Simulation of the Gas Filling and Evacuation Processes in an Inertial Confinement Fusion (ICF) Hohlraum
Abstract
:1. Introduction
2. Mathematical Model
2.1. Governing Equations
2.2. Boundary Conditions and Numerical Solution
2.3. Case Validation
3. Results and Discussions
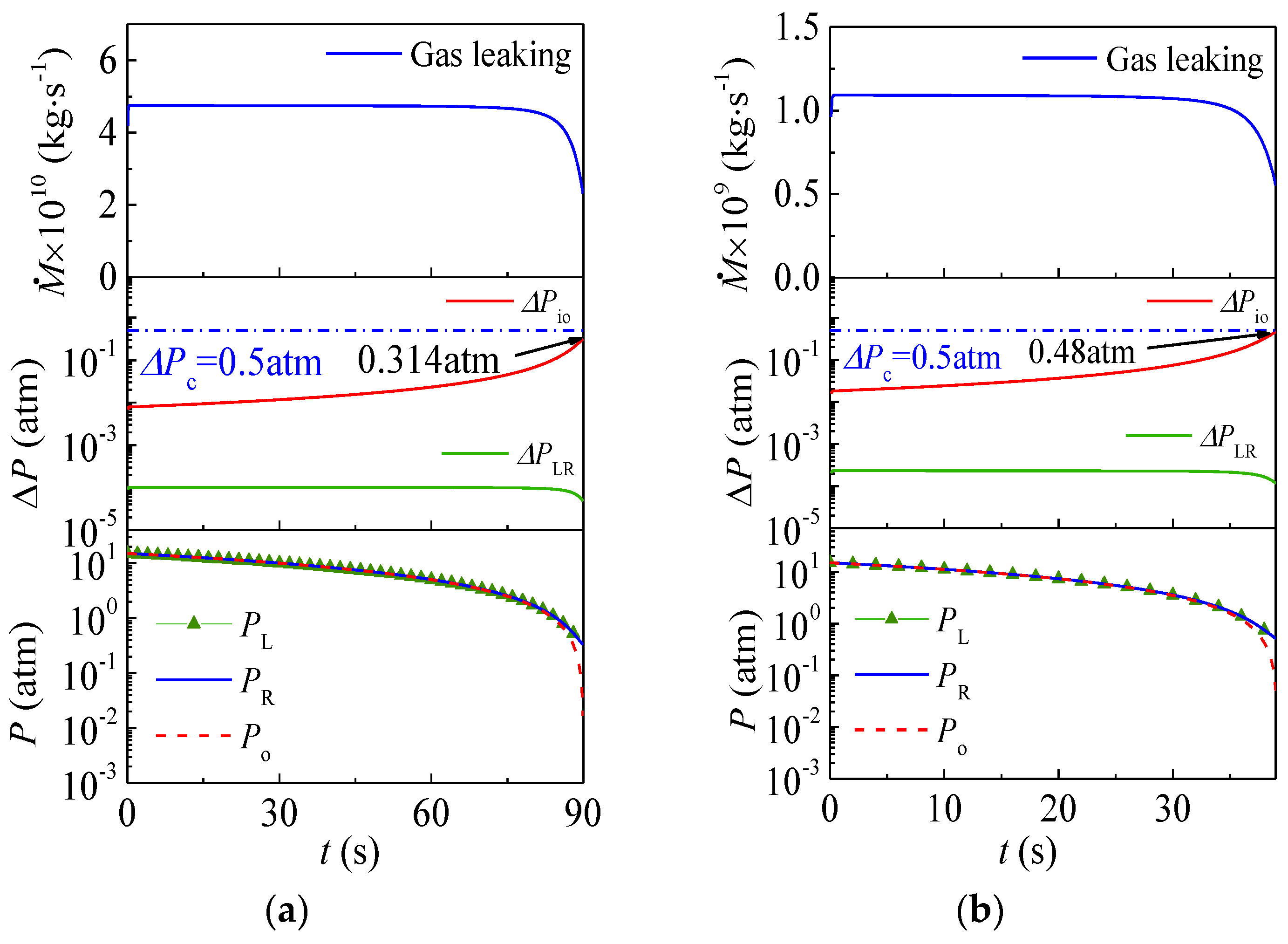
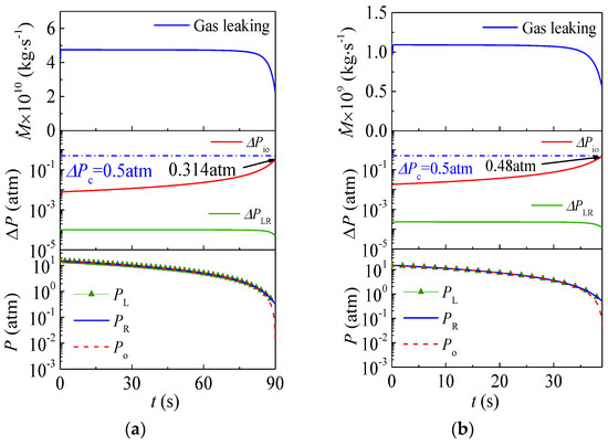
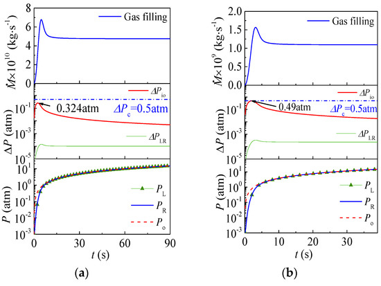
3.1. Filling and Evacuation Processes
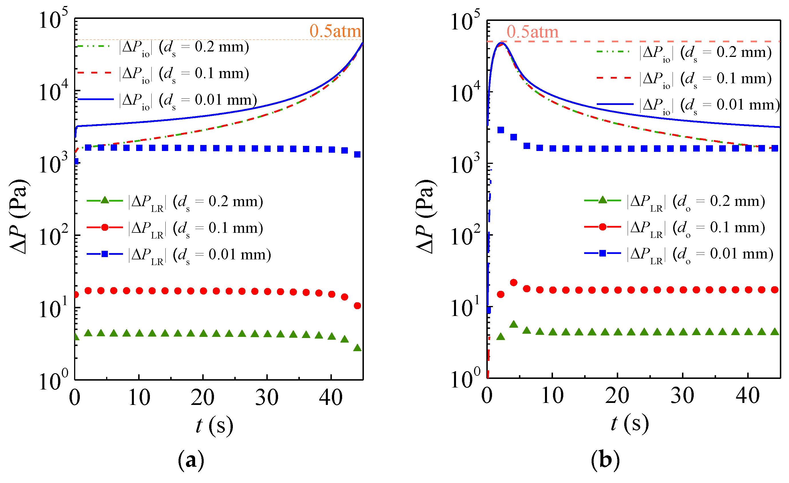
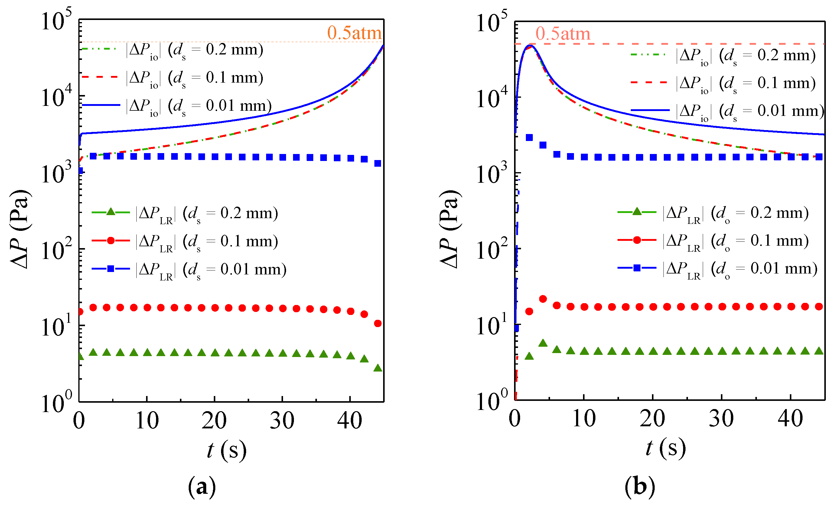
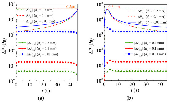
3.2. Effect of the Hole on the Support Tent
3.3. Effect of the Microcapillary Fill Tube
3.4. Effect of the Hohlraum Size
4. Conclusions
- An excessive filling or evacuation pressure variation rate leads to a large pressure difference across the hohlraum film and across the hole on the support tent, which may lead to a failure of the hohlraum. For the hohlraum in this study, the filling or evacuation pressure variation should be less than 24 atm/min to prevent the rupture of the hohlraum film.
- A support tent with a larger diameter and more holes is recommended. If the diameter of the hole on the support tent is larger than 0.06 mm, the critical pressure variation rate is nearly independent of the hole diameter and number.
- An increase in the diameter of the microcapillary fill tube and a decrease in its length both lead to a larger critical pressure variation rate and pressure difference across the hole on the support tent, which is conductive to the fielding of the hohlraum film but may leads to the dangerous displacement of the target.
- A small-size hohlraum is sensitive to the pressure variation rate of the hohlraum. However, the maximum pressure difference across the hole on the support tent is independent of the hohlraum volume.
Author Contributions
Funding
Conflicts of Interest
Nomenclature
| Name | Definition |
| Knudsen number | |
| Symbols’ used Abbreviations | Symbol |
| b | Parameter for the mass flow rate |
| d | Diameter, mm |
| L | Length, mm |
| m | Mass, kg |
| Gas mass flow rate, kg/s | |
| Mass flow rate at the hole on the support tent when the gas flow is towards the vacuum and at the free-molecular region, kg/s | |
| Dimensionless gas mass flow rate | |
| Ns | Number of support holes |
| P | Pressure, atm or Pa |
| ΔP | Pressure difference, atm |
| Gas constant of He, J/(mol*K) | |
| , K | |
| t | Time, s |
| W | Mass flow rate ratio at the hole of the support tent |
| Mean molecular velocity, m/s | |
| V | Volume of hohlraum, mm3 |
| Subscrips | |
| avg | Average value |
| c | Critical value |
| h | Hohlraum |
| High-pressure half of the hohlraum | |
| i | Inside the hohlraum |
| io | Between inside and ouside the hohraum |
| L | Left half of the hohlraum |
| LR | Between the left half and the right half of the hohraum |
| Low | Low-pressure half of the hohlraum |
| max | Maximum value |
| o | Outside the hohlraum |
| Orifice | Through the support tent |
| R | Right half of the hohlraum |
| r | Ratio |
| s | Support hole |
| t | Current time step |
| x | Microcapillary fill tube |
| Greek symbols | |
| α | Parameter for the mass flow rate |
| α0 | Parameter obtained from experimental results of the air flow through a metal capillary |
| α1 | Parameter obtained from experimental results of the air flow through a metal capillary |
| β | Parameter obtained from experimental results of the air flow through a metal capillary |
| γ1 | Parameters related to the pressure ratio |
| γ2 | Parameters related to the pressure ratio |
| γ3 | Parameters related to the pressure ratio |
| γ4 | Parameters related to the pressure ratio |
| dynamic viscosity, N·s/m2 | |
| Pi | |
| Φ | Pressure variation rate, atm/min |
References
- Lindl, J.D.; Amendt, P.; Berger, R.L.; Glendinning, S.G.; Glenzer, S.H.; Haan, S.W.; Kauffman, R.L.; Landen, O.L.; Suter, L.J. The physics basis for ignition using indirect-drive targets on the national ignition facility. Phys. Plasmas 2004, 11, 339–491. [Google Scholar] [CrossRef]
- Zhang, C.B.; Gao, W.; Zhao, Y.J.; Chen, Y.P. Microfluidic generation of self-contained multicomponent microcapsules for self-healing materials. Appl. Phys. Lett. 2018, 113, 203702. [Google Scholar] [CrossRef]
- Lan, K.; Liu, J.; Li, Z.; Xie, X.; Huo, W.; Chen, Y.; Ren, G.; Zheng, C.; Yang, D.; Li, S.; et al. Progress in octahedral spherical hohlraum study. Matter Radiat. Extrem. 2016, 1, 8–27. [Google Scholar] [CrossRef]
- Chen, Y.; Gao, W.; Zhang, C.; Zhao, Y. Three-dimensional splitting microfluidics. Lab Chip 2016, 16, 1332–1339. [Google Scholar] [CrossRef]
- Deng, Z.; Liu, X.; Zhang, C.; Huang, Y.; Chen, Y. Melting behaviors of pcm in porous metal foam characterized by fractal geometry. Int. J. Heat Mass Transf. 2017, 113, 1031–1042. [Google Scholar] [CrossRef]
- Fernández, J.C.; Goldman, S.R.; Kline, J.L.; Dodd, E.S.; Gautier, C.; Grim, G.P.; Hegelich, B.M.; Montgomery, D.S.; Lanier, N.E.; Rose, H.; et al. Gas-filled hohlraum experiments at the national ignition facility. Phys. Plasmas 2006, 13, 056319. [Google Scholar] [CrossRef]
- Liu, M.; Su, L.; Li, J.; Chen, S.; Liu, Y.; Li, J.; Li, B.; Chen, Y.; Zhang, Z. Investigation of spherical and concentric mechanism of compound droplets. Matter Radiat. Extrem. 2016, 1, 213–223. [Google Scholar] [CrossRef]
- Meezan, N.; Edwards, M.; Hurricane, O.; Patel, P.; Callahan, D.; Hsing, W.; Town, R.; Albert, F.; Amendt, P.; Hopkins, L.B. Indirect drive ignition at the national ignition facility. Plasma Phys. Control. Fusion 2016, 59, 014021. [Google Scholar] [CrossRef]
- Kyrala, G.A.; Dixit, S.; Glenzer, S.; Kalantar, D.; Bradley, D.; Izumi, N.; Meezan, N.; Landen, O.L.; Callahan, D.; Weber, S.V.; et al. Measuring symmetry of implosions in cryogenic hohlraums at the nif using gated x-ray detectors (invited). Rev. Sci. Instrum. 2010, 81, 10E316. [Google Scholar] [CrossRef]
- Cook, R.; Kozioziemski, B.; Nikroo, A.; Wilkens, H.; Bhandarkar, S.; Forsman, A.; Haan, S.; Hoppe, M.; Huang, H.; Mapoles, E. National ignition facility target design and fabrication. Laser Part Beams 2008, 26, 479–487. [Google Scholar] [CrossRef]
- Smalyuk, V.A.; Robey, H.F.; Alday, C.L.; Amendt, P.; Aracne-Ruddle, C.; Bigelow, J.R.; Bunn, T.; Casey, D.T.; Chen, K.-C.; Clark, D.S.; et al. Review of hydro-instability experiments with alternate capsule supports in indirect-drive implosions on the national ignition facility. Phys. Plasmas 2018, 25, 072705. [Google Scholar] [CrossRef]
- Tierney, T.E.; Cobble, J.A.; DeVolder, B.G.; Hoffman, N.M.; Tubbs, D.L.; Bradley, P.A.; Goldman, S.R.; Magelssen, G.R.; Paisley, D.L. Gold Wall Ablation and Hohlraum Filling Measurements of Vacuum and Gas-Filled Hohlraums; High-Power Laser Ablation VI; International Society for Optics and Photonics: Taos, NM, USA, 2006; p. 626106. [Google Scholar]
- Bhandarkar, S.; Parham, T.; Fair, J. Modeling and experiments of compressible gas flow through microcapillary fill tubes on nif targets. Fusion Sci. Technol. 2011, 59, 51–57. [Google Scholar] [CrossRef]
- Froula, D.H.; Divol, L.; London, R.A.; Berger, R.L.; Döppner, T.; Meezan, N.B.; Ross, J.S.; Suter, L.J.; Sorce, C.; Glenzer, S.H. Observation of the density threshold behavior for the onset of stimulated raman scattering in high-temperature hohlraum plasmas. Phys. Rev. Lett. 2009, 103, 045006. [Google Scholar] [CrossRef] [PubMed]
- Steinman, D.A.; Alfonso, E.L.; Hoppe, M.L. Developments in capsule gas fill half-life determination. Fusion Sci. Technol. 2007, 51, 544–546. [Google Scholar] [CrossRef]
- Wang, Z.; Gao, D.; Ma, X.; Meng, J. White-light interferometry for measuring fuel pressure in icf polymer-microsphere targets. Fusion Sci. Technol. 2014, 66, 432–437. [Google Scholar] [CrossRef]
- Wermer, J.R.; Murdock, H.M.; Nobile, A.; Herrmann, H.W.; Venhaus, T.J.; Paglieri, S.N.; Langenbrunner, J.R.; Mack, J.M. Measurement of the 3he permeability of dt-filled fused silica inertial confinement fusion (icf) targets to study the effects of 3he on neutron emission during implosion. Fusion Sci. Technol. 2008, 54, 569–575. [Google Scholar] [CrossRef]
- Zhang, C.B.; Deng, Z.L.; Chen, Y.P. Temperature jump at rough gas-solid interface in couette flow with a rough surface described by cantor fractal. Int. J. Heat Mass Transf. 2014, 70, 322–329. [Google Scholar] [CrossRef]
- Yu, C.; Wu, S.; Yang, W. Theoretical investigation of gas filling and leaking in inertial confinement fusion hohlraum. Sustainability 2018, 10, 3763. [Google Scholar] [CrossRef]
- Sun, D.; Zhu, M.; Wang, J.; Sun, B. Lattice boltzmann modeling of bubble formation and dendritic growth in solidification of binary alloys. Int. J. Heat Mass Transf. 2016, 94, 474–487. [Google Scholar] [CrossRef]
- Zhang, C.; Yu, F.; Li, X.; Chen, Y. Gravity-capillary evaporation regimes in microgrooves. AICHE J. 2019, 65, 1119–1125. [Google Scholar] [CrossRef]
- Karniadakis, G.E.; Beskok, A.; Aluru, N. Microflows and Nanoflows: Fundamentals and Simulation; Springer-Verlag: New York, NY, USA, 2005; Volume 29. [Google Scholar]
- Tison, S.A. Experimental data and theoretical modeling of gas flows through metal capillary leaks. Vacuum 1993, 44, 1171–1175. [Google Scholar] [CrossRef]
- Loyalka, S.K.; Hamoodi, S.A. Poiseuille flow of a rarefied gas in a cylindrical tube: Solution of linearized boltzmann equation. Phys. Fluids A 1990, 2, 2061–2065. [Google Scholar] [CrossRef]
- Zhang, C.; Shen, C.; Chen, Y. Experimental study on flow condensation of mixture in a hydrophobic microchannel. Int. J. Heat Mass Transf. 2017, 104, 1135–1144. [Google Scholar] [CrossRef]
- Kucheyev, S.O.; Hamza, A.V. Condensed hydrogen for thermonuclear fusion. J. Appl. Phys. 2010, 108, 091101. [Google Scholar] [CrossRef]
- Solomon, D.E.; Henderson, T.M. Laser fusion targets. J. Phys. D Appl. Phys. 1975, 8, L85. [Google Scholar] [CrossRef]
- Zhang, Z.W.; Huang, Y.; Qi, X.B.; Liu, Y.Y.; Ma, X.J.; Li, B.; Huang, Y.H.; Zhang, L. Fabrication and half-life time of gas-fil led plastic hohlraum. High Power Laser Part. Beams 2011, 23, 133–136. [Google Scholar] [CrossRef]
- Kauffman, R.L.; Powers, L.V.; Dixit, S.N.; Glendinning, S.G.; Glenzer, S.H.; Kirkwood, R.K.; Landen, O.L.; MacGowan, B.J.; Moody, J.D.; Orzechowski, T.J.; et al. Improved gas-filled hohlraum performance on nova with beam smoothing. Phys. Plasmas 1998, 5, 1927–1934. [Google Scholar] [CrossRef]
- Vu, H.X.; Wallace, J.M.; Bezzerides, B. An analytical and numerical investigation of ion acoustic waves in a two-ion plasma. Phys. Plasmas 1994, 1, 3542–3556. [Google Scholar] [CrossRef]












© 2019 by the authors. Licensee MDPI, Basel, Switzerland. This article is an open access article distributed under the terms and conditions of the Creative Commons Attribution (CC BY) license (http://creativecommons.org/licenses/by/4.0/).
Share and Cite
Wu, L.; Zhou, H.; Yu, C.; Yao, F. Simulation of the Gas Filling and Evacuation Processes in an Inertial Confinement Fusion (ICF) Hohlraum. Processes 2019, 7, 269. https://doi.org/10.3390/pr7050269
Wu L, Zhou H, Yu C, Yao F. Simulation of the Gas Filling and Evacuation Processes in an Inertial Confinement Fusion (ICF) Hohlraum. Processes. 2019; 7(5):269. https://doi.org/10.3390/pr7050269
Chicago/Turabian StyleWu, Liangyu, Hua Zhou, Cheng Yu, and Feng Yao. 2019. "Simulation of the Gas Filling and Evacuation Processes in an Inertial Confinement Fusion (ICF) Hohlraum" Processes 7, no. 5: 269. https://doi.org/10.3390/pr7050269
APA StyleWu, L., Zhou, H., Yu, C., & Yao, F. (2019). Simulation of the Gas Filling and Evacuation Processes in an Inertial Confinement Fusion (ICF) Hohlraum. Processes, 7(5), 269. https://doi.org/10.3390/pr7050269

