Efficiency Enhancement of Chlorine Contact Tanks in Water Treatment Plants: A Full-Scale Application
Abstract
1. Introduction
2. Experimental Setup
3. Computational Model
3.1. Flow Solver
3.2. Tracer Simulations
3.3. Disinfection Modeling
3.4. Mesh and Boundary Conditions
4. Results and Discussions
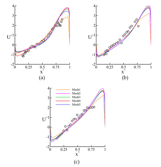
4.1. Validation of the Numerical Model
4.2. Results for the Full-Scale CCT
4.3. Application of the SBD to the Full-Scale CCT
5. Conclusions
- Hydraulic performance was improved from “average” to “good” according to the baffling factor.
- Mo and dispersion indexes approached 2 and zero, respectively, which are suggested as perfect mixing systems by the regulations.
- As the hydraulic and mixing efficiencies improved, disinfection efficiency of the CCT was enhanced. The 3-log inactivation of Giardia cysts was achieved using 19% less chlorine dosage than the conventional design, which is significant for the reduction of harmful effects of the chlorine to public health.
- The energy efficiency of the CCT was improved by 62% according to the energy efficiency coefficient.
- The T10 can be obtained from the CFD simulations of the SBD and the required chlorine concentrations can be determined from CT concept for the calculated T10 and measured residual chlorine concentration at the outlet.
Author Contributions
Funding
Acknowledgments
Conflicts of Interest
References
- US EPA. Disinfection Profiling and Benchmarking Guidance Manual; Appendix A Rep. No. EPA 816-R-03-004; EPA: Washington, DC, USA, 2013.
- Gualtieri, C. Analysis of the effect of baffles number on a contact tank efficiency with Multiphysics 3.3. In Proceedings of the COMSOL User Conference, Napoli, Italy, 23–24 October 2007. [Google Scholar]
- Rauen, W.B.; Lin, B.; Falconer, R.A.; Teixeira, E.C. CFD and experimental model studies for water disinfection tanks with low Reynolds number flows. Chem. Eng. J. 2008, 137, 550–560. [Google Scholar] [CrossRef]
- Teixeria, E.D.; Siqueira, R.N. Performance assessment of hydraulic efficiency indexes. J. Environ. Eng. 2008, 134, 851–859. [Google Scholar] [CrossRef]
- Wilson, J.M.; Venayagamoorthy, S.K. Evaluation of hydraulic efficiency of disinfection systems based on residence time distribution curves. Environ. Sci. Tech. 2010, 44, 9377–9382. [Google Scholar] [CrossRef] [PubMed]
- Amini, R.; Taghipour, R.; Mirgolbabaei, H. Numerical assessment of hydrodynamic characteristics in chlorine contact tank. Int. J. Numer. Methods Fluids 2011, 67, 885–898. [Google Scholar] [CrossRef]
- Zhang, J.; Tejada-Martínez, A.E.; Zhang, Q. Evaluation of large eddy simulation and RANS for determining hydraulic performance of disinfection systems for water treatment. J. Fluids Eng. 2014, 136, 121102. [Google Scholar] [CrossRef]
- Zhang, G.; Lin, B.; Falconer, R.A. Modelling disinfection by-products in contact tanks. J. Hydroinform. 2000, 2, 123–132. [Google Scholar] [CrossRef][Green Version]
- Zhang, J.; Huck, P.M.; Anderson, W.B.; Stubley, G.D. A computational fluid dynamics based integrated disinfection design approach for improvement of full-scale ozone contactor performance. Ozone Sci. Eng. 2007, 29, 451–460. [Google Scholar] [CrossRef]
- Angeloudis, A.; Stoesser, T.; Falconer, R.A. Predicting the disinfection efficiency range in chlorine contact tanks through a CFD-based approach. Water Res. 2014, 60, 118–129. [Google Scholar] [CrossRef]
- Angeloudis, A.; Stoesser, T.; Gualtieri, C.; Falconer, R.A. Contact tank design impact on process performance. Environ. Model. Assess. 2016, 21, 563–576. [Google Scholar] [CrossRef]
- Teixeria, E.C. Hydrodynamic Process and Hydraulic Efficiency of Chlorine Contact Units. Ph.D. Thesis, University of Bradford, Bradford, UK, 1993. [Google Scholar]
- Zhang, J.; Tejada-Martinez, A.E.; Zhang, Q.; Lei, H. Evaluating hydraulic and disinfection efficiencies of a full-scale ozone contactor using a RANS-based modeling framework. Water Res. 2014, 52, 155–167. [Google Scholar] [CrossRef]
- Carlston, J.S.; Venayagamoorthy, S.K. Impact of modified inlets on residence time in baffled tanks. J. AWWA 2015, 107, E292–E300. [Google Scholar] [CrossRef]
- Wang, H.; Shao, X.; Falconer, R.A. Flow and transport simulation models for prediction of chlorine contact tank flow-through curves. Water Environ. Res. 2003, 75, 455–471. [Google Scholar] [CrossRef] [PubMed]
- Edwards, E.S.; Anderson, W.B.; Andrews, S.A.; Huck, P.M. Disinfection assessment in full-scale chlorine contact chambers. J. Environ. Eng. Sci. 2002, 1, 311–322. [Google Scholar] [CrossRef]
- Kim, D.; Stoesser, T.; Kim, J.H. The effect of baffle spacing on hydrodynamics and solute transport in serpentine contact tanks. J. Hydraul. Res. 2013, 51, 558–568. [Google Scholar] [CrossRef]
- Aral, M.M.; Demirel, E. Novel slot-baffle design to improve mixing efficiency and reduce cost of disinfection in drinking water treatment. J. Environ. Eng. 2017, 143, 06017006. [Google Scholar] [CrossRef]
- Demirel, E.; Aral, M.M. An efficient contact tank design for potable water treatment. Tech. J. 2018, 29, 8279–8294. [Google Scholar] [CrossRef]
- Demirel, E.; Aral, M.M. Performance of efficiency indexes for contact tanks. J. Environ. Eng. 2018, 144, 04018076. [Google Scholar] [CrossRef]
- Kizilaslan, M.A.; Demirel, E.; Aral, M.M. Effect of porous baffles on the energy performance of contact tanks in water treatment. Water 2018, 10, 1084. [Google Scholar] [CrossRef]
- Zhang, J.; Tejada-Martinez, A.E.; Zhang, Q. Indicators for technological, environmental and economic sustainablity of ozone contactors. Water Res. 2016, 101, 606–616. [Google Scholar] [CrossRef]
- Nortek, A.S. VECTRINO Velocimeter User Guide (Rev. C); Nortek Scientific Acoustic Development Group Inc.: Vangkroken, Norway, 2004. [Google Scholar]
- Wang, H.; Falconer, R.A. Simulating disinfection process in chlorine contact tanks using various turbulence models and high-order accurate difference schemes. Water Res. 1998, 32, 1529–1543. [Google Scholar]
- Zhang, J.; Pierre, K.C.; Tejada-Martiner, A.E. Impacts of flow and tracer release unsteadiness on tracer analysis of water and wastewater treatment facilities. J. Hydraul. Eng. 2019, 145, 04019004. [Google Scholar] [CrossRef]
- OpenFOAM. OpenFOAM User Guide; OpenCFD Ltd.: Bracknell, UK, 2015. [Google Scholar]
- Chick, H. An investigation of the laws of disinfection. J. Hyg. 1908, 8, 92–158. [Google Scholar] [CrossRef] [PubMed]
- Watson, H.E. A Note on the variation of disinfection with change in the concentration of the disinfectant. J. Hyg. 1908, 8, 536–542. [Google Scholar] [CrossRef] [PubMed]
- Clark, R.M. Modeling inactivation of Giardia Lamblia. J. Environ. Eng. 1990, 116, 837–853. [Google Scholar] [CrossRef]
- Brown, D.; Bridgeman, J.; West, J.R. Predicting chlorine decay and THM formation in water supply systems. Rev. Environ. Sci. Biotechnol. 2011, 10, 79–99. [Google Scholar] [CrossRef]
- Turbulence Free-Stream Boundary Conditions. Available online: https://www.cfd-online.com/Wiki/Turbulence_free-stream_boundary_conditions (accessed on 18 July 2019).
- Aral, M.M.; Demirel, E. A Multi-Chamber Slot-Baffle Contact Tank Design; European Patent Office: Munich, Germany, 2019; in press. [Google Scholar]
- Lev, O.; Regli, S. Evaluation of ozone disinfection systems: Characteristic concentration C. J. Environ. Eng. 1992, 118, 477–494. [Google Scholar] [CrossRef]
- Lev, O.; Regli, S. Evaluation of ozone disinfection systems: Characteristic time T. J. Environ. Eng. 1992, 118, 268–285. [Google Scholar] [CrossRef]












| Season | Discharge (m3/day) | Water Depth (m) | Wet Volume (m3) | MRT (s) | Injection Time (s) | kb (s−1) | K′ (m3/kg·s) |
|---|---|---|---|---|---|---|---|
| Winter | 80,000 | 4.85 | 1270.46 | 1372.1 | 69 | 0.0000027 | 10.65 |
| Spring | 120,000 | 5.05 | 1322.85 | 952.45 | 48 | 0.000138 | 8.01 |
| Summer | 160,000 | 5.25 | 1375.24 | 742.63 | 37 | 0.000277 | 5.11 |
| Variable | Location | BC |
|---|---|---|
| inlet | fixedValue | |
| U, k, nut, ε | outlet | inletOutlet |
| top | symmetryPlane | |
| p | inlet | zeroGradient |
| outlet | fixedValue | |
| top | symmetryPlane | |
| walls | zeroGradient | |
| U | walls | fixedValue |
| k | walls | kqRWallFunctions |
| nut | walls | nutkWallFunction |
| ε | walls | epsilonWallFunction |
| Season | Discharge (m3/s) | Water Depth (m) | k (m2/s2) | ε (m2/s3) |
|---|---|---|---|---|
| Summer | 1.85 | 5.25 | 0.00046658 | 0.0001656 |
| Spring | 1.39 | 5.05 | 0.00033455 | 0.00010055 |
| Winter | 0.93 | 4.85 | 0.00019601 | 0.00004509 |
| Season | Mo | σ | AD | |
|---|---|---|---|---|
| Summer | 0.61 | 2.53 | 0.0136 | 1.392 |
| Spring | 0.614 | 2.54 | 0.0127 | 1.463 |
| Winter | 0.602 | 2.49 | 0.0138 | 1.261 |
| Design | Mo | σ | AD | |
|---|---|---|---|---|
| Conventional | 0.61 | 2.53 | 0.0136 | 1.392 |
| Slot-Baffle | 0.714 | 1.97 | 0.0044 | 1.43 |
| Enhancement (%) | 14.56 | 22.13 | 67.64 | 2.65 |
© 2019 by the authors. Licensee MDPI, Basel, Switzerland. This article is an open access article distributed under the terms and conditions of the Creative Commons Attribution (CC BY) license (http://creativecommons.org/licenses/by/4.0/).
Share and Cite
Kizilaslan, M.A.; Demirel, E.; Aral, M.M. Efficiency Enhancement of Chlorine Contact Tanks in Water Treatment Plants: A Full-Scale Application. Processes 2019, 7, 551. https://doi.org/10.3390/pr7090551
Kizilaslan MA, Demirel E, Aral MM. Efficiency Enhancement of Chlorine Contact Tanks in Water Treatment Plants: A Full-Scale Application. Processes. 2019; 7(9):551. https://doi.org/10.3390/pr7090551
Chicago/Turabian StyleKizilaslan, M. Anil, Ender Demirel, and Mustafa M. Aral. 2019. "Efficiency Enhancement of Chlorine Contact Tanks in Water Treatment Plants: A Full-Scale Application" Processes 7, no. 9: 551. https://doi.org/10.3390/pr7090551
APA StyleKizilaslan, M. A., Demirel, E., & Aral, M. M. (2019). Efficiency Enhancement of Chlorine Contact Tanks in Water Treatment Plants: A Full-Scale Application. Processes, 7(9), 551. https://doi.org/10.3390/pr7090551

