Computational Fluid Dynamics Modeling of Rotating Annular VUV/UV Photoreactor for Water Treatment
Abstract
1. Introduction
2. Materials and Methods
2.1. Hydrodynamics
2.2. Radiative Transfer Model
2.3. Kinetic Reaction Model
2.4. Geometry of RAVR and System Setup
2.5. Boundary Conditions and Numerical Solution
2.6. Chemicals and Analytical Methods
3. Results and Discussion
3.1. Hydrodynamics
3.2. Pressure Field
3.3. UV Radiation
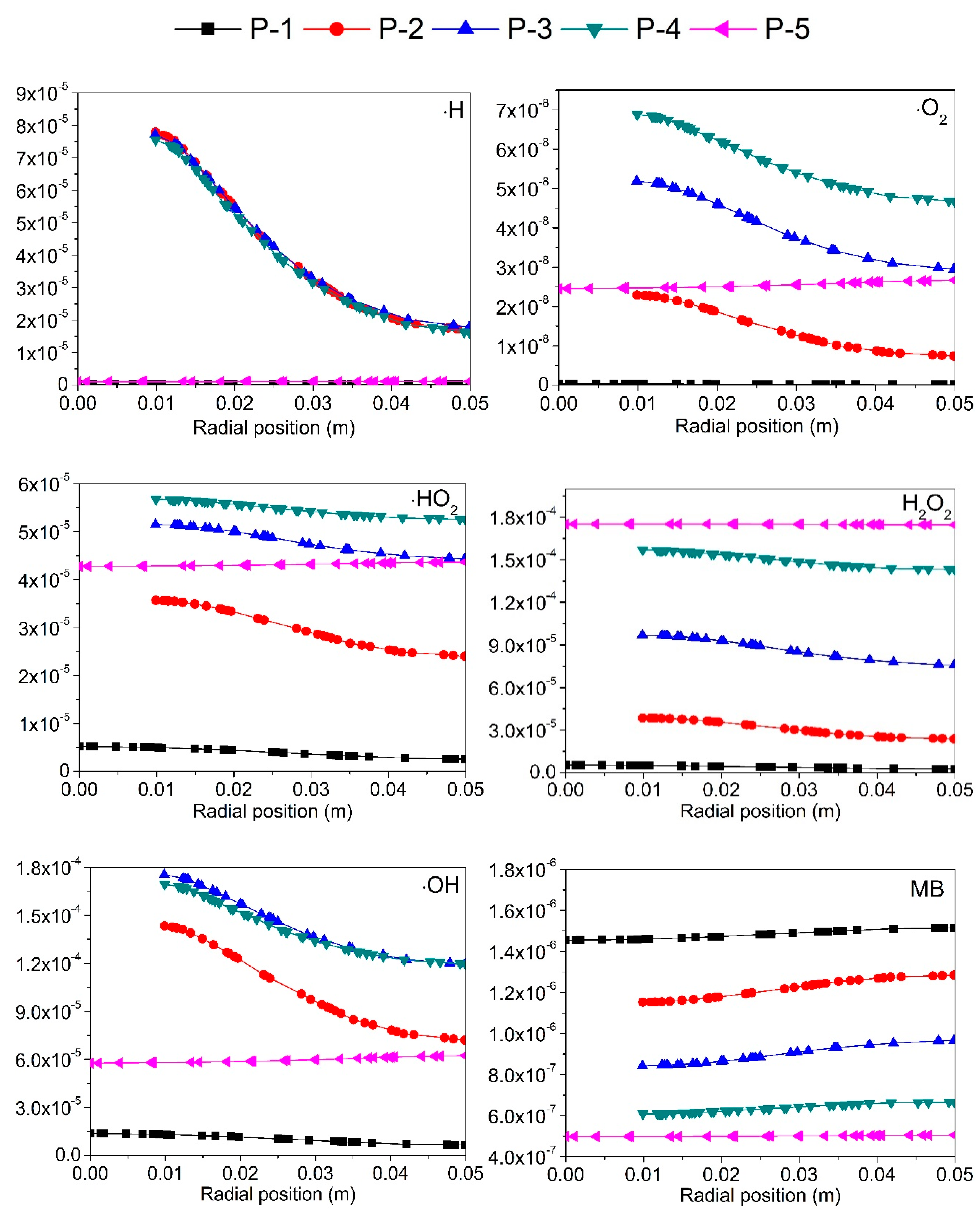
3.4. Degradation Reaction
3.5. Comparison of Experimental and Simulation Results
4. Conclusions
Author Contributions
Funding
Conflicts of Interest
References
- Bagheri, M.; Mohseni, M. Computational fluid dynamics (CFD) modeling of VUV/UV photoreactors for water treatment. Chem. Eng. J. 2014, 256, 51–60. [Google Scholar] [CrossRef]
- Alpert, S.M.; Knappe, D.R.U.; Ducoste, J.J. Modeling the UV/hydrogen peroxide advanced oxidation process using computational fluid dynamics. Water Res. 2010, 44, 1797–1808. [Google Scholar] [CrossRef] [PubMed]
- Santoro, D.; Raisee, M.; Moghaddami, M.; Ducoste, J.; Sasges, M.; Liberti, L.; Notarnicola, M. Modeling Hydroxyl Radical Distribution and Trialkyl Phosphates Oxidation in UV−H2O2 Photoreactors Using Computational Fluid Dynamics. Environ. Sci. Technol. 2010, 44, 6233–6241. [Google Scholar] [CrossRef] [PubMed]
- Imoberdorf, G.; Mohseni, M. Modeling and experimental evaluation of vacuum-UV photoreactors for water treatment. Chem. Eng. Sci. 2011, 66, 1159–1167. [Google Scholar] [CrossRef]
- Imoberdorf, G.; Mohseni, M. Kinetic study and modeling of the vacuum-UV photoinduced degradation of 2,4-D. Chem. Eng. J. 2012, 187, 114–122. [Google Scholar] [CrossRef]
- Li, W.; Li, M.; Wen, D.; Qiang, Z. Development of economical-running strategy for multi-lamp UV disinfection reactor in secondary water supply systems with computational fluid dynamics simulations. Chem. Eng. J. 2018, 343, 317–323. [Google Scholar] [CrossRef]
- Luo, M.; Chen, Q.; Jeong, T.; Chen, J. Numerical modelling of a three-phase internal air-lift circulating photocatalytic reactor. Water Sci. Technol. 2017, 76, 3044–3053. [Google Scholar] [CrossRef]
- Wiemann, D.; Mewes, D. Calculation of flow fields in two and three-phase bubble columns considering mass transfer. Chem. Eng. Sci. 2005, 60, 6085–6093. [Google Scholar] [CrossRef]
- Gonzalez, M.; Oliveros, E.; Worner, M.; Braun, A. Vacuum-ultraviolet photolysis of aqueous reaction systems. J. Photochem. Photobiol. C 2004, 5, 225–246. [Google Scholar] [CrossRef]
- Bielski, B.H.J.; Cabelli, D.E.; Arudi, R.L.; Ross, A.B. Reactivity of hydroperoxyl/superoxide radicals in aqueous solution. J. Phys. Chem. Ref. Data 1985, 14, 1041–1100. [Google Scholar] [CrossRef]
- Buxton, G.V.; Greenstock, C.L.; Helman, W.P.; Ross, A.B. Critical Review of rate constants for reactions of hydrated electrons, hydrogen atoms and hydroxyl radicals in Aqueous Solution. J. Phys. Chem. Ref. Data 1988, 17, 513–886. [Google Scholar] [CrossRef]
- Crittenden, J.C.; Hu, S.; Hand, D.W.; Green, S.A. A kinetic model for H2O2/UV process inacompletely mixed batch reactor. Water Res. 1999, 33, 2315–2328. [Google Scholar] [CrossRef]
- Draganic, Z.D.; Draganic, I.G. Studies on the formation of primary yields of hydroxyl radical and hydrated electron in the g-radiolysis of water. J. Phys. Chem. 1973, 77, 765–772. [Google Scholar] [CrossRef]
- Basfar, A.A.; Khan, H.M.; Al-Shahrani, A.A.; Cooper, W.J. Radiation induced decomposition of methyl tert-butyl ether in water in presence of chloroform: Kinetic modelling. Water Res. 2005, 39, 2085–2095. [Google Scholar] [CrossRef] [PubMed]
- Mak, F.T.; Zele, S.R.; Cooper, W.J.; Kurucz, C.N.; Waite, T.D.; Nickelsen, M.G. Kinetic modeling of carbon tetrachloride, chloroform and methylene chloride removal from aqueous solution using the electron beam process. Water Res. 1997, 31, 219–228. [Google Scholar] [CrossRef]
- Klassen, N.V.; Marchington, D.; McGowan, H.C. H2O2 determination by the I3- method and by KMnO4 titration. Anal. Chem. 1994, 66, 2921–2925. [Google Scholar] [CrossRef]
- Wols, B.; Harmsen, D.; Wanders-Dijk, J.; Beerendonk, E.; Hofman-Caris, C. Degradation of pharmaceuticals in UV (LP)/H2O2 reactors simulated by means of kinetic modeling and computational fluid dynamics (CFD). Water Res. 2015, 75, 11–24. [Google Scholar] [CrossRef]
- Li, W.; Li, M.; Bolton, J.R.; Qiang, Z. Configuration optimization of UV reactors for water disinfection with computational fluid dynamics: Feasibility of using particle minimum UV dose as a performance indicator. Chem. Eng. J. 2016, 306, 1–8. [Google Scholar] [CrossRef]
- Hofman-Caris, R.C.; Harmsen, D.J.; Beerendonk, E.F.; Knol, T.H.; Houtman, C.J.; Metz, D.H.; Wols, B. Prediction of advanced oxidation performance in various pilot UV/H2O2 reactor systems with MP- and LP- and DBD-UV lamps. Chem. Eng. J. 2012, 210, 520–528. [Google Scholar] [CrossRef]
- Bagheri, M.; Mohseni, M. A study of enhanced performance of VUV/UV process for the degradation of micropollutants from contaminated water. J. Hazard. Mater. 2015, 294, 1–8. [Google Scholar] [CrossRef]
- Casado, C.; Marugán, J.; Timmers, R.; Muñoz, M.; Vangrieken, R. Comprehensive multiphysics modeling of photocatalytic processes by computational fluid dynamics based on intrinsic kinetic parameters determined in a differential photoreactor. Chem. Eng. J. 2017, 310, 368–380. [Google Scholar] [CrossRef]
- Yu, H.; Song, L.; Hao, Y.; Lu, N.; Quan, X.; Chen, S.; Zhang, Y.; Feng, Y. Fabrication of pilot-scale photocatalytic disinfection device by installing TiO2 coated helical support into UV annular reactor for strengthening sterilization. Chem. Eng. J. 2016, 283, 1506–1513. [Google Scholar] [CrossRef]








| No. | Reaction Equation | Rate Constant | Reference |
|---|---|---|---|
| 1 | Gonzalez et al., 2004 [9] | ||
| 2 | Gonzalez et al., 2004 [9] | ||
| 3 | Gonzalez et al., 2004 [9] | ||
| 4 | Gonzalez et al., 2004 [9] | ||
| 5 | Gonzalez et al., 2004 [9] | ||
| 6 | Gonzalez et al., 2004 [9] | ||
| 7 | Gonzalez et al., 2004 [9] | ||
| 8 | Gonzalez et al., 2004 [9] | ||
| 9 | Gonzalez et al., 2004 [9] | ||
| 10 | Gonzalez et al., 2004 [9] | ||
| 11 | Gonzalez et al., 2004 [9] | ||
| 12 | Gonzalez et al., 2004 [9] | ||
| 13 | Gonzalez et al., 2004 [9] | ||
| 14 | Gonzalez et al., 2004 [9] | ||
| 15 | Bielski et al., 1985 [10] | ||
| 16 | Buxton et al., 1988 [11] | ||
| 17 | Buxton et al., 1988 [11] | ||
| 18 | Gonzalez et al., 2004 [9] | ||
| 19 | Gonzalez et al., 2004 [9] | ||
| 20 | Gonzalez et al., 2004 [9] | ||
| 21 | Crittenden et al., 1999 [12] | ||
| 22 | Buxton et al., 1988 [11] | ||
| 23 | Draganic and Draganic, 1973 [13] | ||
| 24 | Basfar et al., 2005 [14] | ||
| 25 | Basfar et al., 2005 [14] | ||
| 26 | Basfar et al., 2005 [14] | ||
| 27 | Basfar et al., 2005 [14] | ||
| 28 | Basfar et al., 2005 [14] | ||
| 29 | Mak et al., 1997 [15] | ||
| 30 | Mak et al., 1997 [15] | ||
| 31 | Buxton et al., 1988 [11] |
Publisher’s Note: MDPI stays neutral with regard to jurisdictional claims in published maps and institutional affiliations. |
© 2020 by the authors. Licensee MDPI, Basel, Switzerland. This article is an open access article distributed under the terms and conditions of the Creative Commons Attribution (CC BY) license (http://creativecommons.org/licenses/by/4.0/).
Share and Cite
Luo, M.; Xu, W.; Kang, X.; Ding, K.; Jeong, T. Computational Fluid Dynamics Modeling of Rotating Annular VUV/UV Photoreactor for Water Treatment. Processes 2021, 9, 79. https://doi.org/10.3390/pr9010079
Luo M, Xu W, Kang X, Ding K, Jeong T. Computational Fluid Dynamics Modeling of Rotating Annular VUV/UV Photoreactor for Water Treatment. Processes. 2021; 9(1):79. https://doi.org/10.3390/pr9010079
Chicago/Turabian StyleLuo, Minghan, Wenjie Xu, Xiaorong Kang, Keqiang Ding, and Taeseop Jeong. 2021. "Computational Fluid Dynamics Modeling of Rotating Annular VUV/UV Photoreactor for Water Treatment" Processes 9, no. 1: 79. https://doi.org/10.3390/pr9010079
APA StyleLuo, M., Xu, W., Kang, X., Ding, K., & Jeong, T. (2021). Computational Fluid Dynamics Modeling of Rotating Annular VUV/UV Photoreactor for Water Treatment. Processes, 9(1), 79. https://doi.org/10.3390/pr9010079

