Aerodynamic Studies on Non-Premixed Oxy-Methane Flames and Separated Oxy-Methane Cold Jets
Abstract
Highlights
- Mixing characteristics of three-inline non-premixed Oxy-methane flames have been investigated computationally at different inlet velocities and temperatures. Three-inline separated Oxy-methane cold jets were also studied for comparison.
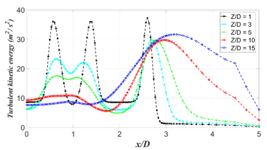
- The flame behavior is investigated by means of velocity and turbulent kinetic energy distributions at different streamwise locations.
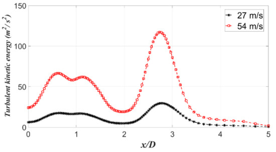
- Inlet temperature, inlet velocity, and combustion played a significant role in the mixing patterns of separated Oxy-methane jets.
1. Introduction
2. Methodology
2.1. Numerical Domain
2.2. Mesh Model
2.3. Boundary Conditions
2.4. Governing Equations and the Methodology
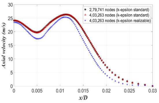
2.5. Grid Sensitivity Test
2.6. Validation
3. Results and Discussion
3.1. Centerline Velocity Decay (with Combustion)
3.2. Centerline Velocity Decay (without Combustion)
3.3. Centerline Velocity Decay at Different Jet Inlet Velocity
3.4. Centerline Velocity Decay at Different Jet Inlet Temperature
4. Conclusions
Author Contributions
Funding
Acknowledgments
Conflicts of Interest
Notations
| D | Diameter of the inlet for both jet |
| J | Mass diffusion flux |
| k | Turbulent kinetic energy |
| r | Radial direction |
| S | Source term |
| v | Axial velocity |
| x | Radial direction |
| y | Transverse direction |
| z | Freestream flow direction |
| ɛ | Turbulence dissipation rate |
| Φ | Flow properties |
| Γ | Transport property |
| ρ | Fluid density |
| µt | Turbulent viscosity |
References
- Liu, Y.; Deb, D.; Tao, G. Modeling and multivariable adaptive control of aircraft with synthetic jet actuators. In Proceedings of the 2008 7th World Congress on Intelligent Control and Automation, Chongqing, China, 25–27 June 2008; pp. 2192–2199. [Google Scholar]
- Semerjian, H.; Vranos, A. NOx formation in premixed turbulent flames. Symp. (International) Combust. 1977, 16, 169–179. [Google Scholar] [CrossRef]
- Tuncer, O.; Acharya, S.; Uhm, J. Dynamics, NOx and flashback characteristics of confined premixed hydrogen-enriched methane flames. Int. J. Hydrogen Energy 2009, 34, 496–506. [Google Scholar] [CrossRef]
- Gauntner, J.W.; Livingood, J.N.B.; Hrycak, P. Survey of Literature on Flow Characteristics of a Single Turbulent Jet Impinging on a Flat Plate; NASA Technical Note; NASA: Washington, DC, USA, 1970.
- Srinivasan, R.; Berenfeld, A.; Mongia, H.C. Multiple Jets in a Cross Flow; CR-168031; NASA: Washington, DC, USA, 1982.
- Holdeman, J.D. Mixing of multiple jets with a confined subsonic cross flow. Prog. Energy Corabust. Sci. 1993, 19, 31–70. [Google Scholar] [CrossRef]
- Holdeman, J.D.; Liscinsky, D.S.; Oechsle, V.L.; Samuelsen, G.S.; Smith, C.E. Mixing of Multiple Jets with a Confined Subsonic Crossflow: Part I—Cylindrical Duct. J. Eng. Gas Turbines Power 1997, 119, 852–862. [Google Scholar] [CrossRef]
- Holdeman, J.D.; Liscinsky, D.S.; Bain, D.B. Mixing of Multiple Jets With a Confined Subsonic Crossflow: Part II—Opposed Rows of Orifices in Rectangular Ducts. J. Eng. Gas Turbines Power 1999, 121, 551–562. [Google Scholar] [CrossRef]
- Panchapakesan, N.R.; Lumley, J.L. Turbulence measurements in axisymmetric jets of air and helium, Part 1, Air jet. J. Fluid Mech. 1993, 246, 197–223. [Google Scholar] [CrossRef]
- Panchapakesan, N.R.; Lumley, J.L. Turbulence measurements in axisymmetric jets of air and helium, Part 2, Helium jet. J. Fluid Mech. 1993, 246, 225–247. [Google Scholar] [CrossRef]
- Gazzah, M.H.; Sassi, M.; Brahim, S.; Gökalp, I. Numerical simulation of variable density subsonic turbulent jets by using the k–ε model. Int. J. Therm. Sci. 2002, 41, 51–62. [Google Scholar] [CrossRef]
- Thring, M.W.; Newby, M.P. Combustion length of enclosed turbulent jet flames. In Symposium (International) on Combustion; Elsevier: Amsterdam, The Netherlands, 1953; pp. 789–796. [Google Scholar]
- Clemens, N.; Paul, P. Effects of heat release on the near field flow structure of hydrogen jet diffusion flames. Combust. Flame 1995, 102, 271–284. [Google Scholar] [CrossRef]
- Rehm, J.; Clemens, N. The large-scale turbulent structure of nonpremixed planar jet flames. Combust. Flame 1999, 116, 615–626. [Google Scholar] [CrossRef]
- Kang, Y.-H.; Wang, Q.-H.; Lu, X.-F.; Ji, X.-Y.; Miao, S.-S.; Wang, H.; Guo, Q.; He, H.-H.; Xu, J. Experimental and theoretical study on the flow, mixing, and combustion characteristics of dimethyl ether, methane, and LPG jet diffusion flames. Fuel Process. Technol. 2015, 129, 98–112. [Google Scholar] [CrossRef]
- Bonelli, F.; Viggiano, A.; Magi, V. How does a high density ratio affect the near- and intermediate-field of high-Re hydrogen jets? Int. J. Hydrogen Energy 2016, 41, 15007–15025. [Google Scholar] [CrossRef]
- Raghunathan, S.; Reid, I.M. A study of multiple jets. AIAA J. 1981, 19, 124–127. [Google Scholar] [CrossRef]
- Leite, A.; Ferreira, M.; Carvalho, J. An investigation of multiple jet acetylene flames. Int. Commun. Heat Mass Transf. 1996, 23, 959–970. [Google Scholar] [CrossRef]
- Menon, R.; Gollahalli, S.R. Combustion Characteristics of Interacting Multiple Jets in Cross Flow. Combust. Sci. Technol. 1988, 60, 375–389. [Google Scholar] [CrossRef]
- Li, X.; Li, J.; Nakamura, H.; Tezuka, T.; Susumu, H.; Maruta, K. Study on flame responses and ignition characteristics of CH4/O2/CO2 mixture in a micro flow reactor with a controlled temperature profile. Appl. Therm. Eng. 2015, 2, 360–367. [Google Scholar] [CrossRef]
- Sautet, J.; Salentey, L.; DiTaranto, M.; Samaniego, J. Length of Natural Gas-Oxygen Non-Premixed Flames. Combust. Sci. Technol. 2001, 166, 131–150. [Google Scholar] [CrossRef]
- Sautet, J.-C.; Boushaki, T.; Salentey, L.; Labegorre, B. OXY-COMBUSTION PROPERTIES OF INTERACTING SEPARATED JETS. Combust. Sci. Technol. 2006, 178, 2075–2096. [Google Scholar] [CrossRef]
- Deb, D.; Tao, G.; Burkholder, J. An Adaptive Inverse Compensation Scheme for Signal-Dependent Actuator Nonlinearities. In Proceedings of the 2007 46th IEEE Conference on Decision and Control, New Orleans, LA, USA, 12–14 December 2007. [Google Scholar]
- Deb, D.; Tao, G.; Burkholder, J. Adaptive Approximation Based Compensation of Synthetic Jet Actuator Nonlinearities for Aircraft Control. In Proceedings of the 2007 AIAA Guidance, Navigation and Control Conference, Paper AIAA-2007-6523, Hilton Head, SC, USA, 20–23 August 2007. [Google Scholar]
- Deb, D.; Tao, G.; Burkholder, J.; Smith, D. An Adaptive Inverse Control Scheme for Synthetic Jet Actuator Arrays; Infotech@Aerospace: San Juan, PR, USA, 2005; p. 7170. [Google Scholar]
- Boushaki, T.; Mergheni, M.; Sautet, J.-C.; Labegorre, B. Effects of inclined jets on turbulent oxy-flame characteristics in a triple jet burner. Exp. Therm. Fluid Sci. 2008, 32, 1363–1370. [Google Scholar] [CrossRef]
- Boushaki, T.; Sautet, J.-C. Characteristics of flow from an oxy-fuel burner with separated jets: Influence of jet injection angle. Exp. Fluids 2009, 48, 1095–1108. [Google Scholar] [CrossRef]
- Boushaki, T.; Guessasma, S.; Sautet, J.-C. Predictive analysis of combined burner parameter effects on oxy-fuel flames. Appl. Therm. Eng. 2011, 31, 202–212. [Google Scholar] [CrossRef]
- Hidouri, A.; Yahya, N.; Boushaki, T.; Sadiki, A.; Sautet, J.-C. Numerical and experimental investigation of turbulent three separated jets. Appl. Therm. Eng. 2016, 104, 153–161. [Google Scholar] [CrossRef]
- Mergheni, M.; Boushaki, T.; Sautet, J.-C.; Ben Nasrallah, S. Numerical study of oxy-flame characteristics in a burner with three separated jets. Appl. Therm. Eng. 2017, 111, 1–7. [Google Scholar] [CrossRef]
- Yan, S.; Tang, G.; Chenn, Q.; Zhou, C.Q.; Guo, X. Computational Fluid Dynamics Modeling of Combustion Characteristics of a CH4/O2 Combustor in a Copper Anode Furnace. ACS Omega 2019, 4, 12449–12458. [Google Scholar] [CrossRef] [PubMed]
- Pope, S.B. An explanation of round jet/ plane jet anomaly. AIAA J. 1978, 16, 279–281. [Google Scholar] [CrossRef]
- Brahim, M.M.B.; Mergheni, M.A.; Khedher, N.B.; Ben, S.N.; Sautet, J.C. Numerical study of hydrogen enrichment effects in oxy-flame turbulent of three separated jets. Appl. Therm. Eng. 2017, 113, 490–498. [Google Scholar] [CrossRef]






















| Volume-based Oxy-fuel ratio at stoichiometric composition | 2 |
| Walls | No-slip condition, zero heat flux |
| Oxygen gas density | 1.331 Kg/m3 |
| Methane gas density | 0.724 Kg/m3 |
| Oxygen jet mass fraction at the inlet | 1 |
| Methane jet mass fraction at the inlet | 0.995 |
| Oxygen jet velocity at the inlet | 27.13 m/s, and 54 m/s |
| Methane jet velocity at the inlet | 27.13 m/s, and 54 m/s |
| Pressure at the outlet | Zero gauge pressure |
| Turbulent intensity at the inlet | 10% |
| Reynolds number for oxygen jets | 12,272 and 24,426 |
| Reynolds number for Methane jets | 12,272 and 24,426 |
© 2020 by the authors. Licensee MDPI, Basel, Switzerland. This article is an open access article distributed under the terms and conditions of the Creative Commons Attribution (CC BY) license (http://creativecommons.org/licenses/by/4.0/).
Share and Cite
Jana, T.; Kaushik, M.; Deb, D.; Mureşan, V.; Ungureşan, M. Aerodynamic Studies on Non-Premixed Oxy-Methane Flames and Separated Oxy-Methane Cold Jets. Processes 2020, 8, 429. https://doi.org/10.3390/pr8040429
Jana T, Kaushik M, Deb D, Mureşan V, Ungureşan M. Aerodynamic Studies on Non-Premixed Oxy-Methane Flames and Separated Oxy-Methane Cold Jets. Processes. 2020; 8(4):429. https://doi.org/10.3390/pr8040429
Chicago/Turabian StyleJana, Tamal, Mrinal Kaushik, Dipankar Deb, Vlad Mureşan, and Mihaela Ungureşan. 2020. "Aerodynamic Studies on Non-Premixed Oxy-Methane Flames and Separated Oxy-Methane Cold Jets" Processes 8, no. 4: 429. https://doi.org/10.3390/pr8040429
APA StyleJana, T., Kaushik, M., Deb, D., Mureşan, V., & Ungureşan, M. (2020). Aerodynamic Studies on Non-Premixed Oxy-Methane Flames and Separated Oxy-Methane Cold Jets. Processes, 8(4), 429. https://doi.org/10.3390/pr8040429

