3D Magneto-Buoyancy-Thermocapillary Convection of CNT-Water Nanofluid in the Presence of a Magnetic Field
Abstract
1. Introduction
2. Problem Statement
2.1. Governing Equations
2.2. Boundary Conditions
- Temperature:
- Vorticity:
- Potential vector:
- Velocity:
- Electric potential:
- Density of current:
3. Grid Independency Test and Code Verification
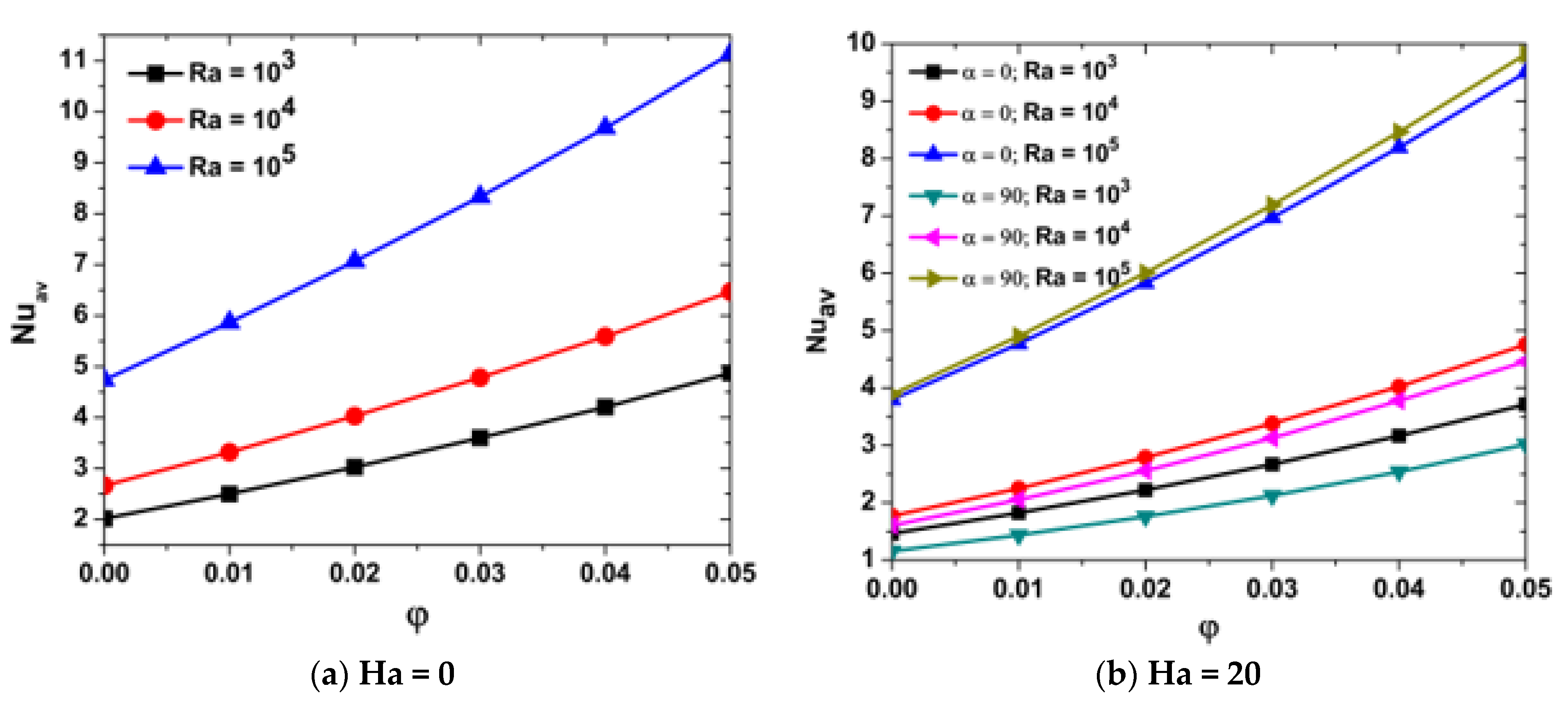
4. Results and Discussions
5. Conclusions
Author Contributions
Acknowledgments
Conflicts of Interest
Nomenclature
| Magnetic field | |
| Cp | Specific heat at constant pressure (J/kg K) |
| Dimensionless electric field | |
| Direction of magnetic field | |
| g | Gravitational acceleration (m/s2) |
| Ha | Hartmann number |
| Dimensionless density of electrical current | |
| k | Thermal conductivity (W/m K) |
| l | Enclosure width |
| Ma | Marangoni number |
| n | Unit vector normal to the wall |
| Nu | Local Nusselt number |
| Pr | Prandtl number |
| Ra | Rayleigh number |
| t | Dimensionless time |
| Dimensionless temperature | |
| Cold temperature (K) | |
| Hot temperature (K) | |
| To | Bulk temperature [To = (T′c + T′h)/2] (K) |
| Dimensionless velocity vector | |
| x, y, z | Dimensionless Cartesian coordinates |
| Greek symbols | |
| magnetic field inclination | |
| Thermal expansion coefficient (1/K) | |
| Density (kg/m3) | |
| Dynamic viscosity (kg/m s) | |
| Kinematic viscosity (m2/s) | |
| Dimensionless electrical potential | |
| Nanoparticle volume fraction | |
| Ɵ | Dimensionless Temperature |
| Surface tension | |
| Electrical conductivity | |
| Dimensionless vector potential | |
| Dimensionless vorticity | |
| ΔT | Dimensionless temperature difference |
| Subscripts | |
| av | Average |
| c | Cold |
| h | Hot |
| f | Fluid |
| n | Nanoparticle |
| nf | Nanofluid |
| x, y, z | Cartesian coordinates |
| Superscript | |
| ‘ | Dimensional variable |
References
- Gillon, P.; Homsy, G.M. Combined thermocapillary-buoyancy convection in a cavity: An experimental study. Phys. Fluids 1996, 8, 2953–2963. [Google Scholar] [CrossRef]
- Kanouff, M.; Greif, R. Oscillations in thermocapillary convection in a square cavity. Int. J. Heat Mass Transf. 1994, 37, 885–892. [Google Scholar] [CrossRef]
- Chen, J.; Hwu, F.S. Oscillatory Thermocapillary Flow in a Rectangular Cavity. Int. J. Heat Mass Transf. 1993, 36, 3743–3749. [Google Scholar] [CrossRef]
- Semma, E.; EL Ganaoui, M.; Bennar, R.; Cheddadi, A. Effet de la Convection Thermocapillaire sur les Instabilités de la Phase Fluide et de l’Interaction solide/liquide en Croissance Dirigée. In Proceedings of the 16ème Congrès Français de Mécanique, Dourdan, France, 17–21 September 2018. [Google Scholar]
- Behniat, M.; Stella, F.; Gui, G. A Numerical Study of Three-Dimensional Combined Buoyancy and Thermocapillary Convection. Int. J. Multiph. Flow 1995, 21, 529–542. [Google Scholar] [CrossRef]
- Babu, V.; Korpela, S.A. Three Dimensional Thermocapillary Convection in a Cavity. Comput. Fluids 1990, 18, 229–238. [Google Scholar] [CrossRef]
- Zebib, A.; Homsy, G.M.; Meiburg, E. High Marangoni number convection in a square cavity. Phys. Fluids 1985, 28, 3467–3476. [Google Scholar] [CrossRef]
- Ramanan, N.; Korpela, S.A. Thermocapillary convection in an axi-symmetric pool. Comput. Fluids 1990, 18, 205–215. [Google Scholar] [CrossRef]
- Morthland, T.E.; Walker, J.S. Convective Heat transfer due to Thermocapillary Convection with a Strong Magnetic Field Parallel to The Free Surface. Int. J. Heat Mass Transf. 1997, 40, 3283–3291. [Google Scholar] [CrossRef]
- Rudraiah, N.; Cholappa, V.; Subbaraya, C.K. Combined Surface Tension and Buoyancy-Driven Convection in Rectangular Open Cavity in Presence of a Magnetic Field. Int. J. Non Linear Mech. 1995, 30, 759–770. [Google Scholar] [CrossRef]
- Jiang, Y.; Zhou, X.; Wang, Y. Comprehensive heat transfer performance analysis of nanofluid mixed forced and thermocapillary convection around a gas bubble in minichannel. Int. Commun. Heat Mass Transf. 2020, 110, 104386. [Google Scholar] [CrossRef]
- Jiang, Y.; Zhou, X. Heat transfer and entropy generation analysis of nanofluids thermocapillary convection around a bubble in a cavity. Int. Commun. Heat Mass Transf. 2019, 105, 37–45. [Google Scholar] [CrossRef]
- Kolsi, L.; Lajnef, E.; Aich, W.; Alghamdi, A.; Aichouni, M.A.; Borjini, M.N.; Ben Aissia, H. Numerical investigation of combined buoyancy-thermocapillary convection and entropy generation in 3D cavity filled with Al2O3 nanofluid. Alex. Eng. J. 2017, 56, 71–79. [Google Scholar] [CrossRef]
- Aminfar, H.; Mohammadpourfard, M.; Mohseni, F. Numerical investigation of thermocapillary and buoyancy driven convection of nanofluids in a floating zone. Int. J. Mech. Sci. 2012, 65, 147–156. [Google Scholar] [CrossRef]
- Abdullah, A.A.; Alraiqib, N.M.; Lindsay, K.A. Modelling the stability of Marangoni convection in a layer of nanofluid. Int. J. Therm. Sci. 2020, 151, 106228. [Google Scholar] [CrossRef]
- Jiang, Y.; Zhou, X. Analysis of flow and heat transfer characteristics of nanofluids surface tension driven convection in a rectangular cavity. Int. J. Mech. Sci. 2019, 153–154, 154–163. [Google Scholar] [CrossRef]
- Zhuang, Y.J.; Zhu, Q.Y. Numerical study on combined buoyancy–Marangoni convection heat and mass transfer of power-law nanofluids in a cubic cavity filled with a heterogeneous porous medium. Int. J. Heat Fluid Flow 2018, 71, 39–54. [Google Scholar] [CrossRef]
- Lee, K.J.; Kamotani, Y.; Yoda, S. Combined thermocapillary and natural convection in rectangular containers with localized heating. Int. J. Heat Mass Transf. 2002, 45, 4621–4630. [Google Scholar] [CrossRef]
- Sheikholeslami, M.; Chamkha, A.J. Influence of Lorentz forces on nanofluid forced convection considering Marangoni convection. J. Mol. Liq. 2017, 225, 750–757. [Google Scholar] [CrossRef]
- Estellé, P.; Cabaleiro, D.; Żyła, G.; Lugo, L.; Murshed, S.M.S. Current trends in surface tension and wetting behavior of nanofluids. Renew. Sustain. Energy Rev. 2018, 94, 931–944. [Google Scholar] [CrossRef]
- Zhuang, Y.J.; Zhu, Q.Y. Analysis of entropy generation in combined buoyancy–Marangoni convection of power-law nanofluids in 3D heterogeneous porous media. Int. J. Heat Mass. Transf. 2018, 118, 686–707. [Google Scholar] [CrossRef]
- Huang, H.L.; Zhang, Y.; Zhu, G.P. Thermocapillary flow and free-surface deformation of liquid bridge under different magnetic fields. Appl. Therm. Eng. 2018, 135, 83–94. [Google Scholar] [CrossRef]
- Yu, J.J.; Li, Y.R.; Ruan, D.F.; Wu, C.M. Aspect ratio and capillary ratio dependence of thermal-solutal capillary-buoyancy flow of a binary mixture in an annular pool. Int. J. Therm. Sci. 2019, 136, 347–356. [Google Scholar] [CrossRef]
- Saleh, H.; Hashim, I. Buoyant Marangoni convection of nanofluids in square cavity. Appl. Math. Mech. 2015, 36, 1169–1184. [Google Scholar] [CrossRef]
- Jiang, Y.N.; Zhou, X.M. Numerical study of heat transfer and entropy generation of nanofluids buoyant-thermocapillary convection around a gas bubble. Microgravity Sci. Technol. 2019, 31, 195–206. [Google Scholar] [CrossRef]
- Mahmoudi, A.H.; Pop, I.; Shahi, M. Effect of magnetic field on natural convection in a triangular enclosure filled with nanofluid. Int. J. Therm. Sci. 2012, 59, 126–140. [Google Scholar] [CrossRef]
- Ozoe, H.; Okada, K. The Effect of Direction of the External Magnetic Field on the Three-Dimentional Convection in a Cubical Enclosure. Int. J. Heat Mass Transf. 1989, 32, 1939–1954. [Google Scholar] [CrossRef]
- Al-Rashed, A.A.A.A.; Kalidasan, K.; Kolsi, L.; Aydi, A.; Malekshah, E.H.; Hussein, A.K.; Kanna, P.R. Three-Dimensional Investigation of the Effects of External Magnetic Field Inclination on Laminar Natural Convection Heat Transfer in CNT–Water Nanofluid Filled Cavity. J. Mol. Liq. 2018, 252, 454–468. [Google Scholar] [CrossRef]
- Xue, Q.Z. Model for thermal conductivity of carbon nanotube—Based composites. Phys. B 2005, 368, 302–307. [Google Scholar] [CrossRef]
- Purusothamana, A.; Oztop, H.F.; Nithyadevi, N.; Abu-Hamdeh, N.H. 3D natural convection in a cubical cavity with a thermally active heater under the presence of an external magnetic field. Comput. Fluids 2016, 128, 30–40. [Google Scholar] [CrossRef]









| Properties | CNT | H2O |
|---|---|---|
| Cp (J kg−1 K−1) | 425 | 4179 |
| (kg m−3) | 2600 | 997.2 |
| k (W m−1 K−1) | 6600 | 0.613 |
| (K−1) | 1.6 × 10−6 | 21 × 10−5 |
| () | 4.8 × 10−7 | 0.05 |
| Grid Size | Nuav | % Increase | Incremental Increase |
|---|---|---|---|
| 603 | 6.2213 | - | - |
| 713 | 6.308 | 1.393599 | - |
| 813 | 6.37589 | 2.48485 | 1.076252 |
| 913 | 6.3945 | 2.783984 | 0.291881 |
© 2020 by the authors. Licensee MDPI, Basel, Switzerland. This article is an open access article distributed under the terms and conditions of the Creative Commons Attribution (CC BY) license (http://creativecommons.org/licenses/by/4.0/).
Share and Cite
Kolsi, L.; Algarni, S.; Mohammed, H.A.; Hassen, W.; Lajnef, E.; Aich, W.; Almeshaal, M.A. 3D Magneto-Buoyancy-Thermocapillary Convection of CNT-Water Nanofluid in the Presence of a Magnetic Field. Processes 2020, 8, 258. https://doi.org/10.3390/pr8030258
Kolsi L, Algarni S, Mohammed HA, Hassen W, Lajnef E, Aich W, Almeshaal MA. 3D Magneto-Buoyancy-Thermocapillary Convection of CNT-Water Nanofluid in the Presence of a Magnetic Field. Processes. 2020; 8(3):258. https://doi.org/10.3390/pr8030258
Chicago/Turabian StyleKolsi, Lioua, Salem Algarni, Hussein A. Mohammed, Walid Hassen, Emtinene Lajnef, Walid Aich, and Mohammed A. Almeshaal. 2020. "3D Magneto-Buoyancy-Thermocapillary Convection of CNT-Water Nanofluid in the Presence of a Magnetic Field" Processes 8, no. 3: 258. https://doi.org/10.3390/pr8030258
APA StyleKolsi, L., Algarni, S., Mohammed, H. A., Hassen, W., Lajnef, E., Aich, W., & Almeshaal, M. A. (2020). 3D Magneto-Buoyancy-Thermocapillary Convection of CNT-Water Nanofluid in the Presence of a Magnetic Field. Processes, 8(3), 258. https://doi.org/10.3390/pr8030258

