Next Article in Journal
Enhancing Microplastics Removal from Wastewater Using Electro-Coagulation and Granule-Activated Carbon with Thermal Regeneration
Next Article in Special Issue
Purification and Characterization of Fractions Containing Polysaccharides from Talinum triangulare and Their Immunomodulatory Effects
Previous Article in Journal
Therapeutic Effect of Cinnamomum osmophloeum Leaf Extract on Oral Mucositis Model Rats Induced by 5-Fluororacil via Influencing IL-1β and IL-6 Levels
Previous Article in Special Issue
Maximizing the Antioxidant Capacity of Padina pavonica by Choosing the Right Drying and Extraction Methods
 
 
Font Type:
Arial Georgia Verdana
Font Size:
Aa Aa Aa
Line Spacing:
Column Width:
Background:
Article

Preparation of Ophthalmic Microemulsions Containing Lithuanian Royal Jelly and Their Biopharmaceutical Evaluation

by
Kristina Perminaite
1,2,*,
Mindaugas Marksa
3,
Liudas Ivanauskas
3 and
Kristina Ramanauskiene
1
1
Department of Clinical Pharmacy, Faculty of Pharmacy, Lithuanian University of Health Sciences, Sukileliu Ave. 13, 50162 Kaunas, Lithuania
2
Faculty of Pharmacy, Institute of Pharmaceutical Technologies, Lithuanian University of Health Sciences, Sukileliu Ave. 13, 50162 Kaunas, Lithuania
3
Department of Analytical and Toxicological Chemistry, Lithuanian University of Health Sciences, Sukileliu Ave. 13, 50162 Kaunas, Lithuania
*
Author to whom correspondence should be addressed.
Processes 2021, 9(4), 616; https://doi.org/10.3390/pr9040616
Submission received: 23 February 2021 / Revised: 25 March 2021 / Accepted: 29 March 2021 / Published: 31 March 2021
(This article belongs to the Special Issue Biological Activity Evaluation Process of Natural Antioxidants)

Abstract

Royal jelly is a natural substance secreted by worker honeybees that possesses antioxidant, anti-inflammatory, and other biological activities. The purpose of this study was to formulate microemulsions with incorporated Lithuanian royal jelly for possible ophthalmic delivery and to evaluate the quality of the microemulsions in vitro. The oil in water type microemulsions were prepared by the oil titration method, incorporating royal jelly, surfactant, co-surfactant, oil, and water. Physicochemical characteristics of the microemulsions and the quantity of 10-hydroxy-2-decenoic acid released in vitro were assessed. The in vitro assessment of prepared microemulsions formulations was performed with the Statens Seruminstitut rabbit cornea (SIRC) cell culture model. The results revealed that the droplet size of all microemulsion formulations was 67.88–124.2 nm and the polydispersity index was lower than 0.180. In the in vitro release study, the release of 10-hydroxy-2-decenoic acid depended on the amount of royal jelly incorporated and on the ratio of surfactant and co-surfactant in formulations. The in vitro tests with the SIRC cell culture line have shown that all formulations were found non-irritating.

1. Introduction

Dry eye syndrome is an eye disease characterized by unpleasant symptoms, eye disorders, and instability of tear film, which can cause eye-surface disorders [1]. The symptoms are caused by insufficient moisturizing of the cornea by the tear film. Tears moisturize the eyes, feed the cornea, and protect the cornea from infections and smooth its surface. Dry eye syndrome requires the use of artificial tears, with chemical composition close to that of human tears.
Human tears are composed of 23 amino acids, which can change depending on the physiological state of the eye surface [2]. One way of relieving dry eye syndrome is the use of eye drops containing amino acids. Data support the use of amino acid-containing eye drops for prophylaxis in the presence of eye-surface diseases, especially of kerato-conjuctival epithelial damage; the drops are beneficial for the eye surface and can improve its healing [2]. The use of natural components is becoming popular in ophthalmology, so it is reasonable to formulate eye drops with natural components for the treatment of the dry eye syndrome. One of the potential natural compounds for it could be royal jelly (RJ). The dry part of RJ consists mainly of proteins (27–41%), and more than 80 per cent of them are soluble in water [3]. Only 3–8% of the dry part consists of lipids, but the lipids are important for biological activity [3]. Some fatty acids, such as omega-3 and omega-6, reportedly help reduce inflammation and are used in the treatment of dry eye syndrome [4]. Atalay et al. [5] reported that eye drops with 0.5–1% RJ and 1% chestnut honey aided healing of alkali burns of the corneal surface. Due to its exceptional chemical composition, RJ is a candidate ingredient for eye drops used for the alleviation of dry eye symptoms. It is necessary, though, to find the pharmaceutical form for RJ that will ensure its stability and bioavailability. One of the possible ways to ensure the stability is incorporating RJ into microstructural vehicles for pharmaceutical delivery. The major bioavailability problems in conventional liquid ophthalmic formulations are washing out of the drug from the pre-corneal area immediately upon installation because of constant lacrimal secretion, nasolacrimal drainage, and short precorneal residence time of the solution [6]. This problem could be overcome by using the microemulsion form.
Microemulsions are self-assembling formulations that consist of water, oil, surfactants and co-surfactants. Oil in water microemulsions are thermodynamically stable systems with lipid droplets the size that usually vary between 5–100 nm [7,8,9]. Microemulsion formulations in ophthalmology offer several advantages that can solve the problems with eye drop formulations, as they offer improved solubility (especially for lipophilic compounds), stability, targeted delivery, and controlled release of therapeutic substances [10]. Microemulsion systems have gained interest as novel vehicles for drug delivery for sustained or controlled release in various routes of administration, including ocular, as well as for reduced drug toxicity [10,11]. Microemulsions are the combination of three to five components: oily phase, aqueous phase, surfactant, and co-surfactant. Due to their phase-transition behavior, microemulsions can form precorneal depots in situ, resulting in improved retention and prolonged release of the incorporated compounds. The main challenge in the formulation of microemulsions is finding components that will not induce pre-corneal tear-film irritation [11]. Judiciously selected components can be combined so the active compounds are released into the eye in a controlled and precise manner [6].
The aim of this study was to develop ocular microemulsions with pharmaceutically permitted components and incorporated RJ and to assess their quality and biological activity using cell culture models in vitro. In vitro drug-release tests through semipermeable membranes and in vitro eye irritation tests, intracellular reactive oxygen species (ROS) and 3D dry eye model using the Statens Seruminstitut rabbit cornea (SIRC) cell culture line were conducted. We have used cell culture lines in the first stages of experimental trials in order to avoid unnecessary use of laboratory animals.

2. Materials and Methods

2.1. Materials

Lithuanian royal jelly (RJ) was purchased from Bičių korys (collected in Lithuanian in 2020, in Kaunas district, Andrius Bučius apiary). Analytical grade (98% purity) 10-hydroxy-2-decenoic acid (10-HDA) was purchased from Sigma-Aldrich Chemie GmbH (Steinheim, Germany). Isopropyl myristate, used as an oily phase in microemulsions, was purchased from Sigma-Aldrich Chemie GmbH (Steinheim, Germany). Ultrapure water was used as an aqueous phase and was produced with a water purification system (Millipore Simplicity; Bedford, MA, USA). Chromatographic grade acetonitrile, 2′,7′-Dichlorofluorescin diacetate and acetic acid were obtained from Sigma-Aldrich Chemie GmbH (Steinheim, Germany). Tween 80 and Tween 20, used as surfactant and co-surfactant, were purchased from Sigma Aldrich Chemie GmbH (Steinheim, Germany). Phosphate buffered saline (PBS), used for the in vitro release test and as a solvent, was obtained from Life technologies (Thermo Fisher Scientific, Waltham, MA, USA). SIRC cell culture line, trypsin-EDTA, and Eagle’s minimum essential medium were purchased from the American Type Culture Collection. Penicillin/streptomycin solution, fetal bovine serum, DCFH-DA, and 3-(4,5-dimethylthiazol-2-yl)-2,5-diphenyltetrazolium bromide (MTT) were obtained from Life Technologies (Thermo Fisher Scientific, Waltham, MA, USA).

2.2. Quantitative Determination of 10-HDA

The 10-HDA content in samples was analyzed with the HPLC method using the Waters 2695 chromatographic system, with diode matrix detector Waters 996. The chromatographic conditions were two eluents trifluoroacetic acid and acetonitrile. The columns were ACE C18 (250 × 4, 6 mm), the volume of injection 10 µL, the speed of injection 1 mL/min, temperature in column 25 °C, and the wavelength for detection 210 nm. The concentrations were determined and summarized using the Empower 3 chromatographic Software (Waters Corporation, Milford, MA, USA).

2.3. Moisture Content of RJ

The water content of RJ was determined with the drying oven method, with moisture analyzer (KERN MLS, Balingen, Germany). The samples were heated in drying oven at 105 °C temperature until the mass is completely dry and the weight was stable. The moisture content is calculated using Equation (1):
W = W 1     W 2 W 1   ×   100
W—the moisture content of the sample analyzed (%)
W1—the weight of analyzed sample before the drying process (g)
W2—the weight of analyzed sample after the drying process (g)
The moisture of samples of 2 g were measured in triplicate. The results are presented as mean value ±SD.

2.4. Determination of pH Values

The pH values of the RJ samples was determined with a pH meter at 25 ± 1 °C, which is used for determining the pH of semisolid form (pH meter 766 with Knick SE 104N electrode). The pH meter was calibrated with standard buffer solutions at pH 4.0 and 7.0 and recalibrated for each new sample.
The pH of the prepared microemulsions was measured at 25 ± 1 °C using pH-meter 766 with SE 100N electrode (for liquids) (Knick, Germany). The pH meter was calibrated with standard buffer solutions at pH 4.0 and 7.0 and recalibrated for each new microemulsion sample.

2.5. Antioxidant Activity of RJ

The antioxidant activity of RJ was determined with the 2, 2-diphenyl-1-picrylhydrazyl (DPPH) radical binding assay [12]. DPPH is a free radical, stable at room temperature, which produces a violet solution in ethanol. It is reduced in the presence of an antioxidant molecule, giving rise to uncolored ethanol solutions. The DPPH assay is an easy and rapid way to evaluate antioxidants. To determine the antioxidant activity, a 0.1 mmol/L DPPH solution was made in 96% ethanol 24 h before the study. The solution was stored continually in a dark, cool place. In this method, 0.1 mL of RJ is mixed with 2.9 mL of DPPH solution; after 30 min, the absorbance of the solution is measured with a spectrophotometer at 518 nm wavelength. Antiradical activity was calculated according to Equation (2).
D P P H   ·   c o n t e n t   p e r c e n t   =   A 0     A t     100
A 0 —absorbtion of comparative solution
A t —absorbtion of test solution

2.6. Amino Acid Content Determination Using GC-MS

The methodology used was prepared by Ivanauskas et al. [13]. A sample derivatization procedure was performed prior the determination of amino acids: 0.1 mL of prepared RJ solution was evaporated to dryness with a stream of nitrogen gas. In a 2-mL vial, 0.1 mL of RJ sample was diluted in equal parts with acetonitrile and derivatization agent (MTBSTFA). The vial was sealed and oscillated by vortex-mixer for 1 min and placed in a glycerol bath at 100 °C for 150 min. The solution was injected into a gas chromatography–mass spectrometry (GC-MS) system for analysis. Efficiency parameters were evaluated and optimized, including derivatization time, extraction temperature, and reagent amount on derivatization.
GC/MS method: RJ sample analyses were performed with a Shimadzu GC/MS-QP2010nc (Shimadzu Technologies, Tokyo, Japan). Injection port temperature was kept at 250 °C during all experiments. Separation of analytes was carried out on a with Rxi-5 ms (Restek Corporation, Bellefonte, PA, USA) capillary column (30 m long, 0.25 mm outer diameter, and 0.25 μm liquid–stationary phase thickness) with a liquid stationary phase), 5% diphenyl, and 95% polydimethylsiloxane) with helium at a purity of 99.999% as the carrier gas in a constant flow of 1.49 mL/min. The oven temperature was maintained at 75 °C for 5 min, then increased to 290 °C at 10 °C/min and increased to 320 °C at 20 °C/min, and kept stable for 10 min. The temperatures of the mass spectrometer interface and ion source were set at 280 °C and 200 °C, respectively. The mass spectrometer was operated in positive mode (electron energy 70 eV). Full-scan acquisition was performed with the mass detection range set at 35–500 m/z for determination of the retention times of analytes, optimization of oven temperature gradient, and observation of characteristics of mass fragments for each amino acid compound. Data acquisition and analysis were executed with LabSolution GC/MS (version 5.71) software (Shimadzu Technologies, Tokyo, Japan). Amino acid amounts and percentages were calculated from comparison of analyte peak areas relative to isotope-labeled internal standards.

2.7. Formulation of Microemulsions Containing RJ

Microemulsions were formulated with the oil titration method at room temperature [14]. Oil-in-water type microemulsions were prepared using a magnetic stirrer at room temperature. Surfactant and cosurfactant were used with tween 80 and tween 20 in ratios 2.5:1 and 3:1, respectively. Surfactant and cosurfactant were mixed in various ratios, with water added at calculated amounts. Oil phase isopropyl myristate was added by drops until the microemulsions became colorless and transparent, without any visible particles. The chosen amount of water was 66.5–72.5% (w/w), and the total amounts of surfactant and cosurfactant were 21.5–28% (w/w)); the amount of oily phase (isopropyl myristate) was 5% (w/w). The incorporated amounts of RJ were 0.5%, 0.75%, and 1% (w/w). Incorporation of RJ into microemulsions was performed by mixing RJ with small amount of water and adding it to dispersion, as RJ is partially soluble in water. All prepared microemulsions were stored at room temperature for 24 h before being evaluated for equilibration. Results are presented as means ±SD.

2.8. Physical Characterization of Microemulsions

The quality of microemulsion systems was evaluated by measuring droplet size, viscosity, pH, conductivity, and refractive index.
The average value of droplet size and the polydispersity index (PDI) of the formulated microemulsions were measured by applying the dynamic light scattering (DLS) technique, using Zetasizer Nano ZS particle size analyzer (Malvern, Malvern, UK) [15]. Briefly, 20 µL of prepared microemulsions were diluted with 980 µL distilled water in a disposable plastic cuvette and placed in the path of light that measures DLS. The DLS autocorrelation functions were registered from the scattered light, which was recorded at an angle of 173°. Measurements were performed at 25 ± 1 °C.
Determination of the dynamic viscosity: The viscosity of the produced microemulsions was measured at 25 ± 1 °C using a viscosimeter Vibro Viscometer SV-10 (A & D Company Ltd., Tokyo, Japan). Before the experiment, the viscometer was calibrated, using Certified Newtonian fluid ‘‘Fluid 50’’ in the form of silicone oil (dynamic viscosity equals 49.4 mPa.s at 25 °C) and pure distilled water (dynamic viscosity equals to 0.89 mPa.s at 25 °C) as standards.
The types of microemulsions were confirmed with conductivity determination at room temperature using a conductivity meter (Cond 3110 SET 1, Weilheim, Germany). The conductivity meter was immersed in the microemulsion samples and recalibrated with distilled water after each sample. All samples were measured in triplicate.
The refractive index of microemulsions was evaluated at 25 ± 2 °C with a refractometer (Mettler-Toledo GmbH, Greifensee, Switzerland) according to the manual provided with the instrument.

2.9. In Vitro Release Test Determining the Amount of 10-HDA

The prepared optimal microemulsion formulations containing 0.5%, 0.75%, and 1% of RJ and various components were subjected to an in vitro release test through a semipermeable membrane. Twenty-four hours before the experiment, 1 g of each microemulsion formulation was applied uniformly on the membrane and stretched over the open end of the dialysis tube with a rubber band and immersed in purified water, pH 7.0. The tubes were immersed individually in a glass filled with 50 mL of release medium and put on a magnetic stirrer at 50 rpm. The temperature throughout all experiments was 37  ±  1 °C. Aliquots of 1 mL were withdrawn after 15, 30, 60, 120, 180, 240, and 300 min, with fresh medium added after each sampling. Samples were analyzed with the HPLC to determine the amount of 10-HDA.
Based on the solubility results of RJ and in order to create the biological conditions in the release studies, phosphate buffer saline was used as the acceptor medium [16]. Each experiment was carried out in triplicate.

2.10. SIRC Cell Viability by MTT Assay

Viability of the rabbit corneal epithelial cell line SIRC (from the American Type Culture Collection; ATCC) was assessed by the MTT method [17]. Cells were grown and maintained according to the protocol provided by the ATCC, using Eagle’s minimum essential medium with 10% fetal bovine serum and 1% antibiotic solution (penicillin/streptomycin solution stabilized with 10,000 U penicillin and 10 mg streptomycin/mL) to avoid growth of unwanted bacteria. Flasks (75 cm2) were kept in the incubator at 37 °C with a minimum relative air humidity of 95% in an atmosphere of 5% CO2. The MTT method reveals the number of cells with metabolically active mitochondria; living cells with active mitochondria metabolize MTT (tetrazolium bromide salt) to formazan, which is purple and can be identified spectrophotometrically.
SIRC cells were seeded in a 96-well plate (1 × 104 cells/well). After reaching semi-confluence, the cultures were incubated with three different concentrations of optimal formulations containing RJ (0.5% RJ, 0.75% RJ, and 1% RJ) for 24 h. The control cultures were incubated with culture medium only without the formulations tested. After the 24-h treatment, the medium was removed, and the cells were washed twice with 100 µL of pH 7.4 PBS. The PBS was removed, and 100 µL of a mixture of PBS and MTT (9:1) were added to each well and covered. The cells were incubated for 3 h, and the solution was removed, leaving the formazan crystals at the bottoms of the wells. To solubilize the crystals, 100 µL of dimethyl sulfoxide was added to each well, and the level of absorbance was read with a Hidex Sense microplate reader at 490 nm. Every experiment was carried out in triplicate. The cell viability was calculated with Equation (3):
C e l l   v i a b i l i t y   %   =   A B S s A B S c o n t r o l × 100
where ABSs is the absorbance of cells treated with test formulations and ABS control is the absorbance of control cells. Cytotoxicity was expressed as the percentage of cells alive [16].

2.11. The Short-Time Exposure Test

The short-time exposure (STE) test with SIRC cells was performed according to the MTT protocol with MTT dye. The samples were incubated for 5 min instead of 24 h. The cells were seeded in 96-well flat-bottom microplates for 24 h before the experiments were performed to reach confluence. The control was physiological saline, and the formulations tested were the optimal microemulsions containing 0.5, 0.75, and 1% RJ. Five wells were used for each concentration. Formulations that had cell viability of 70% or less were designated irritant, and formulations that had viability greater than 70% were designated non-irritant [18].

2.12. Measurement of Incracellular ROS Generation

The production of intracellular ROS was assessed using the 2′,7′-dichlorofluorescein diacetate (DCFH-DA). After incubation of SIRC cells in 96-well plates (20,000 cells/well) for 24 h, they were incubated with DCFH-DA (10 μM) in PBS at 37 °C for 30 min. During this time a part of DCFH is diffused into the cells. The cells were washed twice to remove any excess dye with phosphate buffered saline solution. The wells were filled with DMEM medium and samples of 10-HDA and RJ were added. In the presence of cellular oxidizing agents, dye is oxidized to fluorescent compound, thus the fluorescence intensity is proportional to the amount of ROS produced into the cells. The fluorescence was detected by fluorometer at excitation and emission wavelengths of 488 and 525 nm, respectively. For control, the level of intracellular ROS was determined using the same amounts of solvent (phosphate buffered saline with DMSO) [19].

2.13. 3D Model—Dry Eye Model and Cell Viability

For the 3D dry eye model assay, cells were cultured on filter inserts, using the modified protocol with Transwell® inserts [20]. The cells were seeded on the inserts, at their surface, at density of 1 × 103 cells/cm2. The culture medium was supplemented with l-ascorbic acid (50 µg/mL), β-glycerolphosphate (10 mM) and dexamethasone (10 nM) in order to enhance the barrier properties. Fresh medium with supplements was changed twice a week. After the two weeks SIRC cells were placed under controlled environmental conditions to mimic dryness for two days (without lid, <40% of relative humidity, 37 °C ± 3 °C temperature and 5% CO2). Cell viability was assessed after 24 h of incubation of SIRC cell line with 20 mg/mL concentration of each sample. The positive control was 0.15 and 0.3% (w/w) hyaluronic acid in culture medium, negative control was sodium dodecyl sulfate 1% (w/v).

2.14. Statistical Analysis

Results are presented as means ± standard error of 3–5 experiments carried out. Statistical analysis of experimental data was performed using SPSS software (version 27.0) (IBM, Armonk, NY, USA) and Microsoft Office Excel 2016 (Microsoft corporation, Albuquerque, NM, USA). One way ANOVA (Tukey’s honestly significant difference criteria) was used for statistical analysis. Spearman’s rank coefficient was used for correlation analysis. A value of p < 0.05 was taken as the level of significance.

3. Results

3.1. Quality Evaluation of Lithuanian Royal Jelly

The results of the quality assessment of Lithuanian RJ are presented in Table 1. Briefly, 10–HDA is one of the main fatty acids in RJ and is found naturally only in RJ. It can indicate the freshness of the product and is usually used as a quality marker for RJ.

3.2. Amino Acid Content in RJ Determined with GC-MS (Gas Chromatography–Mass Spectrometry)

The composition of amino acids found in the RJ samples is indicated in Figure 1. The dominant amino acids are L-aspartic acid, L-glutamic acid, and L-lysine. The total amount of amino acids was 232.98 mg amino acids per gram of RJ.

3.3. Components of Microemulsion Formulations

For the preparation of microemulsions, isopropyl myristate was chosen as the oily phase. Tween 80 and Tween 20 were used as surfactant and cosurfactant. The compositions of the prepared microemulsions are listed in Table 2. The amount of RJ in all the microemulsions was 0.5–1%. All microemulsion systems were transparent viscous liquids, without any visible particles.

3.4. Physical Characterization of the Microemulsions

As microemulsions are colloidal systems, the droplete size and polydispersity index are indicators of their quality, as well as droplet size distribution. Reported sizes of microemulsion droplets vary from 5 to 200 nm and are usually smaller than 100 nm [12,19]. The small droplet size and ability to solubilize both hydrophilic and hydrophobic compounds enhance the bioavailability of microemulsions [14]. The results of the droplet size and PDI evaluations in our assays are indicated in Table 3. The average droplet size of all formulations, from 67.88 ± 0.777 to 124.2 ± 0.710, fell below the accepted size of microemulsions, which is up to 200 nm [8,21]. The results are expressed as z-average, and all microemulsions have shown one peak while measuring the size and PDI. The particle size distribution of all microemulsion formulations is shown in Figure 2.

3.5. Determination of Physiochemical Parameters of Microemulsions

For safe, non-irritant ocular microemulsions, the physiochemical properties such as pH, viscosity, refractive index, and conductivity must be optimal [12]. Table 4 presents the physicochemical parameters of our prepared batches of microemulsions. The refractive index of all formulations was 1.332–1.371 and the pH 5.68 to 6.89. Conductivity results show that all microemulsions prepared are oil in water type [22]. The viscosity of all of the microemulsions varied between 14.7 and 29 mPas, which means they are more viscous than the regular ophthalmic solutions, which ensures that the ocular residence time and ocular bioavailability would be increased [23].

3.6. In Vitro Drug Release Study

Before studying the in vitro release of drug from microemulsions, the quantity of 10-HDA in microemulsions was estimated with an HPLC method (Table 5). The total amount of 10-HDA in the formulation was related to the quantity of RJ and physicochemical parameters of prepared microemulsions.
The results of the in vitro release experiment (Figure 3) showed that the highest amount (99.7%) of 10-HDA was released from the formulation N3, which had 1% of the RJ. The viscosity of microemulsion N3 was the lowest in comparison with other formulations, and have impacted the released amount of 10-HDA (r = −1). From microemulsions N2 and N5 the released amount of 10-HDA was 90.5 and 95.2% respectively. The total amount of RJ in these microemulsions was 0.75% (w/w), and there was no statistically significant difference between the amount of 10-HDA released from these formulations (p > 0.05). The smallest amount of 10-HDA released from microemulsions N1 (57.1%) and N4 77.8%). In these formulations, the highest amount of surfactant/cosurfactant mix was added, ant they have possessed the highest viscosity. Results established the existing statistically significant (p < 0.05) inverse correlation between the amount of surfactans/cosurfactans mix as well as viscosity of microemulsions and the amount of 10-HDA released from the formulations (r = −1). This correlation revealed that the increase of the viscosity and surfactant/cosurfactant amount have decreased the amount of 10-HDA released from the microemulsions. From the microemulsion N6, which possessed the smallest droplet size, the percentage of 10-HDA released was 84.4%, and it was a significantly (p < 0.05) lower amount than N3, which had the same amount of RJ (1%, w/w). Correlation between droplet size and 10-HDA release from microemulsions was not established. According to the release study results, the microemulsions can be ranked N3 > N5 > N2 > N6 > N4 > N1. The mathematic analysis of kinetic profile of active substances released from modeled formulations revealed that R2 values of Higuchi model were 0.9306–0.9798, which shows that the microemulsions did not possess a limiting effect on the release of 10-HDA.

3.7. SIRC Cell Viability Tests

To evaluate the optimal concentrations of microemulsion preparations as the prototype for future experiments, the in vitro MTT cell viability test using SIRC cell-culture line was performed. For this experiment, microemulsion formulations N4 (0.5% RJ), N2 (0.75% RJ), and N6 (1% RJ) were chosen. For control, to evaluate the impact of empty microemulsion and its ingredients, empty microemulsion containing 28% of surfactant/cosurfactant mixture was used. The results of the experiment carried out after 24 h exposure to various microemulsions are shown in Figure 4. After exposure of the SIRC cells to microemulsions with 0.5% RJ at all quantities of microemulsions introduced to the wells, cell viability dropped to 82.4%. Microemulsion formulations with 0.75% and 1% of RJ decreased the cell viability up to 70.5% and 60.7%, respectively. All microemulsion formulations had increased total cell viability at low concentrations, from 10–30 µL per well. These results indicate that small amounts of the microemulsions used increase cell proliferation in comparison with control cells that were not exposed to the formulations. After exposure to microemulsion with 1% (w/w) RJ, the difference in cell viability from control cells was statistically significantly decreased from 50 µL/well (p < 0.05). Using microemulsions with 0.75% (w/w) of RJ, statistically significant decrease of cell viability is measured at 60 µL/well (p < 0.05). When evaluating microemulsions with 0.5% (w/w) RJ, statistically significant decrease of cell viability comparing to control is determined at 70 µL/well (p < 0.05). After 24 h exposure to 60–100 µL/well of microemulsions containing 1% (w/w) RJ, cell viability decreased from 77.3 to 60.66 %. After exposure to 70–100 µL/well of microemulsions containing 0.75% (w/w) of RJ, cell viability decreased from 74.52 to 70.542%, and 80–100 µL/well of microemulsions containing 0.5% (w/w) of RJ, cell viability decreased from 83.45 to 82.43% compared to control cells (p < 0.05).
All microemulsion formulations, as well as 0.15 and 0.3% (w/w) hyaluronic acid and 100 µg/mL 10-HDA were tested with short-term exposure to SIRC cells (Figure 5). None of the tested formulations added to the wells at 100 µL/well, had an irritating effect on the cells, and cell viability was not statistically affected (p < 0.05). Thus, the formulations could be potentially used as eye drops in the concentrations tested [17].
The determination of intracellular reactive oxygen species (ROS) was performed in order to verify that the concentrations used did not cause additional oxidative stress on cell cultures. As the results in Figure 6 indicate, 10-HDA solutions at all concentrations, have reduced the fluorescence intensity compared to the control (p < 0.05). As the concentration of 10-HDA increased, the fluorescence intensity decreased, and the strongest effect was observed at a concentration of 100 µg/mL of 10-HDA. When evaluating the effect of different concentrations of RJ on intracellular ROS induction, a slight effect was observed compared to the control (p > 0.05), a statistically significant increase in intracellular ROS was observed after 3 h (p < 0.05) only using 100 mg/mL RJ.
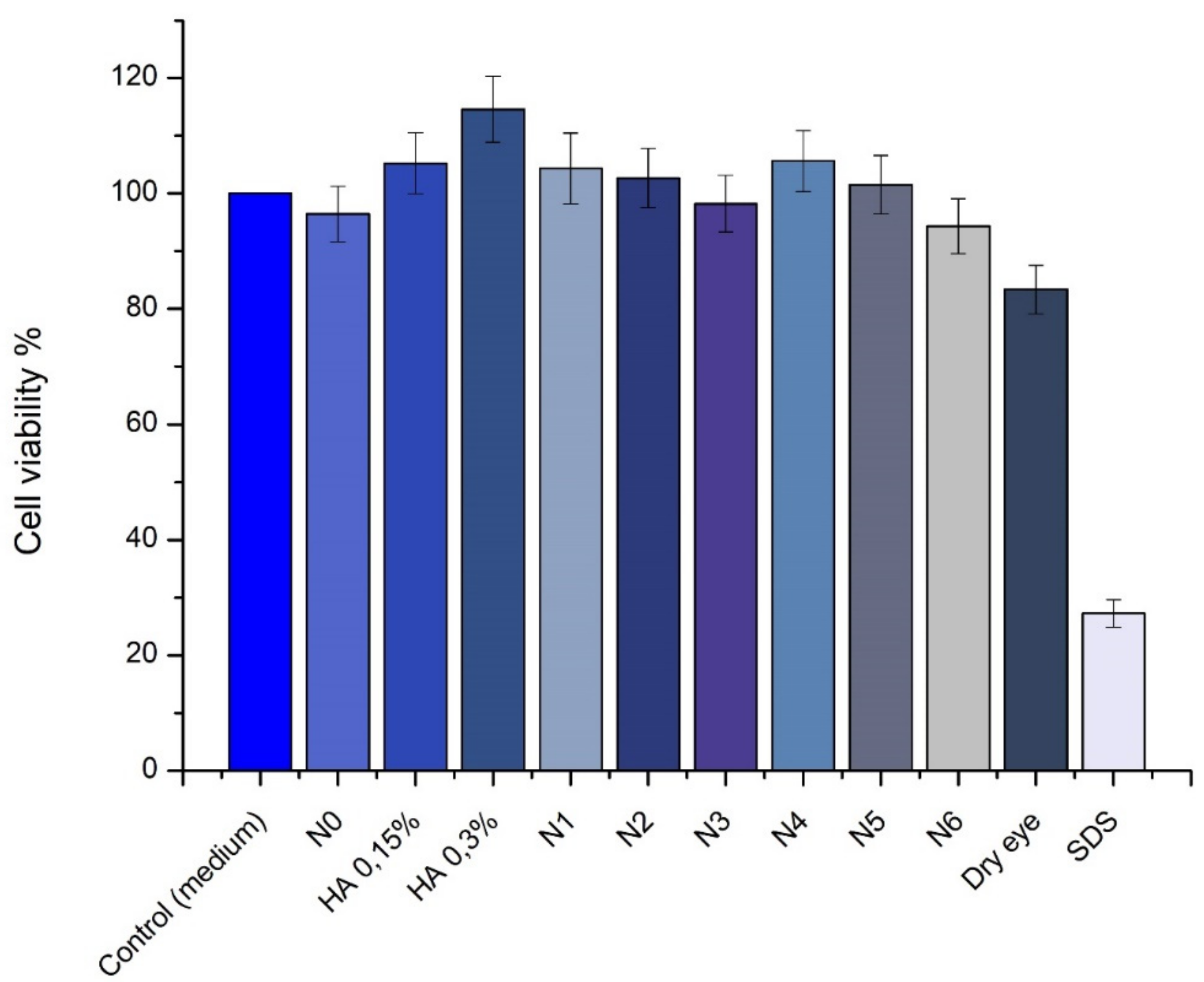
3D dry eye model results are indicated in Figure 7.
When applied with 0.15% and 0.3% hyaluronic acid solutions, cell viability increased when compared to the dry eye model. The survival rates were over 100% indicating that the formulations were non-toxic providing a suitable environment for cell proliferation.
All microemulsion formulations did not possess toxic effects. There was no statistically significant difference between the tested microemulsions and hyaluronic acid solutions in cell viability change (p > 0.05). A total of 1 mg/mL solution of sodium dodecyl sulfate (SDS) was used as negative control has decreased cell viability down to 27.25 ± 3642%. The difference was statistically significant between the tested microemulsions and the negative control (p < 0.05).

4. Discussion

This study accomplished its goal of formulating microemulsions with incorporated RJ and thoroughly assessing their quality and performance. In vitro drug-release tests through semipermeable membranes and in vitro eye irritation tests with the SIRC cell culture line were conducted.
In formulating any ocular product containing RJ, it is important that the quality and freshness of the samples be tested. In this work, before the preparation of ocular microemulsions, pH, antiradical activity tested with the DPPH test, acidity, water content, amount of 10-HDA, and content of amino acids were measured. The most important acid in RJ is 10-hydroxy-2-decenoic acid (10-HDA), which is naturally occurring only in RJ. It has anti-inflammatory, antibacterial, and antioxidant activities [24]. RJ may be suitable also for the treatment of glaucoma; elevated intraocular pressure in adult male Norwegian brown rats was lowered by RJ given intravitreally, where it reduced the loss of retinal ganglion cells and neurofibers in an experimental model of glaucoma [25]. Per os usage of RJ has been reported to lessen the symptoms of dry eye syndrome [26]. The quantity of 10-HDA in RJ in previous works varied from 1–3% [27,28,29]. We found that the major component of RJ is water, and pH was highly acid, as expected. High acidity of pH 3–4 is an indication that RJ samples are authentic and suitable for formulations [30,31,32].
RJ, unlike most naturally occurring substances used in the manufacture of ophthalmic preparations, contains proteins which, when hydrolyzed, yield amino acids, and the amino acids contribute to RJ’s antioxidant activity. A source of natural amino acids is royal jelly (RJ) is a complicated mixture of proteins, amino acids, organic acids, carbohydrates, vitamins, minerals, and other ingredients [33]. The percentage of free amino acids is 0.6 to 1.5, with most being of the L type: proline, lysine, glutamic acid, b-alanine, phenylalanine, aspartate, and serine [34,35]. Alkaline amino acids, such as histidine, arginine, and lysine possess strong antioxidant activity [36]. Alkaline amino acids, including histidine, arginine, and lysine, which is one of the main amino acids in RJ samples, reputedly have strong antioxidant activity [37]. In the RJ samples analysed in this study, 14 amino acids were found, with the main amino acids being L-aspartic acid, L-glutamic acid, and L-lysine. All the main amino acids found in our RJ samples are present also in patented eye drops that contain amino acids as active ingredients [2]. Our results indicate that Lithuanian RJ could be used as a natural source of amino acids for ophthalmic preparations, such as eye drops. Eye drops containing amino acids already are used in the prevention and treatment of ocular-surface diseases, especially keratoconjunctival epithelial disorders [2]. One of the important uses of amino acids in the field of ophthalmology is in the treatment of dysfunctional tear syndrome, in which eye drops enriched with l-glycine, l-proline, l-lysine, l-lysine hydrochloride, and l-leucine amino acids are effective [38]. In another disorder, ocular hypertension, D-aspartic acid-containing proteins are increased, suggesting that these proteins are expressed through the oxidative stress pathway [39]. Italian scientists [40] have reviewed the application of amino acids as an innovative method of treating eye diseases. In ophthalmology, amino acids are used in corneal surgery and ocular surface disorders [41]. Moreover, there is a lot of published scientific data which indicates that supplementation of amino acids as a topical treatment in enriched eye drops, is beneficial to the eye surface, and may improve its healing in patients suffering from eye surface diseases [40]. One of the most prominent amino acid found in RJ is lysine, which is critical for the arrangement of corneal collagen fibrils. Similarly, re-epithelization of the rabbit cornea after trephination showed a faster recovery after treatment with topical eye drops containing hyaluronic acid and amino acids [40]. There is also some clinical data indicating that there is a positive impact of hyaluronic acid plus amino acids (Leu, Gly, Pro, Lys) containing artificial tears on dysfunctional tear syndrome, which is closely related to dry eye syndrome [2].
After evaluating the quality parameters of RJ samples, we selected formulations of microemulsion. Microemulsions—liquid drug formulations—are one of the potential ocular drug delivery systems, as they are thermodynamically stable and optically isotropic colloidal systems with wetting and spreading properties. They contain aqueous and oily components, so they can solubilize both hydrophilic and lipophilic drug molecules [42].
The most important consideration in microemulsion formulation is the finding of excipients that ensure stability of the formulations without changing the activity of the bioactive ingredients. The excipients should also be non-irritating, especially if the formulations will be used topically on the ocular surface [43]. Isopropyl myristate has been used as the oil phase because it is stable and well tolerated by the eye and is widely used in ophthalmic preparations [43]. We used Tween 80 and Tween 20 as surfactant and cosurfactant, respectively, because both are widely used in ocular preparations [14,44]. To formulate safe, non-irritant ocular microemulsions, the physiochemical parameters such as pH, viscosity, refractive index, and conductivity also should be addressed. The refractive index of tear fluid varies from 1.34 to 1.36 [7]; the refractive index of our formulations was 1.33–1.37, which indicates that our prepared microemulsions likely would not cause adverse effects or visual impairment when applied to the ocular surface [45].
The pH of our RJ-containing microemulsions varied from 5.68 to 6.89. The pH for maximal comfort of ophthalmic preparations instilled in the eye should be close to neutral, 7.2 [7], yet the pH of therapeutic substances applied topically, such as eye drops or ocular gels, varies from 3.5 to 8.5 [46]. Thus, the pH of our microemulsions is within the customary range. Viscosity is another important determinant of ocular formulations: low-viscosity agents are better tolerated with less pain while blinking, yet the less viscous, the shorter is the retention time on the ocular surface [47]. During the interblink intervals, when tear drainage occurs, high viscosity fluids lead to reduced drainage and an increase in pre-corneal residence time [48]. According to Zhu and Chauhan [49], only 2–5% of the active substances in eye drops reach the deeper layers, while most of the formulation is drained due to the increased tear secretion immediately after the application [49]. The maximum viscosity that does not cause blurred vision is 30 mPa-s [50]; viscosity of our microemulsions was 14.7 to 29 mPa-s, thus below the maximum threshold for ocular formulations.
Conductivity is a criterion that helps to indicate the type of microemulsion. The conductivity of our microemulsions was 140.9–164.8 µS/cm, which indicated that they were oil in water [51]. The PDI of colloidal particles a measure of the homogeneity of the system; the lower the PDI, the more uniform are the globules and the more stable is the system. PDI in all our microemulsions was lower than 0.2, which is evidence that they met criteria for homogeneous systems [52,53,54]. The PDI indicates the polydyspersity of the microemulsion systems. Ideally, the PDI of homogenous sistemos ir close to 0, and while measuring the size of the particles there is one peak and the majority of the particles fall under the peak size. Yet sometimes, because of the particle aggregation, presence of impurities or their formation, the polidyspersity index can be higher, and even close to 1, which normally means that the system is inhomogenous, and it can show multiple peaks in size determination [55]. In this case, it could be useful to determine the number of peaks and the percentage of particles of a certain size. In our study, the target homohenous microemulsions were prepared in order to obtain low PDI (<0.2) for homoheneity.
After ascertaining the physicochemical characteristics of microemulsions, another important step in evaluating their quality is that of determining the release of the active substance (10-HDA). In this study, the kinetics through the semi-permeable membrane was affected by the ratio of surfactant/co-surfactant, as was the total amount in the microemulsion formulation. The highest amount of 10-HDA was released when the total amount of S/Cos was 21.5%, and the ratio was 3:1. This confirms the other findings that the amount of active substance released from the formulation depends on the composition [56]. The results of our experiment have shown that the amount of 10-HDA released from the formulations depend on the viscosity, the amount of surfactant/cosurfactant mix and the amount of RJ in the formulation. The correlation between the droplet size and the amount released was not established. In addition, the Franz diffusion cell in vitro release model is not ideal for simulation of the corneal membrane, and it cannot replicate corneal adhesion or the impact of tear fluid drainage on the bioavailability of the formulation. Yet this model can help in ascertaining the impact of the composition of the formulations for the release profile, which is one of the most important steps in the formulation process [46].
Another important step in preparing and modeling eye drops formulation was biological activity experiments using cell culture models. With the experiments performed, the aim was to determine the in vitro irritation effect of the prepared microemulsions using SIRC cell culture, which has been previously validated as one of the methods to avoid unnecessary overuse of laboratory animals while giving accurate results whether the formulations prepared were irritant during the time of use [57]. SIRC cell viability is defined as the percentage of living cells evaluated using MTT test. Increased cell viability in comparison with the control 100% means that the components and total formulation have increased cell proliferation and that the formulations are non-toxic, whereas a decrease would mean that the materials and the concentration are potentially toxic to the cells [17,58]. After 5 min of exposure and incubation, which is calculated as ocular contact time with the formulation, all tested microemulsions did not possess cytotoxic effect on SIRC cell viability. This rabbit corneal cell culture can also be used for long-term viability studies, in order to determine the effect of the tested microemulsion formulations in longer time period (24 h). SIRC cells were used in this study to create a 3D dry eye model. As well, in order to determine whether royal jelly and 10-HDA compound induced oxidative stress, the intracellular ROS generation after the exposure to the tested formulations was evaluated [59].
The cell viability results of the 3D dry eye model showed that different microemulsion formulations had similar cell viability promoting profiles as the 0.15 and 0.3% hyaluronic acid solutions. Hyaluronic acid solutions, which are widely used in dry eye cases, were used as a positive control [60]. The drops with hyaluronic acid as well as microemulsions with 0.5% royal jelly, have obtained over 100% cell viability, meaning that the application of these formulations provided a more suitable environment for SIRC cell proliferation. Cell viability was not statistically significantly reduced (p < 0.05), indicating that the microemulsions produced are non-toxic and can possibly create suitable conditions for cell proliferation and reepithelialization [61]. Royal jelly is a promising candidate for the treatment of dry eye disease, as there are published scientific data on the positive effect of royal jelly on the treatment of dry eyes when supplemented per os [26].
The determination of intracellular ROS generation at various time intervals showed that the concentrations of royal jelly used in the production of microemulsions did not cause statistically significant ROS generation, so it can be stated that safe concentrations could help avoid the formation of oxidative stress in corneal cells. Meanwhile, 10-HDA at higher concentrations (up to 100 µg/mL) show a strong ROS-lowering effect. (up to 47% after 3 h). When formulating antioxidant eye drops containing royal jelly, it is important to select the concentration according to the amount of 10-HDA in it. The results of the study confirmed that 10-HDA is one of the important active compounds with a broad spectrum of biological activity in royal jelly [62].
Our research results show that royal jelly can be used not only as an anti-inflammatory and antioxidant substance [63,64], but also as a moisturizing component that protects corneal cells from water loss and has an antioxidant effect as well as does not cause an increase in intracellular ROS generation [65].

5. Conclusions

Ingredients of the microemulsions with Lithuanian royal jelly were physiologically acceptable; all formulations met the physicochemical requirements of eye drops. The results of the study have shown that the effect of the formulations on SIRC rabbit corneal cells depends on the amount of RJ incorporated and on the contact time, when the experiments are 24 h duration. The 10 HDA and royal jelly act in an antioxidative manner and decrease intracellular ROS in various concentrations.
All formulations tested on short-term exposure test on SIRC cells had no toxic effect for cell viability. In the dry eye model, microemulsions with royal jelly had not induced cell death after the exposure to dryness.
The results obtained of this study can provide additional knowledge on application of royal jelly in the modeling of ophthalmic preparations.

Author Contributions

Conceptualization: K.R., K.P.; methodology: K.P., K.R., M.M., L.I.; software: K.P., M.M.; investigation: K.P., L.I., M.M.; data curation, K.P., K.R., M.M.; writing—original draft preparation: K.P., K.R.; writing—review and editing, K.P., K.R.; visualization, K.P., K.R.; supervision, K.R.; project administration, K.R., funding acquisition, K.R. All authors have read and agreed to the published version of the manuscript.

Funding

This research was funded according to the application BITE-KK-20-1-00532-PR001 under the measure ‘’applied research programmes for beekeeping and apiculture products’’ of the Lithuanian Beekeeping Sector Support Programme 2020–2022.

Institutional Review Board Statement

Not applicable.

Informed Consent Statement

Not applicable.

Acknowledgments

The authors acknowledge the financing BITE-KK-20-1-00532-PR001 “Applied research programmes for beekeeping and apiculture products” of the Lithuanian Beekeeping Sector Support Programme 2020–2022 supported by the National Paying Agency under the Ministry of Agriculture.

Conflicts of Interest

The authors declare no conflict of interest.

References

  1. Nebbioso, M.; Del Regno, P.; Gharbiya, M.; Sacchetti, M.; Plateroti, R.; Lambiase, A. Analysis of the Pathogenic Factors and Management of Dry Eye in Ocular Surface Disorders. Int. J. Mol. Sci. 2017, 18, 1764. [Google Scholar] [CrossRef] [PubMed]
  2. Aragona, P.; Rania, L.; Roszkowska, A.M.; Spinella, R.; Postorino, E.; Puzzolo, D.; Micali, A. Effects of amino acids enriched tears substitutes on the cornea of patients with dysfunctional tear syndrome. Acta Ophthalmol. 2013, 91, e437–e444. [Google Scholar] [CrossRef]
  3. Wang, Y.; Ma, L.; Zhang, W.; Cui, X.; Wang, H.; Xu, B. Comparison of the nutrient composition of royal jelly and worker jelly of honey bees (Apis mellifera). Apidologie 2016, 47, 48–56. [Google Scholar] [CrossRef]
  4. Molina-Leyva, I.; Bueno-Cavanillas, A. Efficacy of nutritional supplementation with omega-3 and omega-6 fatty acids in dry eye syndrome: A systematic review of randomized clinical trials. Acta Ophthalmol. 2017, 95, e677–e685. [Google Scholar] [CrossRef]
  5. Atalay, K.; Cabuk, K.S.; Kirgiz, A.; Caglar, A.K. Treatment of corneal alkali burn with chestnut honey, royal jelly, and chestnut honey-royal jelly combination. Beyoglu Eye J. 2019, 4, 196–201. [Google Scholar] [CrossRef]
  6. Gagliano, C.; Papa, V.; Amato, R.; Malaguarnera, G.; Avitabile, T. Measurement of the Retention Time of Different Ophthalmic Formulations with Ultrahigh-Resolution Optical Coherence Tomography. Curr. Eye Res. 2018, 43, 499–502. [Google Scholar] [CrossRef] [PubMed]
  7. Bachu, R.D.; Stepanski, M.; Alzhrani, R.M.; Jung, R.; Boddu, S.H. Development and Evaluation of a Novel Microemulsion of Dexamethasone and Tobramycin for Topical Ocular Administration. J. Ocul. Pharmacol. Ther. 2018, 34, 312–324. [Google Scholar] [CrossRef]
  8. McClements, D.J. Nanoemulsions versus microemulsions: Terminology, differences, and similarities. Soft Matter 2012, 8, 1719–1729. [Google Scholar] [CrossRef]
  9. Almasi, L.; Radi, M.; Amiri, S.; McClements, D.J. Fabrication and characterization of antimicrobial biopolymer films containing essential oil-loaded microemulsions or nanoemulsions. Food Hydrocoll. 2021, 117, 106733. [Google Scholar] [CrossRef]
  10. Fan, Y.; Ma, L.; Zhang, W.; Xu, Y.; Suolangzhaxi; Zhi, X.; Cui, E.; Song, X. Microemulsion can improve the immune-enhancing activity of propolis flavonoid on immunosuppression and immune response. Int. J. Biol. Macromol. 2014, 63, 126–132. [Google Scholar] [CrossRef]
  11. Vandamme, T. Microemulsions as ocular drug delivery systems: Recent developments and future challenges. Prog. Retin. Eye Res. 2002, 21, 15–34. [Google Scholar] [CrossRef]
  12. Ashraf, O.; Nasr, M.; Nebsen, M.; Said, A.M.A.; Sammour, O. In vitro stabilization and in vivo improvement of ocular pharmacokinetics of the multi-therapeutic agent baicalin: Delineating the most suitable vesicular systems. Int. J. Pharm. 2018, 539, 83–94. [Google Scholar] [CrossRef]
  13. Prokopenko, Y.; Jakštas, V.; Žvikas, V.; Georgiyants, V.; Ivanauskas, L. Hilic MS/MS determination of amino acids in herbs of Fumaria schleicheri L., Ocimum basilicum L., and leaves of Corylus avellana L. Nat. Prod. Res. 2018, 33, 1961–1963. [Google Scholar] [CrossRef]
  14. Okur, N. Üstündağ; Çağlar, E. Şefik; Siafaka, P.I. Novel Ocular Drug Delivery Systems: An Update on Microemulsions. J. Ocul. Pharmacol. Ther. 2020, 36, 342–354. [Google Scholar] [CrossRef]
  15. Cadogan, S.P.; Hahn, C.J.; Rausch, M.H.; Fröba, A.P. Study on the applicability of dynamic light scattering (DLS) to microemulsions including supercritical carbon dioxide-swollen micelles. J. Colloid Interface Sci. 2017, 499, 202–208. [Google Scholar] [CrossRef]
  16. Perminaitė, K.; Marksa, M.; Ivanauskas, L.; Inkėnienė, A.M.; Grigonis, A.; Ramanauskienė, K. Lithuanian Royal jelly: Quality assessment, biological activity and quantitative determination of trans-10-hydroxy-2-decenoic acid in various solvents. Chemija 2020, 31. [Google Scholar] [CrossRef]
  17. Takahashi, Y.; Hayashi, T.; Koike, M.; Sakaguchi, H.; Kuwahara, H.; Nishiyama, N. An interlaboratory study of the short time exposure (STE) test using SIRC cells for predicting eye irritation potential. Cutan. Ocul. Toxicol. 2010, 29, 77–90. [Google Scholar] [CrossRef]
  18. Huang, J.; Peng, T.; Li, Y.; Zhan, Z.; Zeng, Y.; Huang, Y.; Pan, X.; Wu, C.-Y.; Wu, C. Ocular Cubosome Drug Delivery System for Timolol Maleate: Preparation, Characterization, Cytotoxicity, Ex Vivo, and In Vivo Evaluation. AAPS PharmSciTech 2017, 18, 2919–2926. [Google Scholar] [CrossRef]
  19. Kubilienė, L.; Jekabsone, A.; Žilius, M.; Trumbeckaitė, S.; Simanaviciute, D.; Gerbutaviciene, R.; Majiene, D. Comparison of aqueous, polyethylene glycol-aqueous and ethanolic propolis extracts: Antioxidant and mitochondria modulating properties. BMC Complement. Altern. Med. 2018, 18, 165. [Google Scholar] [CrossRef]
  20. Carter, K.; Lee, H.J.; Na, K.-S.; Fernandes-Cunha, G.M.; Blanco, I.J.; Djalilian, A.; Myung, D. Characterizing the impact of 2D and 3D culture conditions on the therapeutic effects of human mesenchymal stem cell secretome on corneal wound healing in vitro and ex vivo. Acta Biomater. 2019, 99, 247–257. [Google Scholar] [CrossRef]
  21. Abdelkader, H.; Longman, M.R.; Alany, R.G.; Pierscionek, B. Phytosome-hyaluronic acid systems for ocular delivery of L-carnosine. Int. J. Nanomed. 2016, 11, 2815–2827. [Google Scholar] [CrossRef] [PubMed]
  22. Rashid, M.A.; Naz, T.; Abbas, M.; Nazir, S.; Younas, N.; Majeed, S.; Qureshi, N.; Akhtar, M.N. Chloramphenicol Loaded Microemulsions: Development, Characterization and Stability. Colloid Interface Sci. Commun. 2019, 28, 41–48. [Google Scholar] [CrossRef]
  23. Lv, F.-F.; Zheng, L.-Q.; Tung, C.-H. Phase behavior of the microemulsions and the stability of the chloramphenicol in the microemulsion-based ocular drug delivery system. Int. J. Pharm. 2005, 301, 237–246. [Google Scholar] [CrossRef] [PubMed]
  24. Yang, Y.-C.; Chou, W.-M.; Widowati, D.A.; Lin, I.-P.; Peng, C.-C. 10-hydroxy-2-decenoic acid of royal jelly exhibits bactericide and anti-inflammatory activity in human colon cancer cells. BMC Complement. Altern. Med. 2018, 18, 202. [Google Scholar] [CrossRef] [PubMed]
  25. Jihong, W.; Xinghuai, S.; Shenghai, Z. Royal jelly Peptide Promotes Retinal Ganglion Cell Survival in Experimental Model of Glaucoma Through Up-regulating BDNF and GDNF. Investig. Ophthalmol. Vis. Sci. 2012, 53, 6581. [Google Scholar]
  26. Inoue, S.; Kawashima, M.; Hisamura, R.; Imada, T.; Izuta, Y.; Nakamura, S.; Ito, M.; Tsubota, K. Clinical Evaluation of a Royal Jelly Supplementation for the Restoration of Dry Eye: A Prospective Randomized Double Blind Placebo Controlled Study and an Experimental Mouse Model. PLoS ONE 2017, 12, e0169069. [Google Scholar] [CrossRef] [PubMed]
  27. Antinelli, J.-F.; Zeggane, S.; Davico, R.; Rognone, C.; Faucon, J.-P.; Lizzani, L. Evaluation of (E)-10-hydroxydec-2-enoic acid as a freshness parameter for royal jelly. Food Chem. 2003, 80, 85–89. [Google Scholar] [CrossRef]
  28. Ferioli, F.; Marcazzan, G.L.; Caboni, M.F. Determination of (E)-10-hydroxy-2-decenoic acid content in pure royal jelly: A comparison between a new CZE method and HPLC. J. Sep. Sci. 2007, 30, 1061–1069. [Google Scholar] [CrossRef]
  29. Balkanska, R.; Zhelyazkova, I.; Ignatova, M. Physico-chemical quality characteristics of royal jelly from three regions of Bulgaria. Agric. Sci. Technol. 2012, 4, 302–305. [Google Scholar]
  30. Kurth, T.; Kretschmar, S.; Buttstedt, A. Royal jelly in focus. Insectes Soc. 2018, 66, 81–89. [Google Scholar] [CrossRef]
  31. Sabatini, A.G.; Marcazzan, G.L.; Caboni, M.F.; Bogdanov, S.; Almeida-Muradian, L.B. Quality and standardisation of royal jelly. J. Api.Prod. ApiMed. Sci. 2009, 1, 1–6. [Google Scholar] [CrossRef]
  32. Dash, P.; Rath, G.; Ghosh, G. In Vivo Antioxidant Potential of Protein Hydrolysates of some Cucurbitaceae Seed. J. Drug Deliv. Ther. 2020, 10, 128–132. [Google Scholar] [CrossRef]
  33. Xue, X.; Wu, L.; Wang, K. Chemical Composition of Royal Jelly. In Bee Products—Chemical and Biological Properties; Springer: Cham, Switzerland, 2017; pp. 181–190. [Google Scholar] [CrossRef]
  34. Boselli, E.; Caboni, M.F.; Sabatini, A.G.; Marcazzan, G.L.; Lercker, G. Determination and changes of free amino acids in royal jelly during storage. Apidologie 2003, 34, 129–137. [Google Scholar] [CrossRef]
  35. Liming, W.; Jinhui, Z.; Xiaofeng, X.; Yi, L.; Jing, Z. Fast determination of 26 amino acids and their content changes in royal jelly during storage using ultra-performance liquid chromatography. J. Food Compos. Anal. 2009, 22, 242–249. [Google Scholar] [CrossRef]
  36. Dash, P.; Ghosh, G. Amino acid composition, antioxidant and functional properties of protein hydrolysates from Cucurbitaceae seeds. J. Food Sci. Technol. 2017, 54, 4162–4172. [Google Scholar] [CrossRef]
  37. Peyman, G. Ocular Solutions. U.S. Patent No. US7087237B2, 7,087, 8 August 2006. [Google Scholar]
  38. Kanamoto, T.; Tachibana, T.; Kitaoka, Y.; Hisatomi, T.; Ikeda, Y.; Murakami, Y.; Tobiume, K.; Asaoka, R.; Kiuchi, Y. Effect of Ocular Hypertension on D-β-Aspartic Acid-Containing Proteins in the Retinas of Rats. J. Ophthalmol. 2019, 2019, 1–8. [Google Scholar] [CrossRef]
  39. Shunmugaperumal, T.; Sudalaimuthu Ramachandran, S.; Raj, B.; Thenrajan, R.S. Manufacturing techniques and excipients used during the formulation of oil-in-water type nanosized emulsions for medical applications. J. Excip. Food Chem. 2010, 1, 11–29. [Google Scholar]
  40. Rusciano, D.; Roszkowska, A.M.; Gagliano, C.; Pezzino, S. Free amino acids: An innovative treatment for ocular surface disease. Eur. J. Pharmacol. 2016, 787, 9–19. [Google Scholar] [CrossRef]
  41. Vinciguerra, P.; Camesasca, F.I.; Ponzin, D. Use of amino acids in refractive surgery. J. Refract. Surg. 2002, 18, S374–S377. [Google Scholar] [CrossRef]
  42. Kumar, R.; Sinha, V. Preparation and optimization of voriconazole microemulsion for ocular delivery. Colloids Surf. B Biointerfaces 2014, 117, 82–88. [Google Scholar] [CrossRef]
  43. Kamel, O.A.; Youshia, J.; El Shamy, A.; Mansour, S. Design of cationic nanostructured heterolipid matrices for ocular delivery of methazolamide. Int. J. Nanomed. 2012, 7, 2483–2496. [Google Scholar] [CrossRef] [PubMed][Green Version]
  44. Hegde, R.R.; Bhattacharya, S.S.; Verma, A.; Ghosh, A. Physicochemical and Pharmacological Investigation of Water/Oil Microemulsion of Non-Selective Beta Blocker for Treatment of Glaucoma. Curr. Eye Res. 2013, 39, 155–163. [Google Scholar] [CrossRef] [PubMed]
  45. Mathis, G.A. Clinical Ophthalmic Pharmacology and Therapeutics: Ocular Drug Delivery. Veterinary Ophthalmology; Lippincott Williams & Wilkins: Orlando, FL, USA, 1999; pp. 291–297. [Google Scholar]
  46. Radomska-Soukharev, A.; Wojciechowska, J. Microemulsions as potential ocular drug delivery systems: Phase diagrams and physical properties depending on ingredients. Acta Pol. Pharm. Drug Res. 2006, 62, 465–471. [Google Scholar]
  47. La Gatta, A.; Corsuto, L.; Salzillo, R.; D’Agostino, A.; De Rosa, M.; Bracco, A.; Schiraldi, C. In Vitro Evaluation of Hybrid Cooperative Complexes of Hyaluronic Acid as a Potential New Ophthalmic Treatment. J. Ocul. Pharmacol. Ther. 2018, 34, 677–684. [Google Scholar] [CrossRef] [PubMed]
  48. Moulik, S.P.; Rakshit, A.K. Physicochemisty and applications of microemulsions. J. Surf. Sci. Technol. 2006, 22, 159. [Google Scholar]
  49. Zhu, H.; Chauhan, A. Effect of Viscosity on Tear Drainage and Ocular Residence Time. Optom. Vis. Sci. 2008, 85, E715–E725. [Google Scholar] [CrossRef] [PubMed]
  50. Kesavan, K.; Kant, S.; Singh, P.N.; Pandit, J.K. Mucoadhesive Chitosan-Coated Cationic Microemulsion of Dexamethasone for Ocular Delivery: In Vitro and In Vivo Evaluation. Curr. Eye Res. 2012, 38, 342–352. [Google Scholar] [CrossRef]
  51. Okur, N. Üstündağ; Yavaşoğlu, A.; Karasulu, H.Y. Preparation and Evaluation of Microemulsion Formulations of Naproxen for Dermal Delivery. Chem. Pharm. Bull. 2014, 62, 135–143. [Google Scholar] [CrossRef]
  52. Singh, Y.; Meher, J.G.; Raval, K.; Khan, F.A.; Chaurasia, M.; Jain, N.K.; Chourasia, M.K. Nanoemulsion: Concepts, development and applications in drug delivery. J. Control. Release 2017, 252, 28–49. [Google Scholar] [CrossRef]
  53. Subongkot, T. Development and mechanistic study of a microemulsion containing vitamin E TPGS for the enhancement of oral absorption of celecoxib. Int. J. Nanomed. 2019, 14, 3087–3102. [Google Scholar] [CrossRef]
  54. Kundu, B.; Sanyal, D.; Basu, D. Physiological and elastic properties of highly porous hydroxyapatite potential for integrated eye implants: Effects of SIRC and L-929 cell lines. Ceram. Int. 2013, 39, 2651–2664. [Google Scholar] [CrossRef]
  55. Jarzębski, M.; Smułek, W.; Siejak, P.; Rezler, R.; Pawlicz, J.; Trzeciak, T.; Jarzębska, M.; Majchrzak, O.; Kaczorek, E.; Kazemian, P.; et al. Aesculus hippocastanum L. as a Stabilizer in Hemp Seed Oil Nanoemulsions for Potential Biomedical and Food Applications. Int. J. Mol. Sci. 2021, 22, 887. [Google Scholar] [CrossRef]
  56. Soliman, O.A.E.-A.; Mohamed, E.A.; Khatera, N.A.A. Enhanced ocular bioavailability of fluconazole from niosomal gels and microemulsions: Formulation, optimization, and in vitro–in vivo evaluation. Pharm. Dev. Technol. 2017, 24, 48–62. [Google Scholar] [CrossRef]
  57. Takahashi, Y.; Koike, M.; Honda, H.; Ito, Y.; Sakaguchi, H.; Suzuki, H.; Nishiyama, N. Development of the short time exposure (STE) test: An in vitro eye irritation test using SIRC cells. Toxicol. Vitr. 2008, 22, 760–770. [Google Scholar] [CrossRef]
  58. Iwasawa, A.; Ayaki, M.; Niwano, Y. Cell viability score (CVS) as a good indicator of critical concentration of benzalkonium chloride for toxicity in cultured ocular surface cell lines. Regul. Toxicol. Pharmacol. 2013, 66, 177–183. [Google Scholar] [CrossRef]
  59. Bucolo, C.; Fidilio, A.; Platania, C.B.M.; Geraci, F.; Lazzara, F.; Drago, F. Antioxidant and Osmoprotecting Activity of Taurine in Dry Eye Models. J. Ocul. Pharmacol. Ther. 2018, 34, 188–194. [Google Scholar] [CrossRef]
  60. Than, A.; Liu, C.; Chang, H.; Duong, P.K.; Cheung, C.M.G.; Xu, C.; Wang, X.; Chen, P. Self-implantable double-layered micro-drug-reservoirs for efficient and controlled ocular drug delivery. Nat. Commun. 2018, 9, 1–12. [Google Scholar] [CrossRef]
  61. Graça, A.; Gonçalves, L.M.; Raposo, S.; Ribeiro, H.M.; Marto, J. Useful In Vitro Techniques to Evaluate the Mucoadhesive Properties of Hyaluronic Acid-Based Ocular Delivery Systems. Pharmaceutics 2018, 10, 110. [Google Scholar] [CrossRef]
  62. Aldebasi, Y.H.; Nouh, W.G.; Abdel Atti, N.M.; Bekhit, M.S.; Qureshi, M.A.; Aly, S.M. Comparative pathological studies on the healing effect of natural (Terfezia claveryi) and synthetic (Vigamox) antimicrobials on corneal ulcers in rabbits. J. Pharm. Biomed. Sci. 2012, 2, 66–77. [Google Scholar]
  63. Martinello, M.; Mutinelli, F. Antioxidant Activity in Bee Products: A Review. Antioxidants 2021, 10, 71. [Google Scholar] [CrossRef]
  64. Khazaei, M.; Ansarian, A.; Ghanbari, E. New Findings on Biological Actions and Clinical Applications of Royal Jelly: A Review. J. Diet. Suppl. 2017, 15, 757–775. [Google Scholar] [CrossRef]
  65. Pandeya, P.R.; Lamichhane, R.; Lee, K.-H.; Kim, S.-G.; Lee, D.-H.; Lee, H.-K.; Jung, H.-J. Bioassay-guided isolation of active anti-adipogenic compound from royal jelly and the study of possible mechanisms. BMC Complement. Altern. Med. 2019, 19, 1–14. [Google Scholar] [CrossRef]
Figure 1. Composition of amino acids in RJ (mg/g).
Figure 1. Composition of amino acids in RJ (mg/g).
Processes 09 00616 g001
Figure 2. Droplet size distribution of the samples obtained with DLS measurements: N0 (A), N1 (B), N2 (C), N3 (D), N4 (E), N5 (F), N6 (G).
Figure 2. Droplet size distribution of the samples obtained with DLS measurements: N0 (A), N1 (B), N2 (C), N3 (D), N4 (E), N5 (F), N6 (G).
Processes 09 00616 g002aProcesses 09 00616 g002b
Figure 3. In vitro profile of 10-HDA release from selected microemulsion batches.
Figure 3. In vitro profile of 10-HDA release from selected microemulsion batches.
Processes 09 00616 g003
Figure 4. Statens Seruminstitut rabbit cornea (SIRC) cell viability after 24-h incubation with microemulsions. The error bars represent the standard deviation of measurements for cell viability (n = 5).
Figure 4. Statens Seruminstitut rabbit cornea (SIRC) cell viability after 24-h incubation with microemulsions. The error bars represent the standard deviation of measurements for cell viability (n = 5).
Processes 09 00616 g004
Figure 5. Short-term exposure test on SIRC cell culture line of all microemulsion formulations as well as 10-HDA. The error bars represent the standard deviation of measurements of cell viability (n = 5).
Figure 5. Short-term exposure test on SIRC cell culture line of all microemulsion formulations as well as 10-HDA. The error bars represent the standard deviation of measurements of cell viability (n = 5).
Processes 09 00616 g005
Figure 6. Effects of different concentrations of 10-HDA (a) and royal jelly (b) on intracellular reactive oxygen species (ROS) generation in SIRC cells (n = 5). Data are presented as means of percentage of control fluorecence ± SE.
Figure 6. Effects of different concentrations of 10-HDA (a) and royal jelly (b) on intracellular reactive oxygen species (ROS) generation in SIRC cells (n = 5). Data are presented as means of percentage of control fluorecence ± SE.
Processes 09 00616 g006aProcesses 09 00616 g006b
Figure 7. Cell viability of SIRC cell lines exposed for 24 h to hyaluronic acid 0.15% and 0.30% formulations and microemulsions containing royal jelly (n = 5).
Figure 7. Cell viability of SIRC cell lines exposed for 24 h to hyaluronic acid 0.15% and 0.30% formulations and microemulsions containing royal jelly (n = 5).
Processes 09 00616 g007
Table 1. Quality assessment of Lithuanian royal jelly—RJ (mean ± SD, n = 3).
Table 1. Quality assessment of Lithuanian royal jelly—RJ (mean ± SD, n = 3).
SamplepHWater Content (%) (w/w)10-HDA (%) (w/w)Antiradical Activity (DPPH) (%)
RJ3.52 ± 0.0460.8 ± 0.312.67 ± 0.0247.3 ± 3.4
Table 2. Composition of microemulsion formulations containing RJ.
Table 2. Composition of microemulsion formulations containing RJ.
Microemulsion FormulationRJ (%)Isopropyl Myristate (Oil Phase), %Tween 80/Tween 20 (S/CoS), %Distilled Water (Aqueous Phase), %
N0-53:1 (28%)67
N10.553:1 (28%)66.5
N20.7553:1 (24%)70.25
N3153:1(21.5%)72.5
N40.552.5:1 (28%)66.5
N50.7552.5:1 (24%)70.25
N6 152.5:1 (21.5%)72.5
Table 3. Size and polydispersity index (PDI) of microemulsions containing RJ.
Table 3. Size and polydispersity index (PDI) of microemulsions containing RJ.
ME FormulationDroplet Size, nmPDI
N057.25 ± 0.4630.106 ± 0.032
N1124.2 ± 0.7100.154 ± 0.033
N281.35 ± 0.4780.116 ± 0.004
N381.35 ± 0.8240.154 ± 0.034
N486.50 ± 0.7790.180 ± 0.020
N588.54 ± 0.8650.175 ± 0.033
N6 67.88 ± 0.7770.160 ± 0.031
Table 4. Physiochemical parameters of the prepared microemulsions.
Table 4. Physiochemical parameters of the prepared microemulsions.
Microemulsion FormulationpHViscosity (mPas)Conductivity (µs/Cm) Refractive Index
N0
N1
7.42 ± 0.25
6.80 ± 0.20
27.6 ± 0.23
21.2 ± 0.12
126.3 ± 0.81
164.8 ± 0.85
1.367 ± 0.003
1.332 ± 0.002
N25.68 ± 0.1520.2 ± 0.17147.5 ± 0.921.373 ± 0.004
N36.77 ± 0.2414.7 ± 0.22141.3 ± 0.731.371 ± 0.003
N46.66 ± 0.1729.0 ± 0.19147.7 ± 0.821.377 ± 0.002
N56.74 ± 0.1121.4 ± 0.21144.5 ± 0.691.376 ± 0.003
N66.89 ± 0.2317.5 ± 0.18 140.9 ± 0.871.371 ± 0.005
Table 5. The amount of 10-HDA in microemulsions evaluated using an HPLC method.
Table 5. The amount of 10-HDA in microemulsions evaluated using an HPLC method.
FormulationThe Amount of 10-HDA in Sample (µg/mL)
N113.753 ± 2.345
N234.926 ± 3.526
N344.486 ± 5.423
N413.852 ± 1.675
N531.829 ± 2.956
N642.660 ± 4.635
Publisher’s Note: MDPI stays neutral with regard to jurisdictional claims in published maps and institutional affiliations.

Share and Cite

MDPI and ACS Style

Perminaite, K.; Marksa, M.; Ivanauskas, L.; Ramanauskiene, K. Preparation of Ophthalmic Microemulsions Containing Lithuanian Royal Jelly and Their Biopharmaceutical Evaluation. Processes 2021, 9, 616. https://doi.org/10.3390/pr9040616

AMA Style

Perminaite K, Marksa M, Ivanauskas L, Ramanauskiene K. Preparation of Ophthalmic Microemulsions Containing Lithuanian Royal Jelly and Their Biopharmaceutical Evaluation. Processes. 2021; 9(4):616. https://doi.org/10.3390/pr9040616

Chicago/Turabian Style

Perminaite, Kristina, Mindaugas Marksa, Liudas Ivanauskas, and Kristina Ramanauskiene. 2021. "Preparation of Ophthalmic Microemulsions Containing Lithuanian Royal Jelly and Their Biopharmaceutical Evaluation" Processes 9, no. 4: 616. https://doi.org/10.3390/pr9040616

APA Style

Perminaite, K., Marksa, M., Ivanauskas, L., & Ramanauskiene, K. (2021). Preparation of Ophthalmic Microemulsions Containing Lithuanian Royal Jelly and Their Biopharmaceutical Evaluation. Processes, 9(4), 616. https://doi.org/10.3390/pr9040616

Note that from the first issue of 2016, this journal uses article numbers instead of page numbers. See further details here.

Article Metrics

Back to TopTop