Characteristics of Gliding Arc Plasma and Its Application in Swirl Flame Static Instability Control
Abstract
1. Introduction
2. Experimental Facility
2.1. Pulsating Air Flow Generator
2.2. The Multi-Burner and Arrangement of Electrodes
2.3. The Gliding Arc Plasma Power Supply and Measurements
3. Results and Discussion
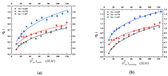
3.1. Characteristics of Gliding arc Plasma Discharge in Stable Flow Mode
3.2. The Influence of Static Instability on the Lean Blowout Limits of Swirl Flame
3.3. The Improvement of Lean Blow-Out Limits with Gliding Arc Plasma
3.4. Dynamic Analysis of Swirl Flame in Pulsating Flow with Plasma
4. Conclusions
Author Contributions
Funding
Acknowledgments
Conflicts of Interest
References
- Oefelein, J.C.; Yang, V. Comprehensive Review of Liquid-Propellant Combustion Instabilities in F-1 Engines. J. Propuls. Power 1993, 9, 657–677. [Google Scholar] [CrossRef]
- Malbois, P.; Salaun, E.; Vandel, A.; Godard, G.; Cabot, G.; Renou, B.; Boukhalfa, A.M.; Grisch, F. Experimental investigation of aerodynamics and structure of a swirl-stabilized kerosene spray flame with laser diagnostics. Combust. Flame 2019, 205, 109–122. [Google Scholar] [CrossRef]
- Nair, S.; Lieuwen, T. Acoustic detection of blowout in premixed flames. J. Propuls. Power 2005, 21, 32–39. [Google Scholar] [CrossRef]
- Mongia, H.C.; Held, T.; Hsiao, G.; Pandalai, R. Challenges and progress in controlling dynamics in gas turbine combustors. J. Propuls. Power 2003, 19, 822–829. [Google Scholar] [CrossRef]
- Strutt, J.W.; Rayleigh, B. The Theory of Sound; Macmillan: London, UK, 1945. [Google Scholar]
- Candel, S.; Durox, D.; Schuller, T.; Bourgouin, J.-F.; Moeck, J.P. Dynamics of swirling flames. Annu. Rev. Fluid Mech. 2014, 46, 147–173. [Google Scholar] [CrossRef]
- Ateshkadi, A.; McDonell, V.G.; Samuelsen, G.S. Lean blowout model for a spray-fired swirl-stabilized combustor. Proc. Combust. Inst. 2000, 28, 1281–1288. [Google Scholar] [CrossRef]
- Richards, G.A.; Straub, D.L.; Robey, E.H. Passive control of combustion dynamics in stationary gas turbines. J. Propuls. Power 2003, 19, 795–810. [Google Scholar] [CrossRef]
- Ju, Y.G.; Sun, W.T. Plasma assisted combustion: Dynamics and chemistry. Prog. Energy Combust. Sci. 2015, 48, 21–83. [Google Scholar] [CrossRef]
- Leonov, S.B.; Yarantsev, D.A.; Napartovich, A.P.; Kochetov, I.V. Plasma-assisted chemistry in high-speed flow. Plasma Sci. Technol. 2007, 9, 760–765. [Google Scholar] [CrossRef]
- Leonov, S.B.; Yarantsev, D.A. Plasma-induced ignition and plasma-assisted combustion in high-speed flow. Plasma Sources Sci. Technol. 2007, 16, 132–138. [Google Scholar] [CrossRef]
- Pilla, G.; Galley, D.; Lacoste, D.A.; Lacas, F.; Veynante, D.; Laux, C.O. Stabilization of a turbulent premixed flame using a nanosecond repetitively pulsed plasma. IEEE Trans. Plasma Sci. 2006, 34, 2471–2477. [Google Scholar] [CrossRef]
- Ombrello, T.; Qin, X.; Ju, Y.; Gutsol, A.; Fridman, A. Enhancement of combustion and flame stabilization using stabilized non-equilibrium plasma. In Proceedings of the 43rd AIAA Aerospace Sciences Meeting and Exhibit, Reno, NV, USA, 10–13 January 2005; p. 1194. [Google Scholar]
- Ombrello, T.; Qin, X.; Ju, Y.; Gangoli, S.; Gutsol, A.; Fridman, A. Non-equilibrium plasma discharge: Characterization and effect on ignition. In Proceedings of the 44th AIAA Aerospace Sciences Meeting and Exhibit, Reno, NV, USA, 9–12 January 2006; p. 1214. [Google Scholar]
- Ombrello, T.; Qin, X.; Ju, Y.; Gutsol, A.; Fridman, A.; Carter, C. Combustion Enhancement via Stabilized Piecewise Nonequilibrium Gliding Arc Plasma Discharge. AIAA J. 2006, 44, 142–150. [Google Scholar] [CrossRef]
- Fridman, A.; Gutsol, A.; Gangoli, S.; Ju, Y.G.; Ombrellol, T. Characteristics of Gliding Arc and Its Application in Combustion Enhancement. J. Propuls. Power 2008, 24, 1216–1228. [Google Scholar] [CrossRef]
- Ombrello, T.; Ju, Y.; Fridman, A. Kinetic Ignition Enhancement of Diffusion Flames by Nonequilibrium Magnetic Gliding Arc Plasma. AIAA J. 2008, 46, 2424–2433. [Google Scholar] [CrossRef]
- Moeck, J.P.; Lacoste, D.A.; Durox, D.; Guiberti, T.F.; Schuller, T.; Laux, C.O. Stabilization of a Methane-Air Swirl Flame by Rotating Nanosecond Spark Discharges. IEEE Trans. Plasma Sci. 2014, 42, 2412–2413. [Google Scholar] [CrossRef]
- Larsson, A.; Zettervall, N.; Hurtig, T.; Nilsson, E.J.K.; Ehn, A.; Petersson, P.; Alden, M.; Larfeldt, J.; Fureby, C. Skeletal Methane-Air Reaction Mechanism for Large Eddy Simulation of Turbulent Microwave-Assisted Combustion. Energy Fuels 2017, 31, 1904–1926. [Google Scholar] [CrossRef]
- Discepoli, G.; Cruccolini, V.; Ricci, F.; Di Giuseppe, A.; Papi, S.; Grimaldi, C.N. Experimental characterisation of the thermal energy released by a Radio-Frequency Corona Igniter in nitrogen and air. Appl. Energy 2020, 263, 13. [Google Scholar] [CrossRef]
- Zhu, J.J.; Ehn, A.; Gao, J.L.; Kong, C.D.; Alden, M.; Salewski, M.; Leipold, F.; Kusano, Y.; Li, Z.S. Translational, rotational, vibrational and electron temperatures of a gliding arc discharge. Opt. Express 2017, 25, 20243–20257. [Google Scholar] [CrossRef]
- Zhu, J.J. Optical Diagnostics of Non-Thermal Plasmas and Plasma-Assisted Combustion. Ph.D. Thesis, Lund University, Lund, Sweden, 2015. [Google Scholar]
- Sun, Z.W.; Zhu, J.J.; Li, Z.S.; Aldén, M.; Leipold, F.; Salewski, M.; Kusano, Y. Optical diagnostics of a gliding arc. Opt. Express 2013, 21, 6028–6044. [Google Scholar] [CrossRef]
- Beér, J.M.; Chigier, N.A. Combustion Aerodynamics; Applied Science Publication: London, UK, 1972. [Google Scholar]
- Cheng, R.K.; Littlejohn, D.; Strakey, P.A.; Sidwell, T. Laboratory investigations of a low-swirl injector with H-2 and CH4 at gas turbine conditions. Proc. Combust. Inst. 2009, 32, 3001–3009. [Google Scholar] [CrossRef]
- Niu, Z.T.; Zhang, C.; Ma, Y.F.; Wang, R.X.; Chen, G.Y.; Yan, P.; Shao, T. Effect of flow rate on the characteristics of repetitive microsecond-pulse gliding discharges. Acta Phys. Sin. 2015, 64, 8. [Google Scholar] [CrossRef]
- Feng, R.; Li, J.; Wu, Y.; Jia, M.; Jin, D.; Lin, B.X. Experimental Research on Discharge Characteristics of Multiple-channel Gliding Arc Discharge. High Volt. Eng. 2018, 44, 4052–4060. [Google Scholar]
- Kong, C.D.; Gao, J.L.; Zhu, J.J.; Ehn, A.; Alden, M.; Li, Z.S. Characteristics of a Gliding Arc Discharge Under the Influence of a Laminar Premixed Flame. IEEE Trans. Plasma Sci. 2019, 47, 403–409. [Google Scholar] [CrossRef]
- Kong, C.D.; Gao, J.L.; Zhu, J.J.; Ehn, A.; Alden, M.; Li, Z.S. Effect of turbulent flow on an atmospheric-pressure AC powered gliding arc discharge. J. Appl. Phys. 2018, 123, 9. [Google Scholar] [CrossRef]
- Nair, S.; Lieuwen, T. Near-blowoff dynamics of a bluff-body stabilized flame. J. Propuls. Power 2007, 23, 421–427. [Google Scholar] [CrossRef]
- Cui, W.; Ren, Y.H.; Li, S.Q. Stabilization of Premixed Swirl Flames Under Flow Pulsations Using Microsecond Pulsed Plasmas. J. Propuls. Power 2018, 35, 190–200. [Google Scholar] [CrossRef]
- Cohen, J.; Bennett, J. An experimental study of the transient flow over a backward-facing step. In Proceedings of the 34th Aerospace Sciences Meeting and Exhibit, Reno, NV, USA, 15–18 January 1996; p. 322. [Google Scholar]
- Zhou, B.; Brackmann, C.; Li, Q.; Wang, Z.K.; Petersson, P.; Li, Z.S.; Alden, M.; Bai, X.S. Distributed reactions in highly turbulent premixed methane/air flames Part I. Flame structure characterization. Combust. Flame 2015, 162, 2937–2953. [Google Scholar] [CrossRef]
- Gao, J.; Kong, C.; Zhu, J.; Ehn, A.; Hurtig, T.; Tang, Y.; Chen, S.; Aldén, M.; Li, Z. Visualization of instantaneous structure and dynamics of large-scale turbulent flames stabilized by a gliding arc discharge. Proc. Combust. Inst. 2019, 37, 5629–5636. [Google Scholar] [CrossRef]
- Poinsot, T.J.; Trouve, A.C.; Veynante, D.P.; Candel, S.M.; Esposito, E.J. Vortex-driven acoustically coupled combustion instabilities. J. Fluid Mech. 1987, 177, 265–292. [Google Scholar] [CrossRef]
- Bandaru, R.; Miller, S.; Lee, J.G.; Santavicca, D. Sensors for measuring primary zone equivalence ratio in gas turbine combustors. In Proceedings of the Advanced Sensors and Monitors for Process Industries and the Environment, Boston, MA, USA, 22 January 1999; p. 11. [Google Scholar]
- Venkataraman, K.; Preston, L.; Simons, D.; Lee, B.; Lee, J.; Santavicca, D. Mechanism of combustion instability in a lean premixed dump combustor. J. Propuls. Power 1999, 15, 909–918. [Google Scholar] [CrossRef]
- Huang, S.F.; Wu, Y.; Song, H.M.; Zhu, J.J.; Zhang, Z.B.; Song, X.L.; Li, Y.H. Experimental investigation of multichannel plasma igniter in a supersonic model combustor. Exp. Therm. Fluid Sci. 2018, 99, 315–323. [Google Scholar] [CrossRef]
- Liu, Y.; Tan, J.G.; Wang, H.; Gao, Z.W. Radiation Characteristics of Radicals in Low Swirl Methane-Air Flames. J. Propuls. Technol. 2019, 40, 2022–2029. [Google Scholar]
















© 2020 by the authors. Licensee MDPI, Basel, Switzerland. This article is an open access article distributed under the terms and conditions of the Creative Commons Attribution (CC BY) license (http://creativecommons.org/licenses/by/4.0/).
Share and Cite
Chen, W.; Jin, D.; Cui, W.; Huang, S. Characteristics of Gliding Arc Plasma and Its Application in Swirl Flame Static Instability Control. Processes 2020, 8, 684. https://doi.org/10.3390/pr8060684
Chen W, Jin D, Cui W, Huang S. Characteristics of Gliding Arc Plasma and Its Application in Swirl Flame Static Instability Control. Processes. 2020; 8(6):684. https://doi.org/10.3390/pr8060684
Chicago/Turabian StyleChen, Weiqi, Di Jin, Wei Cui, and Shengfang Huang. 2020. "Characteristics of Gliding Arc Plasma and Its Application in Swirl Flame Static Instability Control" Processes 8, no. 6: 684. https://doi.org/10.3390/pr8060684
APA StyleChen, W., Jin, D., Cui, W., & Huang, S. (2020). Characteristics of Gliding Arc Plasma and Its Application in Swirl Flame Static Instability Control. Processes, 8(6), 684. https://doi.org/10.3390/pr8060684
