Exploring New Crystal Structures of Glycine via Electric Field-Induced Structural Transformations with Molecular Dynamics Simulations
Abstract
1. Introduction
2. Methods
2.1. Simulation Details
2.2. Analysis Methods
2.2.1. Dipole Alignment Analysis
2.2.2. Crystal Structure Analysis
3. Results and Discussion
3.1. Effect of Initial Crystal Structure
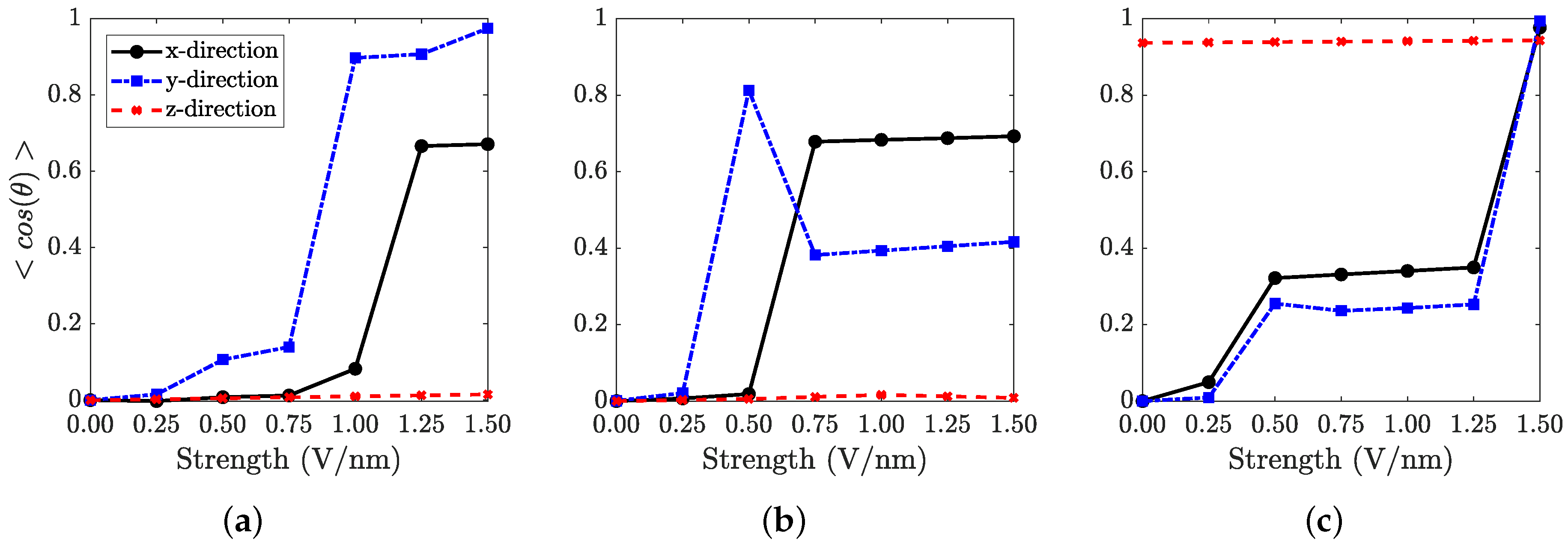
3.2. Effect of e-Field Strength and Direction
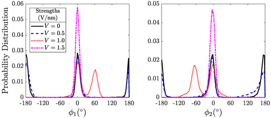
3.3. Analysis of the New Crystals
4. Conclusions
Author Contributions
Funding
Conflicts of Interest
References
- Beckmann, W. Seeding the desired polymorph: Background, possibilities, limitations, and case studies. Org. Process. Res. Dev. 2000, 4, 372–383. [Google Scholar] [CrossRef]
- Cimarosti, Z.; Castagnoli, C.; Rossetti, M.; Scarati, M.; Day, C.; Johnson, B.; Westerduin, P. Development of drug substances as mixture of polymorphs: Studies to control form 3 in casopitant mesylate. Org. Process. Res. Dev. 2010, 14, 1337–1346. [Google Scholar] [CrossRef]
- Weissbuch, I.; Torbeev, V.Y.; Leiserowitz, L.; Lahav, M. Solvent effect on crystal polymorphism: Why addition of methanol or ethanol to aqueous solutions induces the precipitation of the least stable β form of glycine. Angew. Chem. 2005, 117, 3290–3293. [Google Scholar] [CrossRef]
- Kitamura, M.; Hara, T.; Takimoto-Kamimura, M. Solvent effect on polymorphism in crystallization of BPT propyl ester. Cryst. Growth Des. 2006, 6, 1945–1950. [Google Scholar] [CrossRef]
- Adrjanowicz, K.; Paluch, M.; Richert, R. Formation of new polymorphs and control of crystallization in molecular glass-formers by electric field. Phys. Chem. Chem. Phys. 2018, 20, 925–931. [Google Scholar] [CrossRef]
- Potticary, J.; Terry, L.R.; Bell, C.; Papanikolopoulos, A.N.; Christianen, P.C.; Engelkamp, H.; Collins, A.M.; Fontanesi, C.; Kociok-Köhn, G.; Crampin, S.; et al. An unforeseen polymorph of coronene by the application of magnetic fields during crystal growth. Nat. Commun. 2016, 7, 11555. [Google Scholar] [CrossRef]
- Parks, C.; Koswara, A.; Tung, H.H.; Nere, N.; Bordawekar, S.; Nagy, Z.K.; Ramkrishna, D. Molecular dynamics electric field crystallization simulations of paracetamol produce a new polymorph. Cryst. Growth Des. 2017, 17, 3751–3765. [Google Scholar] [CrossRef]
- Svishchev, I.M.; Kusalik, P.G. Crystallization of liquid water in a molecular dynamics simulation. Phys. Rev. Lett. 1994, 73, 975. [Google Scholar] [CrossRef] [PubMed]
- Yan, J.; Patey, G. Molecular dynamics simulations of ice nucleation by electric fields. J. Phys. Chem. 2012, 116, 7057–7064. [Google Scholar] [CrossRef]
- Svishchev, I.M.; Kusalik, P.G. Quartzlike polymorph of ice. Phys. Rev. B 1996, 53, R8815. [Google Scholar] [CrossRef]
- Garetz, B.; Aber, J.; Goddard, N.; Young, R.; Myerson, A. Nonphotochemical, polarization-dependent, laser-induced nucleation in supersaturated aqueous urea solutions. Phys. Rev. Lett. 1996, 77, 3475. [Google Scholar] [CrossRef]
- Sun, X.; Garetz, B.A.; Myerson, A.S. Supersaturation and polarization dependence of polymorph control in the nonphotochemical laser-induced nucleation (NPLIN) of aqueous glycine solutions. Cryst. Growth Des. 2006, 6, 684–689. [Google Scholar] [CrossRef]
- Aber, J.E.; Arnold, S.; Garetz, B.A.; Myerson, A.S. Strong dc electric field applied to supersaturated aqueous glycine solution induces nucleation of the γ polymorph. Phys. Rev. Lett. 2005, 94, 145503. [Google Scholar] [CrossRef]
- Lee, I.S.; Evans, J.M.; Erdemir, D.; Lee, A.Y.; Garetz, B.A.; Myerson, A.S. Nonphotochemical laser induced nucleation of hen egg white lysozyme crystals. Cryst. Growth Des. 2008, 8, 4255–4261. [Google Scholar] [CrossRef]
- Sun, X.; Garetz, B.A.; Myerson, A.S. Polarization switching of crystal structure in the nonphotochemical laser-induced nucleation of supersaturated aqueous l-histidine. Cryst. Growth Des. 2008, 8, 1720–1722. [Google Scholar] [CrossRef]
- Zaccaro, J.; Matic, J.; Myerson, A.S.; Garetz, B.A. Nonphotochemical, laser-induced nucleation of supersaturated aqueous glycine produces unexpected γ-polymorph. Cryst. Growth Des. 2001, 1, 5–8. [Google Scholar] [CrossRef]
- Parks, C.; Koswara, A.; Tung, H.H.; Nere, N.; Bordawekar, S.; Nagy, Z.K.; Ramkrishna, D. Extending the Crystal Landscape Through Electric Field Controlled Crystallization—A Molecular Dynamics Case Study. ChemRxiv 2018. [Google Scholar] [CrossRef]
- Byrn, S.R.; Zografi, G.; Chen, X.S. Solid-State Properties Of Pharmaceutical Materials; John Wiley & Sons: Hoboken, NJ, USA, 2017. [Google Scholar]
- Yu, L.; Stephenson, G.A.; Mitchell, C.A.; Bunnell, C.A.; Snorek, S.V.; Bowyer, J.J.; Borchardt, T.B.; Stowell, J.G.; Byrn, S.R. Thermochemistry and conformational polymorphism of a hexamorphic crystal system. J. Am. Chem. Soc. 2000, 122, 585–591. [Google Scholar] [CrossRef]
- Li, Z.; Huang, H.; Zhang, T.; Zhang, S.; Zhang, J.; Yang, L. First-principles study of electric field effects on the structure, decomposition mechanism, and stability of crystalline lead styphnate. J. Mol. Model. 2014, 20, 2072. [Google Scholar] [CrossRef]
- Li, Z.; Huang, H.; Zhang, T.; Xu, J.; Zhang, J.; Yang, L. Electric-Field-Induced Structural and Electronic Changes and Decomposition of Crystalline Lead Azide: A Computational Study. J. Phys. Chem. C 2015, 119, 8431–8437. [Google Scholar] [CrossRef]
- Abraham, M.J.; Murtola, T.; Schulz, R.; Páll, S.; Smith, J.C.; Hess, B.; Lindahl, E. GROMACS: High performance molecular simulations through multi-level parallelism from laptops to supercomputers. SoftwareX 2015, 1, 19–25. [Google Scholar] [CrossRef]
- Wang, J.; Wolf, R.M.; Caldwell, J.W.; Kollman, P.A.; Case, D.A. Development and testing of a general amber force field. J. Comput. Chem. 2004, 25, 1157–1174. [Google Scholar] [CrossRef]
- Cheong, D.W.; Boon, Y.D. Comparative study of force fields for molecular dynamics simulations of α-glycine crystal growth from solution. Cryst. Growth Des. 2010, 10, 5146–5158. [Google Scholar] [CrossRef]
- Jönsson, P.G.; Kvick, Å. Precision neutron diffraction structure determination of protein and nucleic acid components. III. The crystal and molecular structure of the amino acid α-glycine. Acta Crystallogr. Sect. B Struct. Crystallogr. Cryst. Chem. 1972, 28, 1827–1833. [Google Scholar] [CrossRef]
- Drebushchak, T.N.; Boldyreva, E.V.; Shutova, E.S. β-Glycine. Acta Crystallogr. Sect. Struct. Rep. Online 2002, 58, o634–o636. [Google Scholar] [CrossRef]
- Iitaka, Y. The crystal structure of β-glycine. Acta Crystallogr. 1960, 13, 35–45. [Google Scholar] [CrossRef]
- Bussi, G.; Donadio, D.; Parrinello, M. Canonical sampling through velocity rescaling. J. Chem. Phys. 2007, 126, 014101. [Google Scholar] [CrossRef]
- Berendsen, H.J.; Postma, J.V.; van Gunsteren, W.F.; DiNola, A.; Haak, J. Molecular dynamics with coupling to an external bath. J. Chem. Phys. 1984, 81, 3684–3690. [Google Scholar] [CrossRef]
- Parrinello, M.; Rahman, A. Polymorphic transitions in single crystals: A new molecular dynamics method. J. Appl. Phys. 1981, 52, 7182–7190. [Google Scholar] [CrossRef]
- Abraham, M.; Hess, B.; van der Spoel, D.; Lindahl, E. User Manual; Version 5.0.7; The GROMACS Development Teams at the Royal Institute of Technology and Uppsala University: Uppsala, Sweden, 2015. [Google Scholar]
- Mandal, T.; Larson, R.G. Nucleation of urea from aqueous solution: Structure, critical size, and rate. J. Chem. Phys. 2017, 146, 134501. [Google Scholar] [CrossRef]
- Iitaka, Y. The crystal structure of γ-glycine. Acta Crystallogr. 1958, 11, 225–226. [Google Scholar] [CrossRef]
- Di Profio, G.; Reijonen, M.T.; Caliandro, R.; Guagliardi, A.; Curcio, E.; Drioli, E. Insights into the polymorphism of glycine: Membrane crystallization in an electric field. Phys. Chem. Chem. Phys. 2013, 15, 9271–9280. [Google Scholar] [CrossRef]
- Dawson, A.; Allan, D.R.; Belmonte, S.A.; Clark, S.J.; David, W.I.; McGregor, P.A.; Parsons, S.; Pulham, C.R.; Sawyer, L. Effect of high pressure on the crystal structures of polymorphs of glycine. Cryst. Growth Des. 2005, 5, 1415–1427. [Google Scholar] [CrossRef]









| Parameter | Value |
|---|---|
| Initial Structure | -(2000), -(1980) and -(1920) |
| Direction of the electric field | x, y, z |
| Strength of the electric field (V/nm) | 0.25, 0.50, 0.75, 1.00, 1.25, 1.50 |
| Parameter | Potential Energy (kJ/mol) | Enthalpy (kJ/mol) | Cp (J/mol) | Density (kg/m3) | Specific Volume () (m3/mol) |
|---|---|---|---|---|---|
| -gly | 4.67 | ||||
| -gly | 4.68 | ||||
| -gly | 4.68 | ||||
| -y1.5 | 4.61 | ||||
| -y1.5 | 4.92 | ||||
| -y2.0 | 4.63 | ||||
| -y1.5 | 4.62 |
© 2019 by the authors. Licensee MDPI, Basel, Switzerland. This article is an open access article distributed under the terms and conditions of the Creative Commons Attribution (CC BY) license (http://creativecommons.org/licenses/by/4.0/).
Share and Cite
Bulutoglu, P.S.; Parks, C.; Nere, N.K.; Bordawekar, S.; Ramkrishna, D. Exploring New Crystal Structures of Glycine via Electric Field-Induced Structural Transformations with Molecular Dynamics Simulations. Processes 2019, 7, 268. https://doi.org/10.3390/pr7050268
Bulutoglu PS, Parks C, Nere NK, Bordawekar S, Ramkrishna D. Exploring New Crystal Structures of Glycine via Electric Field-Induced Structural Transformations with Molecular Dynamics Simulations. Processes. 2019; 7(5):268. https://doi.org/10.3390/pr7050268
Chicago/Turabian StyleBulutoglu, Pelin Su, Conor Parks, Nandkishor K. Nere, Shailendra Bordawekar, and Doraiswami Ramkrishna. 2019. "Exploring New Crystal Structures of Glycine via Electric Field-Induced Structural Transformations with Molecular Dynamics Simulations" Processes 7, no. 5: 268. https://doi.org/10.3390/pr7050268
APA StyleBulutoglu, P. S., Parks, C., Nere, N. K., Bordawekar, S., & Ramkrishna, D. (2019). Exploring New Crystal Structures of Glycine via Electric Field-Induced Structural Transformations with Molecular Dynamics Simulations. Processes, 7(5), 268. https://doi.org/10.3390/pr7050268
