Anti-Oxidative Effect of Weak Alkaline Reduced Water in RAW 264.7 Murine Macrophage Cells
Abstract
:1. Introduction
2. Materials and Methods
2.1. Reagents and Antibodies
Characteristics of Alkaline Reduced Water
2.2. Experimental Design
2.3. Cell Culture and LPS Stimulation
2.4. Cell Culture and H2O2 Stimulation
2.5. Cell Proliferation Assay
2.6. Analysis of OS Marker Levels
2.7. Analysis of Antioxidant Enzyme Activities
2.8. Ca2+ Assay
2.9. Western Blot Analysis
2.10. Data Management and Statistical Analysis
3. Results
3.1. Effect of Alkaline Reduced Water on Cell Viability in H2O2− and Lipopolysaccharide-Induced RAW 264.7 Murine Macrophage Cells
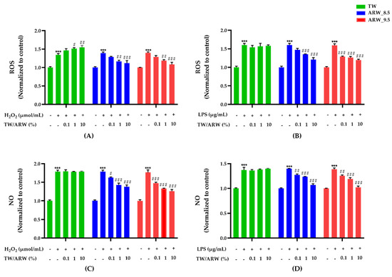
3.2. Effect of Alkaline Reduced Water on OS Production in H2O2− and Lipopolysaccharide-Induced RAW 264.7 Murine Macrophage Cells
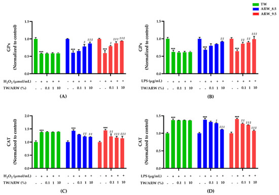
3.3. Effect of Alkaline Reduced Water on GPx and Catalase Activity in H2O2− and Lipopolysaccharide-Induced RAW 264.7 Murine Macrophage Cells
3.4. Effect of Alkaline Reduced Water on Intracellular Ca2+ Levels in H2O2− and Lipopolysaccharide-Induced RAW 264.7 Murine Macrophage Cells
3.5. Effect of Alkaline Reduced Water on p-p38, p-JNK, and p-ERK Expression in H2O2− and Lipopolysaccharide-Induced RAW 264.7 Murine Macrophage Cells
4. Discussion
5. Conclusions
Author Contributions
Funding
Institutional Review Board Statement
Informed Consent Statement
Data Availability Statement
Acknowledgments
Conflicts of Interest
References
- Tanaka, Y.; Saihara, Y.; Izumotani, K.; Nakamura, H. Daily ingestion of alkaline electrolyzed water containing hydrogen influences human health, including gastrointestinal symptoms. Med. Gas Res. 2018, 8, 160–166. [Google Scholar] [CrossRef]
- Qian, L.; Shen, J.; Sun, X. Methods of hydrogen application. In Hydrogen Molecular Biology and Medicine; Sun, X., Ohta, S., Nakao, A., Eds.; Springer: Dordrecht, The Netherlands, 2015; pp. 99–107. [Google Scholar]
- Park, S.K.; Qi, X.F.; Song, S.B.; Kim, D.H.; Teng, Y.C.; Yoon, Y.S.; Kim, K.Y.; Li, J.H.; Jin, D.; Lee, K.J. Electrolyzed-reduced water inhibits acute ethanol-induced hangovers in sprague-dawley rats. BioMed. Res. 2009, 30, 263–269. [Google Scholar] [CrossRef] [Green Version]
- Jéquier, E.; Constant, F. Water as an essential nutrient: The physiological basis of hydration. Eur. J. Clin. Nutr. 2010, 64, 115–123. [Google Scholar] [CrossRef] [PubMed] [Green Version]
- Johnson, E.C.; Adams, W.M. Water intake, body water regulation and health. Nutrients 2020, 12, 702. [Google Scholar] [CrossRef] [Green Version]
- Islam, R.; Faysal, S.M.; Amin, R.; Juliana, F.M.; Islam, M.J.; Alam, J.; Hossain, M.N.; Asaduzzaman, M. Assessment of ph and total dissolved substances (tds) in the commercially available bottled drinking water. IOSR J. Nurs. Health Sci. 2017, 6, 35–40. [Google Scholar] [CrossRef]
- Yang, E.J.; Kim, J.R.; Ryang, Y.S.; Kim, D.H.; Deung, Y.K.; Park, S.K.; Lee, K.J. A clinical trial of orally administered alkaline reduced water. Biomed. Sci. Lett. 2007, 13, 83–89. [Google Scholar]
- Magro, M.; Corain, L.; Ferro, S.; Baratella, D.; Bonaiuto, E.; Terzo, M.; Corraducci, V.; Salmaso, L.; Vianello, F. Alkaline water and longevity: A murine study. Evid. Based Complement Alternat. Med. 2016, 2016, 3084126. [Google Scholar] [CrossRef] [Green Version]
- Hanaoka, K. Antioxidant effects of reduced water produced by electrolysis of sodium chloride solutions. J. Appl. Electrochem. 2001, 31, 1307–1313. [Google Scholar] [CrossRef]
- Naito, Y.; Takagi, T.; Uchiyama, K.; Tomatsuri, N.; Matsuyama, K.; Fujii, T.; Yagi, N.; Yoshida, N.; Yoshikawa, T. Chronic administration with electrolyzed alkaline water inhibits aspirin-induced gastric mucosal injury in rats through the inhibition of tumor necrosis factor-α expression. J. Clin. Biochem. Nutr. 2002, 32, 69–81. [Google Scholar] [CrossRef] [Green Version]
- Jin, D.; Ryu, S.H.; Kim, H.W.; Yang, E.J.; Lim, S.J.; Ryang, Y.S.; Chung, C.H.; Park, S.K.; Lee, K.J. Anti-diabetic effect of alkaline-reduced water on oletf rats. Biosci. Biotech. Bioch. 2006, 70, 31–37. [Google Scholar] [CrossRef] [Green Version]
- Logozzi, M.; Mizzoni, D.; Di Raimo, R.; Andreotti, M.; Macchia, D.; Spada, M.; Fais, S. In vivo antiaging effects of alkaline water supplementation. J. Enzyme Inhib. Med. Chem. 2020, 35, 657–664. [Google Scholar] [CrossRef]
- Choi, Y.A.; Lee, D.H.; Cho, D.Y.; Lee, Y.J. Outcomes assessment of sustainable and innovatively simple lifestyle modification at the workplace-drinking electrolyzed-reduced water (oasis-erw): A randomized, double-blind, placebo-controlled trial. Antioxidants 2020, 9, 564. [Google Scholar] [CrossRef]
- Pizzino, G.; Irrera, N.; Cucinotta, M.; Pallio, G.; Mannino, F.; Arcoraci, V.; Squadrito, F.; Altavilla, D.; Bitto, A. Oxidative stress: Harms and benefits for human health. Oxidative Med. Cell. Longev. 2017, 2017, 8416763. [Google Scholar] [CrossRef]
- Seo, D.W.; Yi, Y.J.; Lee, M.S.; Yun, B.S.; Lee, S.M. Differential modulation of lipopolysaccharide-induced inflammatory cytokine production by and antioxidant activity of fomentariol in raw264.7 cells. Mycobiology 2015, 43, 450–457. [Google Scholar] [CrossRef] [Green Version]
- Nakao, N.; Kurokawa, T.; Nonami, T.; Tumurkhuu, G.; Koide, N.; Yokochi, T. Hydrogen peroxide induces the production of tumor necrosis factor-alpha in raw 264.7 macrophage cells via activation of p38 and stress-activated protein kinase. Innate. Immun. 2008, 14, 190–196. [Google Scholar] [CrossRef]
- Taciak, B.; Białasek, M.; Braniewska, A.; Sas, Z.; Sawicka, P.; Kiraga, Ł.; Rygiel, T.; Król, M. Evaluation of phenotypic and functional stability of raw 264.7 cell line through serial passages. PLoS ONE 2018, 13, e0198943. [Google Scholar] [CrossRef]
- Berghaus, L.J.; Moore, J.N.; Hurley, D.J.; Vandenplas, M.L.; Fortes, B.P.; Wolfert, M.A.; Boons, G.-J. Innate immune responses of primary murine macrophage-lineage cells and raw 264.7 cells to ligands of toll-like receptors 2, 3, and 4. Comp. Immunol. Microbiol. Infect. Dis. 2010, 33, 443–454. [Google Scholar] [CrossRef] [Green Version]
- Chamberlain, L.M.; Godek, M.L.; Gonzalez-Juarrero, M.; Grainger, D.W. Phenotypic non-equivalence of murine (monocyte-) macrophage cells in biomaterial and inflammatory models. J. Biomed. Mater. Res. A 2009, 88, 858–871. [Google Scholar] [CrossRef]
- Bardaweel, S.K.; Gul, M.; Alzweiri, M.; Ishaqat, A.; HA, A.L.; Bashatwah, R.M. Reactive oxygen species: The dual role in physiological and pathological conditions of the human body. Eurasian J. Med. 2018, 50, 193–201. [Google Scholar] [CrossRef]
- Bustos, M.C.; Vignola, M.B.; Paesani, C.; León, A.E. Berry fruits-enriched pasta: Effect of processing and in vitro digestion on phenolics and its antioxidant activity, bioaccessibility and potential bioavailability. Int. J. Food Sci. Technol. 2020, 55, 2104–2112. [Google Scholar] [CrossRef]
- Yang, M.; Dong, Y.; He, Q.; Zhu, P.; Zhuang, Q.; Shen, J.; Zhang, X.; Zhao, M. Hydrogen: A novel option in human disease treatment. Oxidative Med. Cell. Longev. 2020, 2020, 8384742. [Google Scholar] [CrossRef]
- Asada, R.; Tazawa, K.; Sato, S.; Miwa, N. Effects of hydrogen-rich water prepared by alternating-current-electrolysis on antioxidant activity, DNA oxidative injuries, and diabetes-related markers. Med. Gas Res. 2020, 10, 114–121. [Google Scholar] [CrossRef] [PubMed]
- Martinez, F.O.; Sica, A.; Mantovani, A.; Locati, M. Macrophage activation and polarization. Front. Biosci. 2008, 13, 453–461. [Google Scholar] [CrossRef] [Green Version]
- Hirayama, D.; Iida, T.; Nakase, H. The phagocytic function of macrophage-enforcing innate immunity and tissue homeostasis. Int. J. Mol. Sci. 2018, 19, 92. [Google Scholar] [CrossRef] [PubMed] [Green Version]
- Wynn, T.A.; Chawla, A.; Pollard, J.W. Macrophage biology in development, homeostasis and disease. Nature 2013, 496, 445–455. [Google Scholar] [CrossRef] [PubMed]
- Gordon, S. The macrophage. Bioessays 1995, 17, 977–986. [Google Scholar] [CrossRef]
- Gordon, S. The macrophage: Past, present and future. Eur. J. Immunol. 2007, 37, S9–S17. [Google Scholar] [CrossRef]
- Forman, H.J.; Torres, M. Redox signaling in macrophages. Mol. Asp. Med. 2001, 22, 189–216. [Google Scholar] [CrossRef]
- Juan, C.A.; de la Lastra, J.M.P.; Plou, F.J.; Perez-Lebena, E. The chemistry of reactive oxygen species (ros) revisited: Outlining their role in biological macromolecules (DNA, lipids and proteins) and induced pathologies. Int. J. Mol. Sci. 2021, 22, 4642. [Google Scholar] [CrossRef]
- Zhao, J. Interplay among nitric oxide and reactive oxygen species: A complex network determining cell survival or death. Plant Signal. Behav. 2007, 2, 544–547. [Google Scholar] [CrossRef] [Green Version]
- Ighodaro, O.M.; Akinloye, O.A. First line defence antioxidants-superoxide dismutase (sod), catalase (cat) and glutathione peroxidase (gpx): Their fundamental role in the entire antioxidant defence grid. Alex. J. Med. 2018, 54, 287–293. [Google Scholar] [CrossRef] [Green Version]
- Begum, R.; Kim, C.S.; Fadriquela, A.; Bajgai, J.; Jing, X.Y.; Kim, D.H.; Kim, S.K.; Lee, K.J. Molecular hydrogen protects against oxidative stress-induced raw 264.7 macrophage cells through the activation of nrf2 and inhibition of mapk signaling pathway. Mol. Cell Toxicol. 2020, 16, 103–118. [Google Scholar] [CrossRef]
- Kinjo, T.G.; Schnetkamp, P.P. Ca2+ Chemistry, Storage and Transport in Biologic Systems: An Overview. Madame Curie Bioscience Database. Available online: https://www.ncbi.nlm.nih.gov/books/NBK5959/ (accessed on 1 September 2021).
- Peng, T.I.; Jou, M.J. Oxidative stress caused by mitochondrial calcium overload. Ann. N. Y. Acad. Sci. 2010, 1201, 183–188. [Google Scholar] [CrossRef] [PubMed]
- White, C.D.; Sacks, D.B. Regulation of map kinase signaling by calcium. In Map Kinase Signaling Protocols: Methods in Molecular Biology (Methods and Protocols); Seger, R., Ed.; Humana Press: Totowa, NJ, USA, 2010; Volume 661, pp. 151–165. [Google Scholar]
- Zhang, W.; Liu, H.T. Mapk signal pathways in the regulation of cell proliferation in mammalian cells. Cell Res. 2002, 12, 9–18. [Google Scholar] [CrossRef]
- Ichihara, M.; Sobue, S.; Ito, M.; Ito, M.; Hirayama, M.; Ohno, K. Beneficial biological effects and the underlying mechanisms of molecular hydrogen—Comprehensive review of 321 original articles. Med. Gas. Res. 2015, 5, 1–21. [Google Scholar] [CrossRef] [PubMed] [Green Version]
- Nishimaki, K.; Asada, T.; Ohsawa, I.; Nakajima, E.; Ikejima, C.; Yokota, T.; Kamimura, N.; Ohta, S. Effects of molecular hydrogen assessed by an animal model and a randomized clinical study on mild cognitive impairment. Curr. Alzheimer Res. 2018, 15, 482–492. [Google Scholar] [CrossRef] [PubMed] [Green Version]
- Pérez-Hernández, E.G.; Pedraza-Chaverrí, J. Antioxidant properties of electrolyzed reduced water and hydrogen. Vertientes Rev. Espec. Cienc. Salud 2011, 14, 5–13. [Google Scholar]
- Kim, M.J. Strong Reduction Potential of Alkaline Electrolyzed (eo) Water for Preventing Oxidative Damage and Its Antibrowning, Antioxidation, and Anticancer Effects. Ph.D. Thesis, University of Georgia, Athens, GA, USA, 2010. [Google Scholar]





| TW | ARW_8.5 | ARW_9.5 | |
|---|---|---|---|
| pH | 7.7 | 8.5 | 9.5 |
| ORP (mV) | 609 | −63 | −394 |
| H2 (ppb) | 0 | 150 | 225 |
| TDS (mg/L) | 63 | 67 | 73 |
| Ca2+ (mg/L) | 19.96 | 21.23 | 26.88 |
| K+ (mg/L) | 2.39 | 2.55 | 2.70 |
| Mg2+ (mg/L) | 3.66 | 3.43 | 3.87 |
| Na+ (mg/L) | 6.92 | 7.22 | 7.39 |
| Cl− (mg/L) | 13 | 12 | 9 |
| Residual chlorine | 0.9 | ND | ND |
Publisher’s Note: MDPI stays neutral with regard to jurisdictional claims in published maps and institutional affiliations. |
© 2021 by the authors. Licensee MDPI, Basel, Switzerland. This article is an open access article distributed under the terms and conditions of the Creative Commons Attribution (CC BY) license (https://creativecommons.org/licenses/by/4.0/).
Share and Cite
Trinh, T.T.; Fadriquela, A.; Bajgai, J.; Sharma, S.; Rahman, M.H.; Goh, S.-H.; Khang, S.-S.; Khang, W.-R.; Kim, C.-S.; Lee, K.-J. Anti-Oxidative Effect of Weak Alkaline Reduced Water in RAW 264.7 Murine Macrophage Cells. Processes 2021, 9, 2062. https://doi.org/10.3390/pr9112062
Trinh TT, Fadriquela A, Bajgai J, Sharma S, Rahman MH, Goh S-H, Khang S-S, Khang W-R, Kim C-S, Lee K-J. Anti-Oxidative Effect of Weak Alkaline Reduced Water in RAW 264.7 Murine Macrophage Cells. Processes. 2021; 9(11):2062. https://doi.org/10.3390/pr9112062
Chicago/Turabian StyleTrinh, Thuy Thi, Ailyn Fadriquela, Johny Bajgai, Subham Sharma, Md. Habibur Rahman, Seong-Hoon Goh, Song-Sik Khang, Woo-Rham Khang, Cheol-Su Kim, and Kyu-Jae Lee. 2021. "Anti-Oxidative Effect of Weak Alkaline Reduced Water in RAW 264.7 Murine Macrophage Cells" Processes 9, no. 11: 2062. https://doi.org/10.3390/pr9112062
APA StyleTrinh, T. T., Fadriquela, A., Bajgai, J., Sharma, S., Rahman, M. H., Goh, S.-H., Khang, S.-S., Khang, W.-R., Kim, C.-S., & Lee, K.-J. (2021). Anti-Oxidative Effect of Weak Alkaline Reduced Water in RAW 264.7 Murine Macrophage Cells. Processes, 9(11), 2062. https://doi.org/10.3390/pr9112062

