Abstract
Egg yolk is a multifunctional ingredient widely used in many food products, wherein proteins are the dominant component contributing to this functionality. However, the potential risk of foodborne illness associated with egg use forces us to ensure that foodstuffs based on egg yolk are managed in a safe and sanitary manner. Lowering the pH under a certain value by adding acids could serve this purpose, but it can also greatly modify the rheological and functional properties of egg yolk. This research aims to assess the influence of citric acid on the rheological properties and microstructure of chicken egg yolk dispersions and their heat-set gels. The dispersions were prepared from fresh hen’s eggs yolks by adding water or citric acid to obtain a technical yolk (45 wt.% in solids) at the desired pH value. Viscoelastic measurements were carried out using a control stress rheometer, and microstructure was evaluated by cryo-scanning electronic microscopy (CryoSEM). An evolution of the viscoelastic properties of egg yolk dispersions from fluid to gel behavior was observed as the pH decreased until 2 but showing a predominantly fluid behavior at pH 3. The profile of viscoelastic properties along the thermal cycle applied is modified to a great extent, also showing a strong dependence on pH. Thus, the sol–gel transition can be modulated by the pH value.
1. Introduction
Eggs are one of the most widespread foods all over the world, whose consumption has rapidly grown in recent years. According to data from the FAO, global egg production increased from 61.7 million tons in 2008 to 80.7 million tons in 2018 [1]. Eggs have been classically recognized as a high nutritional source of protein, being cheaper than fish or meat. However, this growth undergone in the past two decades may be associated with the change in medical criteria regarding the erroneous negative effect of egg consumption on health [2]. From a nutritional point of view, eggs contain high-quality proteins and also provide a high number of essential micronutrients such as minerals and vitamins, apart from having a low calorific value due to their moderate and well-balanced lipid content.
On the other hand, eggs are widely used in the food industry due to their well-known functional properties. Therefore, egg components may be used to take full advantage of their excellent ability to form food emulsions and foams, provide color and flavor, or act as a food thickener and binding agent [3]. Particularly, egg yolk is a key ingredient in the manufacture of foodstuffs such as sauces, desserts, baked goods, or ready meals, which need to be subjected to a gelation process [4,5].
Egg yolk (EY) may be considered as an oil-in-water emulsion, almost half of it composed by water, where lipids and proteins (a third and a sixth part of EY, respectively) are suspended in the “aqueous phase”, mainly associated as lipoprotein complexes [6,7]. Particularly, proteins are responsible for the gelling properties of egg yolk, which become apparent when attractive and repulsive interactions are no longer equilibrated in their native state (sol) and denaturation takes place. Many compounds such as acids, bases, inorganic salts, solvents, and other chemicals as well as some treatments such as heat or pressure could be able to partially denature the supramolecular structure of proteins and lead to aggregation [8,9,10,11,12,13]. This partial denaturation is also affected by the protein structure itself and the environmental conditions (pH, type of salt, and ionic strength). Moreover, protein aggregates can eventually form a gel when the protein concentration overcomes a critical value, depending on the balance between stabilizing and destabilizing forces.
Heat treatments are the major technological processes to inactivate microorganisms, although high-pressure processing (HPP) and acidification can also reduce the risk of microbiological contamination [14]. It is well known that heat-induced gelation causes irreversible changes in the structure of egg yolks, in accordance with the heat gelation model for globular proteins [15,16,17,18]. Regarding the pH, any deviation from the isoelectric point (IEP) can modify the functional properties of proteins to a large extent. Previous work highlighted the modulating effect of a strong acid such as hydrochloric acid when the systems were subjected to high pressure [10] or heating [17], as well as when k-carrageenan is added to acidified egg yolk systems and subjected to heat treatment [19]. Citric acid is an organic weak acid naturally found in fruits and vegetables, capable of causing protein denaturation at low temperature [20] and is widely used in the food industry. Recently, Nielsen and Knøchel [21] have reported that Salmonella strains cultured in raw egg yolk resulted in a >4 log reduction when the pH was reduced to pH 2.9 using lemon juice and the systems were stored at 25 °C for 24 h. However, egg yolk acidification would most likely imply evolution in its viscoelastic properties toward a reduction in the flowability of the systems. This, together with the unpredictable high amount of lemon juice needed to achieve the desired pH value, may reduce the potential use of acidified egg yolk as a safe multifunctional ingredient when non-thermal processes are applied in the food industry. On the other hand, it is interesting to study how egg yolk acidification may affect the evolution of viscoelastic properties as heat processing proceeds, particularly for those food products based on egg yolk gels (e.g., egg pudding, custards, or pancakes).
The objective of this study is to assess the influence on linear viscoelastic properties that cause the reduction of pH from its native value using steady amounts of citric acid. Heat-induced gelation of acidified egg yolk systems was also monitored in order to evaluate how they are affected by temperature. Thus, the rheology of egg yolks may be considered essential to control any disturbance from their native state due to the use of citric acid and/or temperature. The microstructure of dispersions and their heat-set gels has been also evaluated by cryo-scaning electron microscopy (CryoSEM).
2. Materials and Methods
2.1. Materials and Sample Preparation
The egg yolk was obtained from fresh chicken eggs labeled as class L and category A in accordance with the CE Regulation no. 2295/2003 and purchased from Matinés Ibérica SL in a local market (Seville, Spain). Any damaged or broken egg was discarded, and yolks were carefully separated from whites using the method developed by Harrison and Cunningham [22]. Albumen was manually separated, and the yolk was rolled on a previously wet absorbent towel paper to eliminate any residual albumen. Then, the yolk membrane was punctured, and the liquid yolk was collected in a beaker. A minimum of six egg yolks per batch was thoroughly mixing by hand, obtaining a raw material named native egg yolk. The solid content of this batch (48.07 ± 0.02 wt.%) was determined after drying 2–3 g of sample in an oven at 105 °C for 24 h and subsequently cooling in a desiccator to room temperature before weighing [23]. The native yolk was reconstituted with water to prepare a technical reference yolk with a fixed concentration of 45 wt.% in solids, giving rise to a pH value close to 6 (i.e., 5.96 ± 0.02). This value is close to the isoelectric point, IEP, which has been reported to be between 5 and 6 [24].
Pure-grade 2-hydroxypropane-1,2,3-tricarboxylic acid (anhydrous citric acid) was purchased from Panreac (Barcelona, Spain) and 1, 2, 3, and 5 M solutions were prepared in order to use them as a pH regulator. The initial pH value was determined for 25–30 g of native yolk by means of a Digit 501 pH-meter (Crison Instruments, Barcelona, Spain), and adequate amounts of acid solutions and/or water were added to obtain the technical egg yolk dispersions (45 wt.%) at desired pH values (i.e., 2, 3, 4, 5, and 6 ± 0.2). Finally, samples were stored in a refrigerator (approximately 4 °C) for at least 24 h before carrying out any rheological measurements.
2.2. Methods
All rheological tests were performed in an AR 2000 controlled stress rheometer (TA Instruments, New Castle, DE, USA). Low-inertia 60-mm-diameter plate–plate geometry (Aluminum PP60 mm) was used for stress and frequency sweep tests at 20 °C. Temperature ramp tests were carried out using a 40-mm-diameter serrated plate–plate geometry built in stainless steel (SST PP40 mm). The temperature was controlled by a Peltier system that allows measurements in a wide range of temperatures. The distance between the plates (“gap”) was established at 1 mm. Sealed beakers with samples, stored at 4 ± 0.5 °C, were reconditioned at room temperature for 30 min before being placed on the measurement system. The sample was sealed using petroleum jelly to avoid drying problems during measurements. In order to impose the same thermomechanical history, the studied systems were kept in the measurement system for 20 min before starting any test.
2.2.1. Sweep Stress Tests
Before any measurement, the linear viscoelastic range (LVR) of egg yolk dispersions was determined by stress sweeps for all the systems studied at a constant frequency and a temperature of 20 °C. For each system, three stress sweeps were performed between 0.01–100 Pa at constant frequency values of 0.1, 1, and 10 rad/s, establishing the linear viscoelastic interval for these frequencies. Likewise, critical shear stresses or strains (γ) within the linear viscoelastic range were determined for all the systems studied at a constant frequency of 6.28 rad/s (1 Hz) and 20 °C.
2.2.2. Frequency Sweep Tests
Small amplitude oscillatory shear tests (SAOSs) were carried out as a function of frequency (frequency values between 10−2 and 102 rad/s). Since the linear viscoelastic response of each system is different in the frequency interval studied, the entire interval was subdivided into different subintervals with common extremes. A unique mechanical spectrum was recorded for each system at 20 °C by imposing stress values below the critical stress for each subinterval and checking that similar values of both viscoelastic moduli were obtained in the overlapping area of these subintervals.
2.2.3. Temperature Ramps
Taking into account experiences carried out in previous studies, three stages were defined for the temperature ramps [25]: a first fluid zone between 20 and 60 °C, a sol–gel transition between 60 and 80 °C, and a final gel stage up to 90 °C. Consequently, the change in viscoelastic properties of samples with temperature was recorded at a constant frequency of 6.28 rad/s (1 Hz) and a stress value within the linear viscoelastic range of each stage. A heating rate of 1.5 °C/min was set between 20 and 90 °C. Subsequently, the thermal cycle applied to the samples went ahead with an isothermal zone at 90 °C for 30 min. Finally, a cooling ramp of −5 °C/min was applied from 90 to 20 °C.
2.2.4. Cryo-Scanning Electron Microscopy (CryoSEM)
The surface of gels at pH 2, 4, and 6 before and after thermal treatment was analyzed by CryoSEM, using a ZEISS EVO Scanining Electron Microscope (Oberkochen, Germany) at −120 °C. Small pieces of the samples (2–3 mm) were frozen in nitrogen slush (−210 °C), transferred quickly to the cryo specimen chamber, etched at −90 °C for 7 min in order to remove surface ice, and then, gold coated. The microscopy was operated at an acceleration voltage of 8 kV with a beam current of 70 pA and a working distance of 6 mm, and analyses were carried with approximately 4500× g magnification.
2.3. Statistical Analysis
The results reported in this work were the average result of at least three replicates per sample. Statgraphics Centurion 18 software (The Plains, VA, USA) was used to perform one-way ANOVA tests (p < 0.05). Standard deviations were calculated and included as uncertainties, whereas significant differences from ANOVA tests were indicated by different letters.
3. Results
3.1. Linear Viscoelastic Properties of Egg Yolk Acidified with Citric Acid
Figure 1 shows the values of the storage (G’) and loss (G”) moduli obtained from stress sweep tests of native egg yolk (45 wt.% solids) acidified with citric acid (pH 4) at three different frequencies (0.1, 1.0, and 10 rad/s) (Figure 1A). Moreover, results obtained from stress sweep tests at different pH values (2, 4, 5, and 6) and constant frequency (1 rad/s) are compared in Figure 1B. Regardless of frequency value, all the profiles obtained for the stress sweep tests at pH 4 were similar, corresponding to a fluid behavior with a predominantly viscous character (G” > G’). The profiles are characterized by a linear viscoelastic zone (where the viscoelastic functions remain independent of the strain or stress applied) until reaching a limit, where both moduli decreased with the shear strain applied. This limit defines the onset of the non-linear viscoelastic region and, therefore, the critical strain. This response has been previously found for other highly concentrated protein dispersions [26,27].
Figure 1.
Viscoelastic moduli values as a function of the shear strain applied performed at different frequencies (0.1, 1.0, and 10 rad/s) for the egg yolk (45% in solids) acidified with citric acid at pH 4 (A) and values of the viscoelastic moduli at a constant frequency of 1 rad/s as a function of different pH values for the egg yolk (45% in solids) acidified with citric acid (B).
All tests presented in Figure 1A show a viscoelastic character with a predominant viscous behavior without a flow point (G′ = G″) because the sample exhibited G″ > G′ values across the entire measuring range at any frequency studied. This dependence indicates that the protein is maintained in its native state, and protein denaturation has hardly started. Hence, no aggregation mechanism can be undertaken at this pH. Furthermore, higher G′ and G″ values are shown in Figure 1A as a higher frequency was tested. This tendency might indicate a behavior showing less flexibility of the internal structure and, possibly, higher stiffness as the motion was faster in comparison to its behavior at frequency nearer rest (0.1 rad/s).
As for the effect of pH on the linear viscoelastic region, Figure 1B shows that the egg yolk dispersions exhibit the same viscous-predominant behavior at pH 4, 5, and 6. However, the elastic modulus was above the viscous modulus when samples were tested at pH 2. Thus, a reduction from the native pH to pH 2 led to an increase in the values of G′ and G″. This behavior was previously reported in scientific literature, and it was related to the formation of a protein gel network involving a multistage mechanism that starts with protein denaturation promoted by a drastic change in pH [28]. In any case, an apparent linear viscoelastic region was obtained regardless of pH, where the viscoelastic moduli became lower as the pH value was closer to the IEP (pH 6), as a consequence of the progressive reduction in electrostatic interactions [29]. Similarly, a steeper fall of the storage modulus can be observed after LVR was overcome when pH was increased, which may indicate a more brittle fracture of the internal structure as pH departed from the IEP.
Moreover, as stated in Table 1 and can be seen in Figure 1A, the critical deformation also depended on pH value. Thus when the pH value was not far from the egg yolk’s isoelectric point (IEP, 5.7) [11], the higher viscoelastic moduli observed in Figure 1B also led to a higher interval for the γc. Previous results in protein dispersions evidenced that electrostatic repulsions play a role when the net charge of the protein increases as pH deviates from its IEP, at which the net surface charge is zero. At extreme pH values, protein unfolds, facilitating its aggregation and the formation of a network, which increase the γc [30].
Table 1.
Values of critical deformation (γc) within the linear viscoelastic range for egg yolk acidified with citric acid at different pH and frequency values. Different letters indicate significant differences (p < 0.05).
These results confirm that the dependence of viscoelastic moduli on frequency must be taken into account when selecting a suitable deformation to carry out the linear viscoelastic tests within a frequency interval (typical from frequency sweep tests). Thus, the temperature and frequency sweep tests were carried out using several intervals in different temperature and frequency ranges, setting a stress value lower than the critical value for each interval. This ensured that the viscoelastic properties were always determined within the linear viscoelastic range.
3.2. Heat Treatment of Egg Yolk Dispersions Acidified with Citric Acid
Although egg yolk is broadly used as an efficient ingredient for stabilizing food emulsions, it can be also used as a gelling, texturing, or binding agent in baked food. Thus, it is worth considering the effect of heating on acidified egg yolk dispersions. Figure 2 shows the evolution of the linear viscoelastic moduli (G′, G″) of the native egg yolk (45 wt.%) obtained at a constant frequency of 6.28 rad/s (1 Hz) as a function of pH value (2, 3, 4, 5, and 6), during the thermal cycle described in Section 2.2.3. Different zones, which are associated with the different mechanisms taking place over protein gelation, were observed upon application of the three stages of the thermal cycle:
Figure 2.
Evolution of storage modulus (A) and loss modulus (B) with temperature for the egg yolk acidulated with citric acid as a function of pH (2, 3, 4, 5, and 6).
- The heating stage (25–90 °C). This stage led to three different zones:
- Fluid-like region (25–60 °C). This initial zone (with G″ > G′) was characterized by a moderate decrease in both moduli, with temperature reaching a minimum value at the time, tm, and temperature Tm. This behavior has been previously attributed to structural relaxations of heated protein dispersions as a consequence of the increased thermal agitation [11,31].
- Sol–gel transition region (60–80 °C). This stage started with a sudden increase in both viscoelastic moduli (S-shaped evolution), leading to a crossover point, from which a clear predominance of the elastic modulus was observed. The time and temperature at which the crossover point was observed were named as tc and Tc, respectively, whereas the value of the viscoelastic moduli crossover (G’ = G”) corresponded to Gc. Some authors have used the crossing point between both modules as an approximate criterion to establish the gelation point [32,33].
- Gel region (80–90 °C). The gel network was further enhanced in this region. However, a remarkable decrease in the slope of both viscoelastic thermal profiles was apparent, eventually reaching a maximum value of G′ and G″.
The latter two regions (b and c) may be explained in terms of a multistage mechanism. According to Clark et al. [15], the gelation mechanism starts with partial protein denaturation leading to protein aggregation, which explains the increase in G′ and G″, followed by the association of protein aggregates to form a three-dimensional network. In addition, some covalent crosslinking bonds (i.e., disulfide bonds) may also contribute to the reinforcement of the protein gel network [34]. - The isothermal stage (90 °C). It can be noticed that, for the present study, this stage was applied once the maximum values for the gel region were achieved (i.e., the gel network was fully developed). As a consequence, the viscoelastic properties of the gel only underwent a slight enhancement, which was mainly reflected in G’, particularly in the absence of charges (at the IEP). As protein charges increased (lowering the pH), the enhancement in G′ vanished and even reversed over this stage at pH 2 and 3. In fact, a maximum in G′ (and G″) was noticed at these pH values, taking place even before the isothermal stage. In any case, these results seem to confirm that a period of stabilization of the structural network was reached.
- The cooling stage (90–25 °C). Near the IEP, this stage involved an apparent reinforcement of the protein network (leading to higher G’ and G’’ values) as the physical interactions were recovered. At low pH, the electrostatic interactions become so relevant that they hinder such enhancement. This recovery of the physical interactions also depends on the protein system, being lower for egg yolks than that found with egg albumin proteins [35].
This result can be explained on the basis of the two models presented by Tombs for globular proteins: random aggregation or a “string of beads” structure [36]. According to Doi [37], myosin, β-lactogloblin, ovalbumin, serum albumin, and lysozyme form both these types of gels depending on the pH and ionic strength. As referred to above, random aggregates are formed when proteins are denatured by heat near the IEP (see Figure 5A.6). This is due to hydrophobic interactions between uncharged denaturated molecules of protein that lead to the most heterogenous and strongest gels, as can be inferred from Figure 2. However, as pH is reduced, more positively charged protein molecules are present and electrostatic repulsive forces between them hinder the formation of random aggregates, giving rise to a more linearly ordered and weaker network. It is consistent with the evolution observed form pH 6 to 3 in Figure 2 and Figure 5A.4–A.6, shown later in Figure 5.
On the other hand, pH lowering by the use of only citric acid can also cause protein denaturation and eventually form a gel. This acid-induced gelation has been reported for myosin, meat, fish, and milk fat gels among others [38]. Lucey and Singh proposed that the mechanism involved could be explained by the fractal theory. According to this, spherical particles of a determined radius can move by Brownian motion, being able to aggregate when they encounter each other. These aggregates can then form fractal clusters, which are considered the building blocks of the gel [39]. This might be the reason for the increase in linearity and size of clusters observed from Figure 5B.2–B.6 as well as the exceptionally high initial values of both moduli observed in Figure 3 for pH 2.
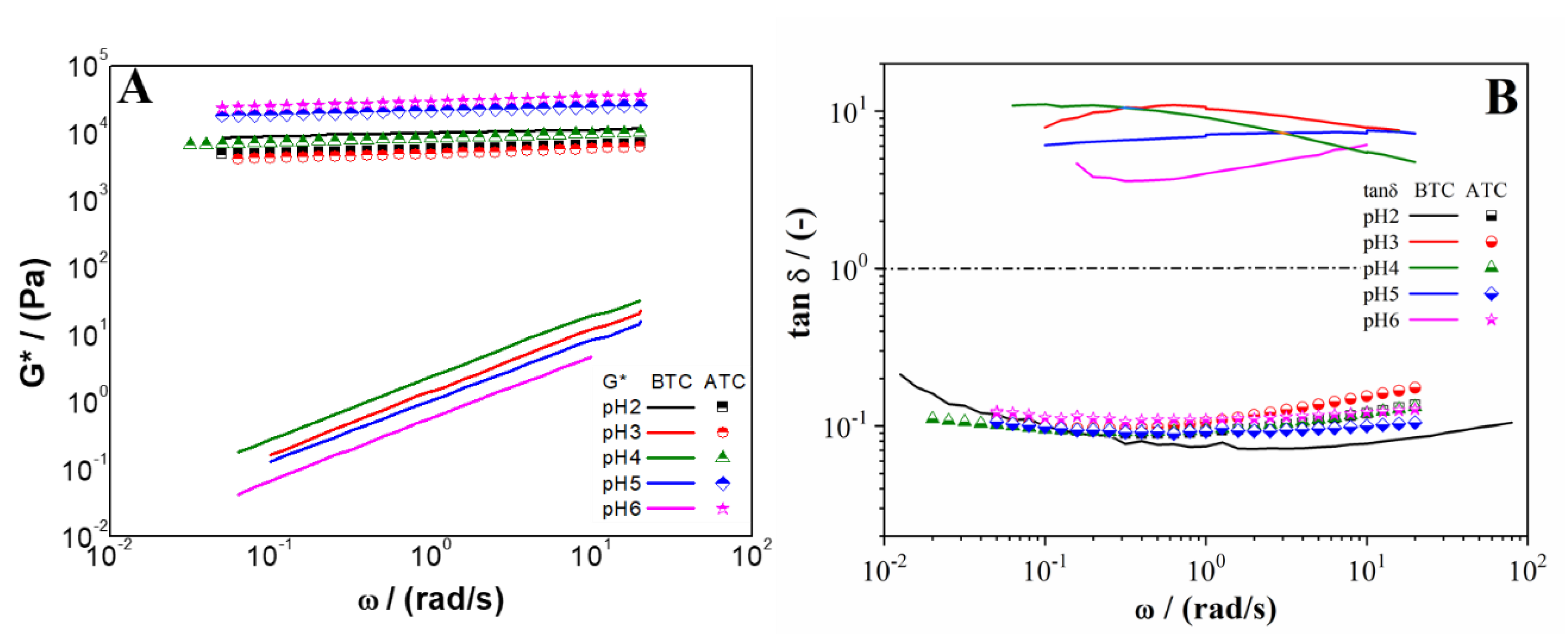
Figure 3.
Dependence of complex moduli (G*) (A) and loss tangent (tan δ) (B) on frequency value for the egg yolk acidulated with citric acid before thermal cycle (BTC) and after thermal cycle (ATC) as a function of pH (2, 3, 4, 5, and 6).
Table 2 summarizes the values of the temperature (Tm) at which a minimum in G’ was reached, as well as the crossover point between G’ and G (Gc) and the temperature, at which the crossover took place (Tc) for egg yolk acidified with citric acid at pH 2, 3, 4, 5, and 6. From the values of Tm, it is possible to confirm the existence of an anticipation of the minimum peak as the pH value is lowered. This temperature set the value at which each acidified system would acquire its maximum flowability. Similar results were obtained for egg yolk acidified with hydrochloric acid, and it was related to the fact that electrostatic repulsions increased as the pH value decreased, which was a consequence of higher surface charges [11,40]. However, the minimum value (G’m) became lower as the pH value increased. At the same time, the increase of the viscoelastic moduli was also delayed with the rise of pH. It seems that the electrostatic interactions interfere with the effect of the thermal agitation, hindering the thermal-induced reduction in G’m.
Table 2.
Parameters for the systems gelled after the thermal cycle (pH 3, 4, 5, and 6). Values of temperature where G’ reaches the minimum in the temperature ramps (Tm) and where the storage and loss moduli are crossed (Tc), as well as the crossover value of the viscoelastic moduli (Gc) as a function of pH for the yolk acidulated with citric acid. Different letters within a row, indicate significant differences (p < 0.05).
As for the values related to the crossover point (Tc and Gc), which evidence the sol–gel transition, an increase in Gc and a decrease in Tc were observed when reducing the pH value. This reduction in pH also led to the anticipation of the above-mentioned minimum value of Tm and a reduction in the slope of the growth for both viscoelastic functions during the second stage. In other words, the rheokinetics of yolk gelation was slowed down as pH departed from the IEP (to approximately 5.7), because of repulsive interactions that disturb the development of the protein gel network. The exception to this behavior corresponded to pH 2, which, as shown above, presented a gel-like behavior from the beginning of the test and, therefore, there was no precise delimitation between the first and second stage. However, as may be seen in Figure 2A, the final G’ values obtained were in the same order of magnitude for all pH values under study. This means that the binding and texturing properties of egg yolk would be maintained roughly unchanged when pH value was 3 or higher. As above-mentioned [20], acidification with citric acid (by lemon juice) near pH 3 contributed to a remarkable reduction of Salmonella contamination. Hence, egg yolk processed at pH 3 using citric acid could be used as a safe binding and texturing agent in egg yolk-based foodstuffs.
Subsequently, during the isothermal heating stage, viscoelastic moduli may undergo a slight increase (at pH 6 and 5), no variation (at pH 4 and 3), and a slight reduction (at pH 2). It seems that repulsive interactions also modulate the dependence of G’ and G’’ on pH, in this stage. Thus, heating at the isothermal stage can still contribute some reinforcement when repulsive interactions are weak (i.e., at pH close to the IEP), but no further strengthening is possible when repulsive interactions become stronger (at pH 4 or lower). In addition, these repulsions also lead to a change in the aggregation mechanism (as stated below), favoring the formation of linear aggregates [41]. All this can explain the anticipation in the Tm value (and the growth in G’ and G’’).
Eventually, the pH value also influenced the behavior of the egg-yolk gels during the fourth stage (cooling stage) but not in the magnitude observed during the heating stage. As expected, a structural reinforcement took place upon cooling at pH between 4 and 6 as a consequence of the recovery of hydrogen bonds. However, a clear decrease in viscoelastic moduli was observed over the cooling stage at the lowest pH values (2 or 3). This result suggested that the greater amount of surface charges, corresponding to the more acidic pH values, involved a slight structural weakening, which seemed to be favored by the decrease in temperature [40]. Thus, the greater quantity of electrostatic interactions produced a displacement of the balance of forces by inhibiting the formation of physical interactions, as is the case of hydrogen bonds [42].
3.3. Influence of Acidic Processing and Combined Acidic-Heating Processing on the Linear Viscoelastic Properties of Egg Yolk Acidified with Citric Acid
Figure 3 shows the results of the frequency sweep tests obtained within the linear viscoelastic range at 20 °C for the yolk samples acidified with citric acid, before and after the application of the thermal cycle (BTC and ATC, respectively) at different pH levels (pH 2, 3, 4, 5, and 6). As may be observed, all the systems (BTC and ATC) follow a power-law relationship over the experimental frequency range. The complex modulus shows a significant dependence on both frequency and pH, as well as a dramatic increase after the application of the thermal cycle (higher than five orders of magnitude).
As may be observed, BTC samples exhibited a liquid-predominant behavior (with tan δ > 1, Figure 3B), where the values for the complex modulus highly depended on frequency values (Figure 3A), regardless of the pH value, except for pH 2. As above-mentioned, this system exhibited a gel behavior even before the thermal cycle, and consequently, this system led to the rheological response corresponding to a weak gel-like system [43]. This means that egg yolk processed with citric acid at pH 3 could be further used (BTC) as an emulsifying agent still remaining a liquid, but with the added benefit of being a safer ingredient as a consequence of the reported inactivation of Salmonella strains in emulsified food products such as mayonnaise, salad dressing, and cream. Furthermore, egg yolk garnish could be obtained by immersing sugared yolk in a citric acid solution of pH 2.
It is also worth highlighting that the G* frequency profiles tend to flatten after the thermal cycle (Figure 3A), confirming the effect of temperature on the mechanical spectra of the gels obtained. In fact, the slope of the power-law functions shifts from approximately 0.9 for the BTC systems to approximately 0.06 for the ATC (and BTC at pH 2). More specifically, the system at pH 2 BTC and ATC follows a similar gel pattern even with lower G* values after the application of the thermal cycle. This can be considered as a consequence of the increase in temperature, which could help a determined number of clusters to reach enough energy to be disrupted while maintaining their linearity to some extent. The tan δ values ranged between 3.5 and 10 for protein systems BTC (except at pH 2), whereas they ranged from 0.2 to 0.07 for all the gel systems. These values together with the low values for the power-law slopes for G*-ω observed in Figure 3A, indicate that these systems follow a strong gel behavior [44]. The viscoelastic response of the systems prepared at different pH values was also quite different BTC and ATC. Thus, in the absence of heat treatment (BTC), G* led to higher values as pH was reduced from the IEP. However, once the thermal cycle was applied, the highest viscoelastic moduli were obtained for the system close to the IEP (pH 6). This contrasting effect of pH reflects the differences in protein interactions before and after the thermal cycle and the different mechanisms involved in both treatments (heat and/or acid) mentioned above.
Figure 4 includes the values of G* at 6.28 rad/s (1 Hz), G*1, as well as the tan δ values at 1 Hz 6.28 rad/s (1 Hz), tan δ1, of the egg yolk systems BTC and ATC. This figure confirms the above-mentioned effects, evidencing the much stronger impact of the application of the thermal cycle (BTC and ATC) as compared to the unique effect of pH.
Figure 4.
Values of complex moduli at 1 rad/s (G*1) (A) and loss tangent at 1 rad/s (tan δ1) (B) for the egg yolk acidulated with citric acid before thermal cycle (BTC) and after thermal cycle (ATC) as a function of pH (2, 3, 4, 5, and 6). Different letters above the bars indicate both significant differences (p < 0.05) within G*1 and tan δ1 in each figure, re-spectively.
Before heat treatment, an increase in the electrostatic repulsions among positive surface charges takes place (as pH departs from the IEP), leading to an increase in the viscoelastic functions (e.g., G*1, Figure 4). However, electrostatic repulsions also interfere with hydrophobic interactions, affecting the aggregation of protein molecules and the development and strengthening of the gel network [45]. On the other hand, the absence of net surface charges promotes the process of aggregation and formation of the protein network through hydrophobic bonds after protein denaturation and disulfide bridges were favored, so the gel developed more easily [46,47]. Thus, the consistency of these gels obtained by heat treatment is in direct relation with proximity to the isoelectric point, which explains the decrease in viscoelastic functions of the gels taking place as pH was reduced.
It is worth mentioning that the egg yolk dispersion at pH 4 (BTC) showed higher values than the dispersion at pH 3, as can be observed in Figure 3A and Figure 4A. It should be taken into account that the egg yolk is a quite complex system that consists of a mixture of different proteins with the contribution of a wide variety of amino acids. In point of fact, a possible explanation for this odd effect could be associated with the aminoacidic composition of egg yolk. According to Lunven et al., aspartic and glutamic acids are the most abundant amino acids present in hen’s egg yolks [48]. As the pKa values of their residues are 3.65 and 4.25, respectively, aspartic and glutamic acids will be protonated below pH 3.65. This means that electrostatic repulsions between proteins would be decreased to some extent due to this reduction of negatively charged residues, leading to a drop in the complex modulus at pH 3. In any case, further research should be carried out to confirm this explanation. This effect cannot be observed after thermal processing.
3.4. Cryo-Scanning Electron Microscopy (CryoSEM) of Egg Yolk Gels Acidified with Citric Acid
Figure 5 shows the images obtained by means of CryoSEM for six egg yolk (45 wt.%) samples at pH 2, 4, and 6 BTC (Figure 5B.2,B.4,B.6) and ATC (Figure 5A.2,A.4,A.6), where the last digit corresponds to the pH value. This figure shows an apparent difference between unheated egg yok at pH 2 and at pH 4 and 6, which is consistent with the dramatic difference in rheological behavior from an elastic gel network (pH 2) to a viscous liquid dispersion (pH 4 and 6). In the first case, acidification-induced protein denaturation occurred, leading to aggregate formation [49,50]. It is worth outlining that this aggregation was conditioned by the strong electrostatic repulsions present. In this way, the image obtained at pH 2 BTC (Figure 5B.2) illustrates the formation of clusters that led to a string of beads network structure [9,16,51,52], explained by the fractal aggregation theory. However, egg yolk proteins at pH 4 (Figure 5B.4) and pH 6 (Figure 5B.6) essentially maintained their native structure, where both images correspond to frozen samples of a randomly distributed egg yolk protein dispersion.
Figure 5.
CryoSEM images obtained for egg yolk gel before thermal processing (B.2, B.4, B.6) and after thermal processing (A.2, A.4, A.6) at pH 2, 4, and 6, respectively.
As for the heated egg yolk gels, there is a difference in microstructure depending on the pH value. At pH 2 (Figure 5A.2), some linearity may be still identified. However, the thermal cycle applied seems to produce an evolution toward a more heterogeneous gel in line with the other two systems. This heat-induced evolution can explain the reduction in G* values at this pH. On the other side, near the isoelectric point (Figure 5A.6), the hydrophobic interactions induced by the thermal cycle applied are capable of producing relatively large random aggregates, driven by hydrophobic interactions, which lead to the formation of a heterogeneous particulate gel network in the absence of electrostatic repulsions [49]. This microstructure was the one that corresponded to gels of greater rheological consistency.
4. Conclusions
The native egg yolk at room temperature showed a relatively simple rheological behavior typical of a fluid with moderate interactions and viscoelastic functions. After adding citric acid and reducing the pH level of the unheated egg yolk, an increase in the values of both viscoelastic properties occurred for all the cases studied. As the pH moved away from the native value (pH 6), the net surface charge of the yolk proteins increased, producing a clear increase in repulsive interactions that led to an increase in the level of both viscoelastic functions. Although this fact implies a reduction in the flowability, the acidified egg yolk system at pH 3 showed a predominant liquid-like behavior that would enable it to be used in food emulsions and creams more safely by preventing the risk of foodborne illness. Furthermore, when the electrostatic interactions become strong enough, a fully developed protein gel network can be formed even at room temperature (e.g., pH 2). This gel formation in absence of any heat processing can be attributed to a denaturation process induced by acidification, which in combination with the electrostatic repulsions present led to the formation of linear clusters and that eventually leads to a “string of beads” gel network. The results obtained from linear viscoelastic tests and scanning electron microscopy confirm the formation of this type of protein gel network.
The application of the heat treatment generally produces a net structural reinforcement that is also greatly dependent on pH. At native pH, close to the isoelectric point, the thermal treatment induced a remarkable growth in viscoelastic functions that can be explained in terms of the typical multistage mechanism that applies for globular proteins [9]. This evolution, as well as the sol–gel transition, can be tailored by selecting the initial pH of the medium. The eventual protein gel network can be regarded as the result of a balance between heat-induced interactions (mainly hydrophobic interactions and disulphide bonds) and pH-dependent electrostatic repulsions. In any case, the final viscoelastic properties achieved after heat processing are in the same order of magnitude regardless of the acidic process applied. This effect, which resulted from the combination of acidic and heat processing, highlights the potential use of an acidified egg yolk system at pH 3 as a safer binding and texturing agent.
Author Contributions
Conceptualization, F.C. and A.G.; validation, F.C. and A.G.; formal analysis, J.M.A. and A.G.; investigation, J.M.A.; resources, J.M.A. and A.G.; data curation, J.M.A., M.F. and Y.L.-G.; writing—original draft preparation, J.M.A. and M.F.; writing—review and editing, J.M.A., F.C. and A.G.; supervision, F.C. and A.G.; project administration, F.C. and A.G.; funding acquisition, A.G. All authors have read and agreed to the published version of the manuscript.
Funding
This study has been financially supported by the “Consejería de Transformación Económica, Industria, Conocimiento y Universidades de la Junta de Andalucía-Agencia Andaluza del Conocimiento”, through the project PY20_01046 (Junta de Andalucía/FEDER, UE).
Institutional Review Board Statement
Not applicable.
Informed Consent Statement
Not applicable.
Data Availability Statement
All the results showed in the manuscript could be requested from the corresponding author who would provide them.
Acknowledgments
The authors would like to thank the Andalusian Goverment for the financial support provided by “Consejería de Transformación Económica, Industria, Conocimiento y Universidades de la Junta de Andalucía-Agencia Andaluza del Conocimiento” through the funding of the PY20_01046 project. The authors also acknowledge Universidad de Sevilla for hiringM.F. (call II.5, VPPI US).
Conflicts of Interest
All the authors confirm that the manuscript has not been previously published, being an original work. The authors also declare that they have no known competing financial interests or personal relationships that could have appeared to influence the work reported in this paper.
References
- FAO. FAO Statistic Division. Available online: http://www.fao.org/faostat/en/#data/QL (accessed on 7 July 2021).
- Kritchevsky, S.B. A Review of Scientific Research and Recommendations Regarding Eggs. J. Am. Coll. Nutr. 2004, 23, 596S–600S. [Google Scholar] [CrossRef] [PubMed]
- Yang, S.-C.; Baldwin, R.E. Functional properties of eggs in foods. In Egg Science and Technology; CRC Press: Boca Raton, FL, USA, 2017; pp. 405–463. [Google Scholar]
- Anton, M. Egg Yolk: Structures, Functionalities and Processes. J. Sci. Food Agric. 2013, 93, 2871–2880. [Google Scholar] [CrossRef]
- Kiosseoglou, V. Egg Yolk Protein Gels and Emulsions. Curr. Opin. Colloid Interface Sci. 2003, 8, 365–370. [Google Scholar] [CrossRef]
- Li-Chan, E.C.Y.; Powrie, W.D.; Nakai, S. The chemistry of eggs and egg products. In Egg Science and Technology; CRC Press: Boca Raton, FL, USA, 2017; pp. 105–175. [Google Scholar]
- Phillips, G.O.; Williams, P.A. Handbook of Hydrocolloids; Woodhead Publishing Limited: Cambridge, UK, 2009. [Google Scholar]
- Cordobes, F.; Carmona, J.A.; Martinez, I.; Partal, P.; Guerrero, A. Gelation of egg yolk: DSC, rheology and electron microscopy. In Gums and Stabilizers for the Food Industry 12; Williams, P.A., Phillips, G.O., Eds.; Royal Society of Chemistry: London, UK, 2004; pp. 179–186. ISBN 0260-6291 0-85404-891-X. [Google Scholar]
- Guerrero, A.; Carmona, J.; Martinez, I.; Cordobes, F.; Partal, P. Effect of PH and Added Electrolyte on the Thermal-Induced Transitions of Egg Yolk. Rheol. Acta 2004, 43, 539–549. [Google Scholar] [CrossRef]
- Aguilar, J.M.; Cordobes, F.; Jerez, A.; Guerrero, A. Influence of High Pressure Processing on the Linear Viscoelastic Properties of Egg Yolk Dispersions. Rheol. Acta 2007, 46, 731–740. [Google Scholar] [CrossRef]
- Aguilar, J.M.; Cordobés, F.; Bengoechea, C.; Guerrero, A. Heat-Induced Gelation of Egg Yolk as a Function of PH. Does the Type of Acid Make Any Difference? Food Hydrocoll. 2019, 87, 142–148. [Google Scholar] [CrossRef]
- Raikos, V.; Campbell, L.; Euston, S.R. Rheology and Texture of Hen’s Egg Protein Heat-Set Gels as Affected by PH and the Addition of Sugar and/or Salt. Food Hydrocoll. 2007, 21, 237–244. [Google Scholar] [CrossRef]
- Katzav, H.; Chirug, L.; Okun, Z.; Davidovich-Pinhas, M.; Shpigelman, A. Comparison of Thermal and High-Pressure Gelation of Potato Protein Isolates. Foods 2020, 9, 1041. [Google Scholar] [CrossRef]
- Pou, K.R.J. Applications of High Pressure Technology in Food Processing. Int. J. Food Stud. 2021, 10. [Google Scholar] [CrossRef]
- Clark, A.H.; Kavanagh, G.M.; Ross-Murphy, S.B. Globular Protein Gelation—Theory and Experiment. Food Hydrocoll. 2001, 15, 383–400. [Google Scholar] [CrossRef]
- Yada, R.Y. Proteins in Food Processing; Woodhead Publishing Series in Food Science, Technology and Nutrition; Elsevier Science: Duxford, UK, 2017; ISBN 9780081007297. [Google Scholar]
- Anton, M.; Nau, F.; Lechevalier, V. 14—Egg proteins. In Handbook of Hydrocolloids, Woodhead Publishing Series in Food Science, Technology and Nutrition, 2nd ed.; Phillips, G.O., Williams, P.A., Eds.; Woodhead Publishing: Duxford, UK, 2009; pp. 359–382. ISBN 978-1-84569-414-2. [Google Scholar]
- Aguilar, J.M.; López-Castejón, M.; Cordobés, F.; Guerrero, A. Efecto Del PH y Del Procesado Térmico Sobre Las Propiedades Viscoelásticas Lineales de La Yema de Huevo Acidulada Con Ácido Clorhídrico. Afinidad 2020, 77, 22–30. [Google Scholar]
- Aguilar, J.M.; Batista, A.P.; Nunes, M.C.; Cordobes, F.; Raymundo, A.; Guerrero, A. From Egg Yolk/Kappa-Carrageenan Dispersions to Gel Systems: Linear Viscoelasticity and Texture Analysis. Food Hydrocoll. 2011, 25, 654–658. [Google Scholar] [CrossRef] [Green Version]
- Cao, F.-H.; Li, X.-J.; Luo, S.-Z.; Mu, D.-D.; Zhong, X.-Y.; Jiang, S.-T.; Zheng, Z.; Zhao, Y.-Y. Effects of Organic Acid Coagulants on the Physical Properties of and Chemical Interactions in Tofu. LWT Food Sci. Technol. 2017, 85, 58–65. [Google Scholar] [CrossRef]
- Nielsen, L.; Knøchel, S. Inactivation of Salmonella Strains in Acidified Broth and Raw Egg Yolk as a Function of PH and Acid Type. Food Microbiol. 2020, 92, 103574. [Google Scholar] [CrossRef] [PubMed]
- Harrison, L.J.; Cunningham, F.E. Influence of Salt on Properties of Liquid Yolk and Functionality in Mayonnaise1. Poult. Sci. 1986, 65, 915–921. [Google Scholar] [CrossRef]
- Miranda, J.; Partal, P.; Cordobes, F.; Guerrero, A. Rheological Characterization of Egg Yolk Processed by Spray-Drying and Lipid-Cholesterol Extraction with Carbon Dioxide. J. Am. Oil Chem. Soc. 2002, 79, 183–190. [Google Scholar] [CrossRef]
- Navidghasemizad, S.; Temelli, F.; Wu, J. Phase Separation Behavior of Egg Yolk Suspensions after Anionic Polysaccharides Addition. Carbohydr. Polym. 2015, 117, 297–303. [Google Scholar] [CrossRef]
- Cordobes, F.; Partal, P.; Guerrero, A. Rheology and Microstructure of Heat-Induced Egg Yolk Gels. Rheol. Acta 2004, 43, 184–195. [Google Scholar] [CrossRef]
- Tunick, M.H. Small-Strain Dynamic Rheology of Food Protein Networks. J. Agric. Food Chem. 2011, 59, 1481–1486. [Google Scholar] [CrossRef]
- Subramanian, R.; Muthukumarappan, K.; Gunasekaran, S. Linear Viscoelastic Properties of Regular- and Reduced-Fat Pasteurized Process Cheese During Heating and Cooling. Int. J. Food Prop. 2006, 9, 377–393. [Google Scholar] [CrossRef]
- Chen, N.; Zhao, M.; Niepceron, F.; Nicolai, T.; Chassenieux, C. The Effect of the PH on Thermal Aggregation and Gelation of Soy Proteins. Food Hydrocoll. 2017, 66, 27–36. [Google Scholar] [CrossRef]
- Liu, Q.; Bao, H.; Xi, C.; Miao, H. Rheological Characterization of Tuna Myofibrillar Protein in Linear and Nonlinear Viscoelastic Regions. J. Food Eng. 2014, 121, 58–63. [Google Scholar] [CrossRef]
- van der Linden, E.; Foegeding, E.A. CHAPTER 2—Gelation: Principles, Models and Applications to Proteins. In Modern Biopolymer Science; Kasapis, S., Norton, I.T., Ubbink, J.B., Eds.; Academic Press: San Diego, CA, USA, 2009; pp. 29–91. ISBN 978-0-12-374195-0. [Google Scholar]
- Rocha, C.; Teixeira, J.A.; Hilliou, L.; Sampaio, P.; Gonçalves, M.P. Rheological and Structural Characterization of Gels from Whey Protein Hydrolysates/Locust Bean Gum Mixed Systems. Food Hydrocoll. 2009, 23, 1734–1745. [Google Scholar] [CrossRef] [Green Version]
- Sánchez, A.C.; Burgos, J. Gelation of Sunflower Globulin Hydrolysates: Rheological and Calorimetric Studies. J. Agric. Food Chem. 1997, 45, 2407–2412. [Google Scholar] [CrossRef]
- Dàvila, E.; Parés, D.; Cuvelier, G.; Relkin, P. Heat-Induced Gelation of Porcine Blood Plasma Proteins as Affected by PH. Meat Sci. 2007, 76, 216–225. [Google Scholar] [CrossRef] [PubMed]
- Weijers, M.; Sagis, L.M.C.; Veerman, C.; Sperber, B.; van der Linden, E. Rheology and Structure of Ovalbumin Gels at Low PH and Low Ionic Strength. Food Hydrocoll. 2002, 16, 269–276. [Google Scholar] [CrossRef]
- Aguilar, J.M.; Jaramillo, A.; Cordobes, F.; Guerrero, A. Influence of thermal processing on the rheology of egg albumen gels. Afinidad 2010, 67, 28–32. [Google Scholar]
- Tombs, M.P. Gelation of Globular Proteins. Faraday Discuss. Chem. Soc. 1974, 57, 158–164. [Google Scholar] [CrossRef]
- Doi, E. Gels and Gelling of Globular Proteins. Trends Food Sci. Technol. 1993, 4, 1–5. [Google Scholar] [CrossRef]
- Totosaus, A.; Montejano, J.G.; Salazar, J.A.; Guerrero, I. A Review of Physical and Chemical Protein-Gel Induction. Int. J. Food Sci. Technol. 2002, 37, 589–601. [Google Scholar] [CrossRef]
- Lucey, J.A.; Singh, H. Formation and Physical Properties of Acid Milk Gels: A Review. Food Res. Int. 1997, 30, 529–542. [Google Scholar] [CrossRef]
- Aguilar, J.M.; López-Castejón, M.; Cordobés, F.; Guerrero, A. Effect of PH and Thermal Processíng on Linear Víscoelastíc Propertíes of Egg Yolk Acídulated Wíth Hydrochloríc Acíd. Afinidad 2020, 77, 22–30. [Google Scholar]
- Clark, D.C.; Mackie, A.R.; Smith, L.J.; Wilson, D.R. The Interaction of Bovine Serum Albumin and Lysozyme and Its Effect on Foam Composition. Top. Catal. 1988, 2, 209–223. [Google Scholar] [CrossRef]
- Zhang, G.; Chen, Y.; Deng, Y.; Ngai, T.; Wang, C. Dynamic Supramolecular Hydrogels: Regulating Hydrogel Properties through Self-Complementary Quadruple Hydrogen Bonds and Thermo-Switch. ACS Macro Lett. 2017, 6, 641–646. [Google Scholar] [CrossRef]
- Felix, M.; Romero, A.; Rustad, T.; Guerrero, A. Physicochemical, Microstructure and Bioactive Characterization of Gels Made from Crayfish Protein. Food Hydrocoll. 2017, 63, 429–436. [Google Scholar] [CrossRef] [Green Version]
- Mitchell, J.R. The Rheology of Gels. J. Texture Stud. 1980, 11, 315–337. [Google Scholar] [CrossRef]
- Renard, D.; Lefebvre, J. Gelation of Globular Proteins: Effect of PH and Ionic Strength on the Critical Concentration for Gel Formation. A Simple Model and Its Application to β-Lactoglobulin Heat-Induced Gelation. Int. J. Biol. Macromol. 1992, 14, 287–291. [Google Scholar] [CrossRef]
- Mishyna, M.; Martinez, J.-J.I.; Chen, J.; Davidovich-Pinhas, M.; Benjamin, O. Heat-Induced Aggregation and Gelation of Proteins from Edible Honey Bee Brood (Apis Mellifera) as a Function of Temperature and PH. Food Hydrocoll. 2019, 91, 117–126. [Google Scholar] [CrossRef]
- Damodaran, S. Food Proteins and Their Applications; CRC Press: Boca Raton, FL, USA, 2017; ISBN 9781351447539. [Google Scholar]
- Lunven, P.; Marcq, C.L.C.D.S.; Carnovale, E.; Fratoni, A. Amino Acid Composition of Hen’s Egg. Br. J. Nutr. 1973, 30. [Google Scholar] [CrossRef] [Green Version]
- Boye, J.I.; Ma, C.-Y.; Ismail, A.; Harwalkar, V.R.; Kalab, M. Molecular and Microstructural Studies of Thermal Denaturation and Gelation of β-Lactoglobulins A and B. J. Agric. Food Chem. 1997, 45, 1608–1618. [Google Scholar] [CrossRef]
- Verheul, M.; Roefs, S.P.F.M. Structure of Particulate Whey Protein Gels: Effect of NaCl Concentration, PH, Heating Temperature, and Protein Composition. J. Agric. Food Chem. 1998, 46, 4909–4916. [Google Scholar] [CrossRef]
- Aymard, P.; Nicolai, T.; Durand, D.; Clark, A. Static and Dynamic Scattering of β-Lactoglobulin Aggregates Formed after Heat-Induced Denaturation at PH 2. Macromolecules 1999, 32, 2542–2552. [Google Scholar] [CrossRef]
- Nishinari, K.; Zhang, H.; Ikeda, S. Hydrocolloid Gels of Polysaccharides and Proteins. Curr. Opin. Colloid Interface Sci. 2000, 5, 195–201. [Google Scholar] [CrossRef]
Publisher’s Note: MDPI stays neutral with regard to jurisdictional claims in published maps and institutional affiliations. |
© 2021 by the authors. Licensee MDPI, Basel, Switzerland. This article is an open access article distributed under the terms and conditions of the Creative Commons Attribution (CC BY) license (https://creativecommons.org/licenses/by/4.0/).




