Abstract
Recently, consumer markets have shown great interest in sustainable products. Considerable research efforts are headed towards developing biodegradable and recyclable polymers and composites. In this study, the fabrication of a wood–plastic composite (WPC) via solid state compounding has been examined. Polyethylene terephthalate (PET) and wood sawdust waste as major components of waste and challenging materials for the manufacturing of WPCs have been explored. Furthermore, the addition of poly(ε-caprolactone) as a biodegradable plasticizing agent was investigated. Composite powders were prepared by cryogenic solid-state milling (cryomilling) according to a statistical mixture design. Mechanical and water absorption properties were inspected on film samples obtained by hot pressing. Different formulations resulted in a variety of colors, textures, water interactions and mechanical properties. A sawdust content of approximately 25 vol.% was optimal for the best combination of properties. The results indicated that cryomilling is technically advantageous in the production of WPCs.
1. Introduction
The accumulation of non-biodegradable waste in any society triggers serious public concerns. Disposing of it into oceans, sewers, or landfills leads to air, soil, and water pollution. Recently, research, legislation, and money have been directed towards sustainable solutions to both cut down on the amount of waste and to recycle waste materials [1]. Green/sustainable products are defined as those composed of recyclable, recycled, and/or re-usable materials that emphasize reduced material use (light-weighting) and utilization of bio-derived materials [2]. Plastic constitutes a major component of the problematic waste as it is mostly non-biodegradable [3]. Furthermore, plastic recycling is quite challenging. Different levels of degradation of plastics due to repeated processing cycles and environmental exposure, different melting points, different fillers, and immiscibility of components complicate the recycling process [4,5]. According to the US Environmental Protection Agency (EPA), in 2017, 25.1% of the municipal solid waste (MSW) produced in the US was recycled, 4.4% of which were plastics, which accounted for only 8.4% of all plastics produced [6,7].
In recent decades, research and industrial efforts on the development of composites from various wastes and recycled materials with natural fillers have increased significantly [8]. This study aimed to investigate the recycling of polyethylene terephthalate (PET) and sawdust (SD) to produce a wood–plastic composite (WPC) by utilizing a solid-state compounding route. PET is one of the most widely used non-biodegradable plastics [3]. It is a semi-crystalline thermoplastic polyester with high strength, good flexibility, transparency, and safety [9]. The term ‘WPC’ refers to any composite that contains plant (wood and non-wood) fibers and thermosets or thermoplastics, with an extensive use of thermoplastics [10]. Production and application of WPCs has considerably increased in the past few decades; WPCs replaced lumber used for residential applications, such as decking, siding, roofing, fencing, landscaping timbers, benches, window- and door-frames, and indoor furniture [11,12]. Usage of WPCs is advocated to reduce the problems associated with shortage of trees, poor degradation resistance and low durability of chemically treated conventional timber, and environmental concerns over water quality from leaching chemicals [8,13]. WPCs also offer great flexibility in the shapes and colors of the materials produced. Furthermore, WPCs from thermoplastics are potentially recyclable, because recovered material can be melted and re-formed [8]. In addition to that, the application of waste in WPCs offers great prospects for alleviating the waste disposal problem [14].
WPC manufacturing processes generally consist of two parts: the first part is the compounding of the wood/polymer materials, typically by using a screw extruder, and the second part is fabricating the final product, typically via extrusion and molding techniques. Nevertheless, there are several challenges in the fabrication and recycling of WPCs. One of the main technical challenges is finding the right WPC composition to provide the appropriate characteristics such as color and shape stability, weathering, and biological resistance. Another challenge is the hydrophilic property of natural fibers, which lowers compatibility with the hydrophobic polymeric matrices during composite fabrications. This leads to a non-uniform dispersion of fibers within the matrix, poor fiber–matrix adhesion, and thus low mechanical properties. The third challenge is the low processing temperature that must be used because of the low thermal stability of the fibers [13,15]. Excessive heat may be generated in the fabrication route, causing the WPC to burn [12]. Several studies have focused on improving the properties of WPCs and solving some of their fabrication challenges. Coupling agents are usually coated on the surface of the wood fiber, polymer, or both by compounding, blending, soaking, spraying, or other methods to improve the affinity and adhesion between the wood fibers and thermoplastic matrices in production [16,17,18,19]. Different processing systems [19,20,21,22,23], compositions [24,25,26,27], fibers [28,29,30], fillers [31,32], and modifiers and compatibilizers [33,34,35,36] have been investigated.
To the best of our knowledge, there are only two studies on WPCs made from recycled PET (rPET) and SD [23,37], and a few more studies on using natural fillers in a PET matrix [38,39,40]. However, there are no studies on using solid state blending to produce WPCs. PET has a high melting temperature (approximately 250–260 °C), challenging its use in WPCs. The present study intended to determine the capability of a solid-state blending approach, cryomilling, to fabricate WPC powders from PET waste. Furthermore, we added a biodegradable and flexible polymer, poly(ε-caprolactone) (PCL), as a plasticizer to tune the properties of the resultant WPC and enhance its processability and biodegradability [41,42]. PET bottles and wood SD were utilized as waste raw materials after being subjected to a single use. A mixture experiment was designed to investigate the effects of mix components on the composite properties. Test specimens were fabricated using hot flat-pressing and water absorption, and mechanical properties were examined to establish the feasibility of this fabrication technique to create a WPC from waste. Finally, the experimental results were compared with reference values. The results indicated the technical feasibility of solid-state cryomilling in the production of WPCs, even with particularly challenging materials like PET.
2. Materials and Methods
2.1. Preparation of rPET WPC Powders
PET water bottles (1.5 L) were used in this investigation. Bottles were collected after single use, shredded and sieved to a particle size <8 mm, which is the maximum feed size for the 50 cm3 grinding jar of the cryomill. Shredded PET has a melting temperature (Tm) of approximately 249 °C, and degree of crystallinity (Xc) of approximately 18% (as measured via differential scanning calorimetry (DSC)). The shredded PET was ball milled to a fine powder at a cryogenic temperature in a Retsch Cryomill (Retsch GmbH, Haan, Germany). Seven grams of shredded PET, along with a single 25 mm stainless steel ball, were loaded into the 50 cm3 cryomill grinding jar. The cryomill is equipped with a liquid nitrogen autofill system that continually feeds liquid nitrogen to keep the milling temperature at −196 °C. The cryomilling process consisted of 15 min of precooling followed by 5 cycles of milling; each cycle consisted of 2 min of ball milling at a frequency of 20 Hz followed by 0.5 min of intermediate cooling. It is worth mentioning here that several trials were conducted to optimize the milling parameters; in particular, cryomilling was significantly more efficient on thick PET particles obtained from the bottom of the bottles; thereby, only these particles were utilized in the study. The cryomilled PET was sieved to a particle size <1 mm. Milling induced a reduction in PET Tm to 246.6 °C and an increase in its Xc to 20.5% (as measured via DSC). Sawdust (SD) from whitewood was collected from our workshop at the German Jordanian University and sieved to a particle size <1 mm. Poly(ε-caprolactone) (PCL) powder (Capa® 6506), which was kindly supplied by Perstorp, UK, was added as a biodegradable plasticizer. Capa® 6506 powder has a reported density of 1.1 g/cm3 (at 60 °C), a Tm of 58–60 °C, and a particle size of less than 600 µm. Before compounding the mixture samples, both PET powder and wood were dried in an oven at 60 °C for 48 h to eliminate moisture. Thereafter, PET/PCL/SD powders at different volume fractions were compounded by cryogenic solid-state milling in the Retsch Cryomill for a total of 22.5 min (9 cycles of 2.5 min of milling followed by 0.5 min of intermediate cooling).
2.2. Preparation of rPET WPC Films
The compounded powders were dried in an oven at 40 °C for 48 h to remove moisture prior to melt processing. Subsequently, powder samples were consolidated by hot flat pressing between Teflon sheets in a Carver bench-top laboratory press (Carver, Inc., Wabash, IN, USA) at 260 °C and approximately 20 kN for 30 s to make film samples. It should be noted here that processing parameters were chosen after numerous trials to produce films with good physical integrity and homogeneity based on visual inspection. The presence of air voids, attributed to de-wetting and moisture in some WPC films, especially with increasing wood content, was very challenging to eliminate within the process capabilities. Furthermore, the high melting temperature of the PET was a huge obstacle. Hence, time of compression pressing and molding material (Teflon) were so critical for the success of the fabrication. Films were designated based on their composition (e.g., rPET/PCL/SD40/30/30). Specimens were cut into rectangular and circular shapes for the respective characterization tests.
2.3. Mechanical Properties of rPET WPC Films
Three rectangular specimens (6 mm width × 80 mm length) were cut from each formulation for tensile testing. Test specimens were conditioned for at least 24 h before conducting the test (23 ± 2 °C and 50 ± 5% RH). Thicknesses of films were measured using a micrometer (Mitutoyo, Kawasaki, Japan) from at least five random positions on each film. The mean thickness value was used for the stress calculations. Tests were carried out on a Testometric universal tensile testing machine (Testometric Co. Ltd., Rochdale, UK) at a crosshead speed of 1 mm/min, 30 mm gauge length, and at room temperature. Young’s modulus of elasticity, ultimate tensile strength, and ductility (percentage elongation at break, EL%) were calculated from resulting force-elongation data using OriginPro 8.5 software (OriginLab Corporation, Northampton, MA, USA). The presented results are average values of the three measurements for each formulation.
2.4. rPET WPC Film Interaction with Water
The bulk water absorption (water uptake) and thickness swelling were measured as indicators of bulk hydrophilic behavior of composites. Disc samples of 25 mm diameter from each formulation were dried in a vacuum oven and dry weight (mdry) and thickness (Thdry) were measured. The weight and thickness of dried specimens were measured to a precision of 0.0001 g and 0.001 mm, respectively. Three samples from each composition were then completely immersed into distilled water and kept at room temperature. Wet weight (mwet) and thickness (Thwet) were measured after removing the excess water around the samples after a week. Water uptake (WU%) and percentage of thickness swelling (TS%) were calculated according to the following equations, respectively:
3. Results and Discussion
3.1. Preparation of rPET WPCs
Extrusion has been the dominant technology for compounding wood with plastics for producing final WPC products via extrusion or injection molding. However, the low degradation temperature of wood limits WPC applicability to polymers with low melting temperatures [10,22]. The present study assessed the feasibility of cryogenic solid-state milling to compound and recycle PET and SD into WPC powders. It is postulated that cryomilling reduces the exposure time of wood to high temperatures and compounding provides a protection cover for wood intended for the subsequent processing steps. Furthermore, milling is hypothesized to improve the dispersion of SD and its interfacial adhesion with the polymers. Hot pressing was utilized as an inexpensive way for producing WPC test specimens on a laboratory scale. Hot pressing is a simple processing method that has been recently utilized for producing WPC panels with high fiber content and different densities at a lower cost in comparison with other methods, and products that are closely comparable to commercial medium density fiberboard (MDF) and particleboard, with no formaldehyde gas emissions [23]. The processability of rPET WPCs, i.e., the ability to obtain compounded powders and hot-pressed films with good physical integrity and homogeneity, was first investigated up to the highest possible SD content. Degradations and poor integrity were evaluated by visual observations and burning odors. Powders were milled with up to 70 vol.% of sawdust. However, films with 70 vol.% SD were incomplete and too brittle to handle. Those with 60 vol.% SD were too brittle to tensile test. Different visual and tactile effects were achieved (Figure 1); specimen color homogeneity for all formulations implied that milling produced sufficiently homogenized dispersions of SD in the polymeric matrix. Specimens containing up to 30 vol.% SD demonstrated smooth surfaces. When the SD content in the polymer matrix increased, the appearance of the WPC approached that of natural wood and its surface roughness increased. Films with SD content greater than 30 vol.% occasionally showed traces of burn marks across their surfaces as well. Addition of 30 vol.% PCL did not result in significant visual differences with corresponding samples of the same SD content.
Figure 1.
Effect of wood content (0–60 vol.%) on recycled-PET wood plastic composite (rPET WPC) color. SD = sawdust.
To demonstrate the potential of these composites in high temperature processing, thermogravimetric analysis (TGA) studies were carried out on some samples from 30 °C to 300 °C using a Netzsch TG209 F1 Libra thermogravimetric analyzer in tared open aluminium pans under N2 environment (20 cm3/min) at a heating rate of 10 °C/min. The results of the evaluation of the onset loss temperature (T0.5%) and percentage mass loss at 300 °C for different compositions are listed in Table 1. Compared to reported PET onset of degradation temperatures, the rPET shredded bottle sample had a low onset temperature (T0.5% = 218.3 °C). Milling induced an approximately 108 °C reduction in onset degradation (T0.5% = 110.6 °C); this could be attributed to PET amorphization and/or chain scission [43]. However, blending with 30 vol.% PCL resulted in an approximately 55 °C reduction in onset temperature to T0.5% = 163.8 °C compared to the shredded rPET sample, which is higher than that of the purely milled rPET sample. The former could be attributed to the PCL plasticizing effect [42], lower thermal stability of PCL, and incompatibility between the two polymers. The latter may be ascribed to the PCL plasticizer forming a protection cover for rPET during milling. The addition of 10 vol.% SD enhanced the thermal stability of the milled polymer; however, the T0.5% temperatures decreased with increasing SD content from 10 vol.% to 30 vol.%. The former may be explained by a crystallization effect of the low amount of SD content, which is well protected by the polymers. The latter could be attributed to agglomeration of SD and its lower thermal stability. More investigations are required to affirm the conclusions. Mass loss at 300 °C complemented the results, showing that an amount of 30 vol.% SD caused a reduction in the composite’s thermal stability (T0.5%(rPET/SD) = 159.4 °C and mass loss at 300 °C > 3%) with PCL inducing a more pronounced degradation (T0.5% = 52.9 °C and mass loss at 300 °C > 15%).
Table 1.
Thermogravimetric data for rPET, rPET/poly(ε-caprolactone) (PCL) blend, and SD-filled composites.
3.2. Mechanical Properties of rPET WPCs
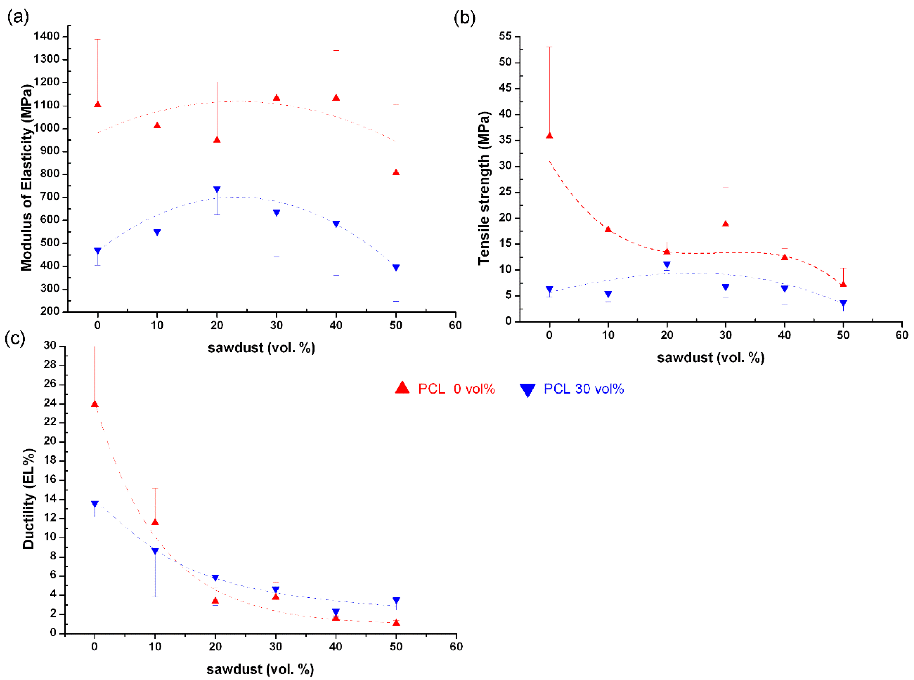
To explore the influence of sawdust content and PCL on the mechanical properties of recycled PET, samples at different SD contents were tested. Figure 2 illustrates sample stress–strain curves; tensile properties derived from stress–strain curves at different SD contents, with and without PCL (30 vol.%) are shown in Figure 3. The graphs clearly demonstrate that the addition of PCL to recycled PET significantly lowered its tensile properties. This could be attributed to immiscibility and poor compatibility between PET and PCL at that level of loading. Similarly, Xia et al. [44] have utilized polylactide (PLA) as a plasticizer in PET/PLA blends and found that the PLA concentration has a considerable effect on lowering the mechanical properties as well as the thermal stability of blends. In reference to the composite’s tensile properties, the tensile modulus appears to increase up to approximately 1150 MPa and 700 MPa at approximately 25 vol.% SD without and with PCL addition, respectively; then decreases with increasing SD content. However, as SD content increased, the tensile strength of composites generally decreased. Ductility, on the other hand, decreased almost exponentially with SD content, with PCL slightly enhancing the ductility at higher SD loadings (>15 vol.%).
Figure 2.
Sample stress–strain curves of rPET-based composites filled with 10 vol.%, 30 vol.% and 50 vol.% of SD, with and without the addition of PCL (30 vol.%), noted as PCL/SD PCL%/SD%. Inset figure presents a magnification of the small strain region.
Figure 3.
Tensile properties of rPET-based composites: (a) Young’s modulus, (b) tensile strength, and (c) ductility as function of PCL and SD contents. Dotted lines represent polynomial (a,b) and exponential (c) fits. Error bars are shown in one direction only.
A statistical mixture experiment was designed and conducted to evaluate the effects and interactions of components on the tensile properties of the WPCs by using response surface methodology. The experimental design and statistical analysis were done with Minitab software (version 17.1.0, Minitab Inc., State College, PA, USA). The rPET WPC mixture system consists of three components: rPET, PCL, and SD. The SD and PCL proportions were constrained based on the aforementioned preliminary experimental results. The lower and upper limits of the experimental range are shown in Table 2. The generated design included 32 different formulations with 10 formulations replicated twice. Thus, the total number of runs was 42. Three rectangular specimens were cut from each formulation for tensile testing as described in Section 2.3, and averaged tensile responses were used in the analysis. After data collection, regression analysis with stepwise, forward, and backward elimination methods for model selection (α-to-add/remove = 0.10) on Scheffe’s canonical models was used to model the responses. The final selected model results are summarized in Table 3. Surface and contour plots are shown in Figure 4. It is should be acknowledged here that the solid grey outline represents the design space for this mixture design; these models are uncertain outside of the design space.
Table 2.
Composition design sapce for the rPET WPC statistical mixture experiment.
Table 3.
Effects of components’ content on rPET WPC tensile properties.
Figure 4.
Mixture response surface and contour plots for effects of composition on rPET WPC mechanical properties: (a) tensile modulus, (b) tensile strength, and (c) ductility. Design space and design points are shown within the solid grey outline on the simplex coordinate system.
According to the regression output, all model terms were significant (p-value < 0.05). In addition, the lack of fit (p-value > 0.05) was not significant for any of the response surface models. Yet, the coefficients of determination (R2, adjusted-R2 (Adj-R2), and prediction-R2 (Pred-R2)) indicate fair fits, with models explaining 58.93%, 57.04%, and 67.20% of the variability in the tensile modulus, strength, and ductility, respectively. This is attributed to the variability in the data ascribed to the occasional presence of air voids, poor compatibility between components, and high stress concentrations at wood edges in the samples. Though the models are quite involved and difficult to interpret, from the model coefficients, one can also conclude that PCL and SD contribute negatively to tensile modulus and strength; however, they have higher magnitude synergistic interactions. On the other hand, PCL contributes positively to ductility, while SD has a negative effect and they have a higher magnitude, but antagonistic interaction. SD is known to reduce the mechanical properties of WPCs due to its incompatibility with polymeric matrices, non-uniform dispersion, poor fiber–matrix adhesion, and stress concentration effects at its corners [45]. Residual plots (Figures S1–S3 in the Supplementary Material) were generated to assess the model’s adequacies; they all show no significant indications of inadequate model assumptions.
3.3. Water Absorption Properties of rPET WPCs
Water absorption in WPCs occurs in the regions of wood due to its hydrophilicity and in the gaps and flaws at the interfaces between the wood and the polymer. It was hypothesized that milling reduces the gaps and provides better wood encapsulation. Samples from the statistically designed mixture experiment were used to describe the general water interaction properties of the rPET WPCs and to evaluate the effects and interactions of components on the composites. The results are summarized in Figure 5 and Table 4. Both water uptake and thickness swelling generally increased with increasing SD content. The addition of PCL to the mixture generally decreased water uptake. This is attributed to the hydrophobic property of PCL. Variability within the same composition may be attributed to defects in the samples, where the presence of air voids may have contributed to higher swelling values. It is worth mentioning also that negative values were occasionally encountered when dealing with thickness swelling; these data points were eliminated. They are associated with pressure being applied on the micrometer during measurements.
Figure 5.
Scatter plot of (a) water uptake (WU%) and (b) thickness swelling (TS%) for samples as function of SD content.
Table 4.
Effects of component contents on the interaction of rPET WPC with water.
In relation to the regression output, all model terms were significant (p-value < 0.05). The coefficients of determination (R2, Adj-R2, and Pred-R2) indicate good fits, with models explaining 95.4% and 92.7% of the variability in the water uptake and thickness swelling, respectively. From the model coefficients, one can also conclude that SD has the highest contribution to the WPC interaction with water, while PCL contributes negatively. Residual plots were generated to assess the model’s adequacies; they all show no indication of inadequate model assumptions.
3.4. Comparison with Literature Reports
To establish the potential and advantages of the cryomilling compounding step, our results are compared with similar composites reported in the literature as demonstrated in Table 5. Despite the vast disparity in reported outcomes; different polymers, wood types, and additives; different fabrication approaches; and different sample shapes, film rPET WPCs prepared via cryogenic solid-state compounding without any coupling agent seem to provide reasonable mechanical and water interaction properties compared to MDF and other WPCs for various WPC applications. However, the use of additives like coupling agents could further enhance the properties of the resultant rPET WPCs.
Table 5.
Comparison of sample rPET WPC properties with literature reports.
4. Conclusions
Although the production and marketing of WPCs are quite huge, the challenges of their production are still extensive. Using a different compounding approach by means of cryomilling for solid-state compounding and compression molding for sample preparation, this study aimed to eliminate some of the challenges involved in WPC production. We examined a very challenging WPC product consisting of rPET and wood sawdust waste, which are major components of waste and offer great opportunities as recycled ingredients in WPCs. The fabrication of rPET WPC films was successful up to 60 vol.% SD; however, time of compression molding and mold material were very critical for the success of the film fabrication. From tensile test results, SD content of approximately 25 vol.% was optimal for the best combination of properties. PCL, which was introduced as a biodegradable plasticizer, proved to be a good additive to increase the ductility of specimens containing >15 vol.% SD while simultaneously decreasing water uptake. Mixture experiments were used to systematically analyze the effects of composition on the rPET WPC properties. The overall compositions significantly affected water absorption, thickness swelling, tensile strength and modulus, and maximum strain. Comparison with literature data revealed good WPC properties. In conclusion, cryomilling has good prospects in the production of WPCs.
Supplementary Materials
The following are available online at https://www.mdpi.com/2227-9717/8/1/100/s1, Figure S1: Model adequacy checking for rPET WPC tensile modulus; Figure S2: Model adequacy checking for rPET WPC tensile strength; Figure S3: Model adequacy checking for rPET WPC ductility.
Author Contributions
Conceptualization, R.M.A.; methodology, R.M.A.; validation, R.M.A. and E.A.; formal analysis, R.M.A. and E.A.; investigation, M.F., R.M.A. and E.A.; resources, R.M.A. and E.A.; data curation, R.M.A. and E.A.; writing—original draft preparation, R.M.A.; writing—review and editing, R.M.A.; visualization, R.M.A.; supervision, R.M.A.; project administration, R.A.; funding acquisition, R.M.A. All authors have read and agreed to the published version of the manuscript.
Funding
This research was funded by the German Jordanian University Deanship of Graduate Studies and Scientific Research.
Acknowledgments
The authors would like to acknowledge the following students for assistance in sample preparation and testing: Shereen Khalaf, Majd Ennabi, Bashar Saheb, Seif Al Karadsheh, Shahed M. Haddadin, and Tala E. Banat. The authors would also like to thank Perstorp Group for kindly supplying the Capa® 6506.
Conflicts of Interest
The authors declare no conflict of interest. The funders had no role in the design of the study; in the collection, analyses, or interpretation of data; in the writing of the manuscript, or in the decision to publish the results.
References
- Bharadwaj, A.; Yadav, D.; Varshney, S. Non-biodegradable waste-its impact & safe disposal. Int. J. Adv. Technol. Eng. Sci. 2015, 3, 184–191. [Google Scholar]
- Johansson, C.; Bras, J.; Mondragon, I.; Nechita, P.; Plackett, D.; Simon, P.; Svetec, D.G.; Virtanen, S.; Baschetti, M.G.; Breen, C.; et al. Renewable fibers and bio-based materials for packaging applications–a review of recent developments. BioResources 2012, 7, 2506–2552. [Google Scholar] [CrossRef]
- Geyer, R.; Jambeck, J.R.; Law, K.L. Production, use, and fate of all plastics ever made. Sci. Adv. 2017, 3, e1700782. [Google Scholar] [CrossRef]
- Najafi, S.K. Use of recycled plastics in wood plastic composites–A review. Waste Manag. 2013, 33, 1898–1905. [Google Scholar] [CrossRef] [PubMed]
- Hopewell, J.; Dvorak, R.; Kosior, E. Plastics recycling: Challenges and opportunities. Philos. Trans. R. Soc. B Biol. Sci. 2009, 364, 2115–2126. [Google Scholar] [CrossRef] [PubMed]
- US Environmental Protection Agency (EPA). Advancing Sustainable Materials Management: 2017 Fact Sheet. Available online: https://www.epa.gov/sites/production/files/2019-11/documents/2017_facts_and_figures_fact_sheet_final.pdf (accessed on 27 March 2019).
- LeBlanc, R. Recycling Facts and Figure. Available online: https://www.thebalancesmb.com/recycling-facts-and-figures-2878049 (accessed on 27 March 2019).
- Haq, S.; Srivastava, R. Investigations of wood thermoplastic composites for sustainable product applications. Discovery 2015, 39, 8–14. [Google Scholar]
- Al-sabagh, A.M.; Yehia, F.Z.; Eshaq, G.; Rabie, A.M.; Elmetwally, A.E. Greener routes for recycling of polyethylene terephthalate. Egypt. J. Pet. 2016, 25, 53–64. [Google Scholar] [CrossRef]
- Ashori, A. Wood-plastic composites as promising green-composites for automotive industries! Bioresour. Technol. 2008, 99, 4661–4667. [Google Scholar] [CrossRef]
- Dicker, M.P.; Duckworth, P.F.; Baker, A.B.; Francois, G.; Hazzard, M.K.; Weaver, P.M. Green composites: A review of material attributes and complementary applications. Compos. Part A Appl. Sci. Manuf. 2014, 56, 280–289. [Google Scholar] [CrossRef]
- Yadav, A.K.; Srivastava, R. Recycling and Reuse of Plastic and Wood Waste for Fabrication of Wood Plastic Composite for Engineering Applications. Int. Dly. J. 2015, 41, 20–25. [Google Scholar]
- Winandy, J.; Stark, N.; Clemons, C. Considerations in recycling of wood-plastic composites. In Proceedings of the 5th Global Wood and Natural Fibre Composites Symposium, Kassel, Germany, 27–28 April 2004. [Google Scholar]
- Kazemi, Y. Mechanical and Morphological Characterization of Wood Plastic Composites Based on Municipal Plastic Waste. Master’s Thesis, Université Laval, Québec, QC, Canada, 2013. [Google Scholar]
- Goda, K.; Cao, Y. Research and Development of Fully Green Composites Reinforced with Natural Fibers. J. Solid Mech. Mater. Eng. 2007, 1, 1073–1084. [Google Scholar] [CrossRef]
- Ndiaye, D.; Diop, B.; Thiandoume, C.; Fall, P.A.; Farota, A.K.; Tidjani, A. Morphology and Thermo Mechanical Properties of Wood/Polypropylene Composites. In Polypropylene; Dogan, F., Ed.; IntechOpen Limited: London, UK, 2012; pp. 415–428. [Google Scholar]
- Lu, J.Z.; Wu, Q.; Negulescu, I.I. Wood-Fiber/High-Density-Polyethylene Composites: Coupling Agent Performance. J. Appl. Polym. Sci. 2005, 96, 93–102. [Google Scholar] [CrossRef]
- Wang, W.; Peng, Y.; Dong, Y.; Wang, K.; Li, J.; Zhang, W. Effect of Coupling Agent Modified Intumescent Flame Retardant on the Mechanical Properties, Thermal Degradation Behavior, and Flame Retardancy of Wood-Flour/Polypropylene Composites. Polym. Compos. 2016, 39, 826–834. [Google Scholar] [CrossRef]
- Coutinho, F.M.; Costa, T.H.; Carvalho, D.L. Polypropylene–wood fiber composites: Effect of treatment and mixing conditions on mechanical properties. J. Appl. Polym. Sci. 1997, 65, 1227–1235. [Google Scholar] [CrossRef]
- Pendleton, D.E.; Hoffard, T.A.; Adcock, T.; Woodward, B.; Wolcott, M.P. Durability of an extruded HDPE/wood composite. For. Prod. J. 2002, 52, 21–27. [Google Scholar]
- Ratanawilai, T.; Leeyoa, M.; Tiptong, Y. Influence of wood species on properties of injection mould natural flour-HDPE composites. IOP Conf. Ser. Mater. Sci. Eng. 2016, 131, 012002. [Google Scholar] [CrossRef]
- Behravesh, A.H.; Zohdi Aghdam, A.; Soury, E. Experimental investigation of injection molding of wood/plastics composites. J. Reinf. Plast. Compos. 2010, 29, 456–465. [Google Scholar] [CrossRef]
- Rahman, K.S.; Islam, M.; Rahman, M.; Hannan, M.; Dungani, R.; Khalil, H. Flat-pressed wood plastic composites from sawdust and recycled polyethylene terephthalate (PET): Physical and mechanical properties. Springerplus 2013, 2, 629–636. [Google Scholar] [CrossRef]
- Prachayawarakorn, J.; Khamsri, J.; Chaochanchaikul, K.; Sombatsompop, N. Effects of compatibilizer type and rubber-wood sawdust content on the mechanical, morphological, and thermal properties of PVC/LDPE blend. J. Appl. Polym. Sci. 2006, 102, 598–606. [Google Scholar] [CrossRef]
- Leu, S.Y.; Yang, T.H.; Lo, S.F.; Yang, T.H. Optimized material composition to improve the physical and mechanical properties of extruded wood-plastic composites (WPCs). Constr. Build. Mater. 2012, 29, 120–127. [Google Scholar] [CrossRef]
- Martins, G.; Antunes, F.; Mateus, A.; Malça, C. Optimization of a Wood Plastic Composite for Architectural Applications. Procedia Manuf. 2017, 12, 203–220. [Google Scholar] [CrossRef]
- Homkhiew, C.; Ratanawilai, T.; Thongruang, W. Optimizing the formulation of polypropylene and rubberwood flour composites for moisture resistance by mixture design. J. Reinf. Plast. Compos. 2014, 33, 810–823. [Google Scholar] [CrossRef]
- Khonsari, A.; Taghiyari, H.R.; Karimi, A.; Tajvidi, M. Study on the effects of wood flour geometry on physical and mechanical properties of wood-plastic composites. Maderas Cienc. y Tecnol. 2015, 17, 545–558. [Google Scholar] [CrossRef]
- Taufiq, M.J.; Mansor, M.R.; Mustafa, Z. Characterisation of wood plastic composite manufactured from kenaf fibre reinforced recycled-unused plastic blend. Compos. Struct. 2018, 189, 510–515. [Google Scholar] [CrossRef]
- Gozdecki, C.; Wilczyński, A. Effect of wood flour type on tensile properties of wood-polymer composites. Ann. Wars. Univ. Life Sci.-SGGW For. Wood Technol. 2015, 91, 65–69. [Google Scholar]
- Kim, B.J. The Effect of Inorganic Fillers on the Properties of Wood Plastic Composites. Ph.D. Thesis, Louisiana State University, Baton Rouge, LA, USA, 2012. [Google Scholar]
- Tazi, M.; Sukiman, M.S.; Erchiqui, F.; Imad, A.; Kanit, T. Effect of wood fillers on the viscoelastic and thermophysical properties of HDPE-wood composite. Int. J. Polym. Sci. 2016, 2016, 9032525. [Google Scholar] [CrossRef]
- Khoa, D.; Lanh, T.; Thien, T.D. Study on Water Resistance of Polydopamine Treatment Wood Flour/Polypropylene Composites. J. Mater. Sci. Chem. Eng. 2016, 4, 7–15. [Google Scholar]
- Fabiyi, J.S.; McDonald, A.G.; McIlroy, D. Wood modification effects on weathering of HDPE-based wood plastic composites. J. Polym. Environ. 2009, 17, 34–48. [Google Scholar] [CrossRef]
- Kallakas, H.; Shamim, M.A.; Olutubo, T.; Poltimäe, T.; Süld, T.M.; Krumme, A.; Kers, J. Effect of chemical modification of wood flour on the mechanical properties of wood-plastic composites. Agron. Res. 2015, 13, 639–653. [Google Scholar]
- Liu, R.; Luo, S.; Cao, J.; Peng, Y. Characterization of organo-montmorillonite (OMMT) modified wood flour and properties of its composites with poly (lactic acid). Compos. Part A Appl. Sci. Manuf. 2013, 51, 33–42. [Google Scholar] [CrossRef]
- Javier, C.S.; Sergio, A.R.; Roberto, Z.G.; Jorge, D.D. Optimization of the Tensile and Flexural Strength of a Wood-PET Composite. Ing. Investig. y Tecnol. 2015, 16, 105–112. [Google Scholar] [CrossRef]
- de Oliveira Santos, R.P.; Castro, D.O.; Ruvolo-Filho, A.C.; Frollini, E. Processing and Thermal Properties of Composites Based on Recycled PET, Sisal Fibers, and Renewable Plasticizers. J. Appl. Polym. Sci. 2014, 40386, 1–13. [Google Scholar] [CrossRef]
- Corradini, E.; Ito, E.N.; Marconcini, J.M.; Rios, C.T.; Agnelli, J.M.; Mattoso, L.H. Interfacial behavior of composites of recycled poly (ethyelene terephthalate) and sugarcane bagasse fiber. Polym. Test. 2009, 28, 183–187. [Google Scholar] [CrossRef]
- Marzuki, N.H.; Irfiani, N.; Wahit, M.U.; Othman, N.; Yusoff, N.I. Mechanical properties of kenaf fiber and montmorillonite reinforced recycled polyethylene terephthalate/recycled polypropylene. Mater. Today Proc. 2018, 5, 21879–21887. [Google Scholar] [CrossRef]
- Chiellini, E.; Corti, A.; Giovannini, A.; Narducci, P.; Paparella, A.M.; Solaro, R. Evaluation of Biodegradability of Poly (ε-Caprolactone)/Poly (ethylene Terephthalate) Blends. J. Environ. Polym. Degrad. 1996, 4, 37–50. [Google Scholar] [CrossRef]
- Olewnik-Kruszkowska, E.; Kasperska, P.; Koter, I. Effect of poly (ε-caprolactone) as plasticizer on the properties of composites based on polylactide during hydrolytic degradation. React. Funct. Polym. 2016, 103, 99–107. [Google Scholar] [CrossRef]
- Zhu, Y.G.; Li, Z.Q.; Zhang, D.; Tanimoto, T. Effect of Cryomilling on the Thermal Behaviors of Poly (ethylene terephthalate). J. Appl. Polym. Sci. 2005, 99, 2868–2873. [Google Scholar] [CrossRef]
- Xia, X.L.; Liu, W.T.; Tang, X.Y.; Shi, X.Y.; Wang, L.N.; He, S.Q.; Zhu, C.S. Degradation behaviors, thermostability and mechanical properties of poly (ethylene terephthalate)/polylactic acid blends. J. Cent. South Univ. 2014, 21, 1725–1732. [Google Scholar] [CrossRef]
- Berthet, M.A.; Angellier-Coussy, H.; Chea, V.; Guillard, V.; Gastaldi, E.; Gontard, N. Sustainable food packaging: Valorising wheat straw fibres for tuning PHBV-based composites properties. Compos. Part A Appl. Sci. Manuf. 2015, 72, 139–147. [Google Scholar] [CrossRef]
- Dardmeh, N.; Khosrowshahi, A.; Almasi, H.; Zandi, M. Study on Effect of the Polyethylene Terephthalate/Nanoclay Nanocomposite Film on the Migration of Terephthalic Acid into the Yoghurt Drinks Simulant. J. Food Process Eng. 2017, 40, e12324. [Google Scholar] [CrossRef]
- Awaja, F.; Pavel, D. Recycling of PET. Eur. Polym. J. 2005, 41, 1453–1477. [Google Scholar] [CrossRef]
- Chowreddy, R.R.; Nord-Varhaug, K.; Rapp, F. Recycled polyethylene terephthalate/carbon nanotube composites with improved processability and performance. J. Mater. Sci. 2018, 53, 7017–7029. [Google Scholar] [CrossRef]
- Binhussain, M.A.; El-Tonsy, M.M. Palm leave and plastic waste wood composite for out-door structures. Constr. Build. Mater. 2013, 47, 1431–1535. [Google Scholar] [CrossRef]
- Marinho, N.P.; Do Nascimento, E.M.; Nisgoski, S.; Valarelli, I. Some physical and mechanical properties of medium-density fiberboard made from giant bamboo. Mater. Res. 2013, 16, 1387–1392. [Google Scholar] [CrossRef]
- Sombatsompop, N.; Chaochanchaikul, K.; Phromchirasuk, C.; Thongsang, S. Effect of wood sawdust content on rheological and structural changes, and thermo-mechanical properties of PVC/sawdust composites. Polym. Int. 2003, 52, 1847–1855. [Google Scholar] [CrossRef]
© 2020 by the authors. Licensee MDPI, Basel, Switzerland. This article is an open access article distributed under the terms and conditions of the Creative Commons Attribution (CC BY) license (http://creativecommons.org/licenses/by/4.0/).




