Next Article in Journal
A Feasibility Study of Cellulosic Isobutanol Production—Process Simulation and Economic Analysis
Next Article in Special Issue
Numerical Simulation of Darcy–Forchheimer 3D Unsteady Nanofluid Flow Comprising Carbon Nanotubes with Cattaneo–Christov Heat Flux and Velocity and Thermal Slip Conditions
Previous Article in Journal
Buongiorno’s Nanofluid Model over a Curved Exponentially Stretching Surface
Previous Article in Special Issue
Finite Element Simulation of Multiple Slip Effects on MHD Unsteady Maxwell Nanofluid Flow over a Permeable Stretching Sheet with Radiation and Thermo-Diffusion in the Presence of Chemical Reaction
 
 
Font Type:
Arial Georgia Verdana
Font Size:
Aa Aa Aa
Line Spacing:
Column Width:
Background:
Article

Darcy–Forchheimer Radiative Flow of Micropoler CNT Nanofluid in Rotating Frame with Convective Heat Generation/Consumption

1
Department of Mathematics, Faculty of Science, King Abdulaziz University, P.O. Box 80203, Jeddah 21589, Saudi Arabia
2
Center of Excellence in Theoretical and Computational Science (TaCS-CoE), SCL 802 Fixed Point Laboratory, Science Laboratory Building, King Mongkut’s University of Technology Thonburi (KMUTT), 126 Pracha-Uthit Road, Bang Mod, Thrung Khru, Bangkok 10140, Thailand
3
Department of Mathematics, Abdul Wali Khan University, Mardan 23200, Pakistan
4
Department of Information Technology, Faculty of Computing and Information Technology, King Abdulaziz University, P.O. Box 80221, Jeddah 21589, Saudi Arabia
*
Author to whom correspondence should be addressed.
Processes 2019, 7(10), 666; https://doi.org/10.3390/pr7100666
Submission received: 2 September 2019 / Revised: 22 September 2019 / Accepted: 25 September 2019 / Published: 27 September 2019
(This article belongs to the Special Issue Fluid Flow and Heat Transfer of Nanofluids)

Abstract

Since 1991, from the beginning of the carbon nanotube era, this has been a focus point for investigation due to its synthetic and simple nature. Unique properties like good stiffness, high surface area, and resilience of carbon nanotubes (CNTs) have been investigated in many engineering applications such as hydrogen storage, composite material, energy storage, electrochemical super-capacitors, transistors, sensors, and field-emitting devices. Keeping in view these applications, we investigate single and multi-walled CNTs nanofluid flow having water as the base fluid between parallel and horizontal rotating plates with microstructure and inertial properties. The thermal radiation effect is considered for variable phenomenon of heat generation/consumption. The principal equations are first symmetrically transformed to a system of nonlinear coupled ordinary differential equations (ODEs), and then, Homotopy Analysis Technique (HAM) and numerical method are employed for solving these coupled equations. The obtained analytical and numerical results are explained graphically and through different tables. The HAM and numerical results show an excellent agreement. The Skin friction and the Nusselt number are numerically calculated and then analyzed with the already published results, and these results are found to be in agreement with one another. The impact of important parameters are shown graphically.

1. Introduction

The novel progress in nanotechnology has produced a pioneering and inventive kind of heat-carrying liquid called nanoliquids, which are formed by the dispersal of tiny solid particles (1 nm–100 nm) in classical liquids. There are different kinds of classical liquids like bio-fluid, polymeric mixture, numerous oils, lubricants, water, toluene, refrigerants, ethylene glycol, etc. which can carry heat through very short ranges and are broadly used for various engineering and technological purposes. In order to improve the heat transport rate of such liquids, the nanoparticles of different materials are scattered consistently in these classical fluids. Carbon nanotubes (CNTs) are nanomaterials with diameters below 100 nm. CNTs can be refined or produced to retain definite properties such as optical transmissions, electrical conductivity, and gas absorption. CNTs were introduced by Iijima [1]. Different CNTs studies based on structure, usage, characteristics, and shapes can be found in Ciraci et al. [2], Novoselov et al. [3] and Casari et al. [4]. CNTs have significant applications in nanotechnology, sensor devices, storage of gas, air refinement devices, conductive plastics, hard water, and many more. Due to such real-world applications, the investigators have shown great devotion to the field of nanotechnology [5,6,7]. CNTs based on nanoliquid flow over extending sheets has been studied by Imtiaz et al. [8]. Different features of CNTs in chemical reactions and in melting during Darcy–Forchheimer flow has been investigated by Hayat [9]. Mahanthesh and others [10] have inspected the magneto hydro dynamic (MHD) flow of CNT nanofluids by taking into consideration the impact of thermal energy. MHD slip flow with CNTs and convective heat energy transfer has been presented by Raja et al. [11]. Shah et al. [12] has analyzed the Darcy–Forchheimer radiative flow of CNTs in a circulating frame. Jawad et al. [13] examined the nonlinear thermal impact on the three-dimensional CNT flow with viscous dissipation. Sheikholeslami et al. [14,15,16] have numerically treated the nanofluid flow in porous media by considering different channels. Shah et al. [17,18,19] has studied the nanofluid flow by considering the impacts of Brownian motion, thermophoresis, and Hall current between parallel plates. The effects of radiations and heat source/sink on the flow of a nanofluid over a stretching surface has been given by Dawar et al. [20]. A more brief survey on the analysis of stretching surface can be found with different fluid models in Shah et al. [21] and Ameen et al. [22]. The Casson fluid flow with radiation impacts in rotating channels has been examined by Dawar et al. [23]. Sohail et al. [24] has analyzed Ferrofluid flow during the impact of magnet and drug targeting. This fluid is also discussed on the stretching surface by Zeeshan et al. [25]. Further analysis of Ferrofluid with different physical explorations can be found in Majeed et al. [26].
Eringon [27] has given for the first time the clue of micro-polar fluid, and then it was briefly explained by Lukaszewicz [28]. Mohammeadein and Gorla [29] have undertaken the MHD micro-polar fluid flow over a stretching surface. The Darcy–Forchheimer micro-polar nanofluid flow in a rotating frame which results in heat generation/absorption has examined by Khan et al. [30]. Many industrial as well as environmental systems, for example, geo-thermal energy and heat exchanger operating systems, contain the convective heat transfer flow on porous media. For investigation of all the relevant characteristics, Forchheimer [31] has explained the additional relation in momentum. Muskat [32] has called this additional relation the Forchheimer relation. The initial study on Darcian free convention flow has performed by Cheng et al. [33]. Later on, the appropriate similarity alternation has been suggested by Merkin [34]. The general form of the Merkin research was deliberated by Nakayama et al. [35]. The MHD flow of Darcy–Forchheimer nanofluid has been deliberated by Jawad et al. [36]. Further relevant studies can be found in Shah et al. [37], Khan et al. [38], Nasir et al. [39], Islam et al. [40] and Ellahi et al. [41]. Raju et al. [42] has determined the MHD flow of nanofluids over a cone. The uniform magnetic force effect on the thermal behavior of the water-based nanofluid has been explained by Sheikholeslami et al. [43]. Rehman et al. [44] has undertaken the MHD-flow of carbon micro-polar nanofluids in a rotating frame by taking into account the convective heat transfer during the flow. Some interesting studies related to nanofluid non-Newtonian flow field can be found in Hayat et al. [45], Tian et al. [46], Hsiao and Long [47] and Hsiao and Long [48]. The entropy production analysis during the carbon nanotube flows in a rotatory system by considering together the Hall and Ion-slip effects has been given by Feroz et al. [49]. A more brief survey on the entropy generation with different geometrical and analytical explorations can be found in Ellahi et al. [50,51]. Additional information about the relevant study can be explored in Sheikholeslami et al. [43], Ellahi et al. [52], Rehman et al. [44], Feroz et al. [49], Khan et al. [53] and Shah et al. [54].
In the current paper, single and multi-walled (CNT) nanofluid flow by taking water as the base fluid between parallel and horizontal rotating plates with microstructures and inertial properties is studied. Influences of nonlinear heat generation/absorption are presented. The important key factors are described in the output. Homotopy Analysis Technique (HAM) and the NDsolve [55,56,57,58,59,60] technique are used for solution purposes. In Section 2 the problem and geometry is explained. The results obtained are discussed in Section 3. The tables are presented and discussed in Section 4. This work is concluded in Section 5. Homotypic operators and theory are used in the solution section.

2. Problem Statement

Consider the steady flow of micro-polar nanofluid water-based carbon nanotubes among parallel plates. The geometry of the model is chosen such that both the nanofluid and plates are circulating around the y-axis with angular speed ω ¯ , as shown in Figure 1. The separation distance between the two plates is h. Equal and opposite forces are acting on the lower plate along x-axis which can stretch it with linear velocity u = α x , where α > 0 . A Darcy–Forchheimer model is assumed for the porosity. The temperature and concentration at the lower plates are taken as T = T h and C = C h , respectively. Thermal radiation is assumed for irregular suction/injection. After applying these assumptions, the governing equations can be written as follows [9,10,18,19]:
u x + v y + w z = 0 ,
u u x + v u y + 2 w ω ¯ = P x ρ f + ν n f + β ρ f u x x + u y y + β ρ f N y 1 ρ f ν n f B u 1 ρ f E u 2 ,
u v x + v v y = P y ρ f + v x x + v y y + β ρ f N x ,
u w x + v w y 2 u ω ¯ = ν n f + β ρ f w x x + w y y 1 ρ f ν n f B w 1 ρ f E w 2 ,
u T x + v T y + w T z = α * T x x + T y y + T z z + 1 ( ρ c ) p q q y r d ,
u N x + v N y = γ ρ j N x x + N y y 2 β N ρ j + β ρ j v x u y .
In the above equations, ν n f , μ , ρ f , N, ω ¯ , β , B, E = C b ( b x ) 1 / 2 , C b , T, α * , D B , D T , c p , τ * , and C represent kinematic viscosity, dynamic viscosity, density, micro rotational velocity, angular velocity, vertex viscosity, magnetic field strength, variable inertia coefficient, drag coefficient, temperature, thermal diffusivity, Brownian diffusion coefficient, thermophoretic diffusion coefficient, specific heat, fraction between nanofluid and heat capacity, and concentration of nanoparticles, respectively. The thermal radiation is mathematically defined as q r d = 16 Θ * 3 k * T 4 y . After Taylor series expansion [12,18], we get
q r d y = 16 T 0 3 Θ * 3 k * T 2 2 y .
The term q in Equation (5) is used for the irregular heat generation/consumption and is given as follows:
q = β u x v I ( T T h ) f ( ξ ) + ( T T h ) J ,
where I represents the temperature coefficient and J represents the space dependence of heat sink and source. The necessary boundary restriction are given by
u = α x , v = w = 0 , T = T h , N = u y k at y = 0 , u = v = w = 0 , T = T 0 , N = u y k at y = h .
For the CNT nanofluids, the following model is presented by Xue [61].
μ n f = μ f ( 1 φ ) 2.5 , ν n f = μ n f ρ n f , α n f = μ n f ( ρ c p ) n f , ρ n f = ( 1 φ ) ρ f + φ ρ C N T , ( ρ c p ) n f = ( ρ c p ) f ( 1 φ ) + ( ρ c p ) C N T ( ρ c p ) f φ , k n f k f = 1 φ + 2 φ k C N T k C N T k f l n k C N T + k f 2 k f 1 φ + 2 φ k f k C N T k f l n k C N T + k f 2 k f .
Introducing the new transformation [18,19], we get
u = α x f ( ξ ) , v = α h f ( ξ ) , N = α x G ( ξ ) h , w = α x g ( ξ ) , θ ( ξ ) = T T h T 0 T h , ξ = y h .
Using Equation (10) in Equations (2)–(9), we get
ξ 1 1 ξ 2 + P 1 f i ν + P 1 G γ f 2 E r f f Re ( f f f f ) 2 N r g = 0 ,
ξ 1 1 ξ 2 + P 1 g γ g E r g 2 + Re ( f g g f ) + 2 N r f = 0 ,
1 ξ 1 ξ 3 + 4 3 Rd θ ( I 1 f + J 1 θ ) = 0 ,
ξ 1 P 2 G P 1 ( 2 G + f ) P 3 Re ( G f G f ) = 0 .
We have used the following symbols for simplification:
ξ 1 = ( 1 φ ) + ( ρ c p ) C N T ( ρ c p ) f φ , ξ 2 = ( 1 φ ) 2.5 , ξ 3 = k n f k f
f = g = 0 , f = θ = φ = 1 , G = k f , at ξ = 0 , f = g = θ = φ = 0 , f = δ = 0 , G = k f , at ξ = 1 .
In the above equations, the different parameters are defined as Rotation parameter ( N r = 2 ω ¯ h 2 ν n f ), permeability ( γ = h 2 ν n f a B ), coefficient of inertia ( E r = h 2 C b B 0.5 ρ ), coupling ( P 1 = β μ ), transpiration parameter ( δ = ν 0 h ), viscosity gradient ( P 2 = ν s ν n f h 2 ), Reynold number ( Re = a h 2 ν n f ), micro-polar fluid constant ( P 3 = j h 2 ), volume friction of nanofluid ( φ ), thermal conductivity (k), and thermal radiation ( Rd = 4 T 0 3 η ( ρ c p ) f β K ). Here, I 1 and J 1 signify temperature- and space-dependent coefficients heat generation and absorption, where at I 1 > 0 and J 1 > 0 , they link to inner heat source and, at I 1 < 0 and J 1 < 0 , they correspond to inner heat sink. The skin friction ( C f ) and Nusselt number ( N u ) are defined as follows:
C f = ξ 1 1 ξ 2 + P 1 f ( 0 ) + P 1 G ( 0 ) , Nu = ξ 3 + 4 3 Rd θ ( 0 ) .

3. Results and Discussion

This section is devoted to studying graphically the effects produced by different physical variables on profiles of velocity components ( f ( ξ ) , g ( ξ ) , G ( ξ ) ) and temperature ( θ ( ξ ) ) for single-walled carbon nanotubes (SWCNTs) and multi-walled carbon nanotubes (MWCNTs). These parameters are nanoparticle volume fraction φ , permeability parameter γ , rotation parameter N r , Reynolds number Re, inertial coefficient E r , thermal radiation parameter R d , coupling P 1 , temperature-dependent coefficient J 1 , and space-dependent parameter I 1 .
The dependence of f ( ξ ) as well as g ( ξ ) on φ is shown in Figure 2. From Figure 2a, it is clear that, with the escalating φ , f ( ξ ) shows an increasing behavior in the domain 0.0 ξ < 0.5 , whereas it displays a reducing trend in the zone 0.5 < ξ 1.0 . It is further evident that the increasing (decreasing) trend for SWCNTs is more rapid as compared to MWCNTs. Figure 2b shows that g ( ξ ) varies inversely with respect to ξ up to about ξ = 0.4 and, beyond this value, shows an increase at fixed φ . By increasing the value of φ , g ( ξ ) increases for both types of CNTs. Furthermore, the rate of variation of g ( ξ ) is larger for MWCNTs as compared to SWCNTs. The effect of γ on f ( ξ ) as well as g ( ξ ) is depicted in Figure 2c,d, respectively. It is noted that f ( ξ ) displays dual behavior with the increasing γ . The profile of f ( ξ ) escalates in the zone 0 ξ 0.5 , whereas it declines beyond it, that is, in the range 0.5 < ξ 1 , with the higher γ for both kinds of CNTs. From Figure 2d, it is clear that g ( ξ ) enhances as we increase φ to larger values for both kinds of CNTs.
The dependence of the functions f ( ξ ) as well as g ( ξ ) on R e is depicted in Figure 3a,b. We observe from Figure 3a,c that f ( ξ ) shows the same dual behaviour as in the case of Figure 2a,c. The function f ( ξ ) increases in the range 0 ξ 0.5 , whereas it reduces in the range 0.5 ξ 1.0 with larger R e . It is apparent from Figure 3b that g ( ξ ) shows an increasing and measurable behaviour with respect to larger R e only for intermediate values of ξ . The dependence of f ( ξ ) and g ( ξ ) on E r is depicted in the Figure 3c,d, respectively. The angular form of Newton’s 2nd law indicates that the moment of inertia of a rotating system, which is the ratio of the net torque and angular acceleration, is a constant of motion. The higher values of inertial coefficient causes the fluid velocity to decline. The dual behavior is observed in both figures with the escalation in the inertial coefficient. This dual trend is a result of the frame rotation.
The influence of N r on both f ( ξ ) as well as g ( ξ ) is displayed by Figure 4a,b. Within the restricted region, the escalating values of N r first result in a decrease and, after that, cause a growing behavior in the profile of f ( ξ ) . In the 0 ξ 0.6 region, the increasing N r displays a declining impact of f ( ξ ) whereas, in the range 0.6 ξ 1.0 , shows a rising impact of f ( ξ ) , as shown in Figure 4a. The decreasing impact of g ( ξ ) with the increasing values N r is evident from Figure 4b for both kinds of CNTs. Figure 4c,d demonstrates the effect produced by P 1 on profiles of both f ( ξ ) as well as g ( ξ ) . The coupling parameter defines the strength of the applied force in an interaction. It determines the strength of the interaction part with respect to the kinetic part. The escalating P 1 shows a dual behavior in the f ( ξ ) profile. f ( ξ ) increases in the domain 0 ξ 0.55 , while it reduces in the zone 0.55 ξ 1.0 for SWCNTs as well as for MWCNTs. The rate of variation is faster for SWCNTs in comparison with MWCNTs. The dependence of g ( ξ ) on P 1 is plotted in Figure 4d. This graph again depicts that g ( ξ ) changes at a faster rate with increasing P 1 for SWCNTs.
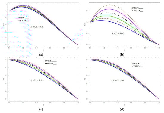
The influence of φ on θ ( ξ ) is displayed in the Figure 5a. The rising values of φ shows an increasing trend in the θ ( ξ ) profile up to ξ = 0.8 , and then, the different curves start to overlap for both types of CNTs. The effect of R d on θ ( ξ ) is plotted in Figure 5b. The thermal radiations have a useful role in the heat energy transformation during the fluid flow process. The increasing thermal radiation values enhance the boundary layer flow rate, which results in the fluid temperature rising. Therefore, the temperature function θ ( ξ ) profile enhances for the higher values of R d . Figure 5c,d depicts the influence of J 1 and I 1 on the temperature function θ ( ξ ) . Both figures display the increasing effect of J 1 and I 1 on θ ( ξ ) .
The effect of φ on velocity function G ( ξ ) is plotted in Figure 6a. The higher values of φ escalates the velocity function G ( ξ ) . Similar impacts of P 1 and R e on velocity function G ( ξ ) can be seen in Figure 6b,c, respectively.
The comparison between HAM results and numerical computations for the velocity and temperature profiles are displayed in Figure 7a–d. We see that the results obtained from analytical calculations and numerical computations are in excellent agreement for the undertaken study.

4. Tables Discussion

The comparison between analytical and numerical results for velocities, temperature, and concentration profiles is given in Table 1, Table 2, Table 3 and Table 4. From these tables, an excellent agreement between HAM and the numerical technique (ND-Solve Techniques) can be seen. The impact of physical quantities like C f x , C f y , and N u x for SWCNTs as well as for MWCNTs is shown in Table 5 and Table 6. The results obtained in the present study are then compared to the already published results [56]. It is found that both the present and published results are in agreement with each other.
In Table 5, C f x and C f y are calculated for SWCNTs for a strong K = 0 (weak K = 0.5 ) concentration. It is observed that greater estimations of P 1 , E r , and P 2 reduces C f x and C f y for both the K = 0 and K = 0.5 cases while the opposite effect is found for γ , N r , and φ . In Table 6, C f x and C f y are calculated for MWCNTs for both K = 0 and K = 0.5 . It is evident that higher estimations of P 1 , E r , and P 2 increase C f x and C f y for both K = 0 and K = 0.5 while opposite results are found for γ , N r , and φ .
In Table 7, the Nusselt number N u x for SWCNTs together with K = 0 and K = 0.5 are calculated. It is observed that higher estimations of P 1 increase N u x for ( K = 0 ) while it decreases N u x for ( K = 0.5 ) , whereas increasing P 2 reduces N u x in the case of ( K = 0 ) and enhances it for ( K = 0.5 ) . Furthermore, increasing values of J 1 , I 1 , and R d enhances N u x for ( K = 0 ) while it reduces N u x for ( K = 0.5 ) . A higher value of φ reduces the heat flux. In Table 8, the Nusselt number N u x for MWCNTs together with ( K = 0 ) and ( K = 0.5 ) are calculated. Similar effects are observed as for that of Table 7 for MWCNTS in Table 8.
The effect of P r (Prandtl number) on N u x (Nusselt number) in the case of φ = 0 (regular fluid) is displayed in Table 9. We see that the present results agree with the published results of Shah et al. [43,56]. In Table 10, some precarious physical characteristics of the CNTs are tabulated. Table 11 displays the impact of φ on the thermal conductivity k n f . It is apparent that, for CNTs, the thermal conductivity changes with the increasing φ .

5. Conclusions

The three-dimensional flow of Darcy–Forchheimer micro-polar nanofluid water-based carbon nanotubes in a rotatory frame has been examined in this research work. The impacts of rotation parameter, permeability parameter, coefficient of inertia, coupling parameter, viscosity gradient parameter, Reynold number, and thermal radiation are emphasized in this work. The fluid flow is studied under the assumptions of weak and strong concentrations. The key points are given as below:
  • The upsurge in R e , N r , P 1 , φ , and E r show dual behavior in the profile of f ( ξ ) .
  • The upsurge in E r exhibits dual behavior in the g ( ξ ) profile.
  • The higher φ , γ , and R e values escalate g ( ξ ) .
  • The higher N r and P 1 values decline the g ( ξ ) profile.
  • The larger φ , P 1 , and R e values cause an increase in G ( ξ ) .
  • The higher φ , R d , J 1 , and I 1 values result in a rise in the θ ( ξ ) profile.
  • The upsurges in P 1 , E r , and γ reduce C f for SWCNTs along the x and y-directions for both strong and weak concentrations, while it increases with the escalation in N r .
  • The higher values of P 1 , J 1 , I 1 , and R d increase the Nusselt number N u x for strong concentrations while reduces it for weak concentrations for both SWCNTs and MWCNTs.

Author Contributions

Conceptualization, E.O.A. and Z.S.; methodology, W.A.; software, Z.S.; validation, E.O.A., Z.S., and M.Z.U.; formal analysis, E.O.A.; investigation, Z.S.; resources, M.Z.U.; data curation, W.A.; writing—original draft preparation, M.Z.U.; writing—review and editing, E.O.A.; visualization, Z.S.; supervision, E.O.A.

Acknowledgments

This project was funded by the Deanship of Scientific Research (DSR) at King Abdulaziz University, Jeddah under grant no. (RG-85-130-38). The authors, therefore, gratefully acknowledge DSR for technical and financial support.

Conflicts of Interest

The authors declare no conflict of interest.

References

  1. Iijima, S. Helical microtubules of graphitic carbon. Nature 1991, 354, 56. [Google Scholar] [CrossRef]
  2. Ciraci, S.; Dag, S.; Yildirim, T.; Gülseren, O.; Senger, R. Functionalized carbon nanotubes and device applications. J. Phys. Condens. Matter. 2004, 16, R901. [Google Scholar] [CrossRef]
  3. Novoselov, K.S.; Geim, A.K.; Morozov, S.V.; Jiang, D.; Zhang, Y.; Dubonos, S.V.; Grigorieva, I.V.; Firsov, A.A. Electric field effect in atomically thin carbon films. Science 2004, 306, 666–669. [Google Scholar] [CrossRef] [PubMed]
  4. Casari, C.S.; Tommasini, M.; Tykwinski, R.R.; Milani, A. Carbon-atom wires: 1-D systems with tunable properties. Nanoscale 2016, 8, 4414–4435. [Google Scholar] [CrossRef] [PubMed]
  5. Ellahi, R.; Zeeshan, A.; Hussain, F.; Abbas, T. Two-Phase Couette Flow of Couple Stress Fluid with Temperature Dependent Viscosity Thermally Affected by Magnetized Moving Surface. Symmetry 2019, 11, 647. [Google Scholar] [CrossRef]
  6. Marin, M.; Vlase, S.; Ellahi, R.; Bhatti, M. On the Partition of Energies for the Backward in Time Problem of Thermoelastic Materials with a Dipolar Structure. Symmetry 2019, 11, 863. [Google Scholar] [CrossRef]
  7. Prakash, J.; Tripathi, D.; Triwari, A.; Sait, S.M.; Ellahi, R. Peristaltic Pumping of Nanofluids through a Tapered Channel in a Porous Environment: Applications in Blood Flow. Symmetry 2019, 11, 868. [Google Scholar] [CrossRef]
  8. Imtiaz, M.; Hayat, T.; Alsaedi, A.; Ahmad, B. Convective flow of carbon nanotubes between rotating stretchable disks with thermal radiation effects. Int. J. Heat Mass Transf. 2016, 101, 948–957. [Google Scholar] [CrossRef]
  9. Hayat, T.; Haider, F.; Muhammad, T.; Alsaedi, A. On Darcy-Forchheimer flow of carbon nanotubes due to a rotating disk. Int. J. Heat Mass Transf. 2017, 112, 248–254. [Google Scholar] [CrossRef]
  10. Mahanthesh, B.; Gireesha, B.; Shashikumar, N.; Shehzad, S. Marangoni convective MHD flow of SWCNT and MWCNT nanoliquids due to a disk with solar radiation and irregular heat source. Phys. E Low-Dimens. Syst. Nanostruct. 2017, 94, 25–30. [Google Scholar] [CrossRef]
  11. Raja, M.A.Z.; Ahmed, T.; Shah, S.M. Intelligent computing strategy to analyze the dynamics of convective heat transfer in MHD slip flow over stretching surface involving carbon nanotubes. J. Taiwan Inst. Chem. Eng. 2017, 80, 935–953. [Google Scholar] [CrossRef]
  12. Shah, Z.; Dawar, A.; Islam, S.; Khan, I.; Ching, D.L.C. Darcy-Forchheimer flow of radiative carbon nanotubes with microstructure and inertial characteristics in the rotating frame. Case Stud. Therm. Eng. 2018, 12, 823–832. [Google Scholar] [CrossRef]
  13. Jawad, M.; Shah, Z.; Islam, S.; Majdoubi, J.; Tlili, I.; Khan, W.; Khan, I. Impact of nonlinear thermal radiation and the viscous dissipation effect on the unsteady three-dimensional rotating flow of single-wall carbon nanotubes with aqueous suspensions. Symmetry 2019, 11, 207. [Google Scholar] [CrossRef]
  14. Kandelousi, M.S. KKL correlation for simulation of nanofluid flow and heat transfer in a permeable channel. Phys. Lett. A 2014, 378, 3331–3339. [Google Scholar] [CrossRef]
  15. Sheikholeslami, M. Numerical simulation of magnetic nanofluid natural convection in porous media. Phys. Lett. A 2017, 381, 494–503. [Google Scholar] [CrossRef]
  16. Sheikholeslami, M.; Shamlooei, M. Magnetic source influence on nanofluid flow in porous medium considering shape factor effect. Phys. Lett. A 2017, 381, 3071–3078. [Google Scholar] [CrossRef]
  17. Shah, Z.; Gul, T.; Islam, S.; Khan, M.A.; Bonyah, E.; Hussain, F.; Mukhtar, S.; Ullah, M. Three dimensional third grade nanofluid flow in a rotating system between parallel plates with Brownian motion and thermophoresis effects. Results Phys. 2018, 10, 36–45. [Google Scholar] [CrossRef]
  18. Shah, Z.; Islam, S.; Ayaz, H.; Khan, S. Radiative heat and mass transfer analysis of micropolar nanofluid flow of Casson fluid between two rotating parallel plates with effects of Hall current. J. Heat Transf. 2019, 141, 022401. [Google Scholar] [CrossRef]
  19. Shah, Z.; Islam, S.; Gul, T.; Bonyah, E.; Khan, M.A. The electrical MHD and hall current impact on micropolar nanofluid flow between rotating parallel plates. Results Phys. 2018, 9, 1201–1214. [Google Scholar] [CrossRef]
  20. Dawar, A.; Shah, Z.; Idrees, M.; Khan, W.; Islam, S.; Gul, T. Impact of thermal radiation and heat source/sink on Eyring–Powell fluid flow over an unsteady oscillatory porous stretching surface. Math. Comput. Appl. 2018, 23, 20. [Google Scholar] [CrossRef]
  21. Ullah, A.; Alzahrani, E.; Shah, Z.; Ayaz, M.; Islam, S. Nanofluids thin film flow of Reiner-Philippoff fluid over an unstable stretching surface with Brownian motion and thermophoresis effects. Coatings 2019, 9, 21. [Google Scholar] [CrossRef]
  22. Ameen, I.; Shah, Z.; Islam, S.; Nasir, S.; Khan, W.; Kumam, P.; Thounthong, P. Hall and Ion-Slip Effect on CNTS Nanofluid over a Porous Extending Surface through Heat Generation and Absorption. Entropy 2019, 21, 801. [Google Scholar] [CrossRef]
  23. Dawar, A.; Shah, Z.; Islam, S.; Idress, M.; Khan, W. Magnetohydrodynamic CNTs Casson Nanofl uid and Radiative heat transfer in a Rotating Channels. J. Phys. Res. Appl. 2018, 1, 017–032. [Google Scholar]
  24. Sohail, A.; Fatima, M.; Ellahi, R.; Akram, K.B. A videographic assessment of Ferrofluid during magnetic drug targeting: An application of artificial intelligence in nanomedicine. J. Mol. Liq. 2019, 285, 47–57. [Google Scholar] [CrossRef]
  25. Zeeshan, A.; Majeed, A.; Ellahi, R. Effect of magnetic dipole on viscous ferro-fluid past a stretching surface with thermal radiation. J. Mol. Liq. 2016, 215, 549–554. [Google Scholar] [CrossRef]
  26. Majeed, A.; Zeeshan, A.; Ellahi, R. Unsteady ferromagnetic liquid flow and heat transfer analysis over a stretching sheet with the effect of dipole and prescribed heat flux. J. Mol. Liq. 2016, 223, 528–533. [Google Scholar] [CrossRef]
  27. Eringen, A.C. Theory of micropolar fluids. J. Math. Mech. 1966, 16, 1–18. [Google Scholar] [CrossRef]
  28. Lukaszewicz, G. Micropolar Fluids: Theory and Applications; Springer: Berlin/Heidelberg, Germany, 1999. [Google Scholar]
  29. Mohammadein, A.; Gorla, R. Effects of transverse magnetic field on mixed convection in a micropolar fluid on a horizontal plate with vectored mass transfer. Acta Mech. 1996, 118, 1–12. [Google Scholar] [CrossRef]
  30. Khan, A.; Shah, Z.; Islam, S.; Khan, S.; Khan, W.; Khan, A.Z. Darcy–Forchheimer flow of micropolar nanofluid between two plates in the rotating frame with non-uniform heat generation/absorption. Adv. Mech. Eng. 2018, 10. [Google Scholar] [CrossRef]
  31. Forchheimer, P. Wasserbewegung durch Boden. Z. Ver. German Ing. 1901, 45, 1782–1788. [Google Scholar]
  32. Muskat, M. The Flow of Homogeneous Fluids through Porous Media; J.W. Edwards, Inc.: Ann Arbor, MI, USA, 1946. [Google Scholar]
  33. Cheng, P.; Minkowycz, W. Free convection about a vertical flat plate embedded in a porous medium with application to heat transfer from a dike. J. Geophys. Res. 1977, 82, 2040–2044. [Google Scholar] [CrossRef]
  34. Merkin, J. Free convection boundary layers on axi-symmetric and two-dimensional bodies of arbitrary shape in a saturated porous medium. Int. J. Heat Mass Transf. 1979, 22, 1461–1462. [Google Scholar] [CrossRef]
  35. Nakayama, A.; Koyama, H. Free convective heat transfer over a nonisothermal body of arbitrary shape embedded in a fluid-saturated porous medium. J. Heat Transf. 1987, 109, 125–130. [Google Scholar] [CrossRef]
  36. Jawad, M.; Shah, Z.; Islam, S.; Bonyah, E.; Khan, A.Z. Darcy-Forchheimer flow of MHD nanofluid thin film flow with Joule dissipation and Navier’s partial slip. J. Phys. Commun. 2018, 2, 115014. [Google Scholar] [CrossRef]
  37. Khan, N.S.; Zuhra, S.; Shah, Z.; Bonyah, E.; Khan, W.; Islam, S. Slip flow of Eyring-Powell nanoliquid film containing graphene nanoparticles. AIP Adv. 2018, 8, 115302. [Google Scholar] [CrossRef]
  38. Khan, A.; Nie, Y.; Shah, Z.; Dawar, A.; Khan, W.; Islam, S. Three-dimensional nanofluid flow with heat and mass transfer analysis over a linear stretching surface with convective boundary conditions. Appl. Sci. 2018, 8, 2244. [Google Scholar] [CrossRef]
  39. Nasir, S.; Islam, S.; Gul, T.; Shah, Z.; Khan, M.A.; Khan, W.; Khan, A.Z.; Khan, S. Three-dimensional rotating flow of MHD single wall carbon nanotubes over a stretching sheet in presence of thermal radiation. Appl. Nanosci. 2018, 8, 1361–1378. [Google Scholar] [CrossRef]
  40. Dawar, A.; Shah, Z.; Kumam, P.; Khan, W.; Islam, S. Influence of MHD on Thermal Behavior of Darcy-Forchheimer Nanofluid Thin Film Flow over a Nonlinear Stretching Disc. Coatings 2019, 9, 446. [Google Scholar] [CrossRef]
  41. Ellahi, R.; Sait, S.M.; Shehzad, N.; Mobin, N. Numerical Simulation and Mathematical Modeling of Electro-Osmotic Couette–Poiseuille Flow of MHD Power-Law Nanofluid with Entropy Generation. Symmetry 2019, 11, 1038. [Google Scholar] [CrossRef]
  42. Raju, C.; Sandeep, N.; Malvandi, A. Free convective heat and mass transfer of MHD non-Newtonian nanofluids over a cone in the presence of non-uniform heat source/sink. J. Mol. Liq. 2016, 221, 108–115. [Google Scholar] [CrossRef]
  43. Sheikholeslami, M.; Shah, Z.; Shafee, A.; Khan, I.; Tlili, I. Uniform magnetic force impact on water based nanofluid thermal behavior in a porous enclosure with ellipse shaped obstacle. Sci. Rep. 2019, 9, 1196. [Google Scholar] [CrossRef] [PubMed]
  44. Rehman, F.; Khan, M.I.; Sadiq, M.; Malook, A. MHD flow of carbon in micropolar nanofluid with convective heat transfer in the rotating frame. J. Mol. Liq. 2017, 231, 353–363. [Google Scholar] [CrossRef]
  45. Hayat, T.; Sajjad, R.; Muhammad, T.; Alsaedi, A.; Ellahi, R. On MHD nonlinear stretching flow of Powell–Eyring nanomaterial. Results Phys. 2017, 7, 535–543. [Google Scholar] [CrossRef]
  46. Tian, X.Y.; Li, B.W.; Hu, Z.M. Convective stagnation point flow of a MHD non-Newtonian nanofluid towards a stretching plate. Int. J. Heat Mass Transf. 2018, 127, 768–780. [Google Scholar] [CrossRef]
  47. Hsiao, K.L. Combined electrical MHD heat transfer thermal extrusion system using Maxwell fluid with radiative and viscous dissipation effects. Appl. Therm. Eng. 2017, 112, 1281–1288. [Google Scholar] [CrossRef]
  48. Hsiao, K.L. Micropolar nanofluid flow with MHD and viscous dissipation effects towards a stretching sheet with multimedia feature. Int. J. Heat Mass Transf. 2017, 112, 983–990. [Google Scholar] [CrossRef]
  49. Feroz, N.; Shah, Z.; Islam, S.; Alzahrani, E.O.; Khan, W. Entropy generation of carbon nanotubes flow in a rotating channel with hall and ion-slip effect using effective thermal conductivity model. Entropy 2019, 21, 52. [Google Scholar] [CrossRef]
  50. Ellahi, R.; Raza, M.; Akbar, N.S. Study of peristaltic flow of nanofluid with entropy generation in a porous medium. J. Porous Media 2017, 20, 461–478. [Google Scholar] [CrossRef]
  51. Esfahani, J.A.; Akbarzadeh, M.; Rashidi, S.; Rosen, M.; Ellahi, R. Influences of wavy wall and nanoparticles on entropy generation over heat exchanger plat. Int. J. Heat Mass Transf. 2017, 109, 1162–1171. [Google Scholar] [CrossRef]
  52. Ellahi, R.; Zeeshan, A.; Hussain, F.; Asadollahi, A. Peristaltic blood flow of couple stress fluid suspended with nanoparticles under the influence of chemical reaction and activation energy. Symmetry 2019, 11, 276. [Google Scholar] [CrossRef]
  53. Khan, N.S.; Shah, Z.; Islam, S.; Khan, I.; Alkanhal, T.A.; Tlili, I. Entropy generation in MHD mixed convection non-Newtonian second-grade nanoliquid thin film flow through a porous medium with chemical reaction and stratification. Entropy 2019, 21, 139. [Google Scholar] [CrossRef]
  54. Khan, A.S.; Nie, Y.; Shah, Z. Impact of thermal radiation and heat source/sink on MHD time-dependent thin-film flow of Oldroyed-B, Maxwell, and Jeffry Fluids over a stretching surface. Processes 2019, 7, 191. [Google Scholar] [CrossRef]
  55. Nasir, S.; Shah, Z.; Islam, S.; Bonyah, E.; Gul, T. Darcy Forchheimer nanofluid thin film flow of SWCNTs and heat transfer analysis over an unsteady stretching sheet. AIP Adv. 2019, 9, 015223. [Google Scholar] [CrossRef]
  56. Shah, Z.; Bonyah, E.; Islam, S.; Gul, T. Impact of thermal radiation on electrical mhd rotating flow of carbon nanotubes over a stretching sheet. AIP Adv. 2019, 9, 015115. [Google Scholar] [CrossRef]
  57. Ali, A.; Sulaiman, M.; Islam, S.; Shah, Z.; Bonyah, E. Three-dimensional magnetohydrodynamic (MHD) flow of Maxwell nanofluid containing gyrotactic micro-organisms with heat source/sink. AIP Adv. 2018, 8, 085303. [Google Scholar] [CrossRef]
  58. Shah, Z.; Bonyah, E.; Islam, S.; Khan, W.; Ishaq, M. Radiative MHD thin film flow of Williamson fluid over an unsteady permeable stretching sheet. Heliyon 2018, 4, e00825. [Google Scholar] [CrossRef] [PubMed]
  59. Ullah, A.; Shah, Z.; Kumam, P.; Ayaz, M.; Islam, S.; Jameel, M. Viscoelastic MHD Nanofluid Thin Film Flow over an Unsteady Vertical Stretching Sheet with Entropy Generation. Processes 2019, 7, 262. [Google Scholar] [CrossRef]
  60. Shah, Z.; Ullah, A.; Bonyah, E.; Ayaz, M.; Islam, S.; Khan, I. Hall effect on Titania nanofluids thin film flow and radiative thermal behavior with different base fluids on an inclined rotating surface. AIP Adv. 2019, 9, 055113. [Google Scholar] [CrossRef]
  61. Xue, Q. Model for thermal conductivity of carbon nanotube-based composites. Phys. B Condens. Matter 2005, 368, 302–307. [Google Scholar] [CrossRef]
Figure 1. Geometrical sketch of the phenomenon.
Figure 1. Geometrical sketch of the phenomenon.
Processes 07 00666 g001
Figure 2. (a) Variation in f ( ξ ) with different values of φ ; (b) Variation in g ( ξ ) with different values of φ ; (c) Impact of γ on f ( ξ ) ; (d) Impact of γ on g ( ξ )
Figure 2. (a) Variation in f ( ξ ) with different values of φ ; (b) Variation in g ( ξ ) with different values of φ ; (c) Impact of γ on f ( ξ ) ; (d) Impact of γ on g ( ξ )
Processes 07 00666 g002
Figure 3. (a) Impact of R e on f ( ξ ) ; (b) Impact of R e on g ( ξ ) ; (c) Impact of E r on f ( ξ ) ; (d) Impact of E r on g ( ξ )
Figure 3. (a) Impact of R e on f ( ξ ) ; (b) Impact of R e on g ( ξ ) ; (c) Impact of E r on f ( ξ ) ; (d) Impact of E r on g ( ξ )
Processes 07 00666 g003
Figure 4. (a) Impact of N r on f ( ξ ) ; (b) Impact of N r on g ( ξ ) ; (c) Impact of P 1 on f ( ξ ) ; (d) Impact of P 1 on g ( ξ )
Figure 4. (a) Impact of N r on f ( ξ ) ; (b) Impact of N r on g ( ξ ) ; (c) Impact of P 1 on f ( ξ ) ; (d) Impact of P 1 on g ( ξ )
Processes 07 00666 g004
Figure 5. (a) Variations in θ ( ξ ) under different values of φ ; (b) Impact of R d on θ ( ξ ) ; (c)Impact of J 1 on θ ( ξ ) ; (d) Impact of I 1 on θ ( ξ )
Figure 5. (a) Variations in θ ( ξ ) under different values of φ ; (b) Impact of R d on θ ( ξ ) ; (c)Impact of J 1 on θ ( ξ ) ; (d) Impact of I 1 on θ ( ξ )
Processes 07 00666 g005
Figure 6. (a) Impact of φ on G ( ξ ) ; (b) Variations in G ( ξ ) under different values of P 1 ; (c) Impact of R e on G ( ξ )
Figure 6. (a) Impact of φ on G ( ξ ) ; (b) Variations in G ( ξ ) under different values of P 1 ; (c) Impact of R e on G ( ξ )
Processes 07 00666 g006
Figure 7. (a) Homotopy Analysis Method and Numerical method comparasion for f ( ξ ) ; (b) Homotopy Analysis Method and Numerical method comparasion for g ( ξ ) ; (c) Homotopy Analysis Method and Numerical method comparasion for θ ( ξ ) ; (d) Homotopy Analysis Method and Numerical method comparasion for G ( ξ )
Figure 7. (a) Homotopy Analysis Method and Numerical method comparasion for f ( ξ ) ; (b) Homotopy Analysis Method and Numerical method comparasion for g ( ξ ) ; (c) Homotopy Analysis Method and Numerical method comparasion for θ ( ξ ) ; (d) Homotopy Analysis Method and Numerical method comparasion for G ( ξ )
Processes 07 00666 g007
Table 1. Comparision of HAM and Numerical results for f ( ξ ) .
Table 1. Comparision of HAM and Numerical results for f ( ξ ) .
ξ HAMNumerical SolutionAbsolute Error
0.00.0000000.0000000.000000
0.20.2323680.2323746.268670 × 10 6
0.40.4967770.4967890.000012
0.60.7447370.7447470.000010
0.80.9283190.9283233.595600 × 10 6
1.01.0000001.0000006.712830 × 10 6
Table 2. Comparision of HAM and Numerical results for f ( ξ ) .
Table 2. Comparision of HAM and Numerical results for f ( ξ ) .
ξ HAMNumerical SolutionAbsolute Error
0.00.0000000.0000000.000000
0.20.0122720.0122721.023590 × 10 7
0.40.0187720.0187721.820060 × 10 8
0.60.0177800.0177801.174780 × 10 7
0.80.0107850.0107851.308180 × 10 7
1.0−4.727530 × 10 18 3.064270 × 10 9 3.064270 × 10 9
Table 3. Comparision of HAM and Numerical results for f ( ξ ) .
Table 3. Comparision of HAM and Numerical results for f ( ξ ) .
ξ HAMNumerical SolutionAbsolute Error
0.01.0000001.0000000.000000
0.20.7696820.7695823.824810 × 10 7
0.40.5530680.5530685.869700 × 10 8
0.60.3542310.3542314.542170 × 10 7
0.80.1718950.1718964.981640 × 10 7
1.03.243540 × 10 17 −1.553930 × 10 8 1.553930 × 10 9
Table 4. Comparision of HAM and Numerical results for f ( ξ ) .
Table 4. Comparision of HAM and Numerical results for f ( ξ ) .
ξ HAMNumerical SolutionAbsolute Error
0.0−1.030520−1.0155500.014980
0.2−0.972080−0.9563210.015759
0.4−1.001250−0.9828440.018401
0.6−1.163130−1.1401200.023011
0.8−1.495130−1.4655200.029607
1.0−2.025290−1.9872400.038056
Table 5. Variation in skin-friction coefficient C f x and C f y for single-walled carbon nanotubes (SWCNTs) together with strong and weak concentrations K = 0 and K = 0.5 and the comparison with previous results for fixed values of R d = 0.2 , δ = 0.1 , and R e = 0.3 .
Table 5. Variation in skin-friction coefficient C f x and C f y for single-walled carbon nanotubes (SWCNTs) together with strong and weak concentrations K = 0 and K = 0.5 and the comparison with previous results for fixed values of R d = 0.2 , δ = 0.1 , and R e = 0.3 .
P 1 P 2 E r γ N r φ C fx at K = 0 for SWCNT [56] C fx at K = 0 for SWCNT Present Values C fy at K = 0.5 for SWCNT [56] C fy at K = 0.5 for SWCNT Present Values
0.00.10.10.10.10.1−1.47208−1.93457−1.47208−1.14526
0.1−1.58457−1.72675−1.52844−1.19870
0.3−2.03132−1.99901−1.75511−1.24358
0.10.0−1.58440−1.64533−1.52866−1.99668
0.3−1.58453−1.64337−1.52849−1.99650
0.5−1.58457−1.64347−1.52844−1.99645
0.10.1−1.58265−1.64555−1.52558−1.99660
0.3−1.59132−1.64993−1.53503−2.10118
0.5−1.59977−1.65001−1.52849−2.10110
0.10.1−1.58446−1.64113−1.53318−2.10108
0.3−1.58477−1.64783−1.52848−2.10318
0.5−1.58502−1.65113−1.52863−2.10332
0.10.1−1.30696−1.42001−1.52863−2.10337
0.3−1.02844−1.34291−1.52844−2.10335
0.5−4.16259−3.30023−0.99212−1.10002
0.10.1−2.95695−3.14993−4.01729−3.80332
0.3−1.37247−1.64793−2.85298−3.10300
0.5−1.44457−1.64993−1.32379−1.23219
0.1−1.58457−1.77903−1.37935−2.45332
Table 6. Variation in skin-friction coefficient C f x and C f y for multi-walled carbon nanotubes (MWCNTs) together with strong and weak concentrations K = 0 and K = 0.5 and the comparison with previous results for R d = 0.3 , δ = 0.1 , and R e = 0.4 .
Table 6. Variation in skin-friction coefficient C f x and C f y for multi-walled carbon nanotubes (MWCNTs) together with strong and weak concentrations K = 0 and K = 0.5 and the comparison with previous results for R d = 0.3 , δ = 0.1 , and R e = 0.4 .
P 1 P 2 E r γ N r φ C fx at K = 0 for MWCNT [56] C fx at K = 0 for MWCNT Present Values C fy at K = 0.5 for MWCNT [56] C fy at K = 0.5 for MWCNT Present Values
0.00.10.10.10.10.1−1.61091−1.93457−1.61091−1.83452
0.11.73404−1.72321−1.67259−1.77433
0.3−2.22304−1.99881−1.92069−2.10032
0.10.0−1.73386−1.68751−1.67283−1.88643
0.3−1.73399−1.68761−1.67265−1.88653
0.5−1.73404−1.83450−1.67259−1.88647
0.10.1−1.73212−1. 83324−1.67070−1.88601
0.3−1.74161−1. 89022−1.67989−2.10111
0.5−1.75087−1.74332−1.68882−1.88765
0.10.1−1.73403−1. 83350−1.67259−2.00111
0.3−1.73422−1. 83551−1.67277−1.98321
0.5−1.73476−1. 83551−1.67329−1.98319
0.10.1−1.73404−1. 83534−1.67259−1.10337
0.3−1.43009−1. 53448−1.37949−2.10335
0.5−1.12523−1.22910−1.08546−1.10002
0.10.1−4.55171−3.99643−4.39269−3.80332
0.3−3.23473−3.54643−3.12094−3.10300
0.5−1.50199−1.32011−1.44871−1.23219
0.1−1.44457−1.23199−1.37935−2.45332
Table 7. Variation in the Nusselt numbers N u x for SWCNTs together with strong and weak concentrations K = 0 and K = 0.5 and the comparison with previous results for E r = 0.3 , δ = 0.2 , and R e = 0.2 .
Table 7. Variation in the Nusselt numbers N u x for SWCNTs together with strong and weak concentrations K = 0 and K = 0.5 and the comparison with previous results for E r = 0.3 , δ = 0.2 , and R e = 0.2 .
P 1 P 2 J 1 I 1 Rd φ Nu x at K = 0 for SWCNT [56] Nu x at K = 0 for SWCNT Present Values Nu x at K = 0.5 for SWCNT [56] C fy at K = 0.5 for SWCNT Present Values
0.00.10.10.10.10.10.4282660.9387810.4282660.938781
0.10.4283280.9384220.4282590.938475
0.30.4282170.9382140.4282300.938434
0.10.00.4282780.9375380.4282610.937538
0.30.4282760.8453730.4282660.845473
0.50.4282740.8453650.4282590.845365
0.10.1……0.648742……0.648546
0.3……0.649931……0.649765
0.5……0.650013……0.65563
0.10.1……0.641131……0.641432
0.3……0.6478321……0.647543
0.5……0.651131……0.651665
0.10.1……0.420010……0.423451
0.3……0.342914……0.342914
0.5……0.300233……0.300233
0.10.10.4339950.6499360.4339870.649936
0.30.4273750.6429170.4273700.642917
0.50.4250250.6243270.4250220.624327
0.10.4295190.7793280.4295120.779328
Table 8. Variation in N u x (the Nusselt numbers) for MWCNTs together with strong and weak concentrations K = 0 and K = 0.5 and the comparison with previous results for E r = 0.2 , δ = 0.1 , and R e = 0.3 .
Table 8. Variation in N u x (the Nusselt numbers) for MWCNTs together with strong and weak concentrations K = 0 and K = 0.5 and the comparison with previous results for E r = 0.2 , δ = 0.1 , and R e = 0.3 .
P 1 P 2 J 1 I 1 Rd φ Nu x at K = 0 for MWCNT [56] Nu x at K = 0 for MWCNT Present Values Nu x at K = 0.5 for MWCNT [56] C fy at K = 0.5 for MWCNT Present Values
0.00.10.10.10.10.10.4290050.934570.4290050.93878
0.10.4290690.936750.4289980.99883
0.30.4290610.939010.4289660.99958
0.10.00.4290190.935330.4289960.99968
0.30.4290150.933370.4290050.99650
0.50.4290130.933470.4290080.99045
0.10.1……0.94557……0.99660
0.3……0.94990……0.90118
0.5……0.95032……0.90110
0.10.1……0.94533……0.90108
0.3……0.94783……0.90318
0.5……0.95113……0.90332
0.10.1……0.92021……0.90337
0.3……0.94291……0.90333
0.5……0.95023……0.90002
0.10.10.4302290.949930.4302210.80332
0.30.4290130.947930.4290070.80300
0.50.4277870.949930.4277830.83219
Table 9. Influence of Prandtl number P r on Nusselt number N u at φ = 0 .
Table 9. Influence of Prandtl number P r on Nusselt number N u at φ = 0 .
P r N u [56] Results N u [43] Results N u Present Results
0.710.470.4770.488
7.01.4911.5221.989
0.710.330.3450.547
Table 10. Several physical characteristics of CNTs and different nanofluids.
Table 10. Several physical characteristics of CNTs and different nanofluids.
Base FluidsNanofluids c p K 1 Kg ρ Kg m 3 k W mK
Water41.97 × 10 2 0.997 × 10 3 6.13 × 10 1
Kerosene (lamp oil)20.90 × 10 2 7.83 × 10 22 1.45 × 10 1
Engine oil19.10 × 10 2 8.84 × 10 2 1.44 × 10 1
SWCNT0.425 × 10 3 2.6 × 10 3 6.6 × 10 3
MWCNT0.796 × 10 3 1.6 × 10 3 3 × 10 3
Table 11. Influence of the volume fraction φ on thermal conductivity k n f .
Table 11. Influence of the volume fraction φ on thermal conductivity k n f .
φ k nf for SWCNT k nf for MWCNT
014.5 × 10 2 14.5 × 10 2
0.0117.4 × 10 2 17.2 × 10 2
0.0220.4 × 10 2 0.2 × 10 2
0.0323.5 × 10 2 22.8 × 10 2
0.0426.6 × 10 2 25.5 × 10 2

Share and Cite

MDPI and ACS Style

O. Alzahrani, E.; Shah, Z.; Alghamdi, W.; Zaka Ullah, M. Darcy–Forchheimer Radiative Flow of Micropoler CNT Nanofluid in Rotating Frame with Convective Heat Generation/Consumption. Processes 2019, 7, 666. https://doi.org/10.3390/pr7100666

AMA Style

O. Alzahrani E, Shah Z, Alghamdi W, Zaka Ullah M. Darcy–Forchheimer Radiative Flow of Micropoler CNT Nanofluid in Rotating Frame with Convective Heat Generation/Consumption. Processes. 2019; 7(10):666. https://doi.org/10.3390/pr7100666

Chicago/Turabian Style

O. Alzahrani, Ebraheem, Zahir Shah, Wajdi Alghamdi, and Malik Zaka Ullah. 2019. "Darcy–Forchheimer Radiative Flow of Micropoler CNT Nanofluid in Rotating Frame with Convective Heat Generation/Consumption" Processes 7, no. 10: 666. https://doi.org/10.3390/pr7100666

APA Style

O. Alzahrani, E., Shah, Z., Alghamdi, W., & Zaka Ullah, M. (2019). Darcy–Forchheimer Radiative Flow of Micropoler CNT Nanofluid in Rotating Frame with Convective Heat Generation/Consumption. Processes, 7(10), 666. https://doi.org/10.3390/pr7100666

Note that from the first issue of 2016, this journal uses article numbers instead of page numbers. See further details here.

Article Metrics

Back to TopTop