Study on the Characteristics of Size-Segregated Particulate Water-Soluble Inorganic Ions and Potentially Toxic Metals during Wintertime in a High Population Residential Area in Beijing, China
Abstract
1. Introduction
2. Materials and Methods
2.1. Sites and Sampling
2.2. Potentially Toxic Metals Characterization via ICP-MS
2.3. Water-Soluble Inorganic Ions
2.4. The Crustal Enrichment Factors (CEFs)
2.5. Health Risk Assessment
2.6. Statistics
3. Results and Discussion
3.1. Weather Conditions
3.2. The Mass Concentration of Atmospheric Particulate Matter Size Distribution
3.3. The Mass Concentration of Water-Soluble Inorganic Ionic Species Size Distribution and Sources
3.4. Potentially Toxic Metals
3.4.1. The Mass Concentration of Potentially Toxic Metals Size Distribution
3.4.2. Source-Apportionment of Potentially Toxic Metals by Crustal Enrichment Factors
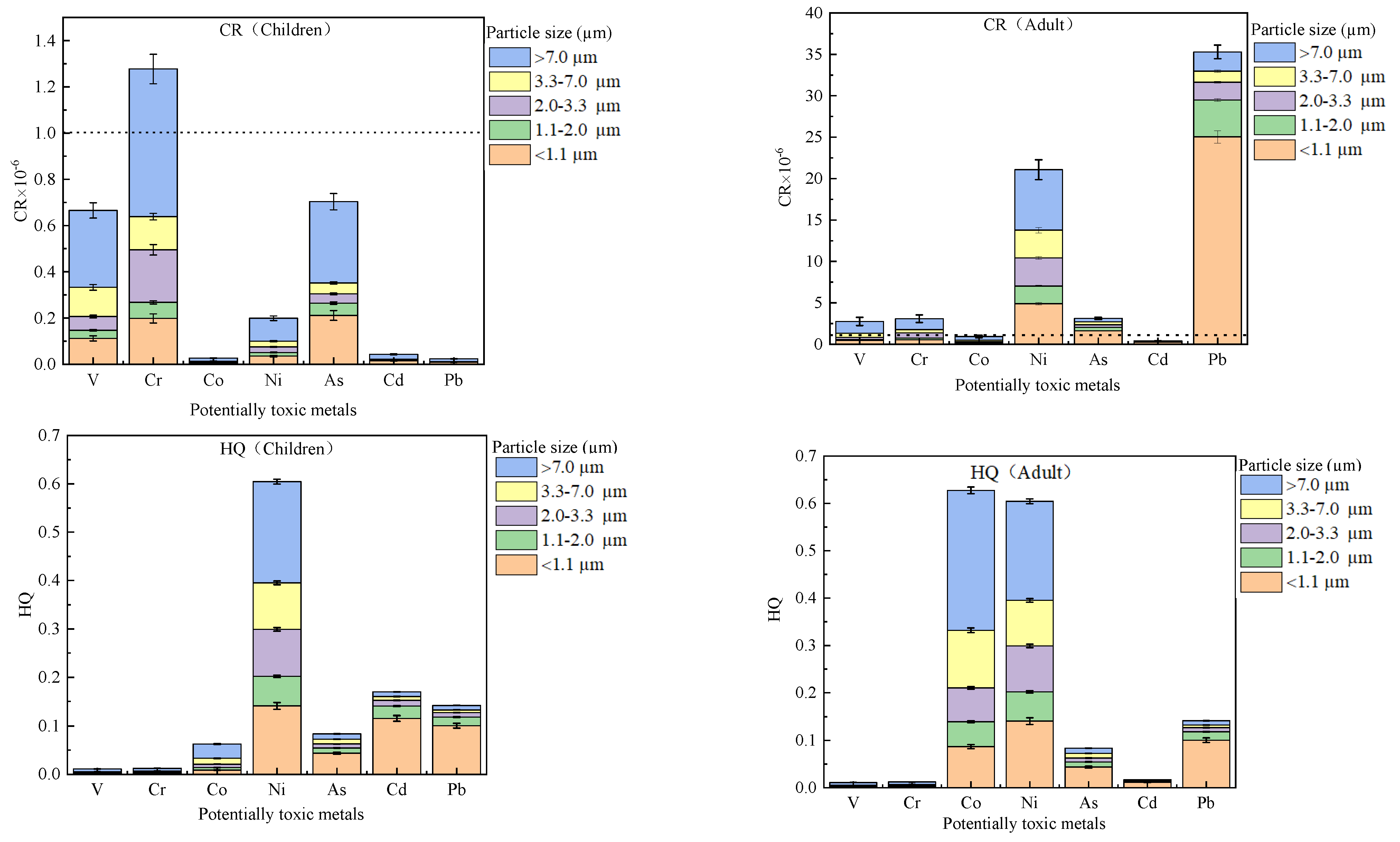
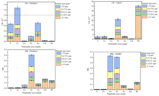
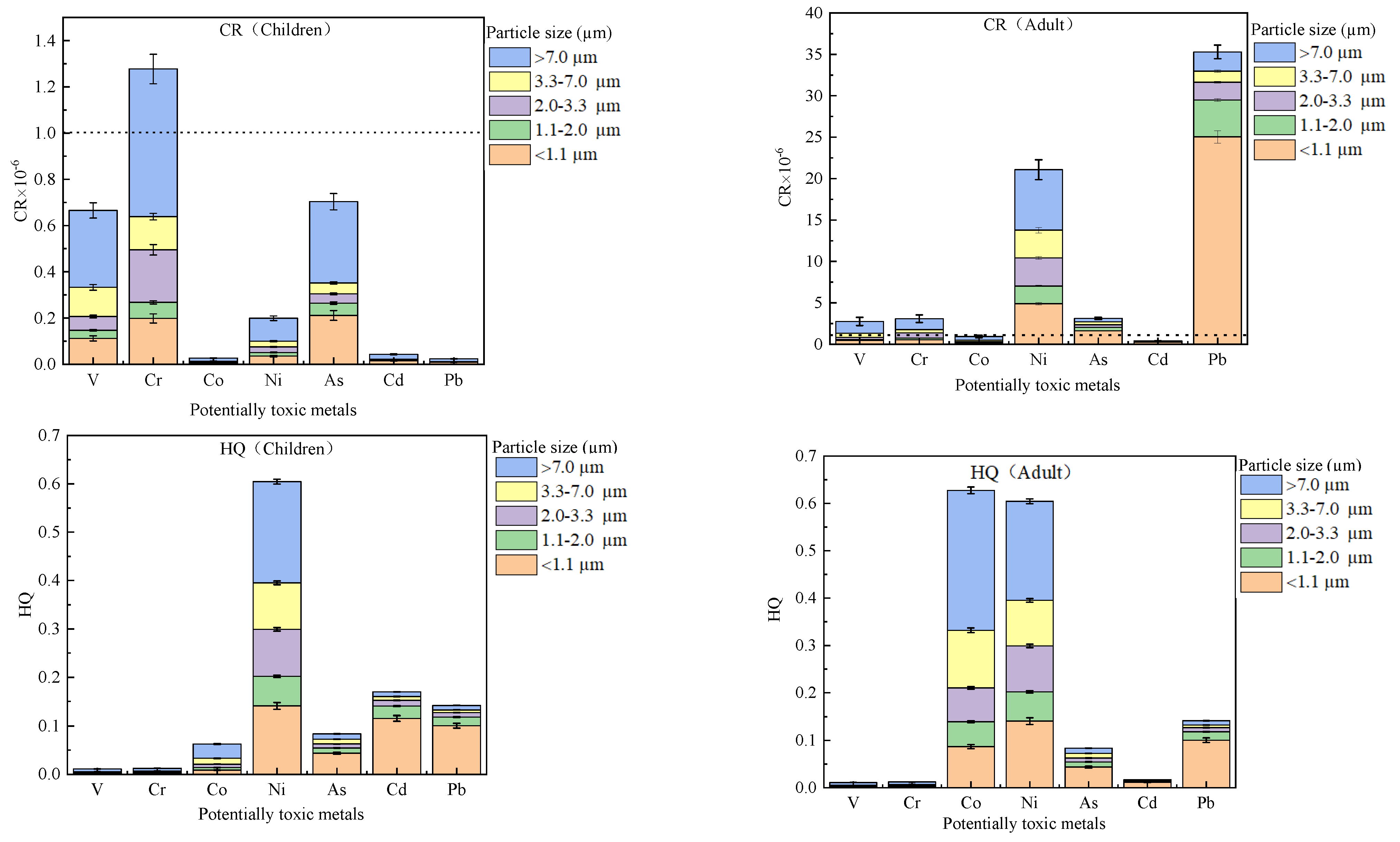
3.4.3. Health Risk Assessment
4. Conclusions
Supplementary Materials
Author Contributions
Funding
Acknowledgments
Conflicts of Interest
Abbreviations
| Airborne particulate matter | PM |
| Average lifetime | ATn |
| Beijing-Tianjin-Hebei | BTH |
| California Environmental Protection Agency | CALEPA |
| Carcinogenic risks | CR |
| Center for Environmental Science in Saitama | CESS |
| Crustal enrichment factors | CEFs |
| Exposure concentration | EC |
| Exposure time | ET |
| Exposure frequency | EF |
| Exposure duration | ED |
| Hazard quotient | HQ |
| High-volume air sampler | HV-RW |
| Inductively coupled plasma mass spectrometry | ICP-MS |
| International Agency for Research on Cancer | IARC |
| Integrated Risk Information System | IRIS |
| Ion Chromatography | IC |
| National Bureau of Statistics | NBS |
| Polytetrafluoroethylene | PTFE |
| Provisional Peer-Reviewed Toxicity Values | PPRTVs |
| Risk Assessment Information System | RAIS |
| Relative humidity | RH |
| Reference concentration | RfC |
| Temperature | T |
| Total suspended particles | TSP |
| Unit risk | UR |
| Ultrafine particles | UFPs |
| United States Environmental Protection Agency | USEPA |
| Wind speed | WS |
| Wind direction | WD |
| Water-soluble inorganic ionic species | WSIIs |
| World Health Organization | WHO |
References
- Wu, X.; Chen, B.; Wen, T.; Habib, A.; Shi, G. Concentrations and chemical compositions of PM10 during hazy and non-hazy days in Beijing. J. Environ. Sci. 2020, 87, 1–9. [Google Scholar] [CrossRef]
- Lv, D.; Chen, Y.; Zhu, T.; Li, T.; Shen, F.; Li, X.; Mehmood, T. The pollution characteristics of PM10 and PM2.5 during summer and winter in Beijing, Suning and Islamabad. Atmos. Pollut. Res. 2019, 10, 1159–1164. [Google Scholar] [CrossRef]
- Rohra, H.; Tiwari, R.; Khandelwal, N.; Taneja, A. Mass distribution and health risk assessment of size segregated particulate in variedindoor microenvironments of Agra, India—A case study. J. Urban Clim. 2018, 24, 139–152. [Google Scholar] [CrossRef]
- Fomba, K.W.; van Pinxteren, D.; Müller, K.; Spindler, G.; Herrmann, H. Assessment of trace metal levels in size-resolved particulate matter in the area of Leipzig. Atmos. Environ. 2018, 176, 60–70. [Google Scholar] [CrossRef]
- Zanobetti, A.; Austin, E.; Coull, B.A.; Schwartz, J.; Koutrakis, P. Health effects of multi-pollutant profiles. Environ. Int. 2014, 71, 13–19. [Google Scholar] [CrossRef]
- Manalis, N.; Grivas, G.; Protonotarios, V.; Moutsatsou, A.; Samara, C.; Chaloulakou, A. Toxic metal content of particulate matter (PM10), within the Greater Area of Athens. Chemosphere 2005, 60, 557–566. [Google Scholar] [CrossRef]
- Onder, S.; Dursun, S. Air borne heavy metal pollution of Cedrus libani (A. Rich.) in the city centre of Konya (Turkey). Atmos. Environ. 2006, 40, 1122–1133. [Google Scholar] [CrossRef]
- Sun, Y.; Zhuang, G.; Zhang, W.; Wang, Y.; Zhuang, Y. Characteristics and sources of lead pollution after phasing out leaded gasoline in Beijing. Atmos. Environ. 2006, 40, 2973–2985. [Google Scholar] [CrossRef]
- Lin, Y.-C.; Zhang, Y.-L.; Song, W.; Yang, X.; Fan, M.-Y. Specific sources of health risks caused by size-resolved PM-bound metals in a typical coal-burning city of northern China during the winter haze event. Sci. Total Environ. 2020, 734, 138651. [Google Scholar] [CrossRef] [PubMed]
- Zhang, J.; Hua, P.; Krebs, P. Influences of land use and antecedent dry-weather period on pollution level and ecological risk of heavy metals in road-deposited sediment. Environ. Pollut. 2017, 228, 158–168. [Google Scholar] [CrossRef] [PubMed]
- Hu, X.; Zhang, Y.; Ding, Z.; Wang, T.; Lian, H.; Sun, Y.; Wu, J. Bioaccessibility and health risk of arsenic and heavy metals (Cd, Co, Cr, Cu, Ni, Pb, Zn and Mn) in TSP and PM2.5 in Nanjing, China. Atmos. Environ. 2012, 57, 146–152. [Google Scholar] [CrossRef]
- Hu, Z.; Shi, Y.; Niu, H.; Cai, Y. Synthetic musk fragrances and heavy metals in snow samples of Beijing urban area, China. Atmos. Res. 2012, 104–105, 302–305. [Google Scholar] [CrossRef]
- Sen, I.S.; Bizimis, M.; Tripathi, S.N.; Paul, D. Lead isotopic fingerprinting of aerosols to characterize the sources of atmospheric lead in an industrial city of India. Atmos. Environ. 2016, 129, 27–33. [Google Scholar] [CrossRef]
- Verma, V.; Fang, T.; Guo, H.; King, L.; Bates, J.T.; Peltier, R.E.; Edgerton, E.S.; Russell, A.G.; Weber, R.J. Reactive oxygen species associated with water-soluble PM2.5 in the southeastern United States: Spatiotemporal trends and source apportionment. Atmos. Chem. Phys. Discuss. 2014, 14, 12915–12930. [Google Scholar] [CrossRef]
- Distefano, E.; Eiguren-Fernandez, A.; Delfino, R.J.; Sioutas, C.; Froines, J.R.; Cho, A.K. Determination of metal-based hydroxyl radical generating capacity of ambient and diesel exhaust particles. Inhal. Toxicol. 2009, 21, 731–738. [Google Scholar] [CrossRef] [PubMed]
- Wang, S.; Zhang, J. Blood lead levels in children, China. Environ. Res. 2006, 101, 412–418. [Google Scholar] [CrossRef] [PubMed]
- Mohanraj, R.; Azeez, P.A.; Priscilla, T. Heavy Metals in Airborne Particulate Matter of Urban Coimbatore. Arch. Environ. Contam. Toxicol. 2004, 47, 162–167. [Google Scholar] [CrossRef] [PubMed]
- Duan, J.; Tan, J.; Hao, J.; Chai, F. Size distribution, characteristics and sources of heavy metals in haze episod in Beijing. J. Environ. Sci. 2014, 26, 189–196. [Google Scholar] [CrossRef]
- National Bureau of Statistics (NBS) China Statistical Yearbook 2019. P.R. China; China Statistics Press: Beijing, China, 2019. Available online: http://www.stats.gov.cn/tjsj/ndsj/2019/indexeh.htm (accessed on 10 August 2020).
- Beijing Bureau of Statistics (NBS) Beijing Energy Statistical Yearbook 2018 P.R.; Beijing Statistics Press: Beijing, China, 2018. Available online: http://nj.tjj.beijing.gov.cn/nj/main/2018-tjnj/zk/indexeh.htm (accessed on 10 August 2020).
- Zhu, C.; Tian, H.; Hao, Y.; Gao, J.; Hao, J.; Wang, Y.; Hua, S.; Wang, K.; Liu, H. A high-resolution emission inventory of anthropogenic trace elements in Beijing-Tianjin-Hebei (BTH) region of China. Atmos. Environ. 2018, 191, 452–462. [Google Scholar] [CrossRef]
- Sun, Y.; Wang, Z.; Fu, P.; Jiang, Q.; Yang, T.; Li, J.; Ge, X. The impact of relative humidity on aerosol composition and evolution processes during wintertime in Beijing, China. Atmos. Environ. 2013, 77, 927–934. [Google Scholar] [CrossRef]
- Cui, Y.; Ji, D.; He, J.; Kong, S.; Wang, Y. In situ continuous observation of hourly elements in PM2.5 in urban Beijing, China: Occurrence levels, temporal variation, potential source regions and health risks. Atmos. Environ. 2020, 222, 117164. [Google Scholar] [CrossRef]
- Liu, J.; Chen, Y.; Cao, H.; Zhang, A. Burden of typical diseases attributed to the sources of PM2.5-bound toxic metals in Beijing: An integrated approach to source apportionment and QALYs. Environ. Int. 2019, 131, 105041. [Google Scholar] [CrossRef] [PubMed]
- Che, Y.; Zhang, J.; Zhao, C.; Fang, W.; Xue, W.; Yang, W.; Ji, D.; Dang, J.; Duan, J.; Sun, J.; et al. A study on the characteristics of ice nucleating particles concentration and aerosols and their relationship in spring in Beijing. Atmos. Res. 2021, 247, 105196. [Google Scholar] [CrossRef]
- Men, C.; Liu, R.; Xu, F.; Wang, Q.; Guo, L.; Shen, Z. Pollution characteristics, risk assessment, and source apportionment of heavy metals in road dust in Beijing, China. Sci. Total Environ. 2018, 612, 138–147. [Google Scholar] [CrossRef]
- Yao, L.; Li, T.; Xu, M.; Xu, Y. How the landscape features of urban green space impact seasonal land surface temperatures at a city-block-scale: An urban heat island study in Beijing, China. Urban For. Urban Green. 2020, 52, 126704. [Google Scholar] [CrossRef]
- Xu, W.; Wen, Z.; Shang, B.; Dore, A.J.; Tang, A.; Xia, X.; Zheng, A.; Han, M.; Zhang, L.; Zhao, Y.; et al. Precipitation chemistry and atmospheric nitrogen deposition at a rural site in Beijing, China. Atmos. Environ. 2020, 223, 117253. [Google Scholar] [CrossRef]
- Wang, W.; Zhang, W.; Dong, S.; Yonemachi, S.; Lu, S.; Wang, Q. Characterization, Pollution Sources, and Health Risk of Ionic and Elemental Constituents in PM2.5 of Wuhan, Central China. Atmosphere 2020, 11, 760. [Google Scholar] [CrossRef]
- Rovelli, S.; Cattaneo, A.; Nischkauer, W.; Borghi, F.; Spinazzè, A.; Keller, M.; Campagnolo, D.; Limbeck, A.; Cavallo, D.M. Toxic trace metals in size-segregated fine particulate matter: Mass concentration, respiratory deposition, and risk assessment. Environ. Pollut. 2020, 266, 115242. [Google Scholar] [CrossRef]
- Rudnick, R.L.; Gao, S. Composition of the Continental Crust. Crust 2003, 3, 1–64. [Google Scholar]
- Malandrino, M.; Casazza, M.; Abollino, O.; Minero, C.; Maurino, V. Size resolved metal distribution in the PM matter of the city of Turin (Italy). Chemosphere 2016, 147, 477–489. [Google Scholar] [CrossRef] [PubMed]
- Gharaibeh, A.A.; El-Rjoob, A.-W.O.; Harb, M.K. Determination of selected heavy metals in air samples from the northern part of Jordan. Environ. Monit. Assess. 2008, 160, 425–429. [Google Scholar] [CrossRef] [PubMed]
- Chen, C.-R.; Lai, H.-C.; Liao, M.-I.; Hsiao, M.-C.; Ma, H.-W. Health risk assessment of trace elements of ambient PM2.5 under monsoon patterns. Chemosphere 2021, 264, 128462. [Google Scholar] [CrossRef] [PubMed]
- Duan, X.; Yan, Y.; Li, R.; Deng, M.; Hu, D.; Peng, L. Seasonal variations, source apportionment, and health risk assessment of trace metals in PM2.5 in the typical industrial city of changzhi, China. Atmos. Pollut. Res. 2021, 12, 365–374. [Google Scholar] [CrossRef]
- Chen, L.C.; Lippmann, M. Effects of Metals within Ambient Air Particulate Matter (PM) on Human Health. Inhal. Toxicol. 2009, 21, 1–31. [Google Scholar] [CrossRef]
- Betha, R.; Behera, S.N.; Balasubramanian, R. 2013 Southeast Asian Smoke Haze: Fractionation of Particulate-Bound Elements and Associated Health Risk. Environ. Sci. Technol. 2014, 48, 4327–4335. [Google Scholar] [CrossRef]
- US, EPA. Exposure Factors Handbook 2011 Edition (Final Report); US Environmental Protection Agency: Washington, DC, USA, 2011. [Google Scholar]
- Sun, Y.; Hu, X.; Wu, J.; Lian, H.; Chen, Y. Fractionation and health risks of atmospheric particle-bound As and heavy metals in summer and winter. Sci. Total Environ. 2014, 493, 487–494. [Google Scholar] [CrossRef]
- Liu, J.; Chen, Y.; Chao, S.; Cao, H.; Zhang, A.; Yang, Y. Emission control priority of PM2.5-bound heavy metals in different seasons: A comprehensive analysis from health risk perspective. Sci. Total Environ. 2018, 644, 20–30. [Google Scholar] [CrossRef] [PubMed]
- Risk Assessment Guidance for Superfund (RAGS): Part. A Interim Final, 1; Office of Emergency and Remedial Response: Washington, DC, USA. Available online: http://nj.tjj.beijing.gov.cn/nj/main/2018-tjnj/zk/indexeh.htm (accessed on 20 August 2020).
- Zhang, J.; Tong, L.; Huang, Z.; Zhang, H.; He, M.; Dai, X.; Zheng, J.; Xiao, H. Seasonal variation and size distributions of water-soluble inorganic ions and carbonaceous aerosols at a coastal site in Ningbo, China. Sci. Total Environ. 2018, 639, 793–803. [Google Scholar] [CrossRef]
- Van Do, T.; Vuong, Q.T.; Choi, S.-D. Day–night variation and size distribution of water-soluble inorganic ions in particulate matter in Ulsan, South Korea. Atmos. Res. 2021, 247, 105145. [Google Scholar] [CrossRef]
- Yao, Q.; Liu, Z.; Han, S.; Cai, Z.; Liu, J.; Hao, T.; Liu, J.; Huang, X.; Wang, Y. Seasonal variation and secondary formation of size-segregated aerosol water-soluble inorganic ions in a coast megacity of North China Plain. Environ. Sci. Pollut. Res. 2020, 27, 26750–26762. [Google Scholar] [CrossRef]
- Verla, E.N.; Verla, A.W.; Enyoh, C.E. Finding a relationship between physicochemical characteristics and ionic composition of River Nworie, Imo State, Nigeria. PeerJ Anal. Chem. 2020, 2, e5. [Google Scholar] [CrossRef]
- Carreras, H.A.; Calderón-Segura, M.E.; Gómez-Arroyo, S.; Murillo-Tovar, M.A.; Amador-Muñoz, O. Composition and mutagenicity of PAHs associated with urban airborne particles in Córdoba, Argentina. Environ. Pollut. 2013, 178, 403–410. [Google Scholar] [CrossRef]
- Li, Y.; Ma, Z.; Zheng, C.; Shang, Y. Ambient temperature enhanced acute cardiovascular-respiratory mortality effects of PM2.5 in Beijing, China. Int. J. Biometeorol. 2015, 59, 1761–1770. [Google Scholar] [CrossRef] [PubMed]
- Gilli, G.; Traversi, D.; Rovere, R.; Pignata, C.; Schiliro, T. Airborne particulate matter: Ionic species role in different Italian sites. Environ. Res. 2007, 103, 1–8. [Google Scholar] [CrossRef]
- Mazidi, M.; Speakman, J.R. Ambient particulate air pollution (PM2.5) is associated with the ratio of type 2 diabetes to obesity. Sci. Rep. 2017, 7, 9144. [Google Scholar] [CrossRef] [PubMed]
- Zhang, X.; Xu, Y.; Su, J. Temporal and spatial characteristics of particulate matters in metro stations of Shanghai, China. Build. Environ. 2020, 179, 106956. [Google Scholar] [CrossRef]
- Wang, Y.; Zhuang, G.; Tang, A.; Yuan, H.; Sun, Y.; Chen, S.; Zheng, A. The ion chemistry and the source of PM2.5 aerosol in Beijing. Atmos. Environ. 2005, 39, 3771–3784. [Google Scholar] [CrossRef]
- Hu, Y.; Cheng, H. A method for apportionment of natural and anthropogenic contributions to heavy metal loadings in the surface soils across large-scale regions. Environ. Pollut. 2016, 214, 400–409. [Google Scholar] [CrossRef]
- Shi, G.; Chen, Z.; Bi, C.; Wang, L.; Teng, J.; Li, Y.; Xu, S. A comparative study of health risk of potentially toxic metals in urban and suburban road dust in the most populated city of China. Atmos. Environ. 2011, 45, 764–771. [Google Scholar] [CrossRef]
- Al-Hemoud, A.; Gasana, J.; Al-Dabbous, A.; Alajeel, A.; Al-Shatti, A.; Behbehani, W.; Malak, M. Exposure levels of air pollution (PM2.5) and associated health risk in Kuwait. Environ. Res. 2019, 179, 108730. [Google Scholar] [CrossRef]
- Tian, H.; Cheng, K.; Wang, Y.; Zhao, D.; Lu, L.; Jia, W.; Hao, J. Temporal and spatial variation characteristics of atmospheric emissions of Cd, Cr, and Pb from coal in China. Atmos. Environ. 2012, 50, 157–163. [Google Scholar] [CrossRef]
- Dall’Osto, M.; Querol, X.; Amato, F.; Karanasiou, A.; Lucarelli, F.; Nava, S.; Calzolai, G.; Chiari, M. Hourly elemental concentrations in PM2.5 aerosols sampled simultaneously at urban background and road site during SAPUSS–diurnal variations and PMF receptor modelling. Atmos. Chem. Phys. Discuss. 2013, 13, 4375–4392. [Google Scholar] [CrossRef]
- Tao, J.; Gao, J.; Zhang, L.; Zhang, R.; Che, H.; Zhang, Z.; Lin, Z.; Jing, J.; Cao, J.; Hsu, S.-C. PM2.5 pollution in a megacity of southwest China: Source apportionment and implication. Atmos. Chem. Phys. Discuss. 2014, 14, 8679–8699. [Google Scholar] [CrossRef]
- Shao, P.; Tian, H.; Sun, Y.; Liu, H.; Wu, B.; Liu, S. Characterizing remarkable changes of severe haze events and chemical compositions in multi-size airborne particles (PM1, PM2.5 and PM10) from January 2013 to 2016–2017 winter in Beijing, China. Atmos. Environ. 2018, 189, 133–144. [Google Scholar] [CrossRef]
- Mugica-Álvarez, V.; Figueroalara, J.; Romero-Romo, M.; Sepulvedasanchez, J.D.; López-Moreno, T. Concentrations and properties of airborne particles in the Mexico City subway system. Atmos. Environ. 2012, 49, 284–293. [Google Scholar] [CrossRef]
- Taghvaee, S.; Sowlat, M.H.; Mousavi, A.; Hassanvand, M.S.; Yunesian, M.; Naddafi, K.; Sioutas, C. Source apportionment of ambient PM2.5 in two locations in central Tehran using the Positive Matrix Factorization (PMF) model. Sci. Total Environ. 2018, 628–629, 672–686. [Google Scholar] [CrossRef]
- Amato, F.; Viana, M.; Richard, A.; Furger, M.; Prévôt, A.S.H.; Nava, S.; Lucarelli, F.; Bukowiecki, N.; Alastuey, A.; Reche, C.; et al. Size and time-resolved roadside enrichment of atmospheric particulate pollutants. Atmos. Chem. Phys. Discuss. 2011, 11, 2917–2931. [Google Scholar] [CrossRef]
- Christian, T.J.; Yokelson, R.J.; Cárdenas, B.; Molina, L.T.; Engling, G.; Hsu, S.-C. Trace gas and particle emissions from domestic and industrial biofuel use and garbage burning in central Mexico. Atmos. Chem. Phys. Discuss. 2010, 10, 565–584. [Google Scholar] [CrossRef]
- Can-Terzi, B.; Ficici, M.; Tecer, L.H.; Sofuoglu, S.C. Fine and coarse particulate matter, trace element content, and associated health risks considering respiratory deposition for Ergene Basin, Thrace. Sci. Total Environ. 2021, 754, 142026. [Google Scholar] [CrossRef]
- Wu, Y.; Lu, B.; Zhu, X.; Wang, A.; Yang, M.; Gu, S.; Wang, X.; Leng, P.; Zierold, K.M.; Li, X.; et al. Seasonal Variations, Source Apportionment, and Health Risk Assessment of Heavy Metals in PM2.5 in Ningbo, China. Aerosol Air Qual. Res. 2019, 19, 2083–2092. [Google Scholar] [CrossRef]










| Parameter | Definition | Unit | Value | References | |
|---|---|---|---|---|---|
| Child | Adult | ||||
| Exposure time | ET | h day−1 | 24 | 24 | [39] |
| Exposure frequency | EF | days year−1 | 350 | 350 | [12] |
| Exposure duration | ED | year | 6 | 24 | [36] |
| Average lifetime | ATn | hours | non-carcinogenic AT = ED × 365 (day year−1) × 24 (hour day−1) carcinogenic AT = 80 × 365 (day year−1) × 24 (hour day−1) [40] | ||
| Element | Unit Risk (UR) (μg m−3)−1 | References | RfC (mg m−3) | References |
|---|---|---|---|---|
| V | 8.3 × 10−3 | PPRTVs a | 1.0 × 10−4 | |
| Cr6+ | 1.2 × 10−2 | RAIS b | 1.0 × 10−4 | USEPAd |
| Co | 9.0 × 10−3 | PPRTVs a | 6.0 × 10−6 | RAIS b |
| Ni | 2.4 × 10−4 | RAIS b | 1.4 × 10−5 | CALEPA c |
| As | 4.3 × 10−3 | RAIS b | 1.5 × 10−5 | CALEPA c |
| Cd | 1.8 × 10−3 | RAIS b | 1.0 × 10−5 | USEPAd |
| Pb | 1.2 × 10−5 | CALEPA c |
| Size Range | T (°C) | RH (%) | WS (km h−1) | SO2 (μg m−3) | CO (mg m−3) | NO2 (μg m−3) | O3-8h (μg m−3) |
|---|---|---|---|---|---|---|---|
| <1.1 µm | 0.43 | 0.34 | −0.37 | 0.58 | 0.63 | 0.58 | −0.60 |
| 1.1–2.0 µm | 0.64 | 0.58 | −0.40 | 0.72 | 0.74 | 0.71 | −0.67 |
| 2.0–3.3 µm | 0.31 | 0.85 | −0.37 | 0.58 | 0.49 | 0.36 | −0.44 |
| 3.3–7.0 µm | 0.85 | 0.52 | −0.65 | 0.75 | 0.79 | 0.76 | −0.61 |
| >7.0 µm | 0.59 | 0.32 | −0.41 | 0.66 | 0.74 | 0.76 | −0.74 |
| <2.0 µm | 0.55 | 0.46 | −0.43 | 0.68 | 0.71 | 0.66 | −0.67 |
| >2.0 µm | 0.70 | 0.83 | −0.61 | 0.86 | 0.85 | 0.76 | −0.76 |
Publisher’s Note: MDPI stays neutral with regard to jurisdictional claims in published maps and institutional affiliations. |
© 2021 by the authors. Licensee MDPI, Basel, Switzerland. This article is an open access article distributed under the terms and conditions of the Creative Commons Attribution (CC BY) license (http://creativecommons.org/licenses/by/4.0/).
Share and Cite
Xiao, K.; Qin, A.; Wang, W.; Lu, S.; Wang, Q. Study on the Characteristics of Size-Segregated Particulate Water-Soluble Inorganic Ions and Potentially Toxic Metals during Wintertime in a High Population Residential Area in Beijing, China. Processes 2021, 9, 552. https://doi.org/10.3390/pr9030552
Xiao K, Qin A, Wang W, Lu S, Wang Q. Study on the Characteristics of Size-Segregated Particulate Water-Soluble Inorganic Ions and Potentially Toxic Metals during Wintertime in a High Population Residential Area in Beijing, China. Processes. 2021; 9(3):552. https://doi.org/10.3390/pr9030552
Chicago/Turabian StyleXiao, Kai, Ao Qin, Weiqian Wang, Senlin Lu, and Qingyue Wang. 2021. "Study on the Characteristics of Size-Segregated Particulate Water-Soluble Inorganic Ions and Potentially Toxic Metals during Wintertime in a High Population Residential Area in Beijing, China" Processes 9, no. 3: 552. https://doi.org/10.3390/pr9030552
APA StyleXiao, K., Qin, A., Wang, W., Lu, S., & Wang, Q. (2021). Study on the Characteristics of Size-Segregated Particulate Water-Soluble Inorganic Ions and Potentially Toxic Metals during Wintertime in a High Population Residential Area in Beijing, China. Processes, 9(3), 552. https://doi.org/10.3390/pr9030552

