Dynamic Prediction of Chilo suppressalis Occurrence in Rice Based on Deep Learning
Abstract
:1. Introduction
- (1)
- Our study suggests that combining related pest time series data with the ground meteorological data can improve the model’s prediction accuracy as compared to previous studies using only the ground meteorological data;
- (2)
- Combining weather and associated pest time series with deep learning-based DeepAR models can provide more accurate predictions than the traditional MLR and the machine learning GBDT. These findings could be utilized to support an integrated pest management (IPM) program to help farmers reduce the use of pesticides and minimize crop loss in rice paddy fields.
2. Materials and Methods
2.1. Study Areas
- Areas have a high number of insects;
- Areas have a long history of rice cultivation;
- Area characteristics can represent different regions in Hunan Province, China.
2.2. Data Collection
2.2.1. Pest Data
2.2.2. Meteorological Data
2.2.3. Time Features
2.2.4. Data Preprocessing
2.3. Methods
2.3.1. Datasets Preparation
2.3.2. Model
Multiple Linear Regression (MLR)
Gradient Boosting Decision Tree (GBDT)
DeepAR Model
2.3.3. Evaluation Metrics
Coefficient of Determination (R2)
Mean Absolute Error (MAE)
Symmetric Mean Absolute Percentage Error (sMAPE)
Root Mean Square Error (RMSE)
3. Results
3.1. Relationship between Climatic Variables, Time Series of Related Pests, and Time Features, and the SRSB Light Trap Catch
3.2. Multiple Linear Regression Prediction
3.3. GBDT Model Prediction
3.4. DeepAR Model Prediction
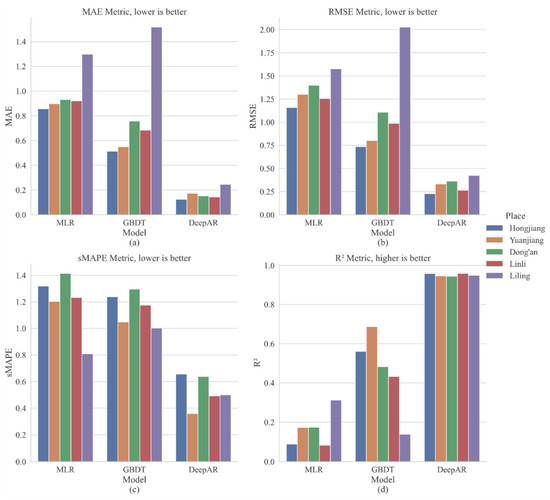
3.5. MLR, GBDT, and DeepAR Model Validation and Performance Comparison
4. Discussion
5. Conclusions
Author Contributions
Funding
Institutional Review Board Statement
Informed Consent Statement
Data Availability Statement
Conflicts of Interest
References
- Feng, Q.L. Physiology and interaction of insects with environmental factors. J. Integr. Agric. 2020, 19, 1411–1416. [Google Scholar] [CrossRef]
- Sun, Y.; Xu, L.; Chen, Q.; Qin, W.; Huang, S.; Jiang, Y.; Qin, H. Chlorantraniliprole resistance and its biochemical and new molecular target mechanisms in laboratory and field strains of Chilo suppressalis (Walker). Pest Manag. Sci. 2018, 74, 1416–1423. [Google Scholar] [CrossRef]
- Muralidharan, K.; Pasalu, I.C. Assessments of crop losses in rice ecosystems due to stem borer damage (Lepidoptera: Pyralidae). Crop Prot. 2006, 25, 409–417. [Google Scholar] [CrossRef]
- Chen, M.; Shelton, A.; Ye, G. Insect-Resistant Genetically Modified Rice in China: From Research to Commercialization. Annu. Rev. Entomol. 2011, 56, 81–101. [Google Scholar] [CrossRef] [Green Version]
- He, Y.; Zhang, J.; Gao, C.; Su, J.; Chen, J.; Shen, J. Regression analysis of dynamics of insecticide resistance in field populations of Chilo suppressalis (Lepidoptera: Crambidae) during 2002–2011 in China. J. Econ. Entomol. 2013, 106, 1832–1837. [Google Scholar] [CrossRef]
- Wang, Y.N.; Ke, K.Q.; Li, Y.H.; Han, L.Z.; Liu, Y.M.; Hua, H.X.; Peng, Y.F. Comparison of three transgenic Bt rice lines for insecticidal protein expression and resistance against a target pest, Chilo suppressalis (Lepidoptera: Crambidae). Insect Sci. 2016, 23, 78–87. [Google Scholar] [CrossRef] [PubMed]
- Qiang, C.K.; Du, Y.Z.; Yu, L.Y.; Qin, Y.H.; Feng, W.J. Effects of temperature stress on physiological indices of Chilo suppressalis Walker (Lepidoptera: Pyralidae) diapause larvae. Chin. J. Appl. Ecol. 2012, 23, 1365–1369. [Google Scholar]
- Skawsang, S.; Nagai, M.; Tripathi, N.K.; Soni, P. Predicting Rice Pest Population Occurrence with Satellite-Derived Crop Phenology, Ground Meteorological Observation, and Machine Learning: A Case Study for the Central Plain of Thailand. Appl. Sci. 2019, 9, 4846. [Google Scholar] [CrossRef] [Green Version]
- Aparecido, L.; Rolim, G.; De Moraes, J.R.D.S.; Costa, C.; Souza, P. Machine learning algorithms for forecasting the incidence of Coffea arabica pests and diseases. Int. J. Biometeorol. 2020, 64, 671–688. [Google Scholar] [CrossRef]
- Holloway, P.; Kudenko, D.; Bell, J.R. Dynamic selection of environmental variables to improve the prediction of aphid phenology: A machine learning approach. Ecol. Indic. 2018, 88, 512–521. [Google Scholar] [CrossRef] [Green Version]
- Narayanasamy, M.; Kennedy, J.; Geethalakshmi, V. Weather Based Pest Forewarning Model for Major Insect Pests of Rice—An Effective Way for Insect Pest Prediction. Annu. Res. Rev. Biol. 2017, 21, 1–13. [Google Scholar] [CrossRef]
- Poggi, S.; Le Cointe, R.; Riou, J.; Larroudé, P.; Thibord, J.; Plantegenest, M. Relative influence of climate and agroenvironmental factors on wireworm damage risk in maize crops. J. Pest Sci. 2018, 91, 585–599. [Google Scholar] [CrossRef]
- Gu, Y.H.; Yoo, S.J.; Park, C.J.; Kim, Y.H.; Park, S.K.; Kim, J.S.; Lim, J.H. BLITE-SVR: New forecasting model for late blight on potato using support-vector regression. Comput. Electron. Agric. 2016, 130, 169–176. [Google Scholar] [CrossRef]
- Ni, T.; Zhai, J. A matrix-free smoothing algorithm for large-scale support vector machines. Inf. Sci. 2016, 358, 29–43. [Google Scholar] [CrossRef]
- Feng, S.; Zhou, H.; Dong, H. Using deep neural network with small dataset to predict material defects. Mater. Des. 2019, 162, 300–310. [Google Scholar] [CrossRef]
- Salman, S.; Liu, X. Overfitting Mechanism and Avoidance in Deep Neural Networks. arXiv 2019, arXiv:1901.06566. [Google Scholar]
- Bengio, Y. Learning Deep Architectures for AI. Found. Trends Mach. Learn. 2009, 2, 1–127. [Google Scholar] [CrossRef]
- Schmidhuber, J. Deep learning in neural networks: An overview. Neural Netw. 2015, 61, 85–117. [Google Scholar] [CrossRef] [Green Version]
- Bengio, Y.; Courville, A.; Vincent, P. Representation Learning: A Review and New Perspectives. IEEE T. Pattern Anal. 2013, 35, 1798–1828. [Google Scholar] [CrossRef] [PubMed]
- Deng, L.; Yu, D. Deep Learning: Methods and Applications. Found. Trends Signal Process. 2014, 7, 197–387. [Google Scholar] [CrossRef] [Green Version]
- Lecun, Y.; Bengio, Y.; Hinton, G. Deep learning. Nature 2015, 521, 436–444. [Google Scholar] [CrossRef] [PubMed]
- Luo, X.; Li, J.; Chen, M.; Yang, X.; Li, X. Ophthalmic Disease Detection via Deep Learning with a Novel Mixture Loss Function. IEEE J. Biomed. Health Inform. 2021, 25, 3332–3339. [Google Scholar] [CrossRef]
- Chen, M.; Li, Y.; Luo, X.; Wang, W.; Wang, L.; Zhao, W. A Novel Human Activity Recognition Scheme for Smart Health Using Multilayer Extreme Learning Machine. IEEE Internet Things J. 2019, 6, 1410–1418. [Google Scholar] [CrossRef]
- Sun, J.; Luo, X.; Gao, H.; Wang, W.; Gao, Y.; Yang, X. Categorizing Malware via A Word2Vec-based Temporal Convolutional Network Scheme. J. Cloud Comput. 2020, 9, 1–14. [Google Scholar] [CrossRef]
- Luo, X.; Sun, J.K.; Wang, L.; Wang, W.P.; Zhao, W.B.; Wu, J.S.; Wang, J.H.; Zhang, Z.J. Short-Term Wind Speed Forecasting via Stacked Extreme Learning Machine With Generalized Correntropy. IEEE Trans. Ind. Inform. 2018, 14, 4963–4971. [Google Scholar] [CrossRef] [Green Version]
- Wahyono, T.; Yaya, H.; Haryono, S.; Saleh, A.B. Enhanced lstm multivariate time series forecasting for crop pest attack prediction. ICIC Express Lett. 2020, 10, 943–949. [Google Scholar]
- Yan, Y.; Feng, C.; Wan, M.P.; Chang, K.T. Multiple Regression and Artificial Neural Network for the Prediction of Crop Pest Risks; Springer International Publishing: Cham, Switzerland, 2015; pp. 73–84. ISBN 1865-1348. [Google Scholar]
- Yamamura, K.; Yokozawa, M.; Nishimori, M.; Ueda, Y.; Yokosuka, T. How to analyze long-term insect population dynamics under climate change: 50-year data of three insect pests in paddy fields. Popul. Ecol. 2006, 48, 31–48. [Google Scholar] [CrossRef]
- Ghani, I.M.M.; Ahmad, S. Stepwise Multiple Regression Method to Forecast Fish Landing. Procedia-Soc. Behav. Sci. 2010, 8, 549–554. [Google Scholar] [CrossRef] [Green Version]
- Amiri, S.S.; Mottahedi, M.; Asadi, S. Using multiple regression analysis to develop energy consumption indicators for commercial buildings in the U.S. Energy Build. 2015, 109, 209–216. [Google Scholar] [CrossRef]
- Friedman, J.H. Greedy Function Approximation: A Gradient Boosting Machine. Ann. Stat. 2001, 29, 1189–1232. [Google Scholar] [CrossRef]
- Picard, R.R.; Cook, R.D. Cross-Validation of Regression Models. Publ. Am. Stat. Assoc. 1984, 79, 575–583. [Google Scholar] [CrossRef]
- Hochreiter, S.; Schmidhuber, J. Long Short-Term Memory. Neural Comput. 1997, 9, 1735–1780. [Google Scholar] [CrossRef]
- Hochreiter, S.; Schmidhuber, J. LSTM can solve hard long time lag problems. In Proceedings of the 9th International Conference on Neural Information Processing Systems, Denver, CO, USA, 3–5 December 1996; pp. 473–479. [Google Scholar]
- Graves, A. Generating Sequences With Recurrent Neural Networks. arXiv 2013, arXiv:1308.0850. [Google Scholar]
- Van den Oord, A.; Dieleman, S.; Zen, H.; Simonyan, K.; Vinyals, O.; Graves, A.; Kalchbrenner, N.; Senior, A.; Kavukcuoglu, K. WaveNet: A Generative Model for Raw Audio. arXiv 2016, arXiv:1609.03499. [Google Scholar]
- Zaremba, W.; Sutskever, I.; Vinyals, O. Recurrent Neural Network Regularization. arXiv 2014, arXiv:1409.2329. [Google Scholar]
- Salinas, D.; Flunkert, V.; Gasthaus, J.; Januschowski, T. DeepAR: Probabilistic forecasting with autoregressive recurrent networks. Int. J. Forecast. 2020, 36, 1181–1191. [Google Scholar] [CrossRef]
- Draper, N.; Smith, H. Applied Regression Analysis, 2nd ed.; John Wiley: New York, NY, USA, 1981; ISBN 978-0-471-02995-3. [Google Scholar]
- Glantz, S.A.V.; Slinker, B.K. Primer of Applied Regression and Analysis of Variance; McGraw-Hill: New York, NY, USA, 1990; ISBN 0070234078. [Google Scholar]
- Carpenter, R.G. Principles and procedures of statistics, with special reference to the biological sciences. Eugen. Rev. 1960, 52, 172–173. [Google Scholar]
- Chicco, D.; Warrens, M.J.; Jurman, G. The coefficient of determination R-squared is more informative than SMAPE, MAE, MAPE, MSE and RMSE in regression analysis evaluation. PeerJ Comput. Sci. 2021, 7, e623. [Google Scholar] [CrossRef]
- Time Series Prediction—Telesens. Available online: https://www.telesens.co/2019/06/08/time-series-prediction/ (accessed on 21 September 2021).







| Number | Name | Abbreviation | Latin Name |
|---|---|---|---|
| 0 | rice planthopper | RPH | - |
| 1 | paddy leaf roller | PLR | Cnaphalocrocis medinalis |
| 2 | striped rice stem borer | SRSB | Chilo suppressalis |
| 3 | pink sugarcane borer | PSB | Sesamia grisescens |
| 4 | yellow stem borer | YSB | Scirpophaga incertulas |
| 5 | rice green semilooper | RGS | Naranga diffusa |
| 6 | rice plant weevil | RPW | Echinocnemus squameus |
| 7 | rice water weevil | RWW | Lissorhoptrus oryzophilus |
| 8 | gall midge | GM | Orseoia oryzae |
| 9 | paddy armyworm | PA | Mythimna separata |
| 10 | - | Other * | - |
| Number | Type | Abbreviation | Unit | Number | Type | Abbreviation | Unit |
|---|---|---|---|---|---|---|---|
| 0 | Temperature | TEMP | °C | 10 | Precipitation | PRCP | mm |
| 1 | Maximum temperature | Tmax | °C | 11 | Evaporation | EVP | mm |
| 2 | Minimum temperature | Tmin | °C | 12 | Atmospheric pressure | AP | pa |
| 3 | Average relative humidity | RH | % | 13 | Maximum atmospheric pressure | APmax | pa |
| 4 | Minimum relative humidity | RHmin | % | 14 | Minimum atmospheric pressure | APmin | pa |
| 5 | Wind speed | WDSP | m/s | 15 | Skin temperature | SKT | °C |
| 6 | Maximum wind speed | MXWDSP | m/s | 16 | Maximum skin temperature | SKTmax | °C |
| 7 | Maximum wind direction | MXWDD | 16 directions | 17 | Minimum skin temperature | SKTmin | °C |
| 8 | Extreme wind speed | EXWDSP | m/s | 18 | Sunshine duration | SDD | H |
| 9 | Extreme wind direction | EXWDD | 16 directions |
| Number | Study Area | Meteorological Stations |
|---|---|---|
| 0 | Liling | Zhuzhou |
| 1 | Hongjiang | Zhijiang Dong Autonomous County |
| 2 | Dong’An | Lingling |
| 3 | Yuanjiang | Yuanjiang |
| 4 | Linli | Shimen |
| Weather Variables | Time Series of Related Pests | Time Features | |
|---|---|---|---|
| TEMP | EVP | RPH | Year |
| RH | AP | PLR | season |
| RHmin | PRCP | SRSB | month |
| WDSP | EXWDD | PSB | weeks |
| MXWDSP | EXWDSP | YSB | - |
| MXWDD | SDD | - | - |
| SKTmax | - | - | - |
| Site | Place | Input Variable | Output Variable | Month (Yearly) | Training Data | Testing Data |
|---|---|---|---|---|---|---|
| A | Hongjiang | Weather variables, Time series of related pests, and Time features | Chilo suppressalis (SRSB) | March to October | 2000 to 2018 | 2019 to 2020 |
| B | Yuanjiang | 2000 to 2018 | 2019 to 2020 | |||
| C | Dong’an | 2000 to 2018 | 2019 to 2020 | |||
| D | Linli | 2000 to 2018 | 2019 to 2020 | |||
| E | Liling | 2010 to 2019 | 2020 |
| Variable Types | External Variables | Correlation Coefficient (R) | Sig. (p > |t|) |
|---|---|---|---|
| Related pests | RPH | 0.458 ± 0.111 | 0.008 ± 0.011 * |
| PLR | 0.368 ± 0.068 | 0.123 ± 0.179 | |
| PSB | 0.271 ± 0.098 | 0.000 ± 0.000 ** | |
| YSB | 0.086 ± 0.029 | 0.119 ± 0.265 | |
| Weather | TEMP | 0.449 ± 0.046 | 0.213 ± 0.374 |
| RH | −0.031 ± 0.047 | 0.048 ± 0.235 | |
| RHmin | −0.041 ± 0.064 | 0.082 ± 0.133 | |
| WDSP | 0.049 ± 0.136 | 0.052 ± 0.048 | |
| MXWDSP | 0.161 ± 0.083 | 0.121 ± 0.131 | |
| MXWDD | 0.086 ± 0.161 | 0.335 ± 0.364 | |
| EXWDSP | 0.175 ± 0.061 | 0.352 ± 0.355 | |
| EXWDD | 0.098 ± 0.155 | 0.334 ± 0.291 | |
| SDD | 0.282 ± 0.013 | 0.112 ± 0.174 | |
| PRCP | 0.091 ± 0.039 | 0.090 ± 0.121 | |
| EVP | 0.409 ± 0.033 | 0.073 ± 0.163 | |
| AP | −0.445 ± 0.070 | 0.013 ± 0.029 * | |
| SKT | 0.469 ± 0.050 | 0.208 ±0.209 | |
| Time | Weeks | 0.112 ± 0.042 | 0.562 ± 0.264 |
| Month | 0.113 ± 0.041 | 0.477 ± 0.238 | |
| Year | 0.146 ± 0.087 | 0.191 ± 0.418 | |
| Season | −0.247 ± 0.079 | 0.001 ± 0.001 * |
| Model | Variables | Coef | Std Err | t | VIF < 3 | |
|---|---|---|---|---|---|---|
| Weather | Const. | 708.1329 | 11.604 | 61.026 | 0.000 | |
| AP | −61.3799 | 1.007 | −60.977 | 0.000 | True | |
| N = 7013 | R2 = 0.347 | Adj.R2 = 0.346 | ||||
| Weather and related pests time series | Const. | 536.1561 | 13.543 | 39.591 | 0.000 | |
| AP | −46.4895 | 1.175 | −39.568 | 0.000 | True | |
| RPH | 0.1205 | 0.006 | 19.113 | 0.000 | True | |
| YSB | 2.1725 | 0.194 | 11.182 | 0.000 | True | |
| PSB | 0.4584 | 0.043 | 10.694 | 0.000 | True | |
| N = 7013 | R2 = 0.3998 | Adj.R2 = 0.399 | ||||
| Weather, time series of related pests, and time features | Const. | 535.9426 | 13.535 | 39.589 | 0.000 | |
| AP | −45.5927 | 1.210 | −37.688 | 0.000 | True | |
| RPH | 0.1283 | 0.007 | 18.889 | 0.000 | True | |
| YSB | 2.1272 | 0.195 | 10.924 | 0.000 | True | |
| PSB | 0.4709 | 0.043 | 10.943 | 0.000 | True | |
| Season | −0.0050 | 0.002 | −3.067 | 0.002 | True | |
| N = 7013 | R2 = 0.400 | Adj.R2 = 0.400 |
| Place | Yuanjiang (R2 = 0.400, Adj.R2 = 0.400, N = 7013) | Hongjiang (R2 = 0.379, Adj.R2 = 0.378, N = 7013) | Dong’an (R2 = 0.398, Adj.R2 = 0.398, N = 7013) | Linli (R2 = 0.257, Adj.R2 = 0.256, N = 7013) | Liling (R2 = 0.359, Adj.R2 = 0.358, N = 3726) | |
|---|---|---|---|---|---|---|
| Variable | ||||||
| Const. | 535.943 | 2.146 | 0.425 | −0.489 | −0.952 | |
| TEMP | 0 | 0 | 0.071 | 0.494 | 0.701 | |
| RHmin | 0 | −0.412 | 0 | 0 | 0 | |
| AP | −45.592 | 0 | 0 | 0 | 0 | |
| RPH | 0.128 | 0.209 | 0.258 | 0 | 0 | |
| PSB | 0.471 | 0.759 | 0 | 2.123 | 0.430 | |
| YSB | 2.127 | −0.235 | 3.359 | 0.169 | 3.070 | |
| PLR | 0 | 0 | 0 | 0.054 | 0.397 | |
| Season | −0.005 | −0.134 | −0.165 | −0.159 | −0.175 | |
| Weeks | 0 | −0.007 | 0 | 0 | 0 | |
| Month | 0 | 0 | −0.030 | 0 | 0 | |
Publisher’s Note: MDPI stays neutral with regard to jurisdictional claims in published maps and institutional affiliations. |
© 2021 by the authors. Licensee MDPI, Basel, Switzerland. This article is an open access article distributed under the terms and conditions of the Creative Commons Attribution (CC BY) license (https://creativecommons.org/licenses/by/4.0/).
Share and Cite
Tan, S.; Liang, Y.; Zheng, R.; Yuan, H.; Zhang, Z.; Long, C. Dynamic Prediction of Chilo suppressalis Occurrence in Rice Based on Deep Learning. Processes 2021, 9, 2166. https://doi.org/10.3390/pr9122166
Tan S, Liang Y, Zheng R, Yuan H, Zhang Z, Long C. Dynamic Prediction of Chilo suppressalis Occurrence in Rice Based on Deep Learning. Processes. 2021; 9(12):2166. https://doi.org/10.3390/pr9122166
Chicago/Turabian StyleTan, Siqiao, Yu Liang, Ruowen Zheng, Hongjie Yuan, Zhengbing Zhang, and Chenfeng Long. 2021. "Dynamic Prediction of Chilo suppressalis Occurrence in Rice Based on Deep Learning" Processes 9, no. 12: 2166. https://doi.org/10.3390/pr9122166
APA StyleTan, S., Liang, Y., Zheng, R., Yuan, H., Zhang, Z., & Long, C. (2021). Dynamic Prediction of Chilo suppressalis Occurrence in Rice Based on Deep Learning. Processes, 9(12), 2166. https://doi.org/10.3390/pr9122166

