Denoising of Hydrogen Evolution Acoustic Emission Signal Based on Non-Decimated Stationary Wavelet Transform
Abstract
1. Introduction
2. Background Concepts of the Denoising Methods
2.1. Empirical Mode Decomposition (EMD)
2.2. Wavelet Transform (WT)
2.2.1. Discrete Wavelet Transform (DWT)
2.2.2. Wavelet Packet Transform (WPT)
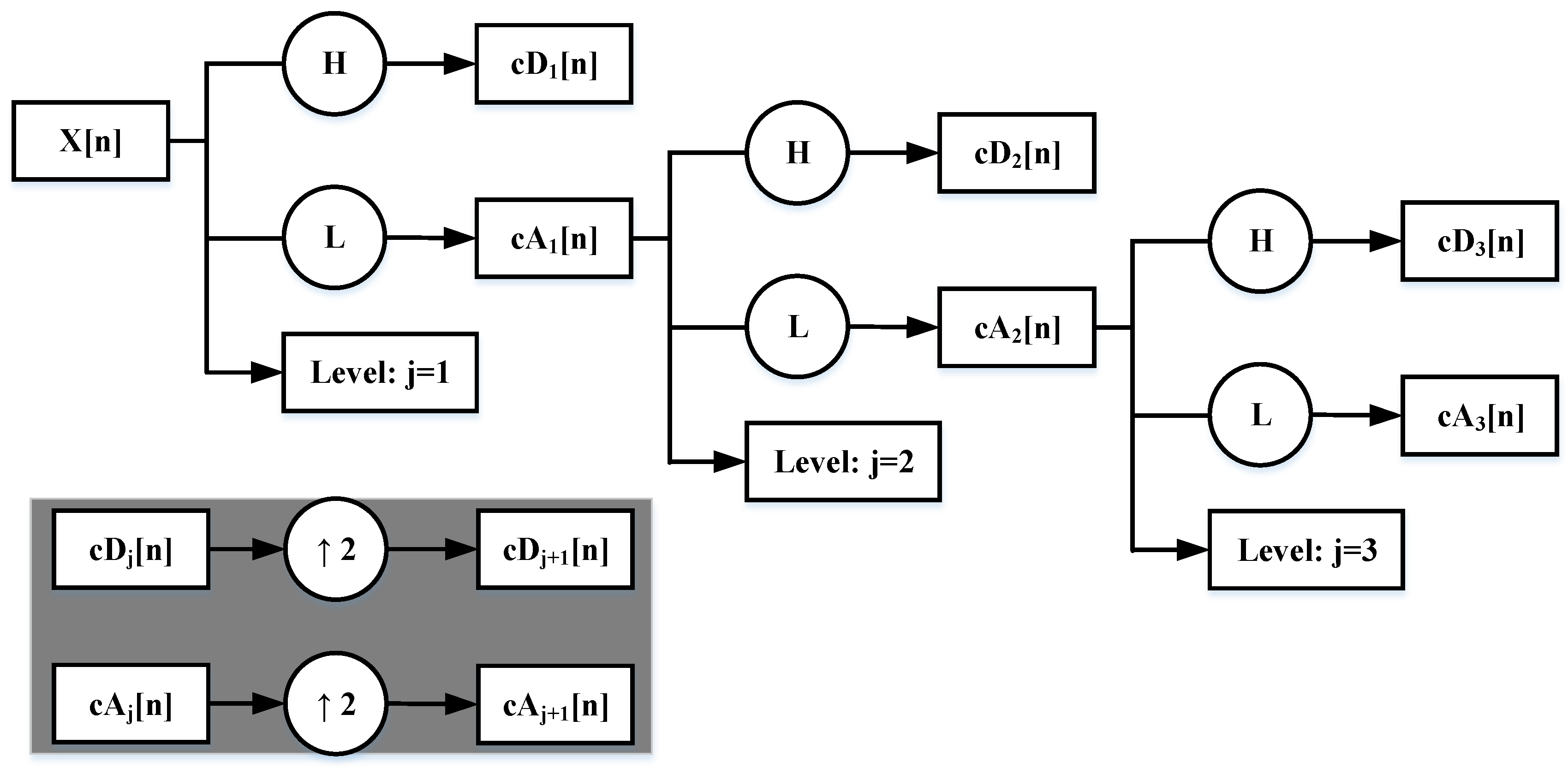
2.2.3. Stationary Wavelet Transform (SWT)
3. Materials and Methods
3.1. Hydrogen Evolution System
3.2. Acoustic Emission Signal Acquisition
3.3. Denoising of a Signal Based on ND-SWT
Basic Steps of a Signal Denoising by ND-SWT
4. Results and Discussion
4.1. Datasets and Simulation Setup
4.2. Denoising of Synthetic Datasets Added with Gaussian White Noise Based on ND-SWT
4.3. Denoising of AE Signal Added with Friction Noise Using ND-SWT Method
4.4. Denoising of AE Signal Added with Friction and Vibration Noise Using ND-SWT Method
4.5. Frequency Spectrum of the Noisy AE Signals and ND-SWT-Based Denoised Signals
4.6. Comparison of the Performance in Denoising AE Signal Based on Different Methods
4.7. Performance Comparison of Different Methods Using Various Performance Metrics
4.8. Frequency Spectrum Analysis of AE Signal after Noise Reduction
5. Concluding Remarks
Author Contributions
Funding
Acknowledgments
Conflicts of Interest
References
- Joseph, R.; Giurgiutiu, V. Analytical and Experimental Study of Fatigue-Crack-Growth AE Signals in Thin Sheet Metals. Sensors 2020, 20, 5835. [Google Scholar] [CrossRef] [PubMed]
- He, K.; Xia, Z.; Si, Y.; Lu, Q.; Peng, Y. Noise reduction of welding crack AE signal based on EMD and wavelet packet. Sensors 2020, 20, 761. [Google Scholar] [CrossRef] [PubMed]
- Mei, H.; Haider, M.F.; Joseph, R.; Migot, A.; Giurgiutiu, V. Recent advances in piezoelectric wafer active sensors for structural health monitoring applications. Sensors 2019, 19, 383. [Google Scholar] [CrossRef] [PubMed]
- Jack, T.A.; Pourazizi, R.; Ohaeri, E.; Szpunar, J.; Zhang, J.; Qu, J. Investigation of the hydrogen induced cracking behaviour of API 5L X65 pipeline steel. Int. J. Hydrogen Energy 2020, 45, 17671–17684. [Google Scholar] [CrossRef]
- Wasim, M.; Ngo, T.D. Failure analysis of structural steel subjected to long term exposure of hydrogen. Eng. Fail. Anal. 2020, 114, 104606. [Google Scholar] [CrossRef]
- Kang, Y.; Kim, M.; Kim, G.; Kim, N.; Song, S. Characteristics of Susceptible Microstructure for Hydrogen-Induced Cracking in the Coarse-Grained Heat-Affected Zone of Carbon Steel. Metall. Mater. Trans. A 2020, 51, 1–11. [Google Scholar] [CrossRef]
- Nguyen, T.T.; Tak, N.; Park, J.; Nahm, S.H.; Beak, U.B. Hydrogen embrittlement susceptibility of X70 pipeline steel weld under a low partial hydrogen environment. Int. J. Hydrogen Energy 2020, 45, 23739–23753. [Google Scholar] [CrossRef]
- Kharrat, M.; Ramasso, E.; Placet, V.; Boubakar, M. A signal processing approach for enhanced Acoustic Emission data analysis in high activity systems: Application to organic matrix composites. Mech. Syst. Signal Proc. 2016, 70, 1038–1055. [Google Scholar] [CrossRef]
- Liu, X.L.; Liu, Z.; Li, X.B.; Rao, M.; Dong, L.J. Wavelet threshold de-noising of rock acoustic emission signals subjected to dynamic loads. J. Geophys. Eng. 2018, 15, 1160–1170. [Google Scholar] [CrossRef]
- Khamedi, R.; Abdi, S.; Ghorbani, A.; Ghiami, A.; Erden, S. Damage characterization of carbon/epoxy composites using acoustic emission signals wavelet analysis. Compos. Interfaces 2019, 27, 111–124. [Google Scholar] [CrossRef]
- Ji, J.; Li, Y.; Liu, C.; Wang, D.; Jing, H. Application of EMD Technology in Leakage Acoustic Characteristic Extraction of Gas-Liquid, Two-Phase Flow Pipelines. Shock Vib. 2018, 2018, 1529849. [Google Scholar] [CrossRef]
- Satour, A.; Montrésor, S.; Bentahar, M.; Elguerjouma, R.; Boubenider, F. Acoustic emission signal denoising to improve damage analysis in glass fibre-reinforced composites. Nondestruct. Test. Eval. 2014, 29, 65–79. [Google Scholar] [CrossRef]
- Faisal, N.; Droubi, M.; Steel, J. Corrosion monitoring of offshore structures using acoustic emission sensors. J. Inst. Corros. 2017, 139, 14–16. [Google Scholar]
- Calabrese, L.; Campanella, G.; Proverbio, E. Noise removal by cluster analysis after long time AE corrosion monitoring of steel reinforcement in concrete. Constr. Build. Mater. 2012, 34, 362–371. [Google Scholar] [CrossRef]
- Hrairi, M. Statistical signal processing and sorting for acoustic emission monitoring of high-temperature pressure components. Exp. Tech. 2009, 33, 35–43. [Google Scholar] [CrossRef]
- Huang, N.E. Introduction to the Hilbert–Huang transform and its related mathematical problems. In Hilbert–Huang Transform and its Applications; World Scientific: Singapore, 2014; pp. 1–26. [Google Scholar]
- Schreiber, T. Interdisciplinary application of nonlinear time series methods. Phys. Rep. 1999, 308, 1–64. [Google Scholar] [CrossRef]
- Ramos, R.; Valdez-Salas, B.; Zlatev, R.; Schorr Wiener, M.; Bastidas Rull, J.M. The discrete wavelet transform and its application for noise removal in localized corrosion measurements. Int. J. Corros. 2017, 2017, 7925404. [Google Scholar] [CrossRef]
- Tan, C.; Wang, Y.; Zhou, X.; Wang, Z.; Zhang, L.; Liu, X. An integrated denoising method for sensor mixed noises based on wavelet packet transform and energy-correlation analysis. J. Sens. 2014, 2014, 650891. [Google Scholar] [CrossRef]
- Nason, G.P.; Silverman, B.W. The stationary wavelet transform and some statistical applications. In Wavelets and Statistics; Springer: Berlin/Heidelberg, Germany, 1995; pp. 281–299. [Google Scholar]
- Wu, K.; Jung, W.S.; Byeon, J.W. Acoustic emission of hydrogen bubbles on the counter electrode during pitting corrosion of 304 stainless steel. Mater. Trans. 2015, 56, 587–592. [Google Scholar] [CrossRef]
















| Parameter | Value |
|---|---|
| Hit definition time (HDT) | 2000 μs |
| Peak definition time (PDT) | 1000 μs |
| Hit lockout value (HLT) | 500 μs |
| Threshold value | 40 dB |
| Sample rate | 1 μs per sample |
| Parameter | Value |
|---|---|
| Peak sensitivity, ref (V/(m/s)) | 117 dB |
| Operating frequency Range | 40–100 kHz |
| Resonant Frequency, ref (V/(m/s)) | 55 kHz |
| Properties | Clean Signal | 25 dB | 20 dB | 15 dB | 10 dB | 5 dB |
|---|---|---|---|---|---|---|
| Number of Peaks | 21 | 209 | 209 | 209 | 273 | 338 |
| Max Peak Frequency (Hz) | 19.53 | 19.53 | 19.53 | 19.53 | 19.53 | 19.53 |
| Mean Frequency (Hz) | 19.80 | 20.53 | 22.01 | 26.58 | 41.27 | 71.47 |
| Angular Frequency (Hz) | 125.54 | 1291.41 | 1291.41 | 1690.43 | 1970.83 | 2082.04 |
| RMS Bandwidth (kHz) | 0.87 | 60.24 | 60.24 | 110.20 | 107.47 | 101.97 |
| Mean Frequency Power (dB) | −6.01 | −5.97 | −5.86 | −5.80 | −5.30 | −4.26 |
| RMSE | 0.00 | 0.04 | 0.07 | 0.12 | 0.23 | 0.38 |
| SNR (dBc) | 24.49 | 20.91 | 15.66 | 9.29 | 6.04 | |
| xcorr (%) | 100.00 | 99.84 | 99.52 | 98.48 | 95.17 | 87.76 |
| ND-SWT-Based Denoised Signals | ||||||
| Number of Peaks | 21 | 21 | 21 | 21 | 21 | 21 |
| Max Peak Frequency (Hz) | 19.53 | 19.53 | 19.53 | 19.53 | 19.53 | 19.53 |
| Mean Frequency (Hz) | 19.80 | 19.68 | 19.68 | 19.69 | 19.56 | 19.50 |
| Angular Frequency (Hz) | 125.54 | 125.79 | 125.79 | 125.79 | 125.79 | 125.92 |
| RMS Bandwidth (kHz) | 0.87 | 0.98 | 0.98 | 0.98 | 0.96 | 0.94 |
| Mean Power (dB) | −6.01 | −6.37 | −6.37 | −6.47 | −6.55 | −6.81 |
| RMSE | 0.00 | 0.03 | 0.04 | 0.05 | 0.07 | 0.11 |
| SNR (dB) | 50.89 | 55.84 | 54.78 | 48.29 | 54.96 | |
| xcorr (%) | 100.00 | 99.91 | 99.83 | 99.74 | 99.56 | 98.91 |
Publisher’s Note: MDPI stays neutral with regard to jurisdictional claims in published maps and institutional affiliations. |
© 2020 by the authors. Licensee MDPI, Basel, Switzerland. This article is an open access article distributed under the terms and conditions of the Creative Commons Attribution (CC BY) license (http://creativecommons.org/licenses/by/4.0/).
Share and Cite
May, Z.; Alam, M.K.; Rahman, N.A.A.; Mahmud, M.S.; Nayan, N.A. Denoising of Hydrogen Evolution Acoustic Emission Signal Based on Non-Decimated Stationary Wavelet Transform. Processes 2020, 8, 1460. https://doi.org/10.3390/pr8111460
May Z, Alam MK, Rahman NAA, Mahmud MS, Nayan NA. Denoising of Hydrogen Evolution Acoustic Emission Signal Based on Non-Decimated Stationary Wavelet Transform. Processes. 2020; 8(11):1460. https://doi.org/10.3390/pr8111460
Chicago/Turabian StyleMay, Zazilah, Md Khorshed Alam, Noor A’in A. Rahman, Muhammad Shazwan Mahmud, and Nazrul Anuar Nayan. 2020. "Denoising of Hydrogen Evolution Acoustic Emission Signal Based on Non-Decimated Stationary Wavelet Transform" Processes 8, no. 11: 1460. https://doi.org/10.3390/pr8111460
APA StyleMay, Z., Alam, M. K., Rahman, N. A. A., Mahmud, M. S., & Nayan, N. A. (2020). Denoising of Hydrogen Evolution Acoustic Emission Signal Based on Non-Decimated Stationary Wavelet Transform. Processes, 8(11), 1460. https://doi.org/10.3390/pr8111460

