Connecting Risk and Resilience for a Power System Using the Portland Hills Fault Case Study
Abstract
1. Introduction
- (1)
- Ground shaking analysis,
- (2)
- Structural analysis,
- (3)
- Load-flow Monte Carlo analysis and
- (4)
- Economic consequence analysis.
2. Ground Shaking Analysis
2.1. Methodology for Ground Shaking Analysis
2.2. Assumptions Made during Ground Shaking Analysis
2.3. Results of Ground Shaking Analysis
3. Structural Analysis
3.1. Methodology for Structural Analysis
3.2. Assumptions Made during Structural Analysis
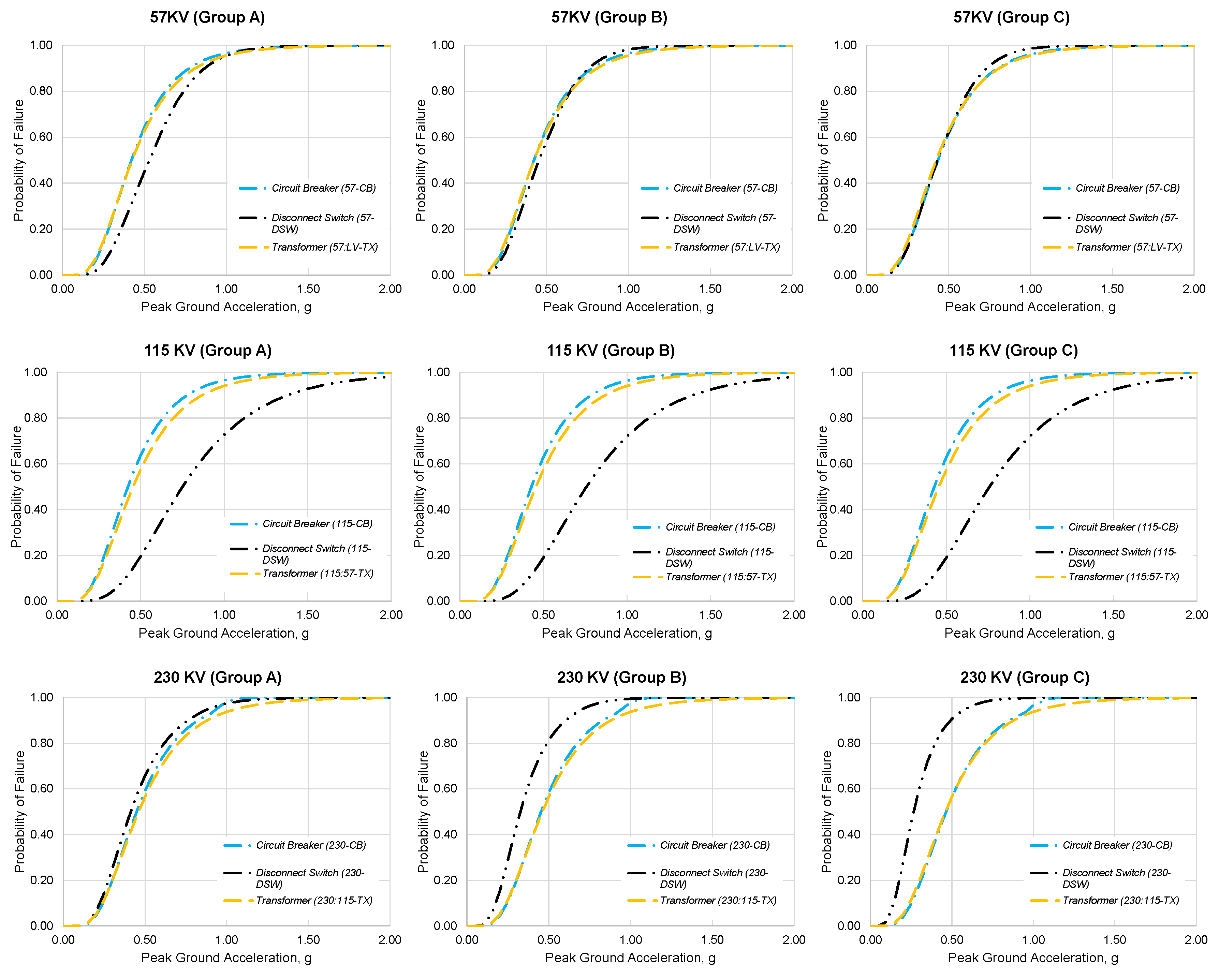
3.3. Results of Structural Analysis
4. Load-Flow Monte Carlo Analysis
4.1. Methodology for Load-Flow Monte Carlo Analysis
4.2. Assumptions for Load-Flow Monte Carlo Analysis
4.3. Results of Load-Flow Monte Carlo Analysis
5. Economic Consequence Analysis
5.1. Methodology for Economic Consequence Analysis
5.2. Assumptions for Economic Consequence Analysis
5.3. Results of Economic Consequence Analysis
6. Conclusions
Author Contributions
Funding
Acknowledgments
Conflicts of Interest
Abbreviations
| PGE | Portland General Electric |
| PGA | Peak Ground Acceleration |
| PHF | Portland Hills Fault |
| PoF | Probability of Failure |
| PBEE | Performance Based Earthquake Engineering |
| SLRF | Seismic Load Recovery Factor |
| NPV | Net Present Value |
| MC | Monte Carlo |
| LFMCA | Load-Flow Monte Carlo Analysis |
| SRSS | Square Root of the Sum of Squares |
| VaR | Value at Risk |
| CVaR | Conditional Value at Risk |
| DSHA | Deterministic Seismic Hazard Analysis |
| WECC | Western Electrical Coordinating Council |
| NERC | North American Electric Reliability Corporation |
| USGS | United States Geological Survey |
| VI | Vulnerability Index |
| DI | Degradation Index |
| REI | Restoration Efficiency Index |
| MRI | Microgrid Resilience Index |
| CB | Circuit Breaker |
| TX | Transformer |
| DSW | Disconnect Switch |
| ACI | American Concrete Institute |
| AISC | American Institute of Steel Construction |
References
- Wong, I.; Silva, W.; Bott, J.; Wright, D.; Thomas, P.; Gregor, N.; Li, S.; Mabey, M.; Sojourner, A.; Wang, Y. Earthquake Scenario and Probabilistic Ground Shaking Maps for the Portland, Oregon, Metropolitan Area. 2000. Available online: https://www.oregongeology.org/pubs/ims/ims-016/Text/Ims-16text.pdf (accessed on 22 September 2020).
- Panteli, M.; Mancarella, P. The grid: Stronger bigger smarter: Presenting a conceptual framework of power system resilience. IEEE Power Energy Mag. 2015, 13, 58–66. [Google Scholar] [CrossRef]
- Amirioun, M.; Aminifar, F.; Lesani, H.; Shahidehpour, M. Metrics and quantitative framework for assessing microgrid resilience against windstorms. Int. J. Electr. Power Energy Syst. 2019, 104, 716–723. [Google Scholar] [CrossRef]
- Panteli, M.; Mancarella, P.; Trakas, D.; Kyriakides, E.; Hatziargyriou, N. Metrics and quantification of operational and infrastructure resilience in power systems. IEEE Trans. Power Syst. 2017, 32, 4732–4742. [Google Scholar] [CrossRef]
- Panteli, M.; Trakas, D.N.; Mancarella, P.; Hatziargyriou, N. Power systems resilience assessment: Hardening and smart operational enhancement strategies. Proc. IEEE 2017, 105, 1202–1213. [Google Scholar] [CrossRef]
- Chalishazar, V.; Fox, I.; Hagan, T.; Cotilla-Sanchez, E.; Jouanne, A.V.; Zhang, J.; Brekken, T.; Bass, R.B. Modelling power system buses using performance based earthquake engineering methods. In Proceedings of the 2017 IEEE Power & Energy Society General Meeting, Chicago, IL, USA, 16–20 July 2017; pp. 1–5. [Google Scholar]
- Chalishazar, V.; Johnson, B.; Cotilla-Sanchez, E.; Brekken, T. Augmenting the traditional bus-branch model for seismic resilience analysis. In Proceedings of the 2018 IEEE Energy Conversion Congress and Exposition (ECCE), Portland, OR, USA, 23–27 September 2018; pp. 1133–1137. [Google Scholar]
- Johnson, B.; Chalishazar, V.; Cotilla-Sanchez, E.; Brekken, T.K. A monte carlo methodology for earthquake impact analysis on the electrical grid. Electr. Power Syst. Res. 2020, 184, 106332. [Google Scholar] [CrossRef]
- Chalishazar, V.H. Evaluating the Seismic Risk and Resilience of an Electrical Power System. Ph.D. Thesis, Oregon State University, Corvallis, OR, USA, 2019. [Google Scholar]
- Yelin, T.S.; Patton, H.J. Seismotectonics of the portland, oregon, region. Bull. Seismol. Soc. Am. 1991, 81, 109–130. [Google Scholar]
- Liberty, L.M.; Hemphill-Haley, M.A.; Madin, I.P. The portland hills fault: Uncovering a hidden fault in portland, oregon using high-resolution geophysical methods. Tectonophysics 2003, 368, 89–103. [Google Scholar] [CrossRef]
- Wong, I.G.; Hemphill-Haley, M.A.; Liberty, L.M.; Madin, I.P. The portland hills fault: An earthquake generator or just another old fault. Or. Geol. 2001, 63, 39–50. [Google Scholar]
- Petersen, M.D.; Zeng, Y.; Haller, K.M.; McCaffrey, R.; Hammond, W.C.; Bird, P.; Moschetti, M.; Shen, Z.-K.; Bormann, J.; Thatcher, W.R. Geodesy-And Geology-Based Slip-Rate Models for the Western United States (Excluding California) National Seismic Hazard Maps; U.S. Geological Survey: Reston, VA, USA, 2014. [Google Scholar]
- Petersen, M.D.; Frankel, A.D.; Harmsen, S.C.; Mueller, C.S.; Haller, K.M.; Wheeler, R.L.; Wesson, R.L.; Zeng, Y.; Boyd, O.S.; Perkins, D.M. Documentation for the 2008 Update of the United States National Seismic Hazard Maps; Technic Report; Geological Survey (US): Reston, VA, USA, 2008. [Google Scholar]
- National Seismic Hazard Maps. Available online: https://earthquake.usgs.gov/hazards/hazmaps/conterminous/index.php#2014 (accessed on 9 February 2019).
- Abrahamson, N.A.; Silva, W.J.; Kamai, R. Summary of the ask14 ground motion relation for active crustal regions. Earthq. Spectra 2014, 30, 1025–1055. [Google Scholar] [CrossRef]
- Boore, D.M.; Stewart, J.P.; Seyhan, E.; Atkinson, G.M. Nga-west2 equations for predicting pga, pgv, and 5% damped psa for shallow crustal earthquakes. Earthq. Spectra 2014, 30, 1057–1085. [Google Scholar] [CrossRef]
- Campbell, K.W.; Bozorgnia, Y. Nga-west2 ground motion model for the average horizontal components of pga, pgv, and 5% damped linear acceleration response spectra. Earthq. Spectra 2014, 30, 1087–1115. [Google Scholar] [CrossRef]
- Chiou, B.S.-J.; Youngs, R.R. Update of the chiou and youngs nga model for the average horizontal component of peak ground motion and response spectra. Earthq. Spectra 2014, 30, 1117–1153. [Google Scholar] [CrossRef]
- Bozorgnia, Y.; Abrahamson, N.A.; Atik, L.A.; Ancheta, T.D.; Atkinson, G.M.; Baker, J.W.; Baltay, A.; Boore, D.M.; Campbell, K.W.; Chiou, B.S.-J. Nga-west2 research project. Earthq. Spectra 2014, 30, 973–987. [Google Scholar] [CrossRef]
- Huo, J.-R.; Hwang, H.H. Seismic Fragility Analysis of Equipment and Structures in a Memphis Electric Substation; National Center for Earthquake Engineering Research: Buffalo, NY, USA, 1995. [Google Scholar]
- ACI. Building Code Requirements for Reinforced Concrete (aci 318-14); ACI: Dhaka, Bangladesh, 2014. [Google Scholar]
- AISC. Specification for Structural Steel Buildings (ansi/aisc 360-10); American Institute of Steel Construction: Chicago, IL, USA, 2010. [Google Scholar]
- Park, H.-S.; Choi, B.H.; Kim, J.J.; Lee, T.-H. Seismic performance evaluation of high voltage transmission towers in south korea. KSCE J. Civ. Eng. 2016, 20, 2499–2505. [Google Scholar] [CrossRef]












© 2020 by the authors. Licensee MDPI, Basel, Switzerland. This article is an open access article distributed under the terms and conditions of the Creative Commons Attribution (CC BY) license (http://creativecommons.org/licenses/by/4.0/).
Share and Cite
Chalishazar, V.H.; Brekken, T.K.A.; Johnson, D.; Yu, K.; Newell, J.; Chin, K.; Weik, R.; Dierickx, E.; Craven, M.; Sauter, M.; et al. Connecting Risk and Resilience for a Power System Using the Portland Hills Fault Case Study. Processes 2020, 8, 1200. https://doi.org/10.3390/pr8101200
Chalishazar VH, Brekken TKA, Johnson D, Yu K, Newell J, Chin K, Weik R, Dierickx E, Craven M, Sauter M, et al. Connecting Risk and Resilience for a Power System Using the Portland Hills Fault Case Study. Processes. 2020; 8(10):1200. https://doi.org/10.3390/pr8101200
Chicago/Turabian StyleChalishazar, Vishvas H., Ted K. A. Brekken, Darin Johnson, Kent Yu, James Newell, King Chin, Rob Weik, Emilie Dierickx, Matthew Craven, Maty Sauter, and et al. 2020. "Connecting Risk and Resilience for a Power System Using the Portland Hills Fault Case Study" Processes 8, no. 10: 1200. https://doi.org/10.3390/pr8101200
APA StyleChalishazar, V. H., Brekken, T. K. A., Johnson, D., Yu, K., Newell, J., Chin, K., Weik, R., Dierickx, E., Craven, M., Sauter, M., Olennikov, A., Galaway, J., & Radil, A. (2020). Connecting Risk and Resilience for a Power System Using the Portland Hills Fault Case Study. Processes, 8(10), 1200. https://doi.org/10.3390/pr8101200

