analysis
3. Results and Discussion
3.1. Olive Mill Wastewater (OMW) and Untreated Soil Characteristics
3.2. Soil Hydrophobicity
3.3. Effects of OMW Application on Soil Properties
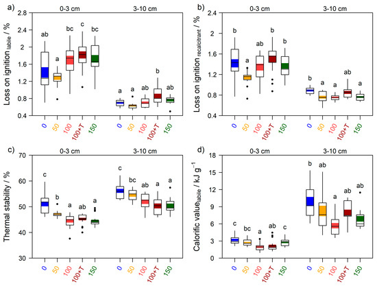
3.4. Changes in Thermal SOM Properties after OMW Application
3.5. Effects of OMW on Soil Biological Activity and Invertebrates
3.6. Practical Implications
4. Conclusions
Author Contributions
Funding
Institutional Review Board Statement
Informed Consent Statement
Data Availability Statement
Acknowledgments
Conflicts of Interest
References
- Elkacmi, R.; Bennajah, M. Advanced oxidation technologies for the treatment and detoxification of olive mill wastewater: A general review. J. Water Reuse Desalination 2019, 9, 463–505. [Google Scholar] [CrossRef]
- Laor, Y.; Saadi, I.; Raviv, M.; Medina, S.; Erez-Reifen, D.; Eizenbergc, H. Land spreading of olive mill wastewater in Israel: Current knowledge, practical experience, and future research needs. Isr. J. Plant Sci. 2011, 59, 39–51. [Google Scholar] [CrossRef]
- Levy, G.J.; Dag, A.; Raviv, M.; Zipori, I.; Medina, S.; Saadi, I.; Krasnovski, A.; Eizenberg, H.; Laor, Y. Annual spreading of olive mill wastewater over consecutive years: Effects on cultivated soils’ physical properties. Land Degrad. Dev. 2018, 29, 176–187. [Google Scholar] [CrossRef]
- Aboud, T. Online Presentation: Estimation of Environmental Pollution Potential from Olive Mill Wastewaters in Israel & Integrated Solutions for Olive Mill Wastewater with Sewage Treatment Plants and Policy; Agro-Ecology Department, North District, Ministry of Environmental Protection: Bet Dagan, Israel, 2012.
- Mohawesh, O.; Albalasmeh, A.; Al-Hamaiedeh, H.; Qaraleh, S.; Maaitah, O.; Bawalize, A.; Almajali, D. Controlled Land Application of Olive Mill Wastewater (OMW): Enhance Soil Indices and Barley Growth Performance in Arid Environments. Water Air Soil Pollut. 2020, 231, 1–12. [Google Scholar] [CrossRef]
- Sierra, J.; Martí, E.; Garau, M.A.; Cruañas, R. Effects of the agronomic use of olive oil mill wastewater: Field experiment. Sci. Total Environ. 2007, 378, 90–94. [Google Scholar] [CrossRef]
- Barbera, A.; Maucieri, C.; Cavallaro, V.; Ioppolo, A.; Spagna, G. Effects of spreading olive mill wastewater on soil properties and crops, a review. Agric. Water Manag. 2013, 119, 43–53. [Google Scholar] [CrossRef]
- Kurtz, M.P.; Peikert, B.; Brühl, C.; Dag, A.; Zipori, I.; Shoqeir, J.H.; Schaumann, G.E. Effects of Olive Mill Wastewater on Soil Microarthropods and Soil Chemistry in Two Different Cultivation Scenarios in Israel and Palestinian Territories. Agriculture 2015, 5, 857–878. [Google Scholar] [CrossRef]
- Buchmann, C.; Felten, A.; Peikert, B.; Muñoz, K.; Bandow, N.; Dag, A.; Schaumann, G.E. Development of phytotoxicity and composition of a soil treated with olive mill wastewater (OMW): An incubation study. Plant Soil 2015, 386, 99–112. [Google Scholar] [CrossRef]
- Piotrowska, A.; Iamarino, G.; Rao, M.A.; Gianfreda, L. Short-term effects of olive mill waste water (OMW) on chemical and biochemical properties of a semiarid Mediterranean soil. Soil Biol. Biochem. 2006, 38, 600–610. [Google Scholar] [CrossRef]
- Zipori, I.; Dag, A.; Laor, Y.; Levy, G.J.; Eizenberg, H.; Yermiyahu, U.; Medina, S.; Saadi, I.; Krasnovski, A.; Raviv, M. Potential nutritional value of olive-mill wastewater applied to irrigated olive (Olea europaea L.) orchard in a semi-arid environment over 5 years. Sci. Hortic. 2018, 241, 218–224. [Google Scholar] [CrossRef]
- Bronick, C.; Lal, R. Soil structure and management: A review. Geoderma 2005, 124, 3–22. [Google Scholar] [CrossRef]
- Peikert, B.; Schaumann, G.; Keren, Y.; Bukhanovsky, N.; Borisover, M.; Garfha, M.; Shoqeric, J.; Dağ, A. Characterization of topsoils subjected to poorly controlled olive oil mill wastewater pollution in West Bank and Israel. Agric. Ecosyst. Environ. 2015, 199, 176–189. [Google Scholar] [CrossRef]
- Tamimi, N.; Diehl, D.; Njoum, M.; Marei, A.; Schaumann, G.E. Effects of olive mill wastewater disposal on soil: Interaction mechanisms during different seasons. J. Hydrol. Hydromech. 2016, 64, 176–195. [Google Scholar] [CrossRef]
- Steinmetz, Z.; Kurtz, M.P.; Dag, A.; Zipori, I.; Schaumann, G.E. The seasonal influence of olive mill wastewater applications on an orchard soil under semi-arid conditions. J. Plant Nutr. Soil Sci. 2015, 178, 641–648. [Google Scholar] [CrossRef]
- Hentati, O.; Oliveira, V.; Sena, C.; Bouji, M.S.M.; Wali, A.; Ksibi, M. Soil contamination with olive mill wastes negatively affects microbial communities, invertebrates and plants. Ecotoxicology 2016, 25, 1500–1513. [Google Scholar] [CrossRef]
- Mekki, A.; Dhouib, A.; Sayadi, S. Review: Effects of olive mill wastewater application on soil properties and plants growth. Int. J. Recycl. Org. Waste Agric. 2013, 2, 1–7. [Google Scholar] [CrossRef]
- ISO 11465 Soil Quality: Determination of Dry Matter and Water Content on a Mass Basis: Gravimetric Method; International Organization for Standardization: Geneva, Switzerland, 1993.
- ISO 11277 Soil Quality—Determination of Particle Size Distribution in Mineral Soil Material—Method by Sieving and Sedimentation; International Organization for Standardization: Geneva, Switzerland, 2020.
- Box, J. Investigation of the Folin-Ciocalteau phenol reagent for the determination of polyphenolic substances in natural waters. Water Res. 1983, 17, 511–525. [Google Scholar] [CrossRef]
- Bisdom, E.; Dekker, L.; Schoute, J. Water repellency of sieve fractions from sandy soils and relationships with organic material and soil structure. Geoderma 1993, 56, 105–118. [Google Scholar] [CrossRef]
- Peikert, B.; Schaumann, G.E.; Bibus, D.; Fischer, J.; Braun, U.; Brunkhardt, J. Effects of olive oil mill wastewater on chemical, microbiological, and physical properties of soil incubated under four different climatic conditions. Biol. Fertil. Soils 2016, 53, 89–102. [Google Scholar] [CrossRef]
- Tamimi, N.; Schaumann, G.E.; Diehl, D. The fate of organic matter brought into soil by olive mill wastewater application at different seasons. J. Soils Sediments 2017, 17, 901–916. [Google Scholar] [CrossRef]
- Plante, A.F.; Fernández, J.M.; Leifeld, J. Application of thermal analysis techniques in soil science. Geoderma 2009, 153, 1–10. [Google Scholar] [CrossRef]
- Kratz, W. The bait-lamina test. Environ. Sci. Pollut. Res. 1998, 5, 94–96. [Google Scholar] [CrossRef] [PubMed]
- R Core Team. R: A Language and Environment for Statistical Computing; R Foundation for Statistical Computing: Vienna, Austria, 2020. [Google Scholar]
- Lane, P.W. Generalized linear models in soil science. Eur. J. Soil Sci. 2002, 53, 241–251. [Google Scholar] [CrossRef]
- Hothorn, T.; Bretz, F.; Westfall, P.; Heiberger, R.M.; Schuetzenmeister, A. Multcomp: Simultaneous Inference in General Parametric Models. R Package Version 2014, 50, 1–2. [Google Scholar]
- Nelder, J.A.; Wedderburn, R.W.M. Generalized Linear Models. J. R. Stat. Soc. Ser. A 1972, 135, 370. [Google Scholar] [CrossRef]
- Venables, W.N.; Ripley, B.D. Modern Applied Statistics with S, 4th ed.; Statistics and Computing; Springer: New York, NY, USA, 2002; ISBN 978-0-387-95457-8. [Google Scholar]
- Oksanen, J.; Blanchet, F.G.; Kindt, R.; Legendre, P.; Minchin, P.R.; O’Hara, R.B.; Simpson, G.L.; Solymos, P.; Stevens, M.H.H.; Wagner, H. Vegan: Community Ecology Package; International Centre for Research in Agroforestry (ICRAF): Nairobi, Kenya, 2015. [Google Scholar]
- Harman, C.J.; Lohse, K.A.; Troch, P.A.; Sivapalan, M. Spatial patterns of vegetation, soils, and microtopography from terrestrial laser scanning on two semiarid hillslopes of contrasting lithology. J. Geophys. Res. Biogeosci. 2014, 119, 163–180. [Google Scholar] [CrossRef]
- Mahmoud, M.; Janssen, M.; Haboub, N.; Nassour, A.; Lennartz, B. The impact of olive mill wastewater application on flow and transport properties in soils. Soil Tillage Res. 2010, 107, 36–41. [Google Scholar] [CrossRef]
- Dekker, L.W.; Ritsema, C.J. How water moves in a water repellent sandy soil: 1. Potential and actual water repellency. Water Resour. Res. 1994, 30, 2507–2517. [Google Scholar] [CrossRef]
- Dekker, L.W.; Doerr, S.H.; Oostindie, K.; Ziogas, A.K.; Ritsema, C.J. Water Repellency and Critical Soil Water Content in a Dune Sand. Soil Sci. Soc. Am. J. 2001, 65, 1667–1674. [Google Scholar] [CrossRef]
- Goebel, M.-O.; Bachmann, J.; Reichstein, M.; Janssens, I.A.; Guggenberger, G. Soil water repellency and its implications for organic matter decomposition—Is there a link to extreme climatic events? Glob. Chang. Biol. 2011, 17, 2640–2656. [Google Scholar] [CrossRef]
- Jeguirim, M.; Dutournié, P.; Zorpas, A.A.; Limousy, L. Olive Mill Wastewater: From a Pollutant to Green Fuels, Agricultural Water Source and Bio-Fertilizer—Part 1. The Drying Kinetics. Energies 2017, 10, 1423. [Google Scholar] [CrossRef]
- Chamizo, S.; Cantón, Y.; Rodríguez-Caballero, E.; Domingo, F. Biocrusts Positively Affect the Soil Water Balance in Semiarid Ecosystems: The Role of Biocrusts in the Local Water Balance. Ecohydrology 2016, 9, 1208–1221. [Google Scholar] [CrossRef]
- Mahmoud, M.; Janssen, M.; Peth, S.; Horn, R.; Lennartz, B. Long-term impact of irrigation with olive mill wastewater on aggregate properties in the top soil. Soil Tillage Res. 2012, 124, 24–31. [Google Scholar] [CrossRef]
- Mao, J.; Nierop, K.G.J.; Dekker, S.C.; Dekker, L.W.; Chen, B. Understanding the mechanisms of soil water repellency from nanoscale to ecosystem scale: A review. J. Soils Sediments 2018, 19, 171–185. [Google Scholar] [CrossRef]
- Lanza, B.; Di Serio, M.G.; Di Giovacchino, L. Long-Term Spreading of Olive Mill Wastewater on Olive Orchard: Effects on Olive Production, Oil Quality, and Soil Properties. Commun. Soil Sci. Plant Anal. 2017, 48, 2420–2433. [Google Scholar] [CrossRef]
- Chaari, L.; Elloumi, N.; Mseddi, S.; Gargouri, K.; Ben Rouina, B.; Mechichi, T.; Kallel, M. Changes in Soil Macronutrients after a Long-Term Application of Olive Mill Wastewater. J. Agric. Chem. Environ. 2015, 4, 1–13. [Google Scholar] [CrossRef]
- Di Bene, C.; Pellegrino, E.; Debolini, M.; Silvestri, N.; Bonari, E. Short- and long-term effects of olive mill wastewater land spreading on soil chemical and biological properties. Soil Biol. Biochem. 2013, 56, 21–30. [Google Scholar] [CrossRef]
- Vella, F.M.; Galli, E.; Calandrelli, R.; Cautela, D.; Laratta, B. Effect of Olive Mill Wastewater Spreading on Soil Properties. Bull. Environ. Contam. Toxicol. 2016, 97, 138–144. [Google Scholar] [CrossRef] [PubMed]
- Aharonov-Nadborny, R.; Tsechansky, L.; Raviv, M.; Graber, E. Mechanisms governing the leaching of soil metals as a result of disposal of olive mill wastewater on agricultural soils. Sci. Total. Environ. 2018, 630, 1115–1123. [Google Scholar] [CrossRef]
- Blagodatskaya, E.; Kuzyakov, Y. Mechanisms of real and apparent priming effects and their dependence on soil microbial biomass and community structure: Critical review. Biol. Fertil. Soils 2008, 45, 115–131. [Google Scholar] [CrossRef]
- Youjin, L.; Zifang, W.; Ming, G.; Chaofu, W. Effects of conservation tillage on organic carbon, nitrogen and enzyme activities in a hydragric anthrosol of Chongqing, China. Energy Procedia 2011, 5, 30–36. [Google Scholar] [CrossRef]
- Baweja, K.D. Studies of the Soil Fauna, with Special Reference to the Recolonization of Sterilized Soil. J. Anim. Ecol. 1939, 8, 120. [Google Scholar] [CrossRef]
- Helling, B.; Pfeiff, G.; Larink, O. A comparison of feeding activity of collembolan and enchytraeid in laboratory studies using the bait-lamina test. Appl. Soil Ecol. 1998, 7, 207–212. [Google Scholar] [CrossRef]
- Gargouri, K.; Masmoudi, M.; Rhouma, A. Influence of Olive Mill Wastewater (OMW) Spread on Carbon and Nitrogen Dynamics and Biology of an Arid Sandy Soil. Commun. Soil Sci. Plant Anal. 2014, 45, 1–14. [Google Scholar] [CrossRef]
- Hopkin, S.P. The Biology of the Collembola (Springtails): The Most Abundant Insects in the World; Natural Histology Museum: London, UK, 1997. [Google Scholar]
- Fox, O.; Vetter, S.; Ekschmitt, K.; Wolters, V. Soil fauna modifies the recalcitrance-persistence relationship of soil carbon pools. Soil Biol. Biochem. 2006, 38, 1353–1363. [Google Scholar] [CrossRef]
- Wang, M.; Zhang, W.; Xia, H.; Huang, J.; Wu, Z.; Xu, G. Effect of Collembola on mineralization of litter and soil organic matter. Biol. Fertil. Soils 2017, 53, 563–571. [Google Scholar] [CrossRef]







| Parameter | OMW | ||
|---|---|---|---|
| 2012 | 2013 | ||
| SUVA | L mg C−1 m−1 | 0.11 ± 0.01 | 0.13 ± 0.01 |
| LOI | % | 58 ± 0.9 | 64 ± 0.5 |
| LOIlabile | % | 48.9 ± 0.6 | 51.9 ± 0.7 |
| LOIrecalcitrant | % | 9.1 ± 0.4 | 12.2 ± 0.3 |
| CVLOI | kJ g−1 | 19.7 ± 1.6 | 19.0 ± 1.3 |
| CVlabile | kJ g−1 | 4.4 ± 0.2 | 4.1 ± 0.2 |
| CVrecalcitrant | kJ g−1 | 9.4 ± 0.5 | 9.1 ± 0.6 |
Publisher’s Note: MDPI stays neutral with regard to jurisdictional claims in published maps and institutional affiliations. |
© 2021 by the authors. Licensee MDPI, Basel, Switzerland. This article is an open access article distributed under the terms and conditions of the Creative Commons Attribution (CC BY) license (https://creativecommons.org/licenses/by/4.0/).
Share and Cite
Kurtz, M.P.; Dag, A.; Zipori, I.; Laor, Y.; Buchmann, C.; Saadi, I.; Medina, S.; Raviv, M.; Zchori-Fein, E.; Schaumann, G.E.; et al. Toward Balancing the Pros and Cons of Spreading Olive Mill Wastewater in Irrigated Olive Orchards. Processes 2021, 9, 780. https://doi.org/10.3390/pr9050780
Kurtz MP, Dag A, Zipori I, Laor Y, Buchmann C, Saadi I, Medina S, Raviv M, Zchori-Fein E, Schaumann GE, et al. Toward Balancing the Pros and Cons of Spreading Olive Mill Wastewater in Irrigated Olive Orchards. Processes. 2021; 9(5):780. https://doi.org/10.3390/pr9050780
Chicago/Turabian StyleKurtz, Markus Peter, Arnon Dag, Isaac Zipori, Yael Laor, Christian Buchmann, Ibrahim Saadi, Shlomit Medina, Michael Raviv, Einat Zchori-Fein, Gabriele Ellen Schaumann, and et al. 2021. "Toward Balancing the Pros and Cons of Spreading Olive Mill Wastewater in Irrigated Olive Orchards" Processes 9, no. 5: 780. https://doi.org/10.3390/pr9050780
APA StyleKurtz, M. P., Dag, A., Zipori, I., Laor, Y., Buchmann, C., Saadi, I., Medina, S., Raviv, M., Zchori-Fein, E., Schaumann, G. E., & Diehl, D. (2021). Toward Balancing the Pros and Cons of Spreading Olive Mill Wastewater in Irrigated Olive Orchards. Processes, 9(5), 780. https://doi.org/10.3390/pr9050780

