A Hybrid Modeling Framework for Membrane Separation Processes: Application to Lithium-Ion Recovery from Batteries
Abstract
:1. Introduction
Case Study: Lithium-Ion Recovery from Batteries
2. Materials and Methods
2.1. Hybrid Model
2.2. Data Collection
2.3. Hybrid Model Identification
2.4. Parameter-Estimation Problem
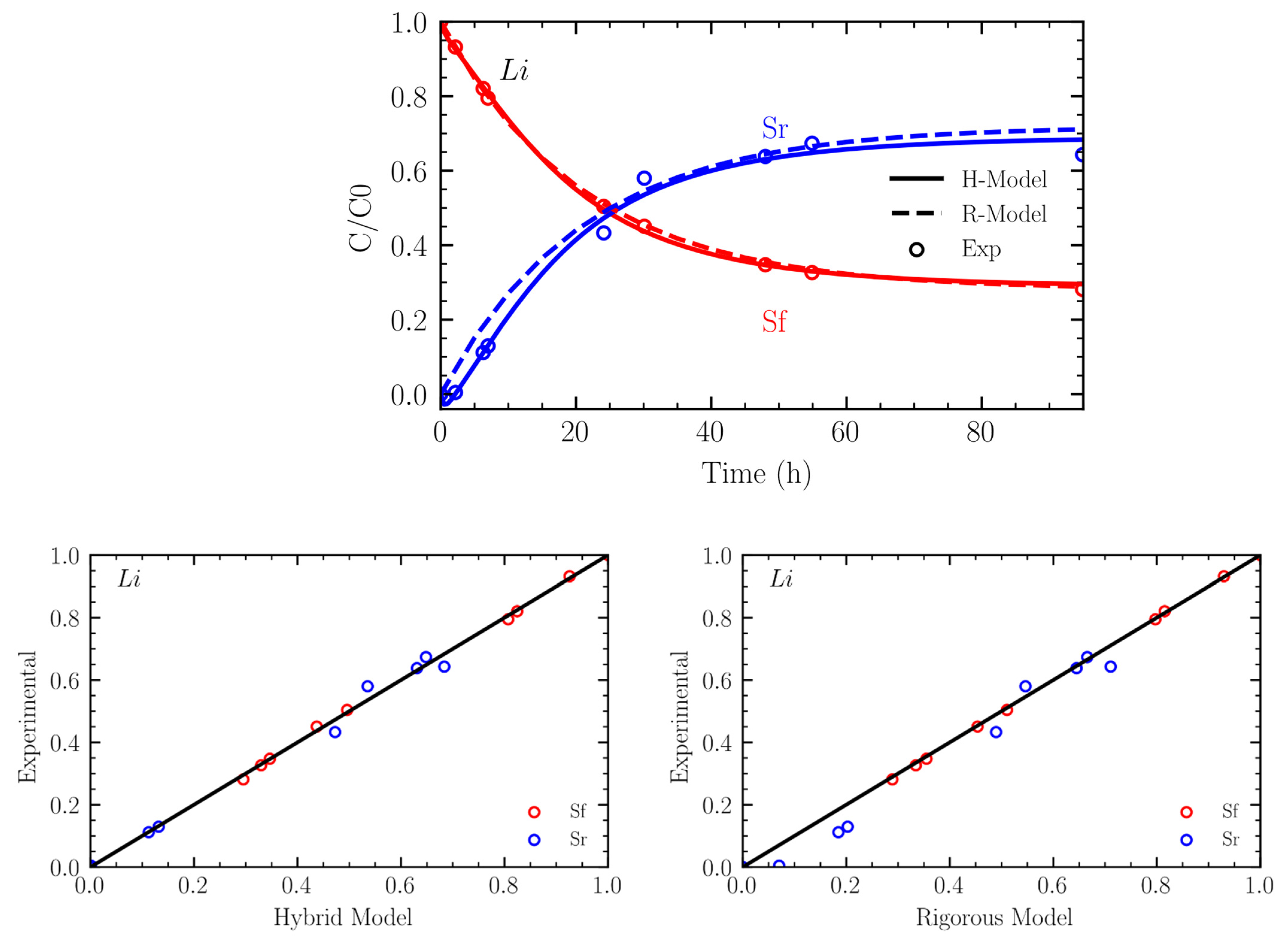
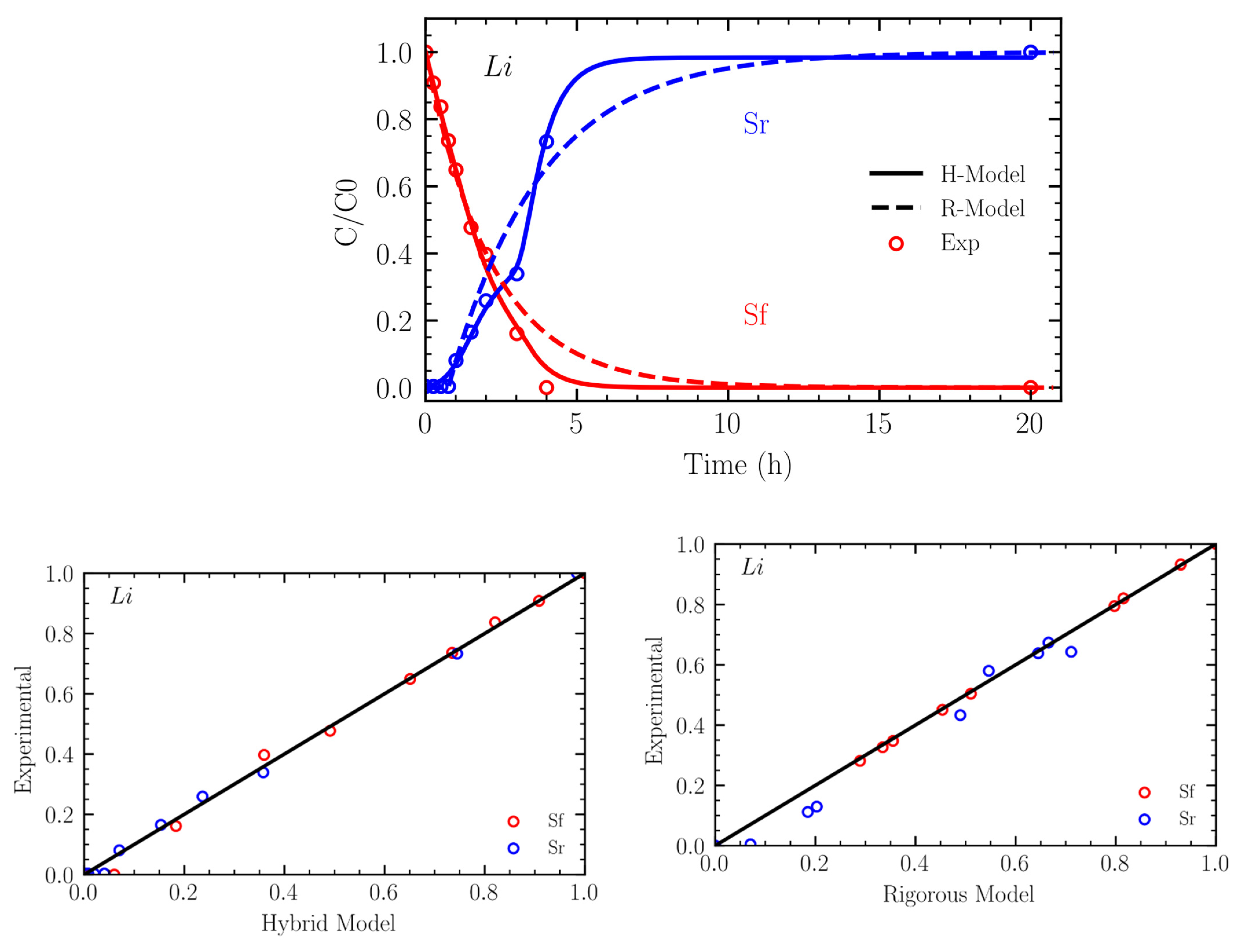
3. Results
4. Conclusions
Author Contributions
Funding
Conflicts of Interest
References
- Nogueira, I.B.R.; Ribeiro, A.M.; Requião, R.; Pontes, K.V.; Koivisto, H.; Rodrigues, A.E.; Loureiro, J.M. A quasi-virtual online analyser based on an artificial neural networks and offline measurements to predict purities of raffinate/extract in simulated moving bed processes. Appl. Soft Comput. J. 2018, 67, 29–47. [Google Scholar] [CrossRef]
- Oliveira, L.M.C.; Dias, R.; Rebello, C.M.; Martins, M.A.F.; Rodrigues, A.E.; Ribeiro, A.M.; Nogueira, I.B.R. Artificial Intelligence and Cyber-Physical Systems: A Review and Perspectives for the Future in the Chemical Industry. AI 2021, 2, 429–444. [Google Scholar] [CrossRef]
- Martins, M.A.F.; Rodrigues, A.E.; Loureiro, J.M.; Ribeiro, A.M.; Nogueira, I.B.R. Artificial Intelligence-oriented economic non-linear model predictive control applied to a pressure swing adsorption unit: Syngas purification as a case study. Sep. Purif. Technol. 2021, 276, 119333. [Google Scholar] [CrossRef]
- Narayanan, H.; Seidler, T.; Luna, M.F.; Sokolov, M.; Morbidelli, M.; Butté, A. Hybrid Models for the simulation and prediction of chromatographic processes for protein capture. J. Chromatogr. A 2021, 1650, 462248. [Google Scholar] [CrossRef]
- Mogk, G.; Mrziglod, T.; Schuppert, A. Application of Hybrid Models in Chemical Industry. In Computer Aided Chemical Engineering; Elsevier: Amsterdam, The Netherlands, 2002; Volume 10, pp. 931–936. [Google Scholar] [CrossRef]
- Narayanan, H.; Luna, M.; Sokolov, M.; Arosio, P.; Butté, A.; Morbidelli, M. Hybrid Models Based on Machine Learning and an Increasing Degree of Process Knowledge: Application to Capture Chromatographic Step. Ind. Eng. Chem. Res. 2021. [Google Scholar] [CrossRef]
- Nagrath, D.; Messac, A.; Bequette, B.W.; Cramer, S.M. A Hybrid Model Framework for the Optimization of Preparative Chromatographic Processes. Biotechnol. Prog. 2004, 20, 162–178. [Google Scholar] [CrossRef] [PubMed]
- Benzal, G.; Kumar, A.; Delshams, A.; Sastre, A.M. Mathematical modelling and simulation of cotransport phenomena through flat sheet-supported liquid membranes. Hydrometallurgy 2004, 74, 117–130. [Google Scholar] [CrossRef]
- León, G.; Martínez, G.; León, L.; Guzmán, M.A. Separation of cobalt from nickel using novel ultrasound-prepared supported liquid membranes containing Cyanex 272 as carrier. Physicochem. Probl. Miner. Process. 2016, 52, 77–86. [Google Scholar] [CrossRef]
- Wang, D.; Chen, Q.; Hu, J.; Fu, M.; Luo, Y. High Flux Recovery of Copper(II) from Ammoniacal Solution with Stable Sandwich Supported Liquid Membrane. Ind. Eng. Chem. Res. 2015, 54, 4823–4831. [Google Scholar] [CrossRef]
- Peydayesh, M.; Esfandyari, G.R.; Mohammadi, T.; Alamdari, E.K. Pertraction of cadmium and zinc ions using a supported liquid membrane impregnated with different carriers. Chem. Pap. 2013, 67, 389–397. [Google Scholar] [CrossRef]
- Lantto, J. Analytical Model of Mass Transfer through Supported Liquid Membranes; Kungliga Tekniska Hogskolan: Stockholm, Sweden, 2015. [Google Scholar]
- Regufe, M.J.; Ribeiro, A.M.; Ferreira, A.F.P.; Loureiro, J.M. Complete and simplified modelling of flat sheet supported liquid membranes for the extraction of metal ions. Intern. Rep. Porto. 2021, 21, 1–20. [Google Scholar]
- Ofori-Sarpong, G.; Amankwah, R.K. Comminution environment and gold particle morphology: Effects on gravity concentration. Miner. Eng. 2011, 24, 590–592. [Google Scholar] [CrossRef]
- Sun, Y.; Wang, Q.; Wang, Y.; Yun, R.; Xiang, X. Recent advances in magnesium/lithium separation and lithium extraction technologies from salt lake brine. Sep. Purif. Technol. 2021, 256, 117807. [Google Scholar] [CrossRef]
- Zheng, J.; Kim, M.S.; Tu, Z.; Choudhury, S.; Tang, T.; Archer, L.A. Regulating electrodeposition morphology of lithium: Towards commercially relevant secondary Li metal batteries. Chem. Soc. Rev. 2020, 49, 2701–2750. [Google Scholar] [CrossRef]
- Maxwell, P. Analysing the lithium industry: Demand, supply, and emerging developments. Miner. Econ. 2014, 26, 97–106. [Google Scholar] [CrossRef]
- Gerold, E.; Luidold, S.; Antrekowitsch, H. Separation and Efficient Recovery of Lithium from Spent Lithium-Ion Batteries. Metals 2021, 11, 1091. [Google Scholar] [CrossRef]
- Azevedo, M.; Campagnol, N.; Hagenbruch, T.; Hoffman, K.; Lala, A.; Ramsbottom, O. Lithium and Cobalt: A Tale of Two Commodities. Available online: https://www.mckinsey.com/industries/metals-and-mining/our-insights/lithium-and-cobalt-a-tale-of-two-commodities (accessed on 15 May 2021).
- Zheng, J.; Archer, L.A. Controlling electrochemical growth of metallic zinc electrodes: Toward affordable rechargeable energy storage systems. Sci. Adv. 2021, 7, 1–20. [Google Scholar] [CrossRef] [PubMed]
- Patil, N.; Sharma, A.; Patwardhan, A. Process Intensification Using Hollow Fibre-supported Liquid Membranes. Indian Chem. Eng. 2015, 57, 1–22. [Google Scholar] [CrossRef]
- Bhatluri, K.K.; Manna, M.S.; Ghoshal, A.K.; Saha, P. Supported liquid membrane based removal of lead(II) and cadmium(II) from mixed feed: Conversion to solid waste by precipitation. J. Hazard. Mater. 2015, 299, 504–512. [Google Scholar] [CrossRef]
- Zaheri, P.; Ghassabzadeh, H.; Abolghasemi, H.; Maraghe, M.G.; Mohammadi, T. Facilitated transport of Europium through supported liquid membrane using Cyanex272 as carrier and mass transfer modelling. Can. J. Chem. Eng. 2017, 95, 524–534. [Google Scholar] [CrossRef]
- Zante, G.; Boltoeva, M.; Masmoudi, A.; Barillon, R.; Trébouet, D. Highly selective transport of lithium across a supported liquid membrane. J. Fluor. Chem. 2020, 236, 109593. [Google Scholar] [CrossRef]
- Zante, G.; Boltoeva, M.; Masmoudi, A.; Barillon, R.; Trébouet, D. Lithium extraction from complex aqueous solutions using supported ionic liquid membranes. J. Memb. Sci. 2019, 580, 62–76. [Google Scholar] [CrossRef]
- Zante, G.; Boltoeva, M.; Masmoudi, A.; Barillon, R.; Trébouet, D. Selective separation of cobalt and nickel using a stable supported ionic liquid membrane. Sep. Purif. Technol. 2020, 252, 117477. [Google Scholar] [CrossRef]
- Rebello, C.M.; Martins, M.A.F.; Loureiro, J.M.; Rodrigues, A.E.; Ribeiro, A.M.; Nogueira, I.B.R. From an Optimal Point to an Optimal Region: A Novel Methodology for Optimization of Multimodal Constrained Problems and a Novel Constrained Sliding Particle Swarm Optimization Strategy. Mathematics 2021, 9, 1808. [Google Scholar] [CrossRef]








| Reference | Characteristics | |
|---|---|---|
| Training and Validation sets I | [22] | Extraction of two heavy metals, lead(II) and cadmium(II) Feed and receiving phases: 250 cm3 Area: 8.0 cm2 Carrier-solvent: sodium salt of Di-2-ethylhexylphosphoric acid (D2EHPA) |
| Training and Validation sets II | [23,24,25] | Extraction of lithium Feed and receiving phases: 250 cm3 Area: 8.0 cm2 Carrier-solvent: Cyanex272 |
| Training and Validation sets III | [26] | Extraction of cobalt and nickel Feed and receiving phases: 250 cm3 Area: 17.8 cm2 Carrier-solvent: tri(hexyl)tetradecyl phosphonium chloride |
| Training and Validation sets IV | [25] | Transport of Ge(IV) Feed and receiving phases: 60 cm3 Area: 4.5 cm2 Carrier-solvent: Alamine 336 |
Publisher’s Note: MDPI stays neutral with regard to jurisdictional claims in published maps and institutional affiliations. |
© 2021 by the authors. Licensee MDPI, Basel, Switzerland. This article is an open access article distributed under the terms and conditions of the Creative Commons Attribution (CC BY) license (https://creativecommons.org/licenses/by/4.0/).
Share and Cite
Regufe, M.J.; Santana, V.V.; Ferreira, A.F.P.; Ribeiro, A.M.; Loureiro, J.M.; Nogueira, I.B.R. A Hybrid Modeling Framework for Membrane Separation Processes: Application to Lithium-Ion Recovery from Batteries. Processes 2021, 9, 1939. https://doi.org/10.3390/pr9111939
Regufe MJ, Santana VV, Ferreira AFP, Ribeiro AM, Loureiro JM, Nogueira IBR. A Hybrid Modeling Framework for Membrane Separation Processes: Application to Lithium-Ion Recovery from Batteries. Processes. 2021; 9(11):1939. https://doi.org/10.3390/pr9111939
Chicago/Turabian StyleRegufe, Maria João, Vinicius V. Santana, Alexandre F. P. Ferreira, Ana M. Ribeiro, José M. Loureiro, and Idelfonso B. R. Nogueira. 2021. "A Hybrid Modeling Framework for Membrane Separation Processes: Application to Lithium-Ion Recovery from Batteries" Processes 9, no. 11: 1939. https://doi.org/10.3390/pr9111939
APA StyleRegufe, M. J., Santana, V. V., Ferreira, A. F. P., Ribeiro, A. M., Loureiro, J. M., & Nogueira, I. B. R. (2021). A Hybrid Modeling Framework for Membrane Separation Processes: Application to Lithium-Ion Recovery from Batteries. Processes, 9(11), 1939. https://doi.org/10.3390/pr9111939

