Abstract
Palm olein-based diacylglycerol (POL-DAG) oil is a healthy product that is produced through enzymatic reaction and purification processes. However, POL-DAG oil easily solidifies at room temperature and crystallizes at high temperatures. The effect of different concentrations of sucrose stearate (1 and 10 g kg−1) added as a nonionic emulsifier, to POL-DAG oil containing 800 g kg−1 diacylglycerol, on its physical properties and flow behavior were investigated. The thermal properties of POL-DAG oil in melting, crystallization transition, and onset temperature were significantly decreased (p < 0.05) with the addition of emulsifiers. Besides, the incorporation of emulsifiers also significantly reduced (p < 0.05) the hardness of POL-DAG oil. Moreover, all POL-DAG oils with emulsifiers incorporated exhibited shear-thinning behavior, a low consistency coefficient (K) and a low apparent viscosity. The present study resolves the solidification issue and eases the pourability of POL-DAG oil by the incorporation of sucrose stearate. The process of adding an emulsifier to POL-DAG oil is a simple method that does not require advanced technology or process modifications to manage the POL-DAG oil and thus is highly applicable for the fats and oils industries and palm oil refineries.
1. Introduction
Emulsifiers are widely incorporated in food formulations to enhance the texture, stability, and shelf life of various food products. Besides, it is an important food ingredient which can alter the interfacial tension of a fluid and facilitate the formation and stabilization of emulsions [1]. Moreover, emulsifiers also exert significant influence on the crystallization of the emulsified fat [2]. Emulsifiers have the capability in retarding crystallization by hindering the nuclei formation or delaying the polymorphic transition [3]. Some common emulsifiers which are often incorporated into fats and oils manufacturing are polyglycerol polyricinoleate (PGPR), ammonium phosphatides (AP), citric acid esters of mono- and diglycerides (CITREM), sorbitan esters, etc. The usage of an appropriate emulsifier can control the fat crystallization. Emulsifiers which possess both polar and non-polar moieties in a single molecule help in modulating the nucleation, crystal growth, morphology, thermal behavior, and polymorphism during the fat crystallization processes [4].
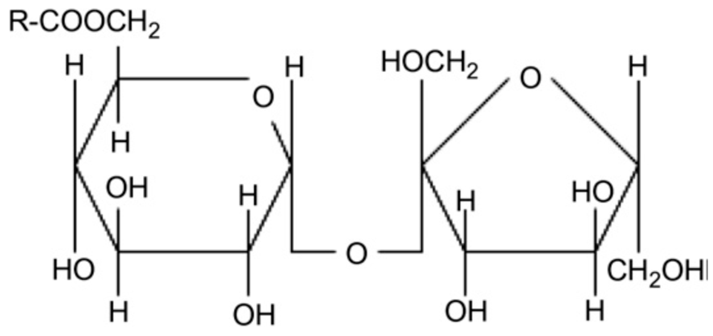
Sucrose fatty acid esters (SEs), also known as sugar esters, are small molecule and nonionic emulsifiers which possess a lipophobic sucrose group and a hydrophobic fatty acid group (Figure 1). SEs are commonly derived from natural products such as pure sugar, vegetable oils or agricultural by-products [5]. Moreover, they are odorless, tasteless, have low toxicity, and are highly biodegradable compared to petrochemical-based surfactants, allowing their use in food applications as food additive emulsifiers [6]. Emulsifiers with varied lipophilic properties also influence the fat properties [7]. For instance, Tangsanthatkun and Sonwai [8] explored the effects of different lipophilic emulsifiers towards the pure palm olein crystallization and suggested that the emulsifier incorporation brought major impacts on fat crystallization, especially during the fat nucleation, polymorphic transformation and crystal growth stage [9]. Adding emulsifiers to food products have been reported to reduce phase separation, enhance the shelf stability, and improve the textural and rheological properties of the food formulations [10]. Small molecule surfactants (i.e., SEs) stabilize the emulsion system by interacting with the oil phase. The usage of sorbitan and sucrose esters were found to increase the solid fat content, good stabilization rate, and high consistency value in zero trans-fat unsaturated triacylglycerols [11]. Besides, the addition of sucrose ester was also reported to increase the intensity of the β’ form crystals in oil-in-water emulsions [12].
Figure 1.
Chemical structure of sucrose monoester, where R = alkyl group. For sucrose stearate, R = stearic acid.
Diacylglycerol (DAG) oil is beneficial towards lipid metabolism as it inhibits body fat accumulation and reduces the postprandial triacylglycerol (TAG) level in human serum, thereby promoting cardiovascular health [13,14]. The activation of enzymes in the liver and small intestines with the presence of DAG increases the fat β-oxidation [15]. Besides, DAG also has the capability in reducing LDL cholesterol, modulating the blood glucose metabolism, and increasing the bone mineral density [16,17]. The global market demand for diacylglycerol (DAG) oil is expected to rise in the future due to the current growth rate of the obese population throughout the world. Palm oil production ranks first among all other edible oils produced worldwide [18]. Palm oil (PO) contributes 25% of the global output of oil, for a total of 154 million metric tons. The health promoting effects of palm-based DAG will increase the palm oil usage in multiple food applications. DAG naturally presents in various fats and oils at concentration of 20–100 g kg−1 (w/w) [19]. DAG is also quite often adopted as an emulsifier and stabilizer in the food, pharmaceutical and cosmetics applications. In general, at least 400 g kg−1 (w/w) of DAG is required, in edible fats, to exert its health benefits [20]. Various sources of palm-based oils are used to produce DAG oil, namely from palm kernel oil, palm oil, palm olein, palm mid-fraction, and palm stearin [21]. Highly pure palm olein-based diacylglycerol (POL-DAG) oil appears as pale yellowish and exists in semi-solid state at ambient temperature. However, the melting point of POL-DAG oil is higher compared to the triacylglycerol (TAG) oil. POL-DAG oil easily solidifies at room temperature and crystallizes at high temperature. Hence, POL-DAG oil is not easily poured from the bottle and has an unpleasant appearance. The problem of the semi-solid appearance of this product has been overcome to a certain extent by fractionating POL-DAG into solid and liquid fractions. Ab Latip, et al. [22] disclosed a process of fractional crystallization of palm-based DAG fat containing at least 800 g kg−1 (w/w) DAG into a solid and liquid fraction using dry fractionation. The high energy consumption during the heating, melting, homogenization, and fractionation processes of the palm-based DAG fat could increase the production costs of palm-based DAG products.
Although food emulsifiers appear to be a common ingredient in food formulations, however normally they are being applied directly in solid/modified fats and emulsions. The direct application in POL-DAG oil processing still require in-depth investigation because up to date there are no reports on the direct use of emulsifiers in POL-DAG oil. Therefore, the main aim of this study was to determine the impact of various concentrations of SEs on the physical and rheological properties of the POL-DAG. The optimal goal of adding selected emulsifiers to POL-DAG was to facilitate the processing and preparation of POL-DAG oil and to improve the physical properties of the oil. The effect of adding emulsifiers to POL-DAG was studied by analyzing the parameters of the thermal behavior, textural properties and flow behavior of the samples. It is our hope that the enhancement of the techno-functional properties of POL-DAG will rejuvenate and strengthen the competitiveness of the palm oil industry.
2. Materials and Methods
2.1. Materials
The immobilized Candida Antarctica lipase (Novozymes 435) was obtained from Novozymes Sdn. Bhd. (Bagsvaerd, Denmark). Palm olein was donated by Sime Darby Sdn. Bhd. (Banting, Malaysia). All of the other chemicals used were acquired from Merck Sdn. Bhd. (Darmstadt, Germany). The nonionic emulsifier of sucrose esters was provided by Mitsubishi-Kagaku Food Corporation (Tokyo, Japan). The emulsifier selected for use was sucrose stearate (S-1570). The hydrophilic-lipophilic balance (HLB) value of the emulsifier was 15 and its monoester concentration was 800 g kg−1. The chemical structures of the sucrose esters of fatty acids used in this study are shown in Figure 1.
2.2. Pilot Scale Production of POL-DAG
In this study, POL-DAG was produced by enzymatic glycerolysis using a pilot scale packed-bed bioreactor (PBR), which was equipped with a 10 L reaction vessel and a 6 L filtration vessel [21]. The DAG oil was further purified using short-path distillation (SPD) with the KD6 system (UIC, Alzenau-Hoerstein, Germany). The freshly produced POL-DAG oil was stored at −20 °C prior to use.
2.3. Preparation of POL-DAG with and without an Emulsifier
POL-DAG samples containing different concentrations (1 and 10 g kg−1) of sucrose stearate were selected for investigation in this study. The POL-DAG containing 800 g kg−1 DAG was used as the oil phase. A measured quantity of POL-DAG oil was heated and stirred at 70 °C to melt all of the oil crystals. The selected emulsifier, sucrose stearate, was added to the pre-heated POL-DAG, and the temperature was maintained above 60 °C. The POL-DAG oil with the emulsifier was heated in a temperature-controlled water bath (Memmert GmBH, Schwabach, Germany) and stirred using a propeller type overhead stirrer (IKA, Staufen, Germany) at 300 rpm to ensure the homogeneity of the mixture. The mixture was subsequently cooled to 30 °C and kept at ambient temperature for at least 24 h before use. POL-DAG oil containing 800 g kg−1 DAG was used as the control sample.
2.4. DSC Thermal Analysis
The thermal behaviors of the oil samples with emulsifiers incorporated were determined by the Perkin-Elmer differential scanning calorimeter (DSC-7) (Perkin-Elmer Corp., Norwalk, CT, USA). The DSC was pre-calibrated using the indium and zinc standards. Samples between 5.0 and 7.0 mg were carefully weighed in designated aluminum pans, and hermetically sealed. Prior to the cooling and heating scans, all samples were heated at 80 °C for 10 min to destroy all existing crystal nuclei. The temperature program for DSC analysis was adopted from a previous reported research [23]. Firstly, the samples were cooled at the cooling rate of 5 °C/min to −50 °C and hold for 10 min, followed by a heating rate of 5 °C/min from −50 °C to 80 °C and hold for 10 min. At the end of each sample analysis, normalization on the crystallization and melting curves were conducted using the baseline. The onset temperature (Ton [°C]) and the transition temperatures (Tpeak [°C]) were determined with the aid of the DSC Data Analysis software. Three replicate analyses for thermal behavior determination of each oil samples were conducted.
2.5. Textural Properties Analysis
The texture profile characterization of oil samples was conducted at ambient temperature of 25 °C using the penetration test, with the aid of TA-XT2i texture analyzer (Stable Micro Systems Ltd., Surrey, UK) with a 5 kg interchangeable load cell. The oil samples were first transferred into a stainless-steel container (with a dimension of 31.4 mm internal diameter and 85 mm height). For the penetration test, the P/1SP sphere probe was used. When the trigger force had been attained, the probe would penetrate 10 mm into the sample with a test speed of 1 mm/s. Then, the sphere probe would rebound for 3 s with the sphere just touching the sample surface. Next, the sphere would penetrate again into the sample for the second time and the hardness value was calculated from the force vs. time plot (Bourne 1978). The hardness value indicated the maximum peak force (N) that occurred during the first compression cycle. Data were expressed as the mean from two measurements of three replicates.
2.6. Rheological Behavior
The rheological behavior of the oil samples were analyzed using a rheometer (Rheostress 6000, Haake, Karlsruhe, Germany). A sand-blasted cone sensor (C35/2° Ti; cone diameter = 35 mm, gap = 0.105 mm) and a MPC35 measuring plate cover were used for the analysis. Prior to each measurement, a small amount of sample was carefully deposited in the center of the measuring plate. Then, the cone would be pressed onto the sample. The excess sample was removed using a thin blade. All of the loaded oil samples were allowed to sit for 5 min before measurement for relaxation and sample temperature equilibration purposes. The flow curves were determined at 25 ± 0.1 °C with a fixed shear range of 0–100 s−1 for 2 min. Then, the rheological parameters such as apparent viscosity, consistency coefficient and flow behavior were obtained. In the present study, the Ostwald-de Waele viscosity equation was used to further characterize the rheological properties of the oil samples. For the rheological determinations, at least three replicates of each sample were evaluated.
The Ostwald-de Waele (Visc) model equation was expressed as following [24]:
where η represents the apparent viscosity (Pa·s); K represents the consistency index (Pa·sn); represents the shear rate (s−1); and n represents the flow behavior index (dimensionless).
2.7. Statistical Analysis
A one-way analysis of variance (ANOVA) with post-hoc Tukey’s test was performed on all measurement data using the Minitab statistical software (Version 16, Minitab Pty Ltd., Sydney, New South Wales, Australia) to determine the significant difference among mean values (p < 0.05). All measurement data were tabulated as mean values ± standard deviation from three replicates.
3. Results and Discussion
3.1. Effect of Addition of Sucrose Stearate on the Crystallization and Melting Properties of POL-DAG Oil
The onset temperature of the crystallization profile is recorded when the fat crystals start to form, while the onset temperature of the melting profile is recorded when the fat begins to melt. Figure 2a,b show the thermal curves of the POL-DAG with and without the incorporation of sucrose stearate generated from the cooling and heating scans, while the corresponding transition temperatures and onset temperatures are shown in Table 1. Figure 2a clearly indicates that the onset temperature (Ton) of POL-DAG oil decreased to 37.45 °C and 33.28 °C with the addition of emulsifiers with concentrations of 1 and 10 g kg−1, respectively. Pure POL-DAG had a significantly higher onset temperature of 38.63 °C compared to the POL-DAG with the addition of emulsifier. Besides, the exothermic peak of pure POL-DAG without the addition of emulsifier was found to be narrower than those POL-DAG with added emulsifier, whereby the observation was more apparent especially on the third exothermic peak. The sharp and narrow width of the peak might indicate a larger enthalpy change of the sample, which exhibited a higher crystallization rate. These results confirmed the ability of emulsifiers in influencing the crystallization process; and it was reasonable to expect the crystal growth retardation imposed by the added emulsifier on the samples tested. These observations are in accordance with those reported by Cheng, et al. [25], who suggested that the sucrose stearate incorporation hindered the crystal growth of low-freezing point fractions in anhydrous milk fat. Depending on the sucrose ester’s chain length, the longer the chain length, the more crystal growths were retarded. Tangsanthatkun and Sonwai [8] and Chen, et al. [26] also indicated that the incorporation of sucrose stearate and sucrose palmitate initiated the early stage crystallization of palm olein in bulk state and palm oil-palm stearin blends, respectively. According to Nissim and Kiyotaka [27], an opposite effect was observed: in the presence of small quantities of surfactants, the crystallization process was not in equilibrium, resulting in crystal nucleation in the bulk phase. Furthermore, the existence of hydroxyl group in DAG is unique as it controls the crystallization behavior of solid fat, especially when DAG is applied as the solvent [28].
Figure 2.
Changes in the dynamic (a) crystallization and (b) melting properties of palm olein-based diacylglycerol (POL-DAG) oil with and without emulsifier.
Table 1.
Dynamic crystallization and melting parameters of palm olein-based diacylglycerol (POL-DAG) oil with and without emulsifier (scanned at 5 °C min−1).
Three exothermic peaks/transitions for POL-DAG oil without the emulsifier were identified; the peak at 37.32 °C (T3) represented the high-melting region in which crystallization began, and the other two peaks, at 11.48 °C (T2) and −3.02 °C (T1), represented the low-melting region, in which crystallization occurred later. Furthermore, exothermic peaks of POL-DAG containing 1 g kg−1 of emulsifier clearly appeared at 35.67 °C (T3), 9.67 °C (T2) and −4.83 (T1), indicated that the transition temperatures of the samples were remarkably reduced. The results revealed that the presence of emulsifier provided effective steric hindrance and thereby hindered crystal packing. The DSC cooling thermogram of POL-DAG oil containing 1 and 10 g kg−1 emulsifier showed that the exothermic peaks were significantly shifted to the low-temperature side by increasing the emulsifier content (Table 1). Previously, Saberi, Kee, Oi-Ming and Miskandar [21] noted that POL-DAG exhibited three maximum peaks in the crystallization thermogram, representing the three major DAG types, namely, diunsaturated (UU), monosaturated (US), and disaturated (SS), respectively. Sucrose stearate can interact strongly with POL-DAG oil, most likely due to the saturated alkyl chain attached to sucrose, which allows strong interaction with the open alkyl chains at the crystal interface. Garbolino, et al. [29] stated that co-crystallization of the palmitic residue with the fatty acids of palm oil occurred owing to their high compatibility, in which the palmitic esters attached to the surface and therefore prevented the crystalline facets growth. However, the type and concentration of emulsifier affected the shape of the fat crystals and improved their dispersion within the POL-DAG oil. This study demonstrated that a sucrose ester of a fatty acid altered and slowed the crystallization process in the POL-DAG oil.
The melting thermograms of all POL-DAG oil samples are shown in Figure 2b. Two major endothermic peaks were clearly identified in POL-DAG without the emulsifier, at 50.77 °C and 25.35 °C. POL-DAG without the emulsifier exhibited a higher melting point due to the higher amount of disaturated (SS) DAG and the arrangement of the fatty acids. According to Yoshihisa, Takuji, Noboru, Ichiro, Brent D., and Mark G. [28], DAG contains a hydroxyl group and has a lower molecular weight than does TAG, and its melting properties are different from those of TAG. The presence of hydroxyl group eases the fatty acid chain rearrangement and the strength of the hydrogen bonding. POL-DAG containing 1 g kg−1 emulsifier exhibited a minor T2 transition at 24.68 °C and a T3 at transition of 50.93 °C; in comparison, POL-DAG containing 10 g kg−1 emulsifier exhibited lower temperatures of T2 at 24.60 °C and T3 at 46.43 °C. In addition, the melting peaks of POL-DAG oil containing the emulsifier were significantly affected and shifted towards lower temperatures.
3.2. Effect of Addition of Sucrose Stearate on Textural Property of POL-DAG Oil
The texture profile analysis for all POL-DAG oil samples are shown in Table 2 and Figure 3. The addition of emulsifier had a considerable effect on the POL-DAG oil samples. Both samples containing the emulsifier had a significantly lower hardness value causing a softer texture than that of the POL-DAG oil, probably due to the lower solid fat content. This could be attributed to the different crystal network morphologies formed with the addition of emulsifier [30]. No significant difference was observed between the properties of POL-DAG oil containing different amounts of the emulsifier, either 1 or 10 g kg−1. From Figure 3, POL-DAG oil without the incorporation of emulsifier was firmer than the oil samples with added emulsifiers. These results agreed with the findings reported by Cheong, et al. [31], who observed a high degree of firmness in bakery shortenings prepared using palm-based DAG-palm stearin blends compared to the commercial shortenings, which was most likely due to the rearrangement of the fat crystals into a three-dimensional scaffolding network during storage. Besides, Katsuragi, et al. [32] found that DAG is slightly more hydrophilic than TAG and that their interfacial chemical properties are particularly different. These results indicated that a small amount of emulsifier strongly affected its textural properties of POL-DAG oil; therefore, the selection of emulsifier type is important to obtain POL-DAG oil samples with a smooth texture. Admed, Nassar, Zaki, and Gharied [33] reported that highly saturated POL-DAG oil is comparatively more hydrophobic and requires a more hydrophobic non-ionic emulsifier. High energy was needed to penetrate the POL-DAG sample, whereas only very low energy was required to penetrate the POL-DAG oil containing 1 g kg−1 emulsifier.
Table 2.
Texture profile analysis of palm olein-based diacylglycerol (POL-DAG) oil with and without emulsifier.
Figure 3.
Changes in the texture profiles of palm olein-based diacylglycerol (POL-DAG) oil with 10 g/kg emulsifier and without emulsifier.
POL-DAG easily solidifies at room temperature; therefore, it is harder, causing a large amount of crystal fats to form when it is stored at room temperature. Fats containing small crystals are desirable because these crystals are able to surround and stabilize the air bubbles in yielding a fine and smooth product texture; however, if the crystal sizes are too large, it will eventually diminish the products’ quality [34]. Moreover, Golding and Pelan [35] stated that in spread or margarine system, the crystalline network would first formed by small crystals, followed by large TAG crystals formation. In addition, these crystals intertwined to form spherulites, which were subsequently aggregated to form a beam crystal. The physical properties of a common diglyceride may be affected by several factors including polymorphism, the phase behaviors of the fat mixtures, and the fat crystal network. An emulsifier such as sucrose stearate was effective in changing the textural property of POL-DAG oil, as shown in Figure 3. The addition of emulsifier to the POL-DAG oil formed a softer slurry and generated a softer texture.
3.3. Effect of Addition of Sucrose Stearate on the Rheological Behaviour of POL-DAG Oil
In principle, a material flows under specific flow conditions, even apparently solid-like materials. Among the fundamental principles of rheology, the dimensionless Deborah number, which is expressed as the ratio of relaxation time to the observation time, is often used to distinguish between solid and liquid behavior of a material [36]. This theory suggests that even hard materials will be able to flow like liquids as long as they are given sufficient time to adjust to the applied stresses or deformations. Rheology, which involves the measurement of the deformation and flow of materials after some force/stress have been applied, is definitely ideal in gauging the flow property of POL-DAG oil. Viscosity is a measure of the fluid flow resistance. During shear deformation, viscosity is the ratio of the applied shear stress to the resulting shear rate. The apparent viscosity has many useful applications in characterizing shear-thinning fluids. Table 3 shows the apparent viscosities at shear rate 10 s−1 and 100 s−1 (), which were calculated by substituting the obtained flow behavior index (n) and consistency coefficient (K) values of the POL-DAG oil samples in the Ostwald-de Waele (Visc) model. Figure 4 illustrates the viscosity versus the shear rate for all POL-DAG samples. The high coefficients of determination (R2), which were more than 0.98, indicated the fitness of the equation. The results revealed that all POL-DAG oils (with and without the emulsifier) exhibited non-Newtonian behavior at room temperature (n < 1). That is, their viscosity decreased with the increasing shear rate as shown in Figure 4. This behavior could be explained by the molecular structural breakdown due to the generated hydrodynamic stresses and the increased constituent molecules alignment [37]. The K value determines the viscous nature of the POL-DAG oil. Based on the results, the K values were significantly larger for the POL-DAG oil without the emulsifier. This behavior was mainly due to the occurrence of crystallization which increased the total fat solids in the oil. Similar to TAG, the different arrangement of fatty acids in DAG glycerol backbone demonstrated different fats or oils physical properties. The nature of the fat crystal remains as one of the most important factors impacting the lipids’ rheological properties. The flow index behavior indicates the level of deviation from a Newtonian fluid. Generally, a Newtonian fluid has a n value of 1, whereas n < 1 indicates the shear-thinning behavior and n > 1 indicates the shear thickening behavior. As shown in Table 3, all POL-DAG oil samples (with and without emulsifier) demonstrated shear-thinning properties; where POL-DAG oil with emulsifiers exhibited milder shear-thinning behavior than the pure POL-DAG oil; and POL-DAG oil with 10 g/kg emulsifier showed more shear-thinning properties than POL-DAG oil with 1 g/kg emulsifier. The shear thinning behavior observed in all the POL-DAG oil samples suggested easier pumping of these oils and this was particularly important in industrial pipe sizing which emphasized on flow and pressure control. Moreover, POL-DAG oil also presented a higher value of apparent viscosity compared to those of samples containing emulsifier. This finding justified that the incorporation of sucrose stearate significantly (p < 0.05) reduced the apparent viscosities of the POL-DAG oil. Besides, literature also reported that the viscosity of DAG is even slightly higher than that of TAG [38]. This phenomenon also suggested that the emulsifying properties of DAG were different from TAG.
Table 3.
Flow curves parameters of palm olein-based diacylglycerol (POL-DAG) oil with and without emulsifier.
Figure 4.
Viscosity curves versus shear rate of palm olein-based diacylglycerol (POL-DAG) oil with and without emulsifier.
From Figure 4, it was noticeable that the POL-DAG oil containing 1 and 10 g kg−1 emulsifiers demonstrated minimal changes in viscosities as the shear rate increased as compared to the control (POL-DAG oil without added emulsifier). This might be due to the addition of surface-active species or emulsifier, which eventually reduced the attractive interactions of the particles, and thus led to a lower degree of deformation as the shear rate increased. Similar behaviors had been reported by Babin, et al. [39], who observed that the addition of lecithin to sugar or oil mixtures led to significant apparent viscosity reduction of the samples. The viscosity reduction was consistent with the attractive and adhesive forces reduction between the sugar particles due to the presence of emulsifiers which adsorbed at the sugar–oil interface. Povey [40] explained that rheological behavior might be impacted by various factors for instance, particle shape and distribution, heat transfer between the particles and the continuous phase, continuous phase viscosity, and the surface energies between the contacting surfaces, as well as the surface nucleation.
4. Conclusions
The effects of a sucrose stearate on the properties of POL-DAG were studied. The findings demonstrated that sucrose stearate effectively modified the physical properties and controlled the flow of POL-DAG derived from palm oil production line. Besides, the findings from DSC analysis justified that the addition of nonionic sucrose stearate remarkably retarded the crystallization process in POL-DAG. The texture property and hardness of POL-DAG was significantly reduced with the incorporation of emulsifier. This phenomenon improved the energy efficiency as lesser energy was required for the oil mixing and homogenization compared to the pure POL-DAG oil which was harder and more difficult to penetrate due to its solid state at room temperature. Besides, the addition of sucrose ester significantly (p < 0.05) reduced both the consistency index and apparent viscosities of the POL-DAG oil. Although POL-DAG oil with sucrose stearate exhibited less shear-thinning behavior compared to the pure POL-DAG oil, it still possesses a considerably lower initial viscosity with the addition of emulsifier. Moreover, the present study by adding a small proportion of emulsifier to POL-DAG oil resolved the solidification problem and increased the pourability of the oil at room temperature. This preparation also improved the functionality and increased the potential for palm-based DAG oil product development, for instance bakery products, confectioneries, and also emulsion products.
Author Contributions
Conceptualization, C.P.T. and S.P.N.; methodology, C.P.T., S.P.N., and O.M.L.; software and validation, S.P.N., Y.P.K., H.K.L., Y.W. (Yong Wang), and Y.W. (Yonghua Wang); formal analysis, S.P.N. and H.K.L.; investigation, Y.W. (Yong Wang), and Y.W. (Yonghua Wang); resources, C.P.T. and O.M.L.; writing—original draft preparation, S.P.N.; writing—review and editing, C.P.T. and Y.P.K.; visualization, Y.W. (Yong Wang), and Y.W. (Yonghua Wang); supervision, C.P.T. and O.M.L.; project administration, C.P.T.; funding acquisition, C.P.T. All authors have read and agreed to the published version of the manuscript.
Funding
This research work was supported by Universiti Putra Malaysia (RUGS INISIATIVE 6, Project No. 9300324).
Institutional Review Board Statement
Not applicable.
Informed Consent Statement
Not applicable.
Data Availability Statement
Data sharing not applicable.
Conflicts of Interest
The authors declare no conflict of interest.
References
- McClements, D.J. Emulsion design to improve the delivery of functional lipophilic components. Annu. Rev. Food Sci. Technol. 2010, 1, 241–269. [Google Scholar] [CrossRef] [PubMed]
- Cheng, J.; Kan, Q.; Cao, J.; Dudu, O.E.; Yan, T. Interfacial compositions of fat globules modulate coconut oil crystallization behavior and stability of whipped-frozen emulsions. Food Hydrocoll. 2021, 114, 106580. [Google Scholar] [CrossRef]
- Simoes, S.; Lelaj, E.; Rousseau, D. The presence of crystalline sugar limits the influence of emulsifiers on cocoa butter crystallization. Food Chem. 2021, 346, 128848. [Google Scholar] [CrossRef] [PubMed]
- Ishibashi, C.; Hondoh, H.; Ueno, S. Influence of Fatty Acid Moieties of Sorbitan Esters on Polymorphic Occurrence of the Palm Mid-Fraction. J. Am. Oil Chem. Soc. 2018, 95, 709–720. [Google Scholar] [CrossRef]
- Zhang, X.; Wei, W.; Cao, X.; Feng, F. Characterization of enzymatically prepared sugar medium-chain fatty acid monoesters. J. Sci. Food Agric. 2015, 95, 1631–1637. [Google Scholar] [CrossRef] [PubMed]
- Habulin, M.; Šabeder, S.; Knez, Ž. Enzymatic synthesis of sugar fatty acid esters in organic solvent and in supercritical carbon dioxide and their antimicrobial activity. J. Supercrit. Fluids 2008, 45, 338–345. [Google Scholar] [CrossRef]
- Acevedo, N.C.; Marangoni, A.G. Engineering the functionality of blends of fully hydrogenated and non-hydrogenated soybean oil by addition of emulsifiers. Food Biophys. 2014, 9, 368–379. [Google Scholar] [CrossRef]
- Tangsanthatkun, J.; Sonwai, S. Crystallisation of palm olein under the influence of sucrose esters. Int. J. Food Sci. Technol. 2019, 54, 3032–3041. [Google Scholar] [CrossRef]
- Domingues, M.A.F.; Da Silva, T.L.T.; Ribeiro, A.P.B.; Chiu, M.C.; Gonçalves, L.A.G. Structural characteristics of crystals formed in palm oil using sorbitan tristearate and sucrose stearate. Int. J. Food Prop. 2018, 21, 618–632. [Google Scholar] [CrossRef]
- Gerard, L.H.; Richard, W.H. Food Emulsifiers and Their Applications; Springer: New York, NY, USA, 2008. [Google Scholar]
- Fontenele Domingues, M.A.; Badan Ribeiro, A.P.; Chiu, M.C.; Gonçalves, L.A.G. Sorbitan and sucrose esters as modifiers of the solidification properties of zero trans fats. LWT Food Sci. Technol. 2015, 62, 122–130. [Google Scholar] [CrossRef]
- Huck-Iriart, C.; Candal, R.J.; Herrera, M.L. Effects of Addition of a Palmitic Sucrose Ester on Low-Trans-Fat Blends Crystallization in Bulk and in Oil-in-Water Emulsions. Food Biophys. 2009, 4, 158–166. [Google Scholar] [CrossRef]
- Baeza-Jiménez, R.; Miranda, K.; García, H.S.; Otero, C. Lipase-catalyzed glycerolysis of fish oil to obtain diacylglycerols. Grasas Aceites 2013, 64, 237–242. [Google Scholar]
- Prabhavathi Devi, B.L.A.; Gangadhar, K.N.; Prasad, R.B.N.; Sugasini, D.; Rao, Y.P.C.; Lokesh, B.R. Nutritionally enriched 1,3-diacylglycerol-rich oil: Low calorie fat with hypolipidemic effects in rats. Food Chem. 2018, 248, 210–216. [Google Scholar] [CrossRef] [PubMed]
- Ando, Y.; Saito, S.; Yamanaka, N.; Suzuki, C.; Ono, T.; Osaki, N.; Katsuragi, Y. Alpha Linolenic Acid-enriched Diacylglycerol Consumption Enhances Dietary Fat Oxidation in Healthy Subjects: A Randomized Double-blind Controlled Trial. J. Oleo Sci. 2017, 66, 181–185. [Google Scholar] [CrossRef]
- Zheng, J.S.; Wang, L.; Lin, M.; Yang, H.; Li, D. BMI status influences the response of insulin sensitivity to diacylglycerol oil in Chinese type 2 diabetic patients. Asia Pac. J. Clin. Nutr. 2015, 24, 65–72. [Google Scholar] [CrossRef] [PubMed]
- Choi, H.S.; Park, S.J.; Lee, Z.H.; Lim, S.K. The Effects of a High Fat Diet Containing Diacylglycerol on Bone in C57BL/6J Mice. Yonsei Med. J. 2015, 56, 951–960. [Google Scholar] [CrossRef] [PubMed]
- Ramli, A.; Mohd, B.W. World Palm Oil Supply, Demand, Price and Prospects: Focus on Malaysian and Indonesian Palm Oil Industry; Malaysian Palm Oil Board: Kuala Lumpur, Malaysia, 2010. [Google Scholar]
- Lee, Y.-Y.; Tang, T.-K.; Phuah, E.-T.; Tan, C.-P.; Wang, Y.; Li, Y.; Cheong, L.-Z.; Lai, O.-M. Production, safety, health effects and applications of diacylglycerol functional oil in food systems: A review. Crit. Rev. Food Sci. Nutr. 2019, 60, 2509–2525. [Google Scholar] [CrossRef]
- Flickinger, B.D.; Matsuo, N. Nutritional characteristics of DAG oil. Lipids 2003, 38, 129. [Google Scholar] [CrossRef] [PubMed]
- Saberi, A.H.; Kee, B.B.; Oi-Ming, L.; Miskandar, M.S. Physico-chemical properties of various palm-based diacylglycerol oils in comparison with their corresponding palm-based oils. Food Chem. 2011, 127, 1031–1038. [Google Scholar] [CrossRef]
- Ab Latip, R.; Lee, Y.-Y.; Tang, T.-K.; Phuah, E.-T.; Lee, C.-M.; Tan, C.-P.; Lai, O.-M. Palm-based diacylglycerol fat dry fractionation: Effect of crystallisation temperature, cooling rate and agitation speed on physical and chemical properties of fractions. PeerJ 2013, 1, e72. [Google Scholar] [CrossRef]
- Ng, S.P.; Lai, O.M.; Abas, F.; Lim, H.K.; Beh, B.K.; Ling, T.C.; Tan, C.P. Compositional and thermal characteristics of palm olein-based diacylglycerol in blends with palm super olein. Food Res. Int. 2014, 55, 62–69. [Google Scholar] [CrossRef]
- Karaman, S.; Yilmaz, M.T.; Kayacier, A.; Dogan, M.; Yetim, H. Steady shear rheological characteristics of model system meat emulsions: Power law and exponential type models to describe effect of corn oil concentration. J. Food Sci. Technol. 2015, 52, 3851–3858. [Google Scholar] [CrossRef] [PubMed]
- Cheng, J.; Dudu, O.E.; Li, X.; Yan, T. Effect of emulsifier-fat interactions and interfacial competitive adsorption of emulsifiers with proteins on fat crystallization and stability of whipped-frozen emulsions. Food Hydrocoll. 2020, 101, 105491. [Google Scholar] [CrossRef]
- Chen, C.; Zhang, H.; Bi, Y.; Cheong, L. Effects of Sucrose Esters on Isothermal Crystallization of Palm Oil-based Blend. J. Am. Oil Chem. Soc. 2015, 92, 277–286. [Google Scholar] [CrossRef]
- Nissim, G.; Kiyotaka, S. Crystallization Processes in Fats and Lipid Systems; CRC Press: Boca Raton, FL, USA, 2019. [Google Scholar]
- Yoshihisa, K.; Takuji, Y.; Noboru, M.; Ichiro, T.; Brent, D.F.; Mark, G.M. Diacylglycerol Oil; AOCS Press: New York, NY, USA, 2004. [Google Scholar]
- Garbolino, C.; Bartoccini, M.; Flöter, E. The influence of emulsifiers on the crystallisation behaviour of a palm oil-based blend. Eur. J. Lipid Sci. Technol. 2005, 107, 616–626. [Google Scholar] [CrossRef]
- Domingues, M.A.F.; da Silva, T.L.T.; Ribeiro, A.P.B.; Chiu, M.C.; Gonçalves, L.A.G. Sucrose behenate as a crystallization enhancer for soft fats. Food Chem. 2016, 192, 972–978. [Google Scholar] [CrossRef] [PubMed]
- Cheong, L.-Z.; Tan, C.-P.; Long, K.; Affandi Yusoff, M.S.; Lai, O.-M. Physicochemical, textural and viscoelastic properties of palm diacylglycerol bakery shortening during storage. J. Sci. Food Agric. 2010, 90, 2310–2317. [Google Scholar] [CrossRef]
- Katsuragi, T.; Kaneko, N.; Sato, K. Effects of addition of hydrophobic sucrose fatty acid oligoesters on crystallization rates of n-hexadecane in oil-in-water emulsions. Colloids Surf. B Biointerfaces 2001, 20, 229–237. [Google Scholar] [CrossRef]
- Ahmed, N.S.; Nassar, A.M.; Zaki, N.N.; Gharieb, H.K. Formation of fluid heavy oil-in-water emulsions for pipeline transportation. Fuel 1999, 78, 593–600. [Google Scholar] [CrossRef]
- Meng, Z.; Liu, Y.-F.; Jin, Q.-Z.; Huang, J.-H.; Song, Z.-H.; Wang, F.-Y.; Wang, X.-G. Characterization of Graininess Formed in All Beef Tallow-Based Shortening. J. Agric. Food Chem. 2010, 58, 11463–11470. [Google Scholar] [CrossRef]
- Golding, M.; Pelan, E. Application of Emulsifiers to Reduce Fat and Enhance Nutritional Quality. In Food Emulsifiers and Their Applications, 2nd ed.; Hasenhuettl, G.L., Hartel, R.W., Eds.; Springer: New York, NY, USA, 2008; pp. 327–348. [Google Scholar]
- Reiner, M. The Deborah Number. Phys. Today 1964, 17, 62. [Google Scholar] [CrossRef]
- Alpaslan, M.; Hayta, M. Rheological and sensory properties of pekmez (grape molasses)/tahin (sesame paste) blends. J. Food Eng. 2002, 54, 89–93. [Google Scholar] [CrossRef]
- Shimida, A.; Ohashi, K. Interfacial and emulsifying properties of diacylglycerol. Food Sci. Technol. Res. 2003, 9, 142–147. [Google Scholar] [CrossRef]
- Babin, H.; Dickinson, E.; Chisholm, H.; Beckett, S. Interactions in dispersions of sugar particles in food oils: Influence of emulsifier. Food Hydrocoll. 2005, 19, 513–520. [Google Scholar] [CrossRef]
- Povey, M.J.W. Crystallization Processes in Fats and Lipid Systems; CRC Press: New York, NY, USA, 2001. [Google Scholar]
Publisher’s Note: MDPI stays neutral with regard to jurisdictional claims in published maps and institutional affiliations. |
© 2021 by the authors. Licensee MDPI, Basel, Switzerland. This article is an open access article distributed under the terms and conditions of the Creative Commons Attribution (CC BY) license (https://creativecommons.org/licenses/by/4.0/).



