Applying a Watershed and Reservoir Model in an Off-Site Reservoir to Establish an Effective Watershed Management Plan
Abstract
:1. Introduction
2. Materials and Methods
2.1. Study Area
2.2. Water Quality Models
2.3. Data Sources and Monitoring Plan
2.4. Model Calibration and Verification Methods
2.5. Uncertainties and Limitations
3. Results and Discussion
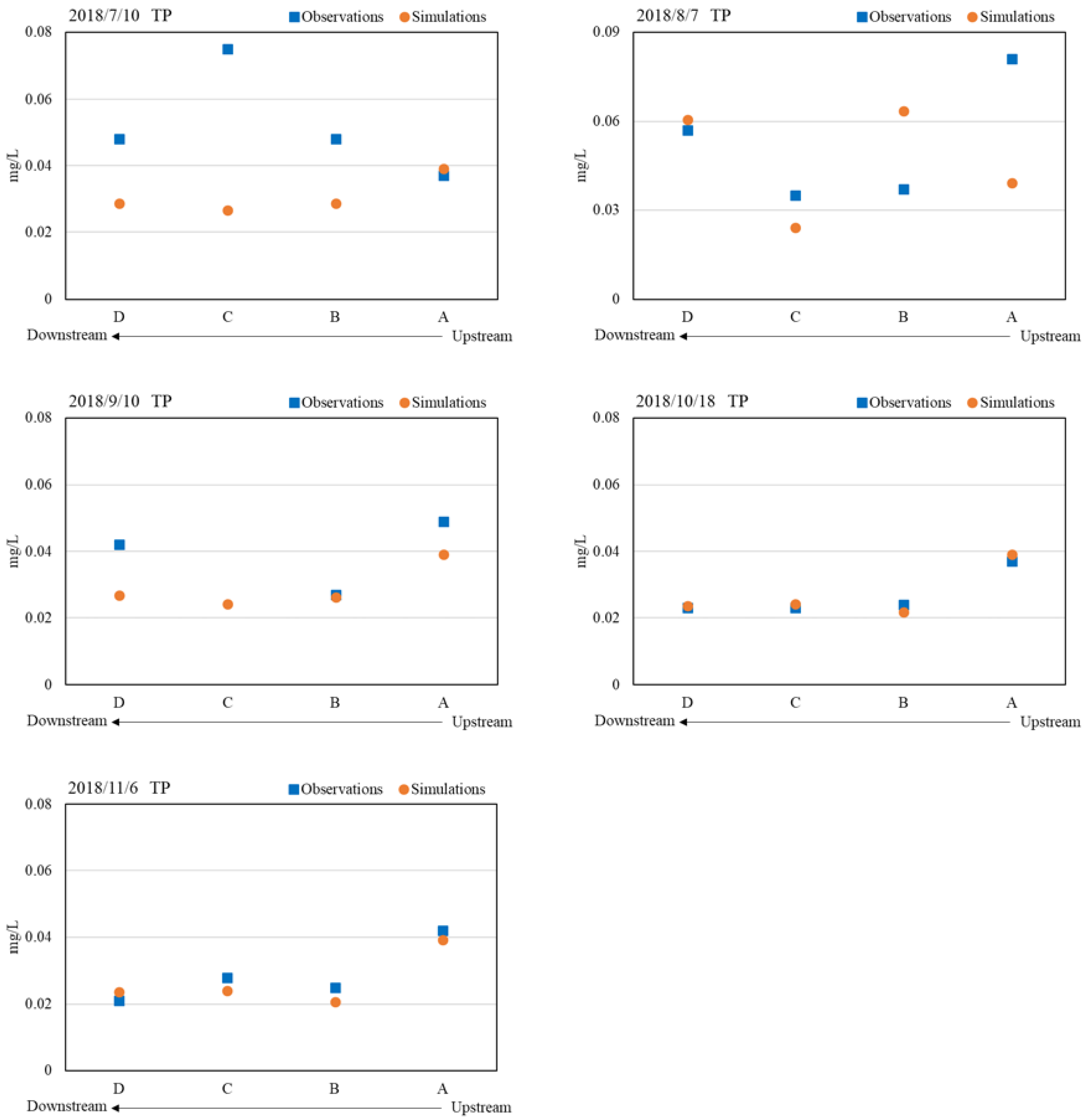
3.1. Model Calibration and Verification
3.2. Results of Pollution Loads
3.3. Linkage of the Watershed TP Loads and Reservoir TP Concentration: Pollution Control Scenarios
4. Conclusions
Author Contributions
Funding
Acknowledgments
Conflicts of Interest
References
- Wang, G.; Mang, S.; Cai, H.; Liu, S.; Zhang, Z.; Wang, L.; Innes, J.L. Integrated watershed management: Evolution, development and emerging trends. J. For. Res. 2016, 27, 967–994. [Google Scholar] [CrossRef]
- Stewart, J.; Bennett, M. Integrated watershed management in the Bow River basin, Alberta: Experiences, challenges, and lessons learned. Int. J. Water Resour. Dev. 2017, 33, 458–472. [Google Scholar]
- Yazdi, J.; Moridi, A. Interactive reservoir-watershed modeling framework for integrated water quality management. Water Resour. Manag. 2017, 31, 2105–2125. [Google Scholar] [CrossRef]
- Rong, Q.; Cai, Y.; Chen, B.; Shen, Z.; Yang, Z.; Yue, W.; Lin, X. Field management of a drinking water reservoir basin based on the investigation of multiple agricultural nonpoint source pollution indicators in north China. Ecol. Indic. 2018, 92, 113–123. [Google Scholar] [CrossRef]
- Shoemaker, L.; Dai, T.; Koenig, J.; Hantush, M. TMDL Model Evaluation and Research Needs; National Risk Management Research Laboratory, US Environmental Protection Agency: Washington, DC, USA, 2005.
- Temprano, J.; Arango, Ó.; Cagiao, J.; Suárez, J.; Tejero, I. Stormwater quality calibration by SWMM: A case study in Northern Spain. Water SA 2005, 32, 55–63. [Google Scholar] [CrossRef]
- Di Modugno, M.; Gioia, A.; Gorgoglione, A.; Iacobellis, V.; La Forgia, G.; Piccinni, A.; Ranieri, E. Build-up/wash-off monitoring and assessment for sustainable management of first flush in an urban area. Sustainability 2015, 7, 5050–5070. [Google Scholar] [CrossRef]
- Pretorius, H.G.; James, W.H.; Smit, J. A strategy for managing deficiencies of SWMM modeling for large undeveloped semi-arid watersheds. J. Water Manag. Model. 2013. [Google Scholar] [CrossRef]
- Moynihan, K.P.; Vasconcelos, J. SWMM modeling of a rural watershed in the lower coastal plains of the United States. J. Water Manag. Model 2014. [Google Scholar] [CrossRef]
- Talbot, M.; McGuire, O.; Olivier, C.; Fleming, R. Parameterization and application of agricultural best management practices in a rural Ontario watershed using PCSWMM. J. Water Manag. Model 2016. [Google Scholar] [CrossRef]
- Wang, C.; Chen, C.; Lin, J. Effects of buffer strips on reducing nonpoint source pollution and improving water quality in Feitsui Reservoir. J. Chin. Soil Water Conserv. 2014, 45, 207–215. [Google Scholar]
- Chen, C.; Tsai, L.; Fan, C.; Lin, J. Using exceedance probability to determine total maximum daily loads for reservoir water quality management. Water 2016, 8, 541. [Google Scholar] [CrossRef]
- Vollenweider, R. Scientific Fundamentals of the Eutrophication of Lakes and Flowing Waters, with Particular Reference to Nitrogen and Phosphorus as Factors in Eutrophication; DAS/CSI/68.27; Organisation for Economic Co-Operation and Development (OECD): Paris, France, 1968. [Google Scholar]
- Vollenweider, R. Input-Output models with special reference to the phosphorus loading concept in limnology. Schweiz. Z. Hydrol. 1975, 37, 53–83. [Google Scholar]
- Rossman, L.A. Storm Water Management Model User’s Manual Version 5.1; U.S. Environmental Protection Agency: Washington, DC, USA, 2015.
- Tsai, L.; Chen, C.; Fan, C.; Lin, J. Using the HSPF and SWMM models in a high pervious watershed and estimating their parameter sensitivity. Water 2017, 9, 780. [Google Scholar] [CrossRef]
- Environmental Protection Administration. A Study for Nutrients Reduction Strategies for Eutrophication Potential Reservoirs; EPA-105-G103-02-A073; Environmental Protection Administration: Taipei, Taiwan, 2016.
- Moriasi, D.N.; Arnold, J.G.; Van Liew, M.W.; Bingner, R.L.; Harmel, R.D.; Veith, T.L. Model evaluation guidelines for systematic quantification of accuracy in watershed simulations. Trans. ASABE 2007, 50, 885–900. [Google Scholar] [CrossRef]
- Duda, P.B.; Hummel, P.R.; Donigian, A.S., Jr.; Imhoff, J.C. BASINS/HSPF: Model use, calibration, and validation. Trans. ASABE 2012, 55, 1523–1547. [Google Scholar] [CrossRef]
- Fonseca, A.; Ames, D.P.; Yang, P.; Botelho, C.; Boaventura, R.; Vilar, V. Watershed model parameter estimation and uncertainty in data-limited environments. Environ. Modell. Softw. 2014, 51, 84–93. [Google Scholar] [CrossRef]














| Parameters | Descriptions | Ranges in this Study | Unit |
|---|---|---|---|
| Area | Area of each subwatershed | 207~855 | ha |
| Width | Width of overland flow (depends on the shape of watershed) | 4729~9439 | m |
| %slope | Average slope | 9~21 | % |
| %imperv | Percentage of impervious area | 9~18 | % |
| N-imperv | Manning N coefficient of impervious area | 0.01 | none |
| N-perv | Manning N coefficient of pervious area | 0.4 | none |
| Dstore-imperv | Depth of depression in impervious area | 1 | mm |
| Dstore-perv | Depth of depression in pervious area | 5 | mm |
| %zero-imperv | Percentage of zero depression area in impervious area | 70~95 | % |
| Infiltration | Infiltration method | Horton | |
| Items | Events | R2 | MAPE | PBIAS | NSE | Number of Values |
|---|---|---|---|---|---|---|
| Daily flow | Calibration (2015 data) | 0.92 | 30% | 13.7% | 0.90 | 365 |
| Verification (2016 data) | 0.95 | 20% | 11.9% | 0.92 | 365 | |
| TP (dry weather) | Calibration (5/18 sampling data) | 0.78 | 26% | −23.2% | −1.11 | 4 |
| Verification (6 sampling events) | 0.05 | 28% | −24.2% | −0.31 | 24 | |
| TP (wet weather) | Calibration (5/8 sampling data) | 0.98 | 35% | −5.8% | 0.90 | 4 |
| Verification (3 sampling events) | 0.73 | 19% | 7.7% | 0.67 | 12 |
| Subwatershed | TP (kg/y) | |||
|---|---|---|---|---|
| PS | NPS | Total | ||
| Agricultural | Subtotal | |||
| S1 | 234.5 | 704.3 | 974.1 | 1208.6 |
| S2 | 18.0 | 295.2 | 439.7 | 457.7 |
| S3 | 89.8 | 362.2 | 442.8 | 532.6 |
| S4 | 45.6 | 288.4 | 482.5 | 528.1 |
| S5 | 203.2 | 925.4 | 1012.8 | 1216.0 |
| S6 | 231.1 | 1523.0 | 1713.9 | 1945.0 |
| S7 | 208.3 | 658.6 | 726.4 | 934.7 |
| S8 | 288.9 | 768.9 | 890.9 | 1179.8 |
| S9 | 46.5 | 222.9 | 284.0 | 330.4 |
| S10 | 225.7 | 389.1 | 519.7 | 745.4 |
| S11 | 24.0 | 153.5 | 190.0 | 214.0 |
| Total | 1615.7 | 6291.4 | 7676.7 | 9292.4 |
| Subwatershed | TP Loads from Different NPSs (kg/y) | Total | |||
|---|---|---|---|---|---|
| Forest | Agricultural Lands | Constructed Lands | Others | ||
| S1 | 184.48 | 704.26 | 52.53 | 32.87 | 974.14 |
| S2 | 105.78 | 295.20 | 11.04 | 27.63 | 439.65 |
| S3 | 33.48 | 362.23 | 45.92 | 1.12 | 442.75 |
| S4 | 167.76 | 288.39 | 25.70 | 0.66 | 482.52 |
| S5 | 38.90 | 925.29 | 48.47 | 0.11 | 1012.77 |
| S6 | 172.16 | 1523.03 | 15.47 | 3.23 | 1713.90 |
| S7 | 36.84 | 658.62 | 30.35 | 0.55 | 726.37 |
| S8 | 52.89 | 768.87 | 62.74 | 6.44 | 890.94 |
| S9 | 45.64 | 222.88 | 12.58 | 2.84 | 283.95 |
| S10 | 103.26 | 389.08 | 23.21 | 4.16 | 519.71 |
| S11 | 11.24 | 153.54 | 23.66 | 1.59 | 190.03 |
| Total | 952.43 | 6291.39 | 351.68 | 81.20 | 7676.71 |
© 2019 by the authors. Licensee MDPI, Basel, Switzerland. This article is an open access article distributed under the terms and conditions of the Creative Commons Attribution (CC BY) license (http://creativecommons.org/licenses/by/4.0/).
Share and Cite
Chen, C.-F.; Wu, Y.-R.; Lin, J.-Y. Applying a Watershed and Reservoir Model in an Off-Site Reservoir to Establish an Effective Watershed Management Plan. Processes 2019, 7, 484. https://doi.org/10.3390/pr7080484
Chen C-F, Wu Y-R, Lin J-Y. Applying a Watershed and Reservoir Model in an Off-Site Reservoir to Establish an Effective Watershed Management Plan. Processes. 2019; 7(8):484. https://doi.org/10.3390/pr7080484
Chicago/Turabian StyleChen, Chi-Feng, Yi-Ru Wu, and Jen-Yang Lin. 2019. "Applying a Watershed and Reservoir Model in an Off-Site Reservoir to Establish an Effective Watershed Management Plan" Processes 7, no. 8: 484. https://doi.org/10.3390/pr7080484
APA StyleChen, C.-F., Wu, Y.-R., & Lin, J.-Y. (2019). Applying a Watershed and Reservoir Model in an Off-Site Reservoir to Establish an Effective Watershed Management Plan. Processes, 7(8), 484. https://doi.org/10.3390/pr7080484

