Next Article in Journal
Study of Industrial Naphtha Catalytic Reforming Reactions via Modelling and Simulation
Next Article in Special Issue
Viscoelastic MHD Nanofluid Thin Film Flow over an Unsteady Vertical Stretching Sheet with Entropy Generation
Previous Article in Journal
Controller Design and Control Structure Analysis for a Novel Oil–Water Multi-Pipe Separator
Previous Article in Special Issue
Model for Thin Layer Drying of Lemongrass (Cymbopogon citratus) by Hot Air
 
 
Font Type:
Arial Georgia Verdana
Font Size:
Aa Aa Aa
Line Spacing:
Column Width:
Background:
Article

Impact of Thermal Radiation and Heat Source/Sink on MHD Time-Dependent Thin-Film Flow of Oldroyed-B, Maxwell, and Jeffry Fluids over a Stretching Surface

1
Department of Applied Mathematics, School of Science, Northwestern Polytechnical University, Dongxiang Road, Chang’an District, Xi’an 710129, China
2
Department of Mathematics, Abdul Wali Khan University, Mardan 32300, KP, Pakistan
*
Author to whom correspondence should be addressed.
Processes 2019, 7(4), 191; https://doi.org/10.3390/pr7040191
Submission received: 1 March 2019 / Revised: 26 March 2019 / Accepted: 27 March 2019 / Published: 2 April 2019
(This article belongs to the Special Issue Thin Film Processes)

Abstract

:
In this study paper, we examined the magnetohydrodynamic (MHD) flow of three combined fluids, Maxwell, Jeffry, and Oldroyed- B fluids, with variable heat transmission under the influence of thermal radiation embedded in a permeable medium over a time-dependent stretching sheet. The fluid flow of liquid films was assumed in two dimensions. The fundamental leading equations were changed to a set of differential nonlinear and coupled equations. For this conversion, suitable similarity variables were used. An optimal tactic was used to acquire the solution of the modeled problems. The convergence of the technique has been shown numerically. The obtained analytical and numerical consequences are associated graphically and tabulated. An excellent agreement was obtained between the homotropy analysis method (HAM) and numerical methods. The variation of the skin friction and Nusslet number and their influence on the temperature and concentration profiles were scrutinized. The influence of the thermal radiation, unsteadiness effect, and MHD were the main focus of this study. Furthermore, for conception to be physically demonstrated, the entrenched parameters are discussed graphically in detail along with their effect on liquid film flow.

1. Introduction

In the last few years, thin film flow problems have received great attention because of the importance of thin film flows in various technologies. The investigation of thin film flow has obtained importance by its vast application and uses in engineering, technology, and industries. Cable, fiber undercoat, striating of foodstuff, extrusion of metal and polymer, constant forming, fluidization of the device, elastic sheets drawing, chemical treating tools, and exchanges are several uses. In surveillance of these applications, researchers have paid attention to cultivating the examination of liquid film on stretching surface. Emslie et al. [1] investigated thin film flow with applications. During the disk rotating process, they considered the balance between centrifugal and viscous forces. They simplified the Navier–Stokes equations and concluded that the film is uniformly maintained with its continuous thinning property. Higgins [2] considered the influence of the film inertia over a rotating disk. A liquid film over a rotating plate with constant angular velocity was analyzed by Dorfman [3]. The fluid film rotation on an accelerating disk was analyzed by Wang et al. [4]. For the thin and thick film parameter and small accelerating parameters, the asymptotic solutions were obtained. Andersson et al. [5] asymptotically and numerically examined the magnetohydrodynamics (MHD) liquid thin film due on a rotating disk. Over a rotating disk, Dandapat and Singh [6] examined the two layer film flow. The heat transfer flow of thin film flow of nonfluids was deliberated on by Sandeep et al. [7]. Recently, researchers [8,9,10,11,12,13,14,15] examined non-Newtonian nanofluid thin films using different models in different geometries and obtained useful results.
Jeffrey, Maxwell, and Oldroyed-B nanofluids have certain importance in the area of fluid mechanics because of the stress relaxation possessions. Kartini et al. [16] studied the two-dimensional MHD flow and heat transfer of Jeffrey nanofluid over an exponentially stretched plate. Hayat et al., [17] studied the convection of heat transfer in two-dimensional flow of Oldroyed-B nanofluid over a stretching sheet under radiation, and they also found that, with the escalation in radiation parameter, the temperature profile of the nanofluid escalates. Raju et al. [18] debated the presence of a homogenous–heterogeneous reaction in the nonlinear thermal radiation effect on Jeffrey nanofluid flow. Hayat et al. [19] presented a series solution of MHD flow of Maxwell nanofluid over a permeable stretching sheet with suction and injection impacts. Sandeep et al. [20] studied the unsteady mixed convection flow of micropolar fluid over a stretching surface with a non-uniform heat source. Nadeem et al. [21] discussed the heat and mass transfer in peristaltic motion of Jeffrey nanofluid in an annulus. Sheikholeslami [22,23] discussed the hydrothermal behavior of nanofluids flow due to external heated plates. Shah et al. [24,25,26,27,28,29] investigated MHD nanofluid flow heat transfer, and they mathematically analyzed it with Darcy–Forchheimer phenomena and Cattaneo–Christov flux impacts. Nanofluid flow was studied between parallel plates and stretching sheets. They used analytical and numerical approaches and obtained excellent results. Dawar et al. [30] analyzed the MHD carbon nanotubes (CNTs) Casson nanofluid in rotating channels. Khan et al. [31] studied the 3-D Williamson nanofluid flow over a linear stretching surface.
Lee [32] was the first to investigate the flow with a high Reynolds number (boundary layer concept) over a thin body with variable thickness. In engineering science, the variable thickness extending sheet has many more applications compared to the flat sheet. For instance, for a straightly-extending sheet of an incompressible material, if the extending speed is directly relative to the separation from the slot, the sheet thickness diminishes straightly with the separation. For different materials with various extensibility, the plate/sheet thickness may change as indicated by different profiles. An extending plate/sheet with variable thickness is more realistic. Peristaltic flow of two layers of power law fluids was studied in Usha et al. [33]. Eegunjobi and Makinde [34] mutually derived the effect of buoyancy force and Navier slip in a channel of vertical pores on entropy generation. Numerical analyses of the buoyancy force’s influence on the unsteady flow of hydromagnetic by a porous channel with injection/suction were presented by Makinde et al. [35].
Many mathematical problems in the field of engineering and science are complicated, and it is often impossible to solve these types of problems exactly. To find an approximate solution, numerical and analytical techniques are widely implemented in the literature. Liao in 1992 [36,37] investigated the solution of such types of problems by implementing a new proposed technique. This technique was named the homotropy analysis method. He further discussed the convergence of the newly implemented method. A solution is a function of a single variable in the form of a series. Due to fast convergence and strong results, many researchers [38,39,40,41,42,43,44,45] used the homotropy analysis method. Another powerful analytical tool to solve differential equations is the Lie algebra method [46,47,48].
The goal of the present study was to inspect the MHD flow of three combined nanofluids (Maxwell, Oldroyed-B, and Jeffrey) over a linear stretching surface. The fundamental leading equations were changed to a set of differential nonlinear equations with the support of appropriate correspondence variables. An optimal tactic was used to achieve the solution of the modeled equations, which is nonlinear. The effects of all embedding parameters were studied graphically. Boundary layer methodology was used in the mathematical expansion. The influences of the skin friction, Nusselt number, and Sherwood number on the velocity profile, temperature profile, and concentration profile, respectively, were studied.

2. Problem Formulation

Consider a time-dependent and electric-conducting thin film flow of magnetohydrodynamic Jeffrey, Maxwell, and Oldroyed-B thin film liquids while extending a plate. The flexible sheet starts from an inhibiting slit, which is immovable at the descent of the accommodating system. The Cartesian accommodating system oxyz is adjusted in a well-known manner where ox is equivalent to the plate and oy is smooth to the sheet. The surface of the flow is stretched, applying two equivalent and reversed forces along the x-axis and keeping the origin stationary. The x-axis is taking along the extending surface with stressed velocity U w ( x , t ) = b x 1 α t , in which α , b are constant and the y-axis is perpendicular to it. T w ( x , t ) = T 0 + T r ( b x 2 2 υ f ) ( 1 α t ) 1.5 is the wall temperature of the fluid, υ f represents the kinematic viscidness of the fluid, and T 0 , T r are slits. An exterior magnetic ground B ( t ) = B 0 ( 1 α t ) 0.5 is given normally to the extending sheet (as shown in Figure 1). All the body forces are ignored in the flow field.
Considering these hypotheses, the continuity equation, the elementary boundary governing equation, and the heat transfer and concentration equations can be stated as:
u x + u y = 0
ρ f [ u t + u u x + v u y + λ 1 ( u 2 u x x + v 2 u y y + 2 u v u x y ) ] = μ f ( T ) 1 + λ 2 [ u y y + λ 3 ( u t y y + u u x y y + v u y y y u x u y y + u y u x y ) ] σ n f B 2 ( t ) u ,
T t + u T x + v T y = 1 ρ c p T y y + Q ρ c p T s T 0 1 ρ c p q y ,
The applicable boundary conditions are:
u = U w ,   v = 0 ,   T = T w   at   y = 0 ,
u x = 0 , T x = 0 ,   a t   y = h
where ϑ r d is:
ϑ r d = 16 φ 3 k ^ Τ y 4
Applying Taylor series expansion on Τ 4 , we get:
Τ 4 = Τ 0 4 + 4 Τ 0 3 ( Τ Τ 0 ) 2 +
By ignoring higher-order terms:
Τ 4 = 4 Τ Τ 0 3 3 Τ 0 4
on which u ,   v are the velocity constituents alongside the x and y-axes, respectively, σ is the electric conductive parameter, μ , ρ f , υ f are the dynamic viscosity, density, and kinematic viscosity, respectively and γ 1 , γ 2 , γ 3 represents the relaxation and retardation time ratios. B ( t ) characterizes the applied magnetics pitch, T s represents the temperature of the fluid, and T w characterizes the temperature. Equation (2) manages distinctive fluid models dependent on the below conditions [7]:
  • The fluid should be Jeffrey fluid when λ 1 = 0 ,   λ 2 0 ,   λ 3 0 ;
  • The fluid should be Maxwell fluid when λ 1 0 ,   λ 2 = 0 ,   λ 3 = 0 ;
  • The fluid should be Oldroyed-B fluid when λ 1 0 ,   λ 3 0   λ 2 = 0 .
Considering the above similarity transformations:
ψ = x υ b 1 a t f ( η ) , u = ψ y = b x ( 1 a t ) f ( η ) , v = ψ x = υ b 1 a t f ( η ) , η = b υ ( 1 a t ) y , y = υ ( 1 a t ) b ϕ ( η ) = T T 0 T w T 0 ,
where prime specifies the derivative with respect to η and ψ indicates the stream function, h ( t ) specifies the liquid film thickness, and υ = μ ρ is the kinematics viscosity. The dimensionless film thickness β = b υ ( 1 α t ) h ( t ) , which gives h t = α β 2 υ b ( 1 α t ) . Substituting Equation (9) into Equations (1)–(6) gives L
1 ( 1 + λ 2 ) [ f + λ 3 { ( f ) 2 f f i v + S ( 2 f + η 2 f i v ) M f } ] + ( 1 + ε κ ) [ f f ( f ) 2 S ( 2 f + η 2 f ) λ 1 ( ( f ) 2 f 2 f f f ) ] = 0
( 1 + R d ) θ P r { S 2 ( 3 θ + η θ ) + ( 2 f q ) θ θ f } = 0
The boundary constraints are:
f ( 0 ) = 0 , f ( 0 ) = 1 , θ ( 0 ) = 1 , f ( β ) = S β 2 , f ( β ) = 0 , θ ( β ) = 0
Skin friction is defined as C f = ( S ˜ x y ) y = 0 ρ u ˜ w 2 ,
C f = 1 + λ 1 1 + λ 2 f ( 0 )
The Nusselt number is:
Ν u = Q w k ^ ( T T h ) ,
Ν u = 1 2 ( 1 α t ) 1 2 θ ( 0 ) R e 1 2 f x ,
After generalization, the physical constraints are as follows: λ 1 , λ 2 ,   λ 3 are the parameters of relaxation and retardation ratios, S = a b is the measure of unsteadiness of the nondimensional, M = σ f B 0 2 b ρ f denotes the magnetic field parameter, and P r = ρ υ c p k denotes the Prandtl number.

3. Solution by HAM

Equations (8)–(10), considering the boundary condition in Equation (11), are solved with HAM. The solutions encircled the auxiliary parameter h , which normalizes and switches to a conjunction of the solutions.
The following is the initial guess:
f 0 ( η ) = ( 2 S ) η 3 + ( 3 S 6 ) β η 2 + 4 β 2 η 4 β 2 ,   θ ( η ) = 1
L f ,   L θ reperesent linar operators:
L f ( f ) = f i v ,   L θ ( θ ) = θ
where:
L f ( e 1 6 η 3 + e 2 2 η 2 + e 3 η + e 4 ) = 0 ,   L θ ( e 5 + e 6 η ) = 0
Non-linear operators N f , N θ are given as:
N f   [ f ( η ; r ) ] = 1 ( 1 + λ 2 )   [ 3 f ( η ; r ) η 3 + λ 3 ( 2 f ( η ; r ) η 2 ) 2 f ( η ; r ) 4 f ( η ; r ) η 4 + S ( 2 3 f ( η ; r ) η 3 + η 2 4 f ( η ; r ) η 4 ) M f ( η ; r ) η ] + ( 1 + ε κ ) [ f ( η ; r ) 2 f ( η ; r ) η 2 ( f ( η ; r ) η ) 2 S ( 2 f ( η ; r ) η + η 2 2 f ( η ; r ) η 2 ) λ 1 ( ( f ( η ; r ) ) 2 3 f ( η ; r ) η 3 2 f ( η ; r ) f ( η ; r ) η 2 f ( η ; r ) η 2 ) ]
N ϑ [ f ( η ; r ) , θ ( η ; r ) ] = ( 1 + R d ) 2 θ ( η ; r ) η 2 P r { S 2 ( 3 θ ( η ; r ) + η θ ( η ; r ) η ) + ( 2 f ( η ; r ) η q ) θ ( η ; r ) f ( η ; r ) θ ( η ; r ) η }
The 0th-order problem is defined as:
L f [ f ( η ; r ) f 0 ( η ) ] ( 1 r ) = r f N f [ f ( η ; r ) ]
L θ   [ θ ( η ; r ) θ 0 ( η ) ] ( 1 r )   =   r θ   N θ [ f ( η ; r ) , θ ( η ; r ) ]
The correspondent boundary constraints are:
f ( η ; r ) | η = 0 = 0 ,   f ( η ; r ) ζ | η = 0 = 1 ,   2 f ( ζ ; r ) η 2 | η = β = 0 ,   f ( η ; r ) | η = β = 0   ϑ ( η ; r ) | η = 0 = 1 ,   θ ( η ; r ) η | η = β = 0 ,
In the case of r = 0 ,   r = 1 :
f ( η ; 1 ) = f ( η ) ,   θ ( η ; 1 ) = θ ( η )
After applying Taylor’s series:
f ( η ; r ) = f 0 ( η ) + n = 1 f n ( η ) r n , θ ( η ; r ) = θ 0 ( η ) + n = 1 θ n ( η ) r n ,
where:
f n ( η )   = 1 n ! f ( η ; r ) η | r = 0 ,   θ n ( η )   = 1 n ! θ ( η ; r ) η | r = 0
The subordinate limitations f ,   θ are selected such that the series in Equation (23) converges at r = 1 . Switching r = 1 in Equation (23), we obtain:
f ( η ) = f 0 ( η ) + n = 1 f n ( η ) ,   θ ( η ) = θ 0 ( η ) + n = 1 θ n ( η ) ,
The n th-order problem:
L f   [ f n ( η ) χ n f n 1 ( η ) ] = f   R n f ( η ) , L θ   [ θ n ( η ) χ n θ n 1 ( η ) ] = θ   R n θ ( η ) ,
The consistent boundary conditions are:
f n ( 0 ) = f n ( 0 ) = θ n ( 0 ) = 0 f n ( β ) = f n ( β ) = θ n ( β ) = 0
and:
χ n = { 0 ,   if   r 1 1 ,   if   r > 1

HAM Solution Convergence

In this section, the convergence of the problem of the modeled and solved equations is discussed. Figure 2 presents the h -curves of the combined temperature and velocity functions. A valid region of convergent is observed in Figure 2. In Table 1, numerical convergence is presented. A fast convergence of HAM is shown in Table 1.

4. Results and Discussion

This work investigated thin particle flow (Maxwell, Jeffry, and Oldroyed-B) fluids considering the influence of MHD and radiation with a time-dependent porous extending surface. This subsection presents the physical impact of dissimilar implanting parameters over velocity distributions f ( η ) and temperature distribution Θ ( η ) as exemplified in Figure 2, Figure 3, Figure 4, Figure 5, Figure 6, Figure 7, Figure 8, Figure 9, Figure 10, Figure 11 and Figure 12.
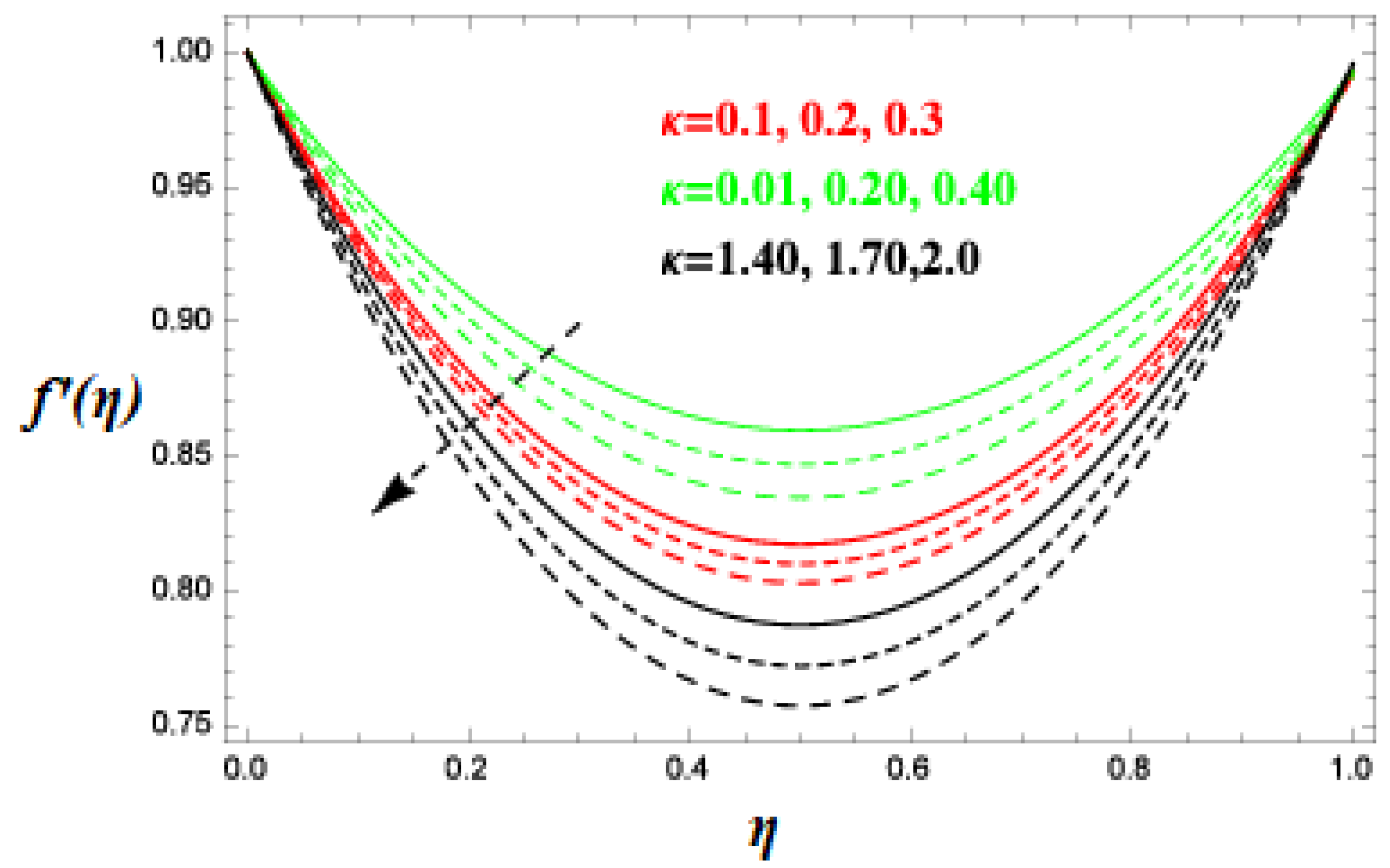
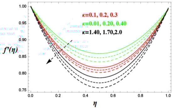
Figure 3 shows the effect of κ on velocity field f ( η ) . There is a direct relation between the cohesive and adhesive forces and viscosity. The overall fluid motion is reduced due to the rising in κ , which generates strong cohesive and adhesive forces that cause resistance.
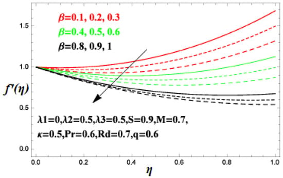
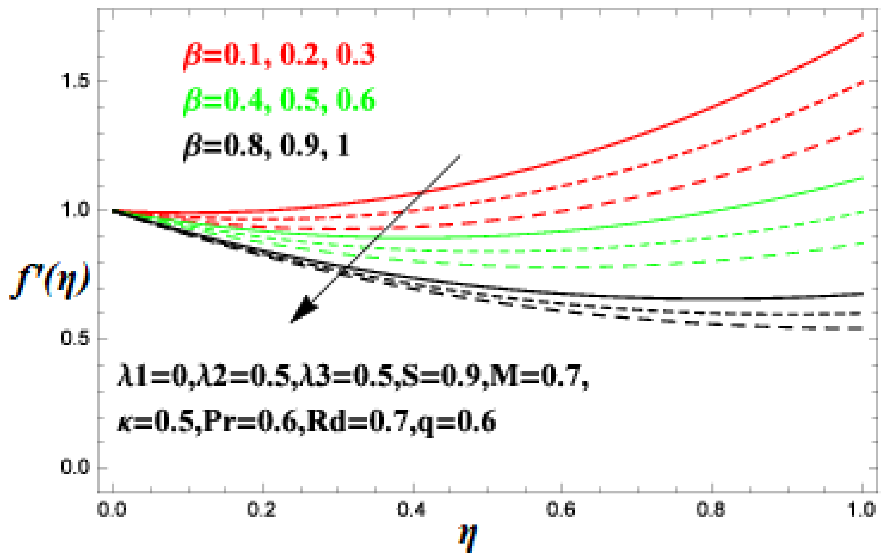
Figure 4 shows the effect of β during the motion of the flow. Increasing β decreases the flow velocity, as it is a reducing function of the velocity and thickness of the liquid film. Substantially, the viscid forces rising with higher numbers of β cause the fluid motion. Thus, fluid velocity drops.
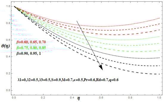
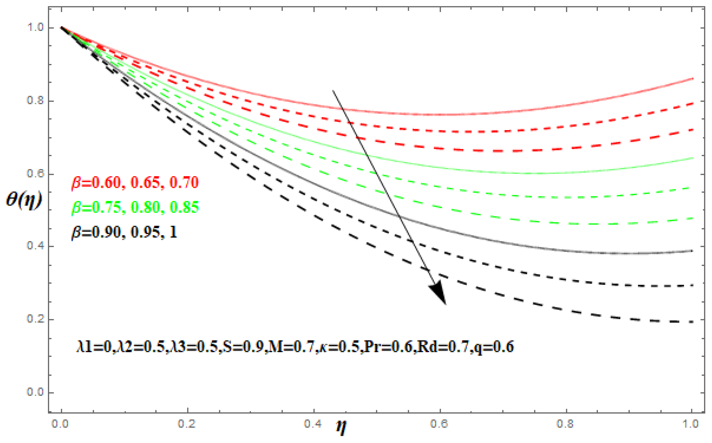
Figure 5 shows the impact of thin film thickness on the temperature profile. It is observed that an increase in β decreases temperature profile θ ( η ) .
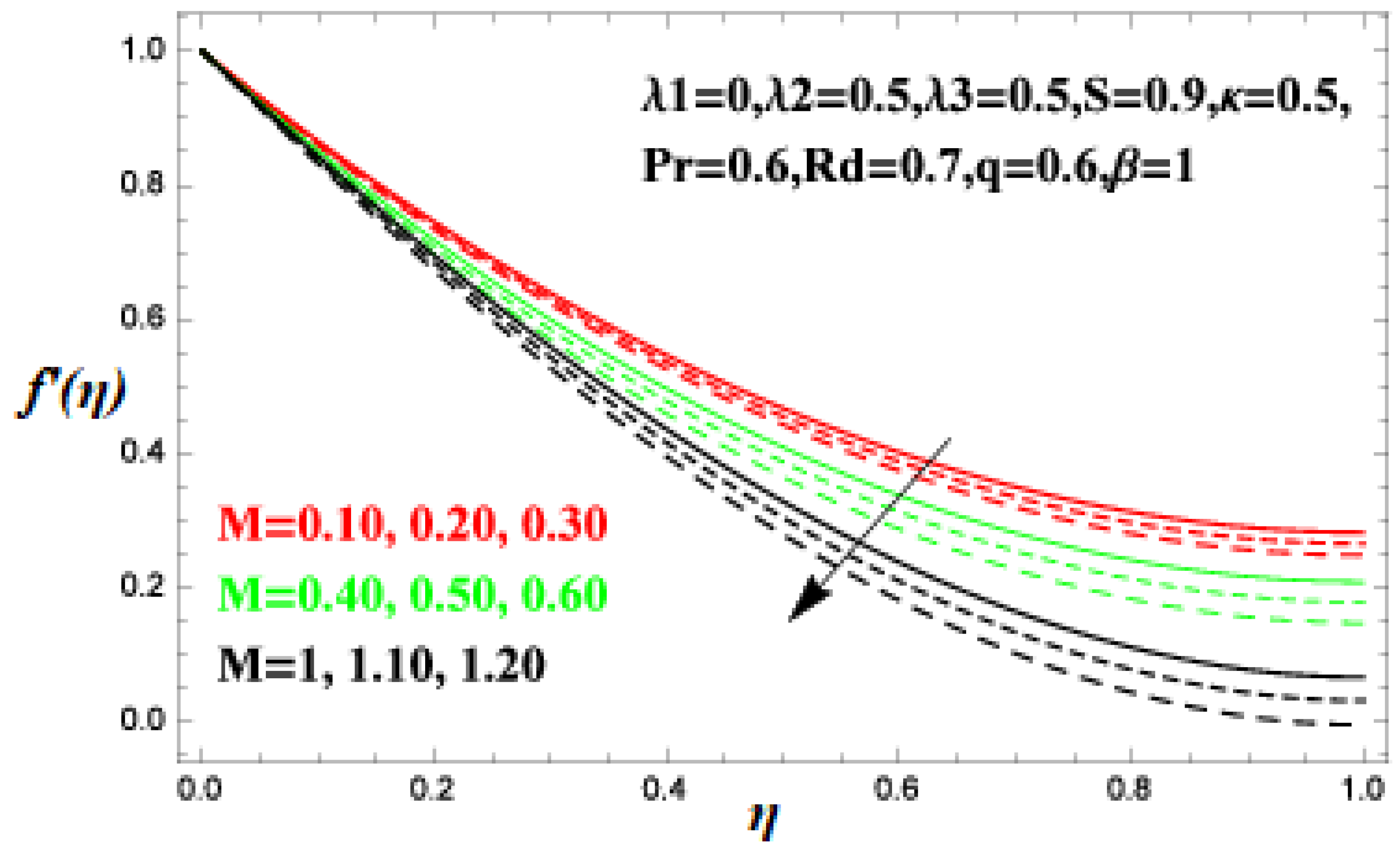
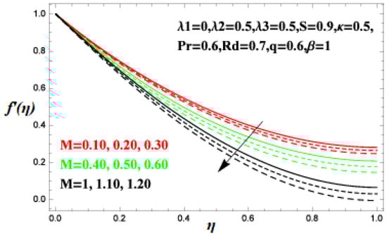
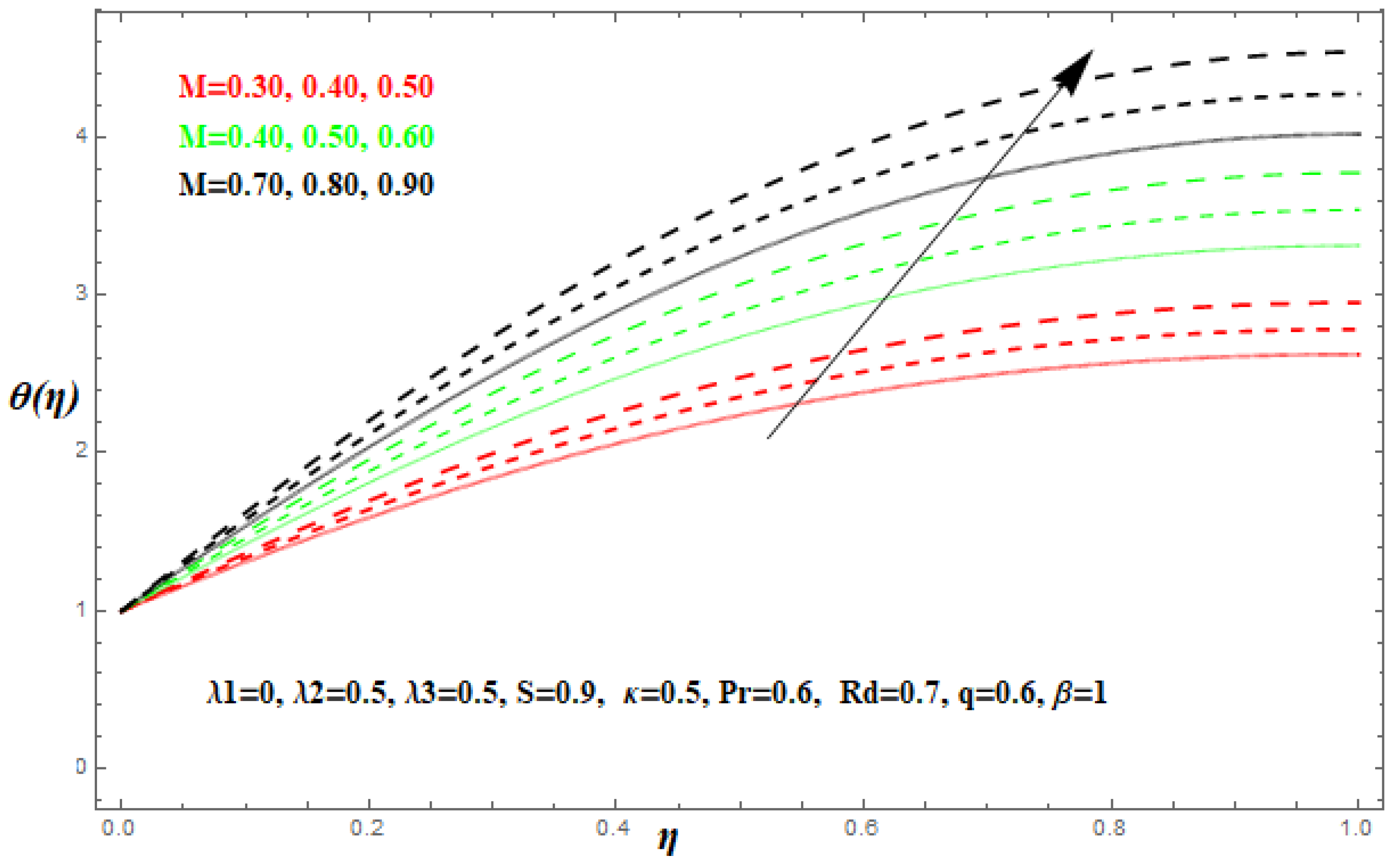
Figure 6 describes the features of M on ( η ) . The velocity profile reduces due to the rise in M . The object of this phenomenon is Lorentz force. This force is responsible for the reduction in the motion of fluid.
Figure 7 shows that with different values of M , the concentration field increases because an increase in oblique magnetic pitch on the fluid augments the Lorentz force. Lorentz force is the combination of electric and magnetic force on a point charge due to electromagnetic fields. This force is lower at the center of the channel and at the boundaries, but up near the walls. Velocity increases with the unsteady constraint S.
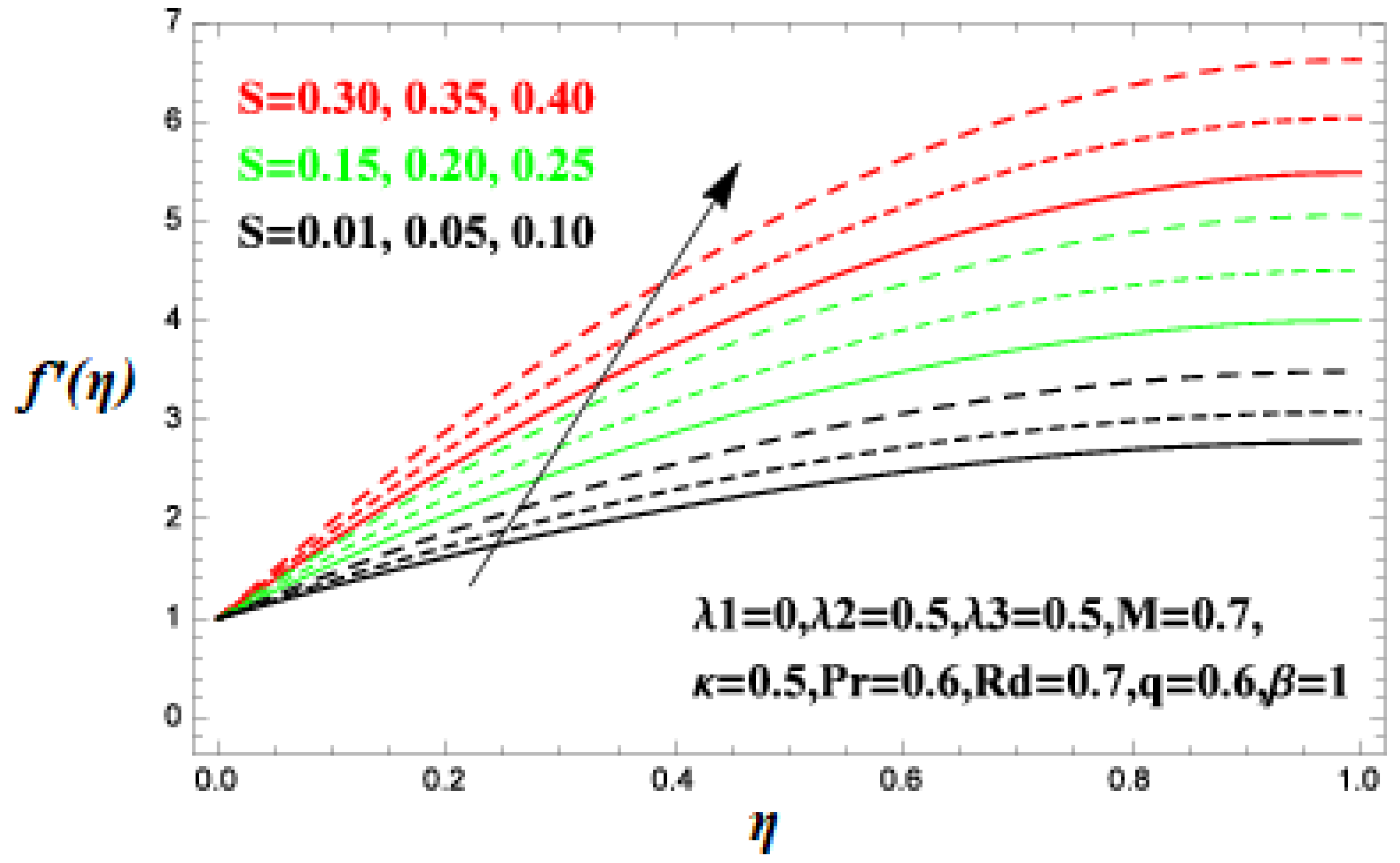
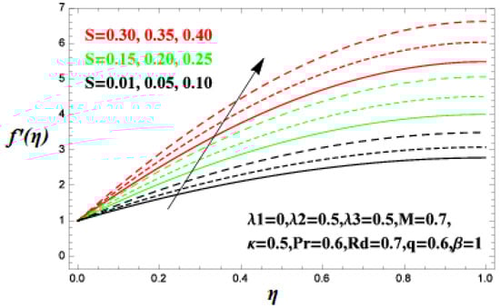
Figure 8 demonstrates the performance of the unsteadiness constraint S on f ( η ) . It is concluded that f ( η ) is directly proportional to S . The fluid motion increases due to an increase in S . Thus, the solution is dependent on S , S .
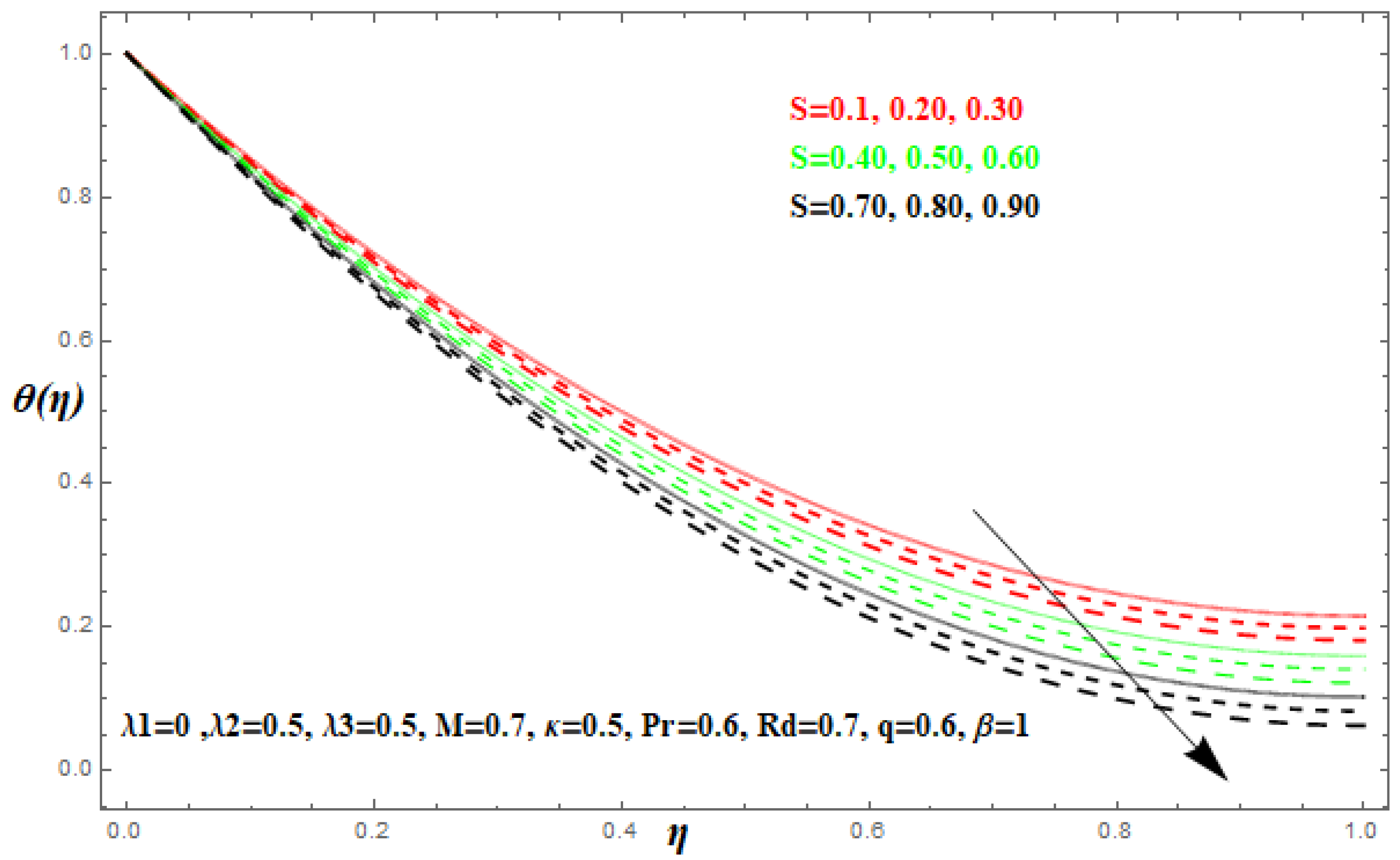
Figure 9 shows the effect of S on the heat profile   θ ( η ) . It was concluded that θ ( η ) is directly proportional to S . An increase in the unsteadiness parameter S increases the temperature which, in turn, augments the kinetic energy of the fluid flow; thus, the thin film moment increases.
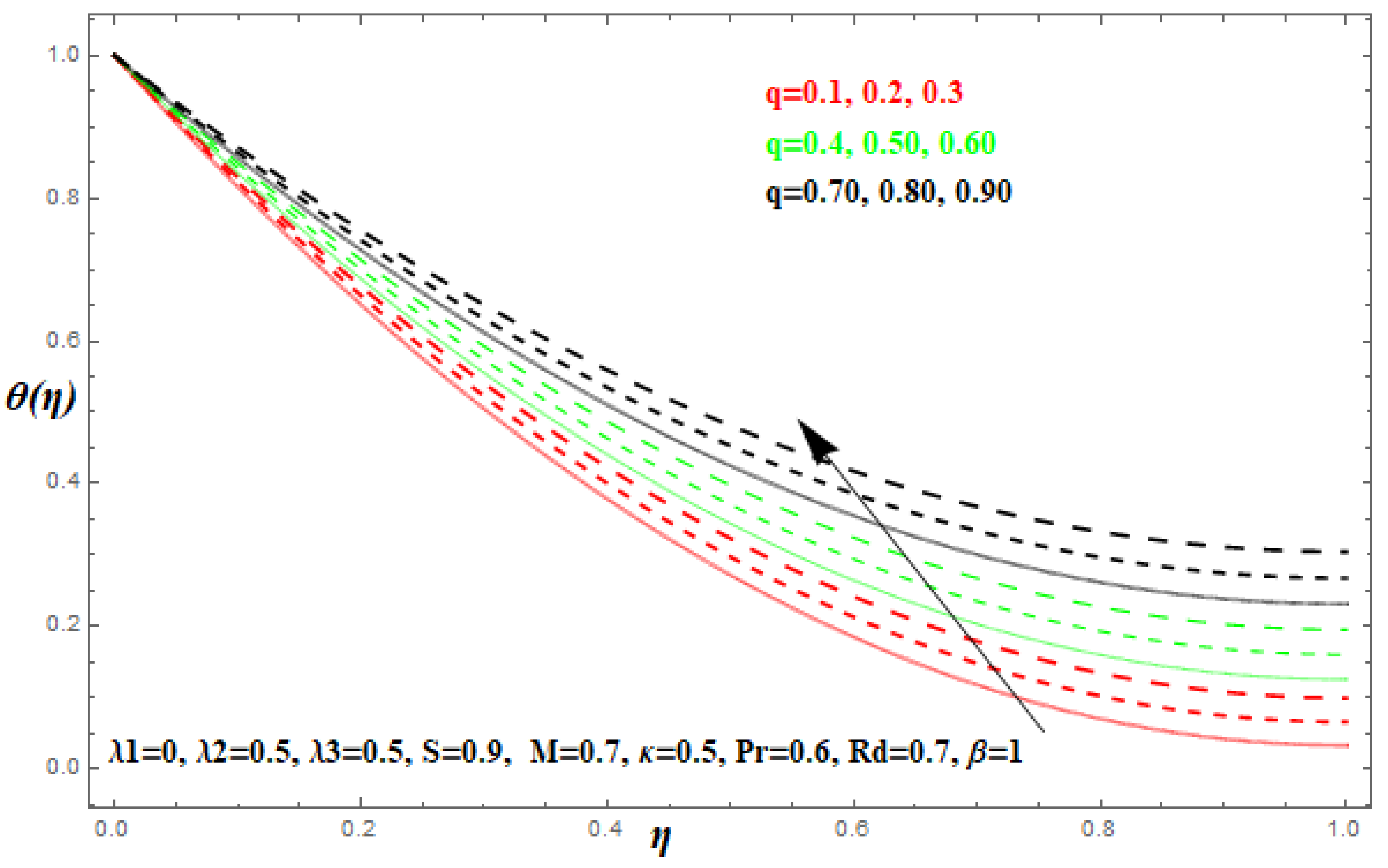
Figure 10 shows the effect of q. Increasing q increases the temperature field. Actually, raising q increases the kinetic energy of thin film, which results in increasing the internal heat.
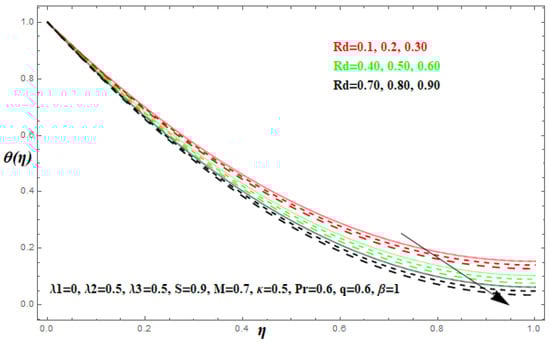
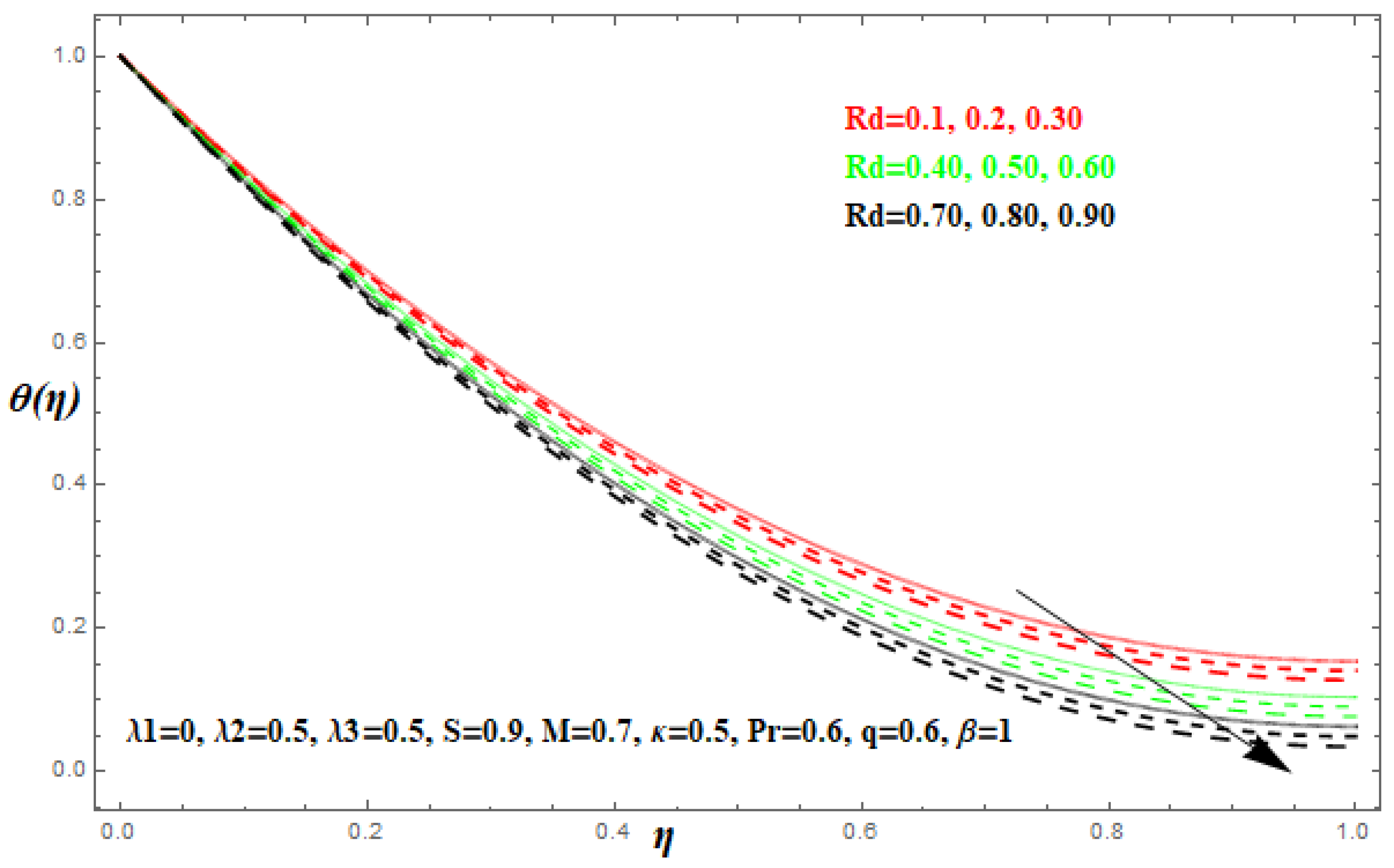
The influence of radioactivity parameter R d on θ ( η ) is shown in Figure 11. Radioactivity is an important part on the inclusive surface heat transmission when the coefficient of convection heat transmission is small. When thermal radiation is increased, the thermal radiation augments the temperature in the boundary layer area in the fluid layer. This increase leads to a drop in the rate of cooling for liquid film flow.
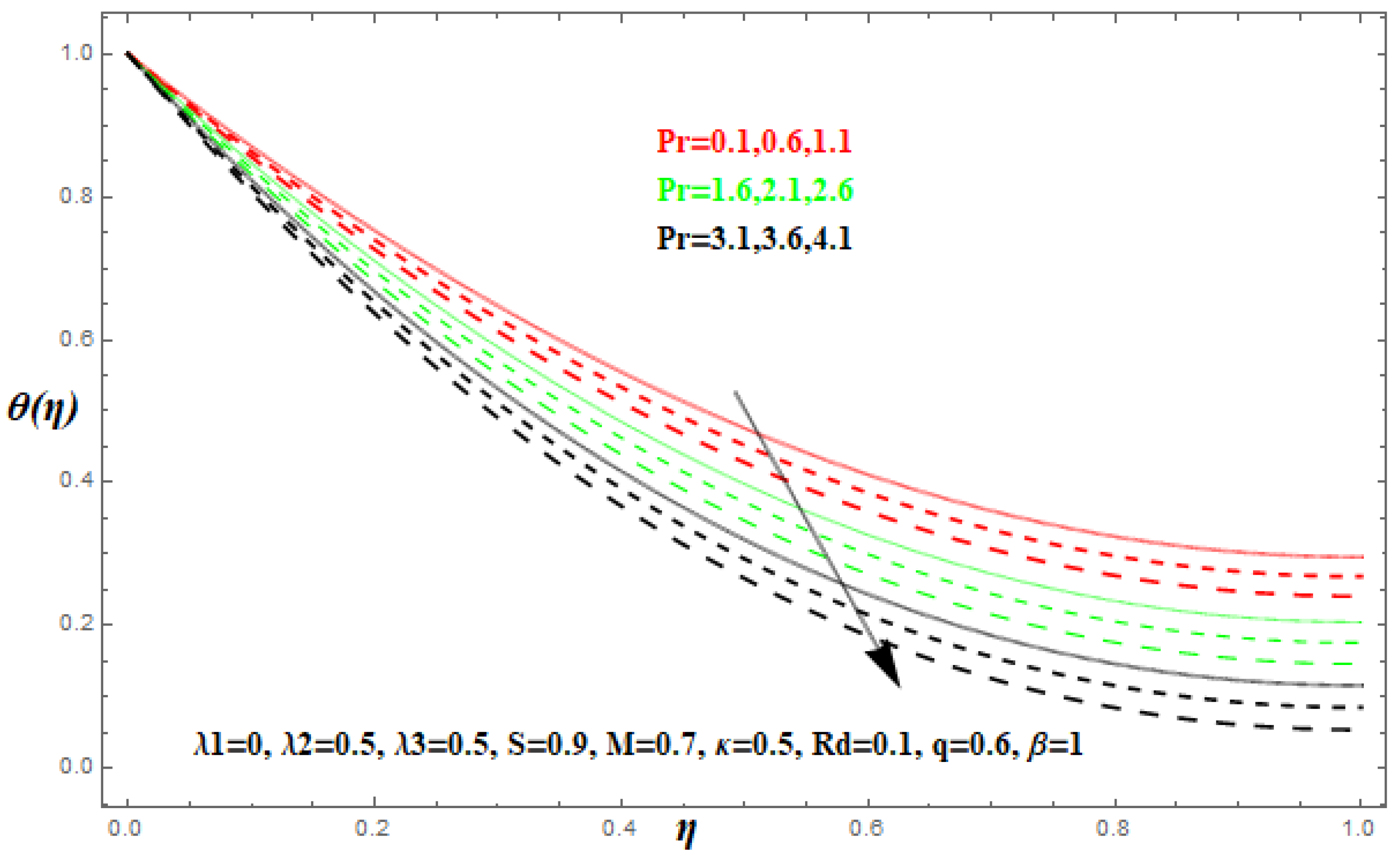
The influence of P r on the temperature distributions θ ( η ) is shown in Figure 12. The temperature distribution varies inversely with P r . Clearly, the temperature distribution decreases for large values of P r and increases for small values of P r . Physically, the fluids having a small P r have larger thermal diffusivity and vice versa. Thus, large P r causes the thermal boundary layer to decrease.
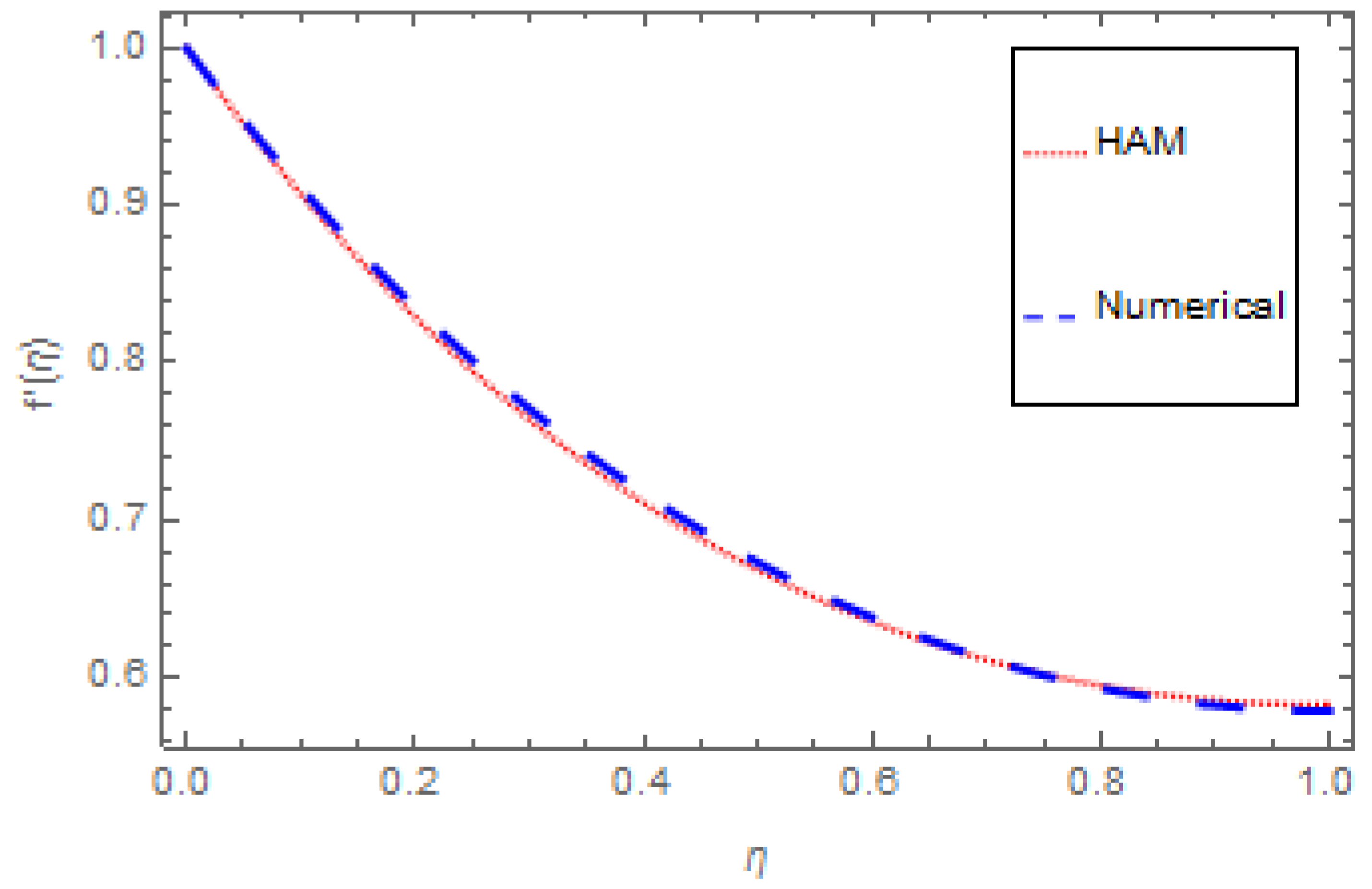
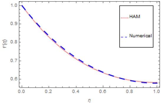
Figure 13 and Figure 14 illustrate the comparison of HAM and numerical solution for velocities and temperature functions. An excellent agreement is found here.
Table 2 and Table 3 present a comparison of HAM and numerical solution for velocities and temperature functions. We have observed an excellent covenant between the analytical and numerical approach.
The numerical values of surface temperature θ ( β ) for different values of M , R d and k are given in Table 2. Increasing values of M , R d , and k increase surface temperature θ ( β ) , whereas the opposite effect was found for P r , that is, large values of P r reduce surface temperature θ ( β ) .
The numerical value of the gradient of wall temperature θ ( 0 ) for different values of embedded parameters R d , β , P r , S is shown in Table 4 and Table 5. Larger values of thermal radiation R d ,   β , and P r decrease the wall temperature, whereas S increases the wall temperature gradient θ ( 0 ) .

5. Conclusions

The MHD flow of three combined fluids, Maxwell, Jeffry, and Oldroyed-B fluid, with variable heat transmission under the influence of thermal radiation was investigated. The fundamental leading equations were changed to a set of differential nonlinear and coupled equations. An optimal and numerical tactic was used to acquire the solution of the modeled problems.
The key conclusions of this work are as follows:
  • The velocity profile shows an increase with increasing values of the unsteadiness parameter S t , while increasing values of the magnetic parameter cause the decline of the velocity profile of the nanofluid film.
  • Rd augmented heat flux
  • Higher values of Pr increase the surface temperature.
  • Fast convergence is shown numerically and graphically.
  • The liquid film flow effects on the flow of three fluids (Jeffrey, Maxwell, and Oldroyd-B fluids) are presented using graphs and tables.
  • It was found that the coefficient of skin friction rises with the larger rates of the magnetic parameter M and the unsteadiness parameter S t , whereas the coefficient of skin friction decreases with the higher values of the stretching and thickness parameters.
  • It was found that liquid film flow is affected by the Lorentz’s force.
  • The obtained analytical and numerical consequences are presented graphically and tabulated. An excellent agreement was obtained between HAM and the numerical method.

Author Contributions

A.S.K. and Z.S. modeled the problem and wrote the manuscript. Y.N. thoroughly checked the mathematical modeling and English corrections. A.S.K. and Z.S. solved the problem using Mathematica software. Y.N. contributed to the results and discussions. All authors finalized the manuscript after its internal evaluation.

Funding

This research was funded by National Natural Science Foundation of China No. [11471262].

Conflicts of Interest

The authors declare no conflict of interest.

Nomenclature

J Current density
μ Coefficient of viscosity
T Cauchy stress tensor
σ Electric conductivity
E Electric field
ω Frequency parameter
p pressure
I Identity tensor chord
S t Unsteadiness parameter
α 1 ,   α 2 Material constants
μ 0 Magnetic permeability
M Magnetic parameter
α non-Newtonian parameter
Ω Pressure gradient parameter
A 1 and A 2 Rivlin–Ericksen tensor
t Time variable
R d Radiation paramete
P r Prandtl number
C f Skin friction
N u Nusselt number

References

  1. Emslie, A.G.; Bonner, F.T.; Peck, L.G. Flow of a viscous liquid on a rotating disk. J. Appl. Phys. 1958, 5, 858–862. [Google Scholar] [CrossRef]
  2. Higgins, B.G. Film flow on a rotating disk. Phy. Fluids. 1986, 29. [Google Scholar] [CrossRef]
  3. Dorfman, I.A. Flow and heat transfer in a film of viscous liquid on a rotating disk. J. Eng. Phys. 1967, 12, 162–166. [Google Scholar] [CrossRef]
  4. Wang, C.Y.; Watson, L.T.; Alexander, K.A. Spinning of a liquid.lm from an accelerating disc. IMA J. Appl. Math. 1991, 46, 201–210. [Google Scholar] [CrossRef]
  5. Andersson, H.I.; Holmedal, B.; Dandapat, B.S.; Gupta, A.S. Magnetohydrodynamic melting flow from a horizontal rotating disk. Math. Models Methods Appl. Sci. 1993, 3. [Google Scholar] [CrossRef]
  6. Dandapat, B.S.; Singh, S.K. Unsteady two-layer film flow on a non-uniform rotating disk in presence of uniform transverse magnetic field. Appl. Math. Comput. 2015, 258, 545–555. [Google Scholar] [CrossRef]
  7. Sandeep, N.; Malvandi, A. Enhanced heat transfer in liquid thin film flow of non-Newtonian nanofluids embedded with graphene nanoparticles. Adv. Powder Technolog. 2016, 27, 2448–2456. [Google Scholar] [CrossRef]
  8. Khan, N.; Zuhra, S.; Shah, Z.; Bonyah, E.; Khan, W.; Islam, S. Slip flow of Eyring-Powell nanoliquid film containing graphene nanoparticles. AIP Adv. 2018, 8. [Google Scholar] [CrossRef]
  9. Ullah, A.; Alzahrani, E.O.; Shah, Z.; Ayaz, M.; Islam, S. Nanofluids Thin Film Flow of Reiner-Philippoff Fluid over an Unstable Stretching Surface with Brownian Motion and Thermophoresis Effects. Coatings 2019, 9, 21. [Google Scholar] [CrossRef]
  10. Shah, Z.; Bonyah, E.; Islam, S.; Khan, W.; Ishaq, M. Radiative MHD thin film flow of Williamson fluid over an unsteady permeable stretching. Heliyon 2018, 4. [Google Scholar] [CrossRef]
  11. Ishaq, M.; Ali, G.; Shah, S.I.A.; Shah, Z.; Muhammad, S.; Hussain, S.A. Nanofluid Film Flow of Eyring Powell Fluid with Magneto Hydrodynamic Effect on Unsteady Porous Stretching Sheet. J. Math. 2019, 51, 131–153. [Google Scholar]
  12. Jawad, M.; Shah, Z.; Islam, S.; Islam, S.; Bonyah, E.; Khan, Z.A. Darcy-Forchheimer flow of MHD nanofluid thin film flow with Joule dissipation and Navier’s partial slip. J. Phys. Commun. 2018, 2. [Google Scholar] [CrossRef]
  13. Jawad, M.; Shah, Z.; Islam, S.; Majdoubi, J.; Tlili, I.; Khan, W.; Khan, I. Impact of Nonlinear Thermal Radiation and the Viscous Dissipation Effect on the Unsteady Three-Dimensional Rotating Flow of Single-Wall Carbon Nanotubes with Aqueous Suspensions. Symmetry 2019, 11, 207. [Google Scholar] [CrossRef]
  14. Khan, N.S.; Gul, T.; Islam, S.; Khan, A.; Shah, Z. Brownian Motion and Thermophoresis Effects on MHD Mixed Convective Thin Film Second-Grade Nanofluid Flow with Hall Effect and Heat Transfer Past a Stretching Sheet. J. Nanofluids 2017, 6, 1–18. [Google Scholar] [CrossRef]
  15. Tahir, F.; Gul, T.; Islam, S.; Shah, Z.; Khan, A.; Khan, W.; Ali, L.; Muradullah. Flow of a Nano-Liquid Film of Maxwell Fluid with Thermal Radiation and Magneto Hydrodynamic Properties on an Unstable Stretching Sheet. J. Nanofluids 2017, 6, 1–10. [Google Scholar] [CrossRef]
  16. Kartini, A.; Zahir, H.; Anuar, I. Mixed convection Jeffrey fluid flow over an exponentially stretching sheet with magnetohydrodynamic effect. AIP Adv. 2016, 6. [Google Scholar] [CrossRef]
  17. Hayat, T.; Hussain, T.; Shehzad, S.A.; Alsaedi, A. Flow of Oldroyd-B fluid with nano particles and thermal radiation. Appl. Math. Mech. Engl. Ed. 2015, 36, 69–80. [Google Scholar] [CrossRef]
  18. Raju, C.S.K.; Sandeep, N.; Gnaneswar, R.M. Effect of nonlinear thermal radiation on 3D Jeffrey fluid flow in the presence of homogeneous–heterogeneous reactions. Int. J. Eng. Res. Afr. 2016, 21, 52–68. [Google Scholar] [CrossRef]
  19. Hayat, T.; Abbas, Z.; Sajid, M. Series solution for the upper convected Maxwell fluid over a porous stretching plate. Phys. Lett. A 2006, 358, 396–403. [Google Scholar] [CrossRef]
  20. Sandeep, N.; Sulochana, C. Dual solutions for unsteady mixed convection flow of MHD micropolar fluid over a stretching/ shrinking sheet with non-uniform heat source/sink. Eng. Sci. Technol. Int. J. 2015, 18. [Google Scholar] [CrossRef]
  21. Nadeem, S.; Akbar, N.S. Influence of haet and mass transfer on a peristaltic motion of a Jeffrey-six constant fluid in an annulus. Heat Mass. Transfer. 2010, 46, 485–493. [Google Scholar] [CrossRef]
  22. Sheikholeslami, M.; Shah, Z.; Shafi, A.; Khan, I.; Itili, I. Uniform magnetic force impact on water based nanofluid thermal behavior in a porous enclosure with ellipse shaped obstacle. Sci. Rep. 2019, 9, 1196. [Google Scholar] [CrossRef] [PubMed]
  23. Sheikholeslami, M.; Shah, Z.; Tassaddiq, A.; Shafee, A.; Khan, I. Application of Electric Field for Augmentation of Ferrofluid Heat Transfer in an Enclosure Including Double Moving Walls. IEEE Access 2019, 7, 21048–21056. [Google Scholar] [CrossRef]
  24. Shah, Z.; Dawar, A.; Islam, S.; Khan, I.; Ching, D.L.C. Darcy-Forchheimer Flow of Radiative Carbon Nanotubes with Microstructure and Inertial Characteristics in the Rotating Frame. Case Stud. Thermal Eng. 2018, 12, 823–832. [Google Scholar] [CrossRef]
  25. Shah, Z.; Islam, S.; Ayaz, H.; Khan, S. Radiative Heat and Mass Transfer Analysis of Micropolar Nanofluid Flow of Casson Fluid between Two Rotating Parallel Plates with Effects of Hall Current. ASME J. Heat Transf. 2019, 141. [Google Scholar] [CrossRef]
  26. Shah, Z.; Islam, S.; Gul, T.; Bonyah, E.; Altaf Khan, M. The Elcerical MHD And Hall Current Impact On Micropolar Nanofluid Flow Between Rotating Parallel Plates. Res. Phys. 2018, 9. [Google Scholar] [CrossRef]
  27. Shah, Z.; Bonyah, E.; Islam, S.; Gul, T. Impact of thermal radiation on electrical mhd rotating flow of carbon nanotubes over a stretching sheet. AIP Adv. 2019, 9. [Google Scholar] [CrossRef]
  28. Shah, Z.; Dawar, A.; Islam, S.; Khan, I.; Ching, D.L.C.; Khan, A.Z. Cattaneo-Christov model for Electrical MagnetiteMicropoler Casson Ferrofluid over a stretching/shrinking sheet using effective thermal conductivity model. Case Stud. Therm. Eng. 2018, 13, 100352. [Google Scholar] [CrossRef]
  29. Shah, Z.; Tassaddiq, A.; Islam, S.; Alklaibi, A.; Khan, I. Cattaneo–Christov Heat Flux Model for Three-Dimensional Rotating Flow of SWCNT and MWCNT Nanofluid with Darcy–Forchheimer Porous Medium Induced by a Linearly Stretchable Surface. Symmetry 2019, 11, 331. [Google Scholar] [CrossRef]
  30. Dawar, A.; Shah, Z.; Islam, S.; Idress, M.; Khan, W. Magnetohydrodynamic CNTs Casson Nanofl uid and Radiative heat transfer in a Rotating Channels. J. Phys. Res. Appl. 2018, 1, 17–32. [Google Scholar]
  31. Khan, A.S.; Nie, Y.; Shah, Z.; Dawar, A.; Khan, W.; Islam, S. Three-Dimensional Nanofluid Flow with Heat and Mass Transfer Analysis over a Linear Stretching Surface with Convective Boundary Conditions. Appl. Sci. 2018, 8, 2244. [Google Scholar] [CrossRef]
  32. Lee, L.L. Boundary layer over a thin needle. Phys. Fluids. 1967, 10, 822–828. [Google Scholar] [CrossRef]
  33. Usha, S.; Ramachandra, R.R. Peristaltic transport of two-layered power-law fluids. J. Biomech. Eng. 1997, 119, 483–488. [Google Scholar] [CrossRef]
  34. Eegunjobi, A.S.; Makinde, O.D. Combined effect of buoyancy force and Navier slip on entropy generation in a vertical porous channel. Entropy 2012, 14, 1028–1044. [Google Scholar] [CrossRef]
  35. Makinde, O.D.; Chinyoka, T. Numerical investigation of buoyancy effects on hydromagnetic unsteady flow through a porous channel with suction/injection. Mech. Sci. Technol. 2013, 27, 1557–1568. [Google Scholar] [CrossRef]
  36. Liao, S.J. An explicit totally analytic approximate solution for Blasius viscous flow problems. Int. J. Non-Linear Mech. 1999, 34, 759–778. [Google Scholar] [CrossRef]
  37. Liao, S.J. On the analytic solution of Magneto hydrodynamic flows of non-Newtonian fluids over a stretching sheet. J. Fluid Mech. 2003, 488, 189–212. [Google Scholar] [CrossRef]
  38. Nasir, S.; Shah, Z.; Islam, S.; Khan, W.; Khan, S.N. Radiative flow of magneto hydrodynamics single-walled carbon nanotube over a convectively heated stretchable rotating disk with velocity slip effect. Adv. Mech. Eng. 2019, 11, 1–11. [Google Scholar] [CrossRef]
  39. Nasir, S.S.; Shah, Z.; Islam, S.; Khan, W.; Bonyah, E.; Ayaz, M.; Khan, A. Three dimensional Darcy-Forchheimer radiated flow of single and multiwall carbon nanotubes over a rotating stretchable disk with convective heat generation and absorption. AIP Adv. 2019, 9. [Google Scholar] [CrossRef]
  40. Khan, A.; Shah, Z.; Islam, S.; Dawar, A.; Bonyah, E.; Ullah, H.; Khan, Z.A. Darcy-Forchheimer flow of MHD CNTs nanofluid radiative thermal behaviour andconvective non uniform heat source/sink in the rotating frame with microstructureand inertial characteristics. AIP Adv. 2018, 8. [Google Scholar] [CrossRef]
  41. Khan, A.; Shah, Z.; Islam, S.; Khan, S.; Khan, W.; Khan, Z.A. Darcy–Forchheimer flow of micropolar nanofluid between two plates in the rotating frame with non-uniform heat generation/absorption. Adv. Mech. Eng. 2018, 10, 1–16. [Google Scholar] [CrossRef]
  42. Feroz, N.; Shah, Z.; Islam, S.; Alzahrani, E.O.; Khan, W. Entropy Generation of Carbon Nanotubes Flow in a Rotating Channel with Hall and Ion-Slip Effect Using Effective Thermal Conductivity Model. Entropy 2019, 21, 52. [Google Scholar] [CrossRef]
  43. Alharbi, S.O.; Dawar, A.; Shah, Z.; Khan, W.; Idrees, M.; Islam, S.; Khan, I. Entropy Generation in MHD Eyring–Powell Fluid Flow over an Unsteady Oscillatory Porous Stretching Surface under the Impact of Thermal Radiation and Heat Source/Sink. Appl. Sci. 2018, 8, 2588. [Google Scholar] [CrossRef]
  44. Muhammad, S.; Ali, G.; Shah, Z.; Islam, S.; Hussain, S.A. The Rotating Flow of Magneto Hydrodynamic Carbon Nanotubes over a Stretching Sheet with the Impact of Non-Linear Thermal Radiation and Heat Generation/Absorption. Appl. Sci. 2018, 8, 482. [Google Scholar] [CrossRef]
  45. Saeed, A.; Islam, S.; Dawar, A.; Shah, Z.; Kumam, P.; Khan, W. Influence of Cattaneo–Christov Heat Flux on MHD Jeffrey, Maxwell, and Oldroyd-B Nanofluids with Homogeneous-Heterogeneous Reaction. Symmetry 2019, 11, 439. [Google Scholar] [CrossRef]
  46. Shang, Y. Analytical Solution For An In-Host Viral Infection Model With Time-Inhomogeneous Rates. Acta Phys. Polon. B 2015, 46, 1567–1577. [Google Scholar] [CrossRef]
  47. Shang, Y. A lie algebra approach to susceptible-infected-susceptible epidemics. Electr. J. Different. Equat. 2012, 233, 1–7. [Google Scholar]
  48. Shang, Y. Lie algebraic discussion for aflnity based information diffusion in social networks. Open Phys. 2017, 15, 705–711. [Google Scholar] [CrossRef]
Figure 1. Geometry of the problem.
Figure 1. Geometry of the problem.
Processes 07 00191 g001
Figure 2. The combined h-curve graph of the velocity and temperature profiles.
Figure 2. The combined h-curve graph of the velocity and temperature profiles.
Processes 07 00191 g002
Figure 3. Variations in velocity field f ( η ) for different values of κ .
Figure 3. Variations in velocity field f ( η ) for different values of κ .
Processes 07 00191 g003
Figure 4. Fluctuations in velocity field f ( η ) for various values of β .
Figure 4. Fluctuations in velocity field f ( η ) for various values of β .
Processes 07 00191 g004
Figure 5. Variations in the temperature gradient θ ( η ) for the various measures of β .
Figure 5. Variations in the temperature gradient θ ( η ) for the various measures of β .
Processes 07 00191 g005
Figure 6. Dissimilarities in f ( η ) for different numbers of Μ .
Figure 6. Dissimilarities in f ( η ) for different numbers of Μ .
Processes 07 00191 g006
Figure 7. Changes in temperature gradient θ ( η ) for diverse measures of Μ .
Figure 7. Changes in temperature gradient θ ( η ) for diverse measures of Μ .
Processes 07 00191 g007
Figure 8. Fluctuations in f ( η ) for several numbers of S .
Figure 8. Fluctuations in f ( η ) for several numbers of S .
Processes 07 00191 g008
Figure 9. Changes in temperature gradient θ ( η ) for diverse measures of S .
Figure 9. Changes in temperature gradient θ ( η ) for diverse measures of S .
Processes 07 00191 g009
Figure 10. Changes in temperature gradient θ ( η ) for diverse measures of q .
Figure 10. Changes in temperature gradient θ ( η ) for diverse measures of q .
Processes 07 00191 g010
Figure 11. Changes in temperature gradient θ ( η ) for diverse measures of R d .
Figure 11. Changes in temperature gradient θ ( η ) for diverse measures of R d .
Processes 07 00191 g011
Figure 12. Changes in temperature gradient θ ( η ) for diverse measures of P r .
Figure 12. Changes in temperature gradient θ ( η ) for diverse measures of P r .
Processes 07 00191 g012
Figure 13. Comparison graph of HAM and numerical solution for f ( η ) .
Figure 13. Comparison graph of HAM and numerical solution for f ( η ) .
Processes 07 00191 g013
Figure 14. Comparison graph of HAM and numerical solution for θ ( η ) .
Figure 14. Comparison graph of HAM and numerical solution for θ ( η ) .
Processes 07 00191 g014
Table 1. Fast convergence of HAM (homotropy analysis method).
Table 1. Fast convergence of HAM (homotropy analysis method).
Solution Approximations f ( 0 ) θ ( 0 )
10.4484000.122519
40.858574−0.282846
70.912994−0.356251
100.920043−0.369590
130.920946−0.372026
160.921062−0.372472
190.921077−0.372554
220.921080−0.372569
250.921080−0.372572
280.921080−0.372572
Table 2. Comparison of HAM and numerical solution for f ( η ) .
Table 2. Comparison of HAM and numerical solution for f ( η ) .
η HAM Solution
f ( η )
Numerical Solution
f ( η )
Absolute Error
0.01.000001.000000.00000
0.1 0.907327 0.911301 3.9 × 10 3
0.2 0.829165 0.835332 6.2 × 10 3
0.3 0.764141 0.770975 6.8 × 10 3
0.4 0.710984 0.717248 6.3 × 10 3
0.5 0.668524 0.673301 4.8 × 10 3
0.6 0.635691 0.638412 2.7 × 10 3
0.7 0.611519 0.611979 4.5 × 10 4
0.8 0.595141 0.593511 1.8 × 10 3
0.9 0.585791 0.582627 7.7 × 10 3
1.0 0.582805 0.579045 3.8 × 10 3
Table 3. Comparison of HAM and numerical solution for θ ( η ) .
Table 3. Comparison of HAM and numerical solution for θ ( η ) .
η HAM Solution
θ ( η )
Numerical Solution
θ ( η )
Absolute Error
0.01.00001.000000.00000
0.1 1.05078 1.04882 1.9 × 10 3
0.2 1.09412 1.09106 3.1 × 10 3
0.3 1.13081 1.12742 3.3 × 10 3
0.4 1.16156 1.15845 3.1 × 10 3
0.5 1.18696 1.18458 2.3 × 10 3
0.6 1.20745 1.20608 1.3 × 10 3
0.7 1.22335 1.22308 2.7 × 10 4
0.8 1.23481 1.23555 7.3 × 10 3
0.9 1.24184 1.24331 1.4 × 10 3
1.0 1.24425 1.2460 1.7 × 10 3
Table 4. Numerical values for the skin friction coefficient for several physical parameters when: λ 1 = 0.1 , λ 2 = 1.0 , λ 3 = 0.1 , S = 0.5 , M = 0.6 , κ = 0.7 , P r = 1.0 , β = 1 .
Table 4. Numerical values for the skin friction coefficient for several physical parameters when: λ 1 = 0.1 , λ 2 = 1.0 , λ 3 = 0.1 , S = 0.5 , M = 0.6 , κ = 0.7 , P r = 1.0 , β = 1 .
S κ M β 1 + λ 1 1 + λ 2 f ( 0 )
Jeffrey Fluid
1 + λ 1 1 + λ 2 f ( 0 )
Maxwell Fluid
1 + λ 1 1 + λ 2 f ( 0 )
Oldroyed-B Fluid
0.50.50.61.0−0.705657−1.40417−1.29373
0.6 −0.690279−1.34383−1.25575
0.7 −0.676699−2.19921−1.23210
0.50.5 −0.705657 −1.40417−1.29373
0.6 −0.719191−1.43646−1.32213
0.7 −0.732514−1.46831−1.35012
0.50.6 −0.705657 −1.40417−1.29373
0.7 −0.725666−1.44510−1.33013
0.8 −0.745259−1.48521−1.36548
0.61.0−0.705657 −1.40417−1.29373
1.1−0.725279−1.469866−1.33341
1.2−0.740967−1.54394−0.268147
1.0−0.705657−1.40417−1.29373
Table 5. Numerical values of the local Nusselt number for several physical parameters, when: λ 1 = 0.1 , λ 2 = 1.0 , λ 3 = 0.1 , S = 0.5 , M = 0.6 , κ = 0.7 , P r = 1.0 , β = 1 , R d = 0.5 , q = 0.5 .
Table 5. Numerical values of the local Nusselt number for several physical parameters, when: λ 1 = 0.1 , λ 2 = 1.0 , λ 3 = 0.1 , S = 0.5 , M = 0.6 , κ = 0.7 , P r = 1.0 , β = 1 , R d = 0.5 , q = 0.5 .
S κ M β R d q θ ( 0 )
Jeffrey Fluid
θ ( 0 )
Maxwell Fluid
θ ( 0 )
Oldroyed-B Fluid
0.50.50.61.00.5 0.5−0.550388−0.590996−0.616292
0.6 −0.545322−0.590885−0.611008
0.7 −0.539440−0.683523−0.605811
0.50.5 −0.550388−0.590996−0.616292
0.6 −0.543228−0.582409−0.608402
0.7 −0.536265−0.574031−0.600680
0.50.6 −0.550388−0.590996−0.616292
0.7 −0.538941−0.580121−0.605984
0.8 −0.527911−0.569593−0.595950
0.61.0 −0.550388−0.590996−0.616292
1.1 −0.551698−0.589585−0.619001
1.2 −0.547039−0.580929−0.376664
1.00.5 −0.550388−0.590996−0.616292
0.6 −0.517715−0.555700−0.579345
0.7 −0.488677−0.524350−0.546542
0.50.5−0.550388−0.590996−0.616292

Share and Cite

MDPI and ACS Style

Khan, A.S.; Nie, Y.; Shah, Z. Impact of Thermal Radiation and Heat Source/Sink on MHD Time-Dependent Thin-Film Flow of Oldroyed-B, Maxwell, and Jeffry Fluids over a Stretching Surface. Processes 2019, 7, 191. https://doi.org/10.3390/pr7040191

AMA Style

Khan AS, Nie Y, Shah Z. Impact of Thermal Radiation and Heat Source/Sink on MHD Time-Dependent Thin-Film Flow of Oldroyed-B, Maxwell, and Jeffry Fluids over a Stretching Surface. Processes. 2019; 7(4):191. https://doi.org/10.3390/pr7040191

Chicago/Turabian Style

Khan, Abdul Samad, Yufeng Nie, and Zahir Shah. 2019. "Impact of Thermal Radiation and Heat Source/Sink on MHD Time-Dependent Thin-Film Flow of Oldroyed-B, Maxwell, and Jeffry Fluids over a Stretching Surface" Processes 7, no. 4: 191. https://doi.org/10.3390/pr7040191

APA Style

Khan, A. S., Nie, Y., & Shah, Z. (2019). Impact of Thermal Radiation and Heat Source/Sink on MHD Time-Dependent Thin-Film Flow of Oldroyed-B, Maxwell, and Jeffry Fluids over a Stretching Surface. Processes, 7(4), 191. https://doi.org/10.3390/pr7040191

Note that from the first issue of 2016, this journal uses article numbers instead of page numbers. See further details here.

Article Metrics

Back to TopTop