Investigation of Heating and Freezing Pretreatments on Mechanical, Chemical and Spectral Properties of Bulk Sunflower Seeds and Oil
Abstract
1. Introduction
2. Materials and Methods
2.1. Determination of Moisture Content
2.2. Determination of Oil Content
2.3. Heating and Freezing Pretreatments
2.4. Compression Test and Parameters Calculated
2.5. Spectrophotometric Analysis of Oil Samples
2.6. Determination of Peroxide Value (PV) and Free Fatty Acid (FFA)
2.7. Statistical Analyses
3. Results and Discussion
3.1. Force-Deformation and Relaxation Force-Time Curves
3.2. Dependent Variables in Relation to Heating Temperatures
3.3. Dependent Variables in Relation to Freezing Temperatures
3.4. Evaluation of Heating and Freezing Temperatures, TP (°C)
3.5. Peroxide Value and Free Fatty Acid
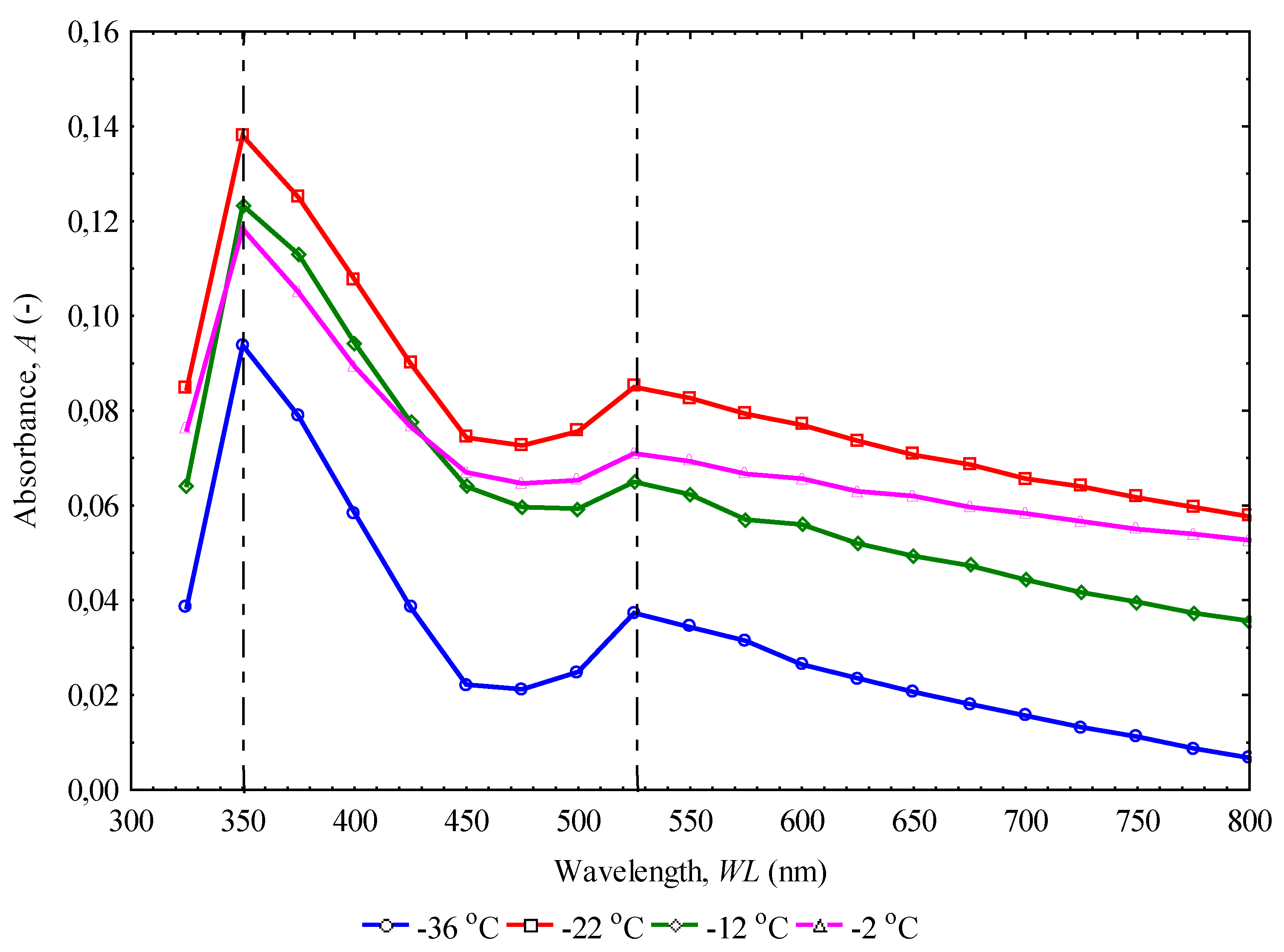
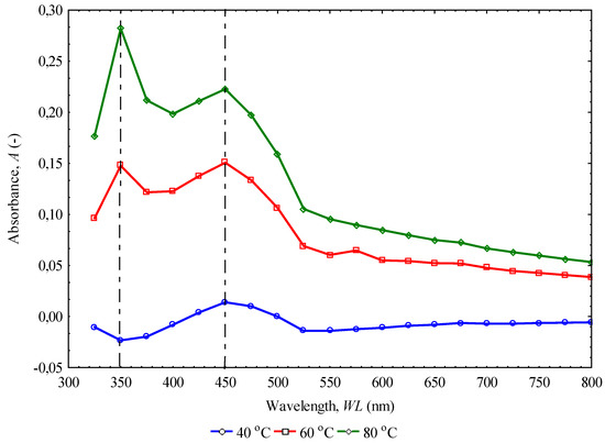
3.6. Spectral Profiles of Sunflower Oil Samples
3.7. Explanation of Supplementary Materials
4. Conclusions
Supplementary Materials
Author Contributions
Funding
Conflicts of Interest
References
- Konuskan, D.B.; Arslan, M.; Oksuz, A. Physiochemical properties of cold pressed sunflower, peanut, rapeseed, mustard and olive oils grown in the Eastern Mediterranean region. Saudi J. Biol. Sci. 2019, 26, 340–344. [Google Scholar] [CrossRef]
- USDA. Oilseeds: World Markets and Trade; USDA: Washington, DC, USA, 2018. [Google Scholar]
- Martinez-Force, E.; Dunford, N.T.; Salas, J.J. Sunflower: Chemistry, Production, Processing, and Utilization; Elsevier: Amsterdam, The Netherlands, 2015. [Google Scholar]
- Friedman, M.; Brandon, D.L. Nutritional and health benefits of soy proteins. J. Agric. Food Chem. 2001, 49, 1069–1086. [Google Scholar] [CrossRef]
- Karefyllakis, D.; Van der Goot, A.J.; Nikiforidis, C.V. Multicomponent emulsifiers from sunflower seeds. Curr. Opin. Food Sci. 2019, 29, 35–41. [Google Scholar] [CrossRef]
- Izli, N.; Unal, H.; Sincik, M. Physical and mechanical properties of rapeseed at different moiture content. Int. Agrophys. 2009, 23, 137–145. [Google Scholar]
- Pereyra-Irujo, G.A.; Izquierdo, N.G.; Covi, M.; Nolasco, S.M.; Quiroz, F.; Aguirrezabal, L.A.N. Variability in sunflower oil quality for biodiesel production: A simulation study. Biomass Bioenergy 2009, 33, 459–468. [Google Scholar] [CrossRef]
- Gonzalez-Perez, S.; Vereijken, J.M. Sunflower proteins: Overview of their physiochemical, structural and functional properties. J. Sci. Food Agric. 2007, 87, 2173–2191. [Google Scholar] [CrossRef]
- Gupta, R.K.; Das, S.K. Facture resistance of sunflower seed and kernel to compressive loading. J. Food Eng. 2000, 46, 1–8. [Google Scholar] [CrossRef]
- Le Clef, E.; Kemper, T. Sunflower Seed Preparation and Oil Extraction Sunflower; Elsevier: Amsterdam, The Netherlands, 2015; pp. 187–226. [Google Scholar]
- Lomascolo, A.; Uzan-Boukhris, E.; Sigoillot, J.C.; Fine, F. Rapeseed and sunflower mean: A review on biotechnology status and challenges. Appl. Microbiol. Biotechnol. 2012, 95, 1105–1114. [Google Scholar] [CrossRef]
- Deli, S.; Farah Masturah, M.; Tajul Aris, Y.; Wan Nadiah, W.A. The effects of physical parameters of the screw press oil expeller on oil yield from Nigella sativa L. seeds. Int. Food Res. J. 2011, 18, 1367–1373. [Google Scholar]
- Pradhan, R.C.; Mishra, S.; Naik, S.N.; Bhatnagar, N.; Vijay, V.K. Oil expression from Jatropha seeds using a screw press expeller. Biosyst. Eng. 2011, 109, 158–166. [Google Scholar] [CrossRef]
- Mrema, G.C.; McNulty, P.B. Mathematical model of mechanical oil expression from oilseeds. J. Agric. Eng. Res. 1985, 31, 361–370. [Google Scholar] [CrossRef]
- Khan, L.M.; Hanna, M.A. Expression of oil from oilseeds—A review. J. Agric. Eng. Res. 1983, 28, 495–503. [Google Scholar] [CrossRef]
- Savoire, R. Screw Pressing Application to Oilseeds; Elsevier: Amsterdam, The Netherlands, 2017; pp. 1–3. [Google Scholar]
- Ali, M.; Watson, I.A. Comparison of oil extraction methods, energy analysis and biodiesel production from flax seeds. Int. J. Energy Res. 2014, 38, 614–625. [Google Scholar] [CrossRef]
- Willems, P.; Kuipers, N.; De Haan, A. Hydraulic pressing of oilseeds: Experimental determination and modeling of yield and pressing rates. J. Food Eng. 2008, 89, 8–16. [Google Scholar] [CrossRef]
- Bargale, P.C.; Ford, R.J.; Sosulski, F.W.; Wulfsohn, J.; Irudayaraj, J. Mechanical oil expression from extruded soybean samples. J. Am. Oil Chem. Soc. 1999, 76, 223–229. [Google Scholar] [CrossRef]
- Bhuiya, M.M.K.; Rasul, M.; Khan, M.; Ashwath, N.; Mofijur, M. Comparison of oil extraction between screw press and solvent (n-hexane) extraction technique from beauty leaf (Calophyllum inophyllum L.) feedstock. Ind. Crop. Prod. 2020, 114, 112024. [Google Scholar] [CrossRef]
- Awolu, O.O.; Manohar, B. Quantitative and qualitative characterization of mango kernel seed oil extracted using supercritical CO2 and solvent extraction techniques. Heliyon 2019, 5, e03068. [Google Scholar] [CrossRef]
- Bogaert, L.; Mathieu, H.; Mhemdi, H.; Vorobiev, E. Characterization of oilseeds mechanical expression in an instrumented pilot screw press. Ind. Crop. Prod. 2018, 121, 106–113. [Google Scholar] [CrossRef]
- Evon, P.H.; Kartika, I.A.; Cerny, M.; Rigal, L. Extraction of oil from jatropha seeds using a twin-screw extruder: Feasibility study. Ind. Crop. Prod. 2013, 47, 33–42. [Google Scholar] [CrossRef]
- Gutierrez, L.F.; Ratti, C.; Belkacemi, K. Effects of drying method on the extrusion yields and quality of oils from Quebec sea buckthorn (Hippophae rhamnoides L.) seeds and pulp. Food Chem. 2008, 106, 896–904. [Google Scholar] [CrossRef]
- Okeleye, A.A.; Betiku, E. Kariya (Hildegardia barteri) seed oil extraction: Comparative evaluation of solvent, modeling, and optimization techniques. Chem. Eng. Commun. 2019, 206, 1181–1198. [Google Scholar] [CrossRef]
- Atabani, A.E.; Mahlia, T.M.I.; Badruddin, I.A.; Masjuki, H.H.; Chong, W.T.; Lee, K.T. Investigation of physical and chemical properties of potential edible and non-edible feedstocks for biodiesel production, a comparative analysis. Renew. Sustain. Energy Rev. 2013, 21, 749–755. [Google Scholar] [CrossRef]
- Kostic, M.D.; Jokovic, N.M.; Stamenkovic, O.S.; Rajkovic, K.M.; Milic, P.S.; Veljkovic, V.B. Optimization of hempseed oil extraction by n-hexane. Ind. Crop. Prod. 2013, 48, 133–143. [Google Scholar] [CrossRef]
- Sayyar, S.; Abidin, Z.Z.; Yunus, R.; Muhammad, A. Extraction of oil from Jatropha seeds-optimization and kinetics. Am. J. Appl. Sci. 2009, 6, 1390. [Google Scholar] [CrossRef]
- Mani, S.; Jaya, S.; Vadivambal, R. Optimization of solvent extraction of moringa (Moringa oleifera) seed kernel oil using response surface methodology. Food Bioprod. Process. 2007, 85, 328–335. [Google Scholar] [CrossRef]
- Stanisavljevic, S.; Lakicevic, D.; Velickovic, M.; Lazic, M.; Veljkovic, V. The extraction of oil from tobacco (Nicotiana tabacum L.) seeds. Chem. Ind. Chem. Eng. Q. 2007, 13, 41–50. [Google Scholar] [CrossRef]
- Albertos, I.; Martin-Diana, A.B.; Sanz, M.A.; Barat, J.M.; Diez, A.M.; Jaime, I.; Rico, D. Effect of high pressure processing or freezing technologies as pretreatment in vacuum fried carrot snacks. Innov. Food Sci. Emerg. Technol. 2016, 33, 115–122. [Google Scholar] [CrossRef]
- Fan, L.P.; Min, Z.; Gong-Nian, X.; Jin-Cai, S.; Quin, T. The optimization of vacuum frying to dehydrate carrot chips. Int. J. Food Sci. Technol. 2005, 40, 911–919. [Google Scholar] [CrossRef]
- Shyu, S.; Hau, L.; Hwang, L.S. Effects of processing conditions on the quality of vacuum-fried carrot chips. J. Sci. Food Agric. 2005, 85, 1903–1908. [Google Scholar] [CrossRef]
- Chen, X.; Ma, L.; Guo, T.; Yu, Y.; Li, X.; Xia, W.; Zhang, Y. Effects of freezing-thawing pretreatment combined with liquid nitrogen and dilute acid on the gelatinization of collagen. Int. J. Biol. Macromol. 2018, 118, 435–441. [Google Scholar] [CrossRef]
- Lili, W.; Yeming, C.; Zaigui, L. The effects of freezing on soybean microstructure and qualities of soymilk. J. Food Eng. 2013, 116, 1–6. [Google Scholar] [CrossRef]
- Noh, E.J.; Park, S.Y.; Pak, J.I.; Hong, S.T.; Yun, S.E. Coagulation of soymilk and quality of tofu as affected by freeze treatment of soybeans. Food Chem. 2005, 91, 715–721. [Google Scholar] [CrossRef]
- Gao, Y.; Wang, L.; Li, Z. Effects of freezing process on water absorption rate and cooking hardness of black beans. Acad. Period. Farm Prod. Process. 2011, 12, 22–24. [Google Scholar]
- Danso-Boateng, E. Effect of Enzyme and Heat Pretreatment on Sunflower Oil Recovery Using Acqueous and Hexane Extractions. Int. J. Chem. Biol. Eng. 2011, 4, 28–34. [Google Scholar]
- Sirisomboon, P.; Kitchaiya, P. Physical properties of Jatropha curcas L. kernels after heat treatments. Biosyst. Eng. 2009, 102, 244–250. [Google Scholar] [CrossRef]
- Ogunsina, B.S.; Owolarafe, O.K.; Olatunde, G.A. Oil point pressure of cashew (Anacardium occidentale) kernels. Int. Agrophys. 2008, 22, 53–59. [Google Scholar]
- Adeeko, K.A.; Ajibola, O.O. Processing factors affecting yield and quality of mechanically expressed groundnut oil. J. Agric. Eng. Res. 1990, 45, 31–43. [Google Scholar] [CrossRef]
- Adedeji, A.; Ngadi, M. Impact of freezing method, frying and storage on fat absorption kinetics and structural changes of parfried potato. J. Food Eng. 2018, 218, 24–32. [Google Scholar] [CrossRef]
- Singh, R.P.; Heldman, D.R. Introduction to Food Engineering, 5th ed.; Elsevier: Boston, MA, USA, 2014; p. 521. [Google Scholar]
- Sun, D.W.; Li, B. Microstructural change of potato tissues frozen by ultrasound-assisted immersion freezing. J. Food Eng. 2003, 57, 337–345. [Google Scholar] [CrossRef]
- Delgado, A.E.; Sun, D.W. Heat and mass transfer models for predicting freezing processeea review. J. Food Eng. 2001, 47, 157–174. [Google Scholar] [CrossRef]
- Masella, P.; Guerrini, L.; Angeloni, G.; Spadi, A.; Baldi, F. Freezing/storing olives, consequences for extra virgin olive oil quality. Int. J. Refrig. 2019, 106, 24–32. [Google Scholar] [CrossRef]
- Garcio-Vico, L.; Garcia-Rodriguez, R.; Sanz, C.; Perez, A.G. Biochemical aspects of olive freezing-damage: Impact on the phenolic and volatile profiles of virgin olive oil. LWT Food Sci. Technol. 2017, 86, 240–246. [Google Scholar] [CrossRef]
- Rubalya, V.S.; Mukesh, K.V.; Devasena, T. Selected rheological characteristics and physicochemical properties of vegetable oil affected by heating. Int. J. Food Prop. 2015, 19, 1852–1862. [Google Scholar]
- Mousavi, K.; Shoeibi, S.; Ameri, M. Effects of storage conditions and PET packaging on quality of edible oils in Iran. Adv. Environ. Biol. 2012, 6, 694–701. [Google Scholar]
- Jinfeng, P.; Huixing, S.; Juan, Y.; Yongkang, L. Changes in physiochemical properties of myofibrillar protein from silver Carp (Hypophthalmichthys Mollitrix) during heat treatment. J. Food Biochem. 2011, 35, 939–952. [Google Scholar]
- Choe, E.; Min, D.B. Chemistry of deep fat frying oils. J. Food Sci. 2007, 72, 77–86. [Google Scholar] [CrossRef] [PubMed]
- Al-Kahtani, H.A. Survey of quality of used frying oils from restaurants. J. Am. Oil Chem. Soc. 1991, 68, 857–862. [Google Scholar] [CrossRef]
- Wang, N.; Ma, T.; Yu, X.; Xu, L.; Zhang, R. Determination of peroxide values of edible oils by ultraviolet spectrometric method. Food Anal. Methods 2016, 9, 1412–1417. [Google Scholar] [CrossRef]
- Shiozawa, S.; Tanaka, M.; Ohno, K.; Nagao, Y.; Yamada, T. Reevaluation of peroxide value as an indicator of the quality of edible oils. J. Food Hyg. Soc. Jpn. 2007, 48, 51–57. [Google Scholar] [CrossRef]
- Saad, B.; Wai, W.T.; Lim, B.P.; Saleh, M.I. Flow injection determination of peroxide value in edible oils using triiodide detector. Anal. Chem. Acta 2006, 565, 261–270. [Google Scholar] [CrossRef]
- Dermis, S.; Can, S.; Dogru, B. Determination of peroxide values of some fixed oils by using the mFOX method. Spectrosc. Lett. 2012, 45, 359–363. [Google Scholar] [CrossRef]
- Liu, Y.; Li, J.; Cheng, Y.; Liu, Y. Effect of frying oils’ fatty acid profile on quality, free radical and volatiles over deep-frying process: A comparative study using chemometrics. LWT Food Sci. Technol. 2019, 101, 331–341. [Google Scholar] [CrossRef]
- Gomna, A.; N’Tsoukpoe, K.E.; Le Pierres, N.; Coulibaly, Y. Review of vegetable oils behaviour at high temperature for solar plants: Stability, properties and current applications. Sol. Energy Mater. Sol. Cells 2019, 200. [Google Scholar] [CrossRef]
- Uitterhaegen, E.; Evon, P. Twin-screw extrusion technology for vegetable oil extraction: A review. J. Food Eng. 2017, 212, 190–200. [Google Scholar] [CrossRef]
- Karaj, S.; Muller, J. Optimizing mechanical oil extraction of Jatropha curcas L. seeds with respect to press capacity, oil recovery and energy efficiency. Ind. Crop. Prod. 2011, 34, 1010–1016. [Google Scholar]
- Rombaut, N.; Savoire, R.; Thomasset, B.; Castello, J.; Hecke, E.V.; Lanoiselle, J.-L. Optimization of oil yield and oil total phenolic content during grape seed cold screw pressing. Ind. Crop. Prod. 2015, 63, 26–33. [Google Scholar] [CrossRef]
- Demirel, C.; Kabutey, A.; Herak, D.; Gurdil, G.A.K. Numerical estimation of deformation energy of selected bulk oilseeds in compression loading. IOP Conf. Ser. Mater. Sci. Eng. 2017, 237, 1–5. [Google Scholar] [CrossRef]
- Kabutey, A.; Herak, D.; Choteborsky, R.; Dajbych, O.; Sigalingging, R.; Akangbe, O.L. Compression behaviour of bulk rapeseed: Effects of heat treatment, force, and speed. Int. J. Food Prop. 2017, 20, S654–S662. [Google Scholar] [CrossRef]
- Divisova, M.; Herak, D.; Kabutey, A.; Sigalingging, R.; Svatonova, T. Deformation curve characteristics of rapeseeds and sunflower seeds under compression loading. Sci. Agric. Bohem. 2014, 45, 180–186. [Google Scholar]
- Munson-Mcgee, S.H. D-optimal experimental designs for uniaxial expression. J. Food Process Eng. 2014, 37, 248–256. [Google Scholar] [CrossRef]
- Herak, D.; Gürdil, G.; Sedlacek, A.; Dajbybch, O.; Simanjuntak, S. Energy demands for pressing jatropha curcas L. seeds. Biosyst. Eng. 2010, 106, 527–534. [Google Scholar] [CrossRef]
- Kabutey, A.; Herak, D.; Ambarita, H.; Sigalingging, R. Modeling of linear and non-linear compression processes of sunflower bulk oilseeds. Energies 2019, 12, 2999. [Google Scholar] [CrossRef]
- Kabutey, A.; Herak, D.; Mizera, C.; Hrabe, P. Theoretical analysis of force, pressure and energy distributions of bulk oil palm along the screwline of a mechanical screw press FL 200. Agron. Res. 2019, 17, 1927–1941. [Google Scholar]
- ISI. Indian Standard Methods for Analysis of Oilseeds. In Indian Standard Institute; IS:3579; ISI: New Delhi, India, 1966. [Google Scholar]
- Blahovec, J. Agromatereials Study Guide; Czech University of Life Sciences Prague: Prague, Czech Republic, 2008. [Google Scholar]
- Niu, L.; Li, J.; Chen, M.S.; Xu, Z.F. Determination of oil contents in Sacha inchi (Plukenetia volubilis) seeds at different developmental stages by two methods: Soxhlet extraction and time-domain nuclear magnetic resonance. Ind. Crop. Prod. 2014, 56, 187–190. [Google Scholar] [CrossRef]
- Danlami, J.M.; Arsad, A.; Zaini, M.A.A. Characterization and process optimization of castor oil (Ricinus communis L.) extracted by the soxhlet method using polar and non-polar solvents. J. Taiwan Inst. Chem. Eng. 2015, 47, 99–104. [Google Scholar] [CrossRef]
- Herak, D.; Blahovec, J.; Kabutey, A. Analysis of the axial pressing of bulk jatropha curcas L. seeds using reciprocal slope transformation. Biosyst. Eng. 2014, 121, 67–76. [Google Scholar] [CrossRef]
- Chakespari, A.G.; Rajabipour, A.; Mobli, H. Anisotropic relaxation and creep properties of apple (cv. Shafi Abadi and Golab Kohanz). Adv. J. Food Sci. Technol. 2010, 2, 200–205. [Google Scholar]
- Demirel, C.; Gurdil, G.A.K.; Kabutey, A.; Wasserbauer, M. Comparing energy demand of densified briquettes of ground and unground hazelnut husks under compression loading. IOP Conf. Ser. Earth Environ. Sci. 2019, 260, 1–5. [Google Scholar] [CrossRef]
- Hernandez-Santos, B.; Rodriguez-Miranda, J.; Herman-Lara, E.; Torruco-Uco, J.G.; Carmona-Garcia, R.; Juarez-Barrientos, J.M.; Chavez-Zamudio, R.; Martinez-Sanchez, C.E. Effect of oil extraction assisted by ultrasound on the physiochemical properties and fatty acid profile of pumpkin seed oil (Cucurbita pepo). Ultrasound Sonochem. 2016, 31, 429–436. [Google Scholar] [CrossRef]
- Orozco, F.D.A.; Sousa, A.C.; Araujo, M.C.U.; Domini, C.E. A new flow UV-Vis kinetics spectrophotometric method based on photodegradative reaction for determining the oxidative stability of biodiesel. Fuel 2020, 26, 116–197. [Google Scholar]
- Chatepa, L.E.C.; Uluko, H.; Masamba, K. Comparison of oil quality extracted from selected conventional and non conventional sources of vegetable oil from Malawi. Afr. J. Biotechnol. 2019, 18, 171–180. [Google Scholar]
- StatSoft Inc. (1995). STATISTICA for Windows. StatSoft Inc.: Tulsa, OK, USA, 2013. [Google Scholar]
- Kabutey, A.; Herak, D.; Mizera, C.; Wasserbauer, M. Assessment of undulation behaviour of rape and sunflower bulk oilseeds under compression loading. IOP Conf. Ser. Mater. Sci. Eng. 2018, 420, 1–6. [Google Scholar] [CrossRef]
- Okene, E.O.; Evbuomwan, B.O. Solvent extraction and characteristics of oil from coconut seeds using alternative solvents. Int. J. Eng. Technol. Res. 2014, 2, 135–138. [Google Scholar]
- Adejumo, B.A.; Inaede, S.G.; Adamu, T.S. Effect of moisture content on the yield and characteristics of oil from Moringa oleifera seeds. Acad. Res. Int. 2013, 4, 160. [Google Scholar]
- Aksoy, F.; Yabanova, I.; Bayrakceken, H.; Aksoy, I. Estimating the dynamic viscosity of vegetable oils using artificial neural networks. Energy Sources Part Recovery Util. Environ. Eff. 2014, 36, 858–865. [Google Scholar] [CrossRef]
- Nkafamiya, I.I.; Maina, H.M.; Osemeahon, S.A.; Modibbo, U.U. Percentage oil yield and physiochemical properties of different groundnut species (Arachis hypogaea). Afr. J. Food Sci. 2010, 4, 418–421. [Google Scholar]
- Kumar, K.A.; Viswanathan, K. Study of UV Transmission through a Few Edible Oils and Chicken Oil. J. Spectrosc. 2013. [Google Scholar] [CrossRef]
- Kaewwinud, N.; Khokhajaikiat, P.; Boonma, A. Effect of biomass characteristics on durability of Cassava residues pellets. Res. Agric. Eng. 2018, 64, 15–19. [Google Scholar]








| Dependent | HT | Mean | Std. Error | 95% Confidence Interval for Mean | |||
|---|---|---|---|---|---|---|---|
| Variables | (°C) | Std. Dev. | Lower Bound | Upper Bound | |||
| DX (mm) | *25 | 60.66 | 3.483 | 2.011 | 52.01 | 69.32 | |
| 40 | 61.54 | 2.977 | 1.719 | 54.14 | 68.93 | ||
| 60 | 62.84 | 1.155 | 0.667 | 59.97 | 65.71 | ||
| 80 | 63.86 | 1.776 | 1.025 | 59.44 | 68.26 | ||
| OY (%) | *25 | 20.74 | 1.528 | 0.882 | 16.95 | 24.54 | |
| 40 | 25.26 | 1.212 | 0.700 | 22.25 | 28.27 | ||
| 60 | 27.40 | 0.928 | 0.536 | 25.10 | 29.71 | ||
| 80 | 30.95 | 0.626 | 0.361 | 29.40 | 32.51 | ||
| OEE (%) | *25 | 62.63 | 4.612 | 2.663 | 51.17 | 74.08 | |
| 40 | 76.25 | 3.659 | 2.112 | 67.16 | 85.34 | ||
| 60 | 82.73 | 2.802 | 1.617 | 75.77 | 89.69 | ||
| 80 | 93.46 | 1.889 | 1.091 | 88.77 | 98.15 | ||
| DE (J) | *25 | 821.5 | 37.11 | 21.43 | 729.3 | 913.7 | |
| 40 | 821.8 | 31.87 | 18.40 | 742.7 | 901.0 | ||
| 60 | 818.3 | 45.50 | 26.27 | 705.2 | 9313 | ||
| 80 | 819.6 | 48.68 | 28.11 | 698.7 | 940.5 | ||
| EVO (kJ/L) | *25 | 33.93 | 3.866 | 2.232 | 24.32 | 43.53 | |
| 40 | 27.79 | 2.231 | 1.288 | 22.25 | 33.33 | ||
| 60 | 25.50 | 2.298 | 1.327 | 19.79 | 31.21 | ||
| 80 | 22.55 | 0.919 | 0.531 | 20.26 | 24.83 | ||
| EUV (×102 kJ/m3) | *25 | 36.32 | 1.641 | 0.947 | 32.24 | 40.39 | |
| 40 | 36.33 | 1.409 | 0.813 | 32.83 | 39.83 | ||
| 60 | 36.18 | 2.011 | 1.161 | 31.18 | 41.17 | ||
| 80 | 36.23 | 2.152 | 1.243 | 30.89 | 41.58 | ||
| Dependent | Sum of Squares | df | Mean Square | F-value | P-value | ||
|---|---|---|---|---|---|---|---|
| Variables | Effect | R2 | |||||
| DX (mm) | HT (°C) | 17.78 | 3 | 5.927 | 0.930 | 0.469 | 0.259 |
| Error | 50.97 | 8 | 6.372 | ||||
| Total | 68.75 | 11 | |||||
| Oil yield (%) | HT (°C) | 164.0 | 3 | 54.67 | 43.268 | 0.000 | 0.942 |
| Error | 10.11 | 8 | 1.264 | ||||
| Total | 174.1 | 11 | |||||
| Oil EE (%) | HT (°C) | 1495 | 3 | 498.4 | 43.268 | 0.000 | 0.942 |
| Error | 92.15 | 8 | 11.52 | ||||
| Total | 1587 | 11 | |||||
| Energy (J) | HT (°C) | 25.47 | 3 | 8.491 | 0.005 | 0.999 | 0.002 |
| Error | 13665 | 8 | 1708 | ||||
| Total | 13690 | 11 | |||||
| EVO (kJ/L) | HT (°C) | 209.7 | 3 | 69.91 | 10.735 | 0.004 | 0.801 |
| Error | 52.1 | 8 | 6.512 | ||||
| Total | 261.8 | 11 | |||||
| EUV (×102 kJ/m3) | HT (°C) | 0.05 | 3 | 0.017 | 0.005 | 0.999 | 0.002 |
| Error | 26.71 | 8 | 3.338 | ||||
| Total | 26.76 | 11 | |||||
| Dependent Variables | R (−) | R2 (−) | F-value (−) | P-value (−) |
|---|---|---|---|---|
| DX (mm) | 0.508 | 0.258 | 3.477 | >0.05 |
| OY (%) | 0.953 | 0.908 | 99.47 | <0.05 |
| OEE (%) | 0.953 | 0.908 | 99.47 | <0.05 |
| OE (J) | −0.031 | 0.001 | 0.011 | >0.05 |
| EVO (kJ/L) | −0.857 | 0.734 | 27.64 | <0.05 |
| EUV (×102 kJ/m3) | −0.031 | 0.001 | 3.011 | >0.05 |
| Dependent Variables | FT (°C) | Mean | Std. Error | 95% Confidence Interval for Mean | ||
|---|---|---|---|---|---|---|
| Std. Dev. | Lower Bound | Upper Bound | ||||
| DX (mm) | *25 | 60.66 | 3.483 | 2.011 | 52.01 | 69.32 |
| −2 | 62.31 | 0.944 | 0.545 | 59.97 | 64.66 | |
| −12 | 60.16 | 0.346 | 0.200 | 59.31 | 61.02 | |
| −22 | 57.87 | 1.348 | 0.778 | 54.53 | 61.22 | |
| −36 | 57.45 | 2.476 | 1.429 | 51.30 | 63.60 | |
| OY (%) | *25 | 20.74 | 1.528 | 0.882 | 16.95 | 24.54 |
| −2 | 20.73 | 0.701 | 0.404 | 18.99 | 22.47 | |
| −12 | 18.48 | 0.865 | 0.499 | 16.33 | 20.63 | |
| −22 | 17.99 | 0.483 | 0.279 | 16.79 | 19.19 | |
| −36 | 17.77 | 0.778 | 0.449 | 15.83 | 19.70 | |
| OEE (%) | *25 | 62.63 | 4.612 | 2.663 | 51.17 | 74.08 |
| −2 | 62.59 | 2.115 | 1.221 | 57.33 | 67.84 | |
| −12 | 55.79 | 2.611 | 1.508 | 49.31 | 62.28 | |
| −22 | 54.31 | 1.460 | 0.843 | 50.68 | 57.93 | |
| −36 | 53.65 | 2.350 | 1.357 | 47.81 | 59.48 | |
| DE J) | *25 | 821.49 | 37.11 | 21.43 | 729.3 | 913.7 |
| −2 | 642.20 | 15.09 | 8.712 | 604.7 | 679.7 | |
| −12 | 631.29 | 18.41 | 10.62 | 585.6 | 677.0 | |
| −22 | 638.31 | 5.229 | 3.019 | 625.3 | 651.3 | |
| −36 | 650.14 | 16.23 | 9.369 | 609.8 | 690.5 | |
| EVO (kJ/L) | *25 | 33.93 | 3.866 | 2.232 | 24.32 | 43.53 |
| −2 | 26.40 | 0.307 | 0.177 | 25.64 | 27.17 | |
| −12 | 29.12 | 0.512 | 0.296 | 27.85 | 30.40 | |
| −22 | 30.25 | 0.594 | 0.343 | 28.77 | 31.72 | |
| −36 | 32.47 | 2.772 | 1.600 | 25.59 | 39.36 | |
| EUV (×102 kJ/m3) | *25 | 36.32 | 1.641 | 0.947 | 32.24 | 40.39 |
| −2 | 28.39 | 0.667 | 0.385 | 26.73 | 30.05 | |
| −12 | 27.91 | 0.813 | 0.470 | 25.89 | 29.93 | |
| −22 | 28.22 | 0.231 | 0.133 | 27.65 | 28.79 | |
| −36 | 28.74 | 0.717 | 0.414 | 26.96 | 30.53 | |
| Dependent | Sum of Squares | df | Mean Square | F-value | P-value | ||
|---|---|---|---|---|---|---|---|
| Variable | Effect | R2 | |||||
| DX (mm) | FT (°C) | 45.54 | 3 | 15.18 | 6.780 | 0.014 | 0.718 |
| Error | 17.91 | 8 | 2.239 | ||||
| Total | 63.45 | 11 | |||||
| Oil yield (%) | FT (°C) | 16.62 | 3 | 5.540 | 10.66 | 0.004 | 0.811 |
| Error | 4.157 | 8 | 0.520 | ||||
| Total | 20.75 | 11 | |||||
| Oil EE (%) | FT (°C) | 151.5 | 3 | 50.51 | 10.66 | 0.004 | 0.811 |
| Error | 37.89 | 8 | 4.737 | ||||
| Total | 189.4 | 11 | |||||
| Energy (J) | FT (°C) | 556.2 | 3 | 185.4 | 0.865 | 0.498 | 0.245 |
| Error | 1713.7 | 8 | 214.2 | ||||
| Total | 2269.9 | 11 | |||||
| EVO (kJ/L) | FT (°C) | 57.35 | 3 | 19.12 | 9.112 | 0.006 | 0.774 |
| Error | 16.79 | 8 | 2.098 | ||||
| Total | 74.14 | 11 | |||||
| EUV (×102 kJ/m3) | FT (°C) | 1.087 | 3 | 0.362 | 0.865 | 0.498 | 0.245 |
| Error | 3.349 | 8 | 0.419 | ||||
| Total | 4.437 | 11 | |||||
| Dependent Variables | R (−) | R2 (−) | F-value (−) | P-value (−) |
|---|---|---|---|---|
| DX (mm) | 0.799 | 0.683 | 17.615 | <0.05 |
| OY (%) | 0.768 | 0.5898 | 14.351 | <0.05 |
| OEE (%) | 0.768 | 0.5898 | 14.351 | <0.05 |
| OE (J) | −0.279 | 0.078 | 0.843 | >0.05 |
| EVO (kJ/L) | −0.867 | 0.751 | 30.197 | <0.05 |
| EUV (×102 kJ/m3) | −0.279 | 0.078 | 0.843 | >0.05 |
| Dependent | TP | Mean | Std. Err | 95% Confidence Interval for Mean | ||
|---|---|---|---|---|---|---|
| Variables | (°C) | Std. Dev | Lower Bound | Upper Bound | ||
| PV (µg/g of active oxygen) | −36 | 36.79 | 1.015 | 0.718 | 27.67 | 45.91 |
| −22 | 51.55 | 0.010 | 0.007 | 51.46 | 51.64 | |
| −12 | 76.03 | 3.122 | 2.207 | 47.98 | 104.07 | |
| −2 | 31.32 | 0.578 | 0.409 | 26.12 | 36.51 | |
| *25 | 51.22 | 0.778 | 0.550 | 44.23 | 58.20 | |
| 40 | 73.88 | 1.749 | 1.236 | 58.17 | 89.59 | |
| 60 | 54.97 | 0.016 | 0.012 | 54.82 | 55.11 | |
| 80 | 80.06 | 1.371 | 0.969 | 67.75 | 92.38 | |
| FFA (mg KOH/g) | −36 | 0.886 | 0.021 | 0.015 | 0.698 | 1.074 |
| −22 | 0.953 | 0.102 | 0.072 | 0.039 | 1.867 | |
| −12 | 0.909 | 0.000 | 0.000 | 0.908 | 0.909 | |
| −2 | 0.890 | 0.026 | 0.018 | 0.660 | 1.120 | |
| *25 | 1.266 | 0.113 | 0.080 | 0.253 | 2.279 | |
| 40 | 1.186 | 0.102 | 0.072 | 0.273 | 2.100 | |
| 60 | 1.082 | 0.017 | 0.012 | 0.926 | 1.239 | |
| 80 | 1.135 | 0.008 | 0.006 | 1.062 | 1.208 | |
© 2020 by the authors. Licensee MDPI, Basel, Switzerland. This article is an open access article distributed under the terms and conditions of the Creative Commons Attribution (CC BY) license (http://creativecommons.org/licenses/by/4.0/).
Share and Cite
Gürdil, G.A.K.; Kabutey, A.; Selvi, K.Ç.; Hrabě, P.; Herák, D.; Fraňková, A. Investigation of Heating and Freezing Pretreatments on Mechanical, Chemical and Spectral Properties of Bulk Sunflower Seeds and Oil. Processes 2020, 8, 411. https://doi.org/10.3390/pr8040411
Gürdil GAK, Kabutey A, Selvi KÇ, Hrabě P, Herák D, Fraňková A. Investigation of Heating and Freezing Pretreatments on Mechanical, Chemical and Spectral Properties of Bulk Sunflower Seeds and Oil. Processes. 2020; 8(4):411. https://doi.org/10.3390/pr8040411
Chicago/Turabian StyleGürdil, Gürkan Alp Kağan, Abraham Kabutey, Kemal Çağatay Selvi, Petr Hrabě, David Herák, and Adéla Fraňková. 2020. "Investigation of Heating and Freezing Pretreatments on Mechanical, Chemical and Spectral Properties of Bulk Sunflower Seeds and Oil" Processes 8, no. 4: 411. https://doi.org/10.3390/pr8040411
APA StyleGürdil, G. A. K., Kabutey, A., Selvi, K. Ç., Hrabě, P., Herák, D., & Fraňková, A. (2020). Investigation of Heating and Freezing Pretreatments on Mechanical, Chemical and Spectral Properties of Bulk Sunflower Seeds and Oil. Processes, 8(4), 411. https://doi.org/10.3390/pr8040411

