2D Plane Strain Consolidation Process of Unsaturated Soil with Vertical Impeded Drainage Boundaries
Abstract
:1. Introduction
2. Mathematical Model
2.1. Governing Equations
2.2. Initial and Boundary Conditions
3. Solution Formulation and Verification
- (1)
- The soil stratum was considered to be homogeneous;
- (2)
- The soil particle and pore water were incompressible;
- (3)
- The flows of the air and water phases were continuous and independent, and simultaneously, they only took place in two directions (i.e., the x- and z-directions);
- (4)
- During the consolidation process, the deformation occurring was small and the coefficients of the volume change for the soil stratum remained constant;
- (5)
- The consolidation parameters with respect to the air phase (i.e., , and ) and those with respect to the water phase (i.e., , and ) remained constant during the consolidation process; and
- (6)
- The effect of air diffusing through water, air dissolving in water, the movement of water vapor and temperature change were ignored.
3.1. Solution Formulation
3.2. Solution Verification
4. 2D Consolidation Process of Unsaturated Soil with Vertical Impeded Drainage Boundaries
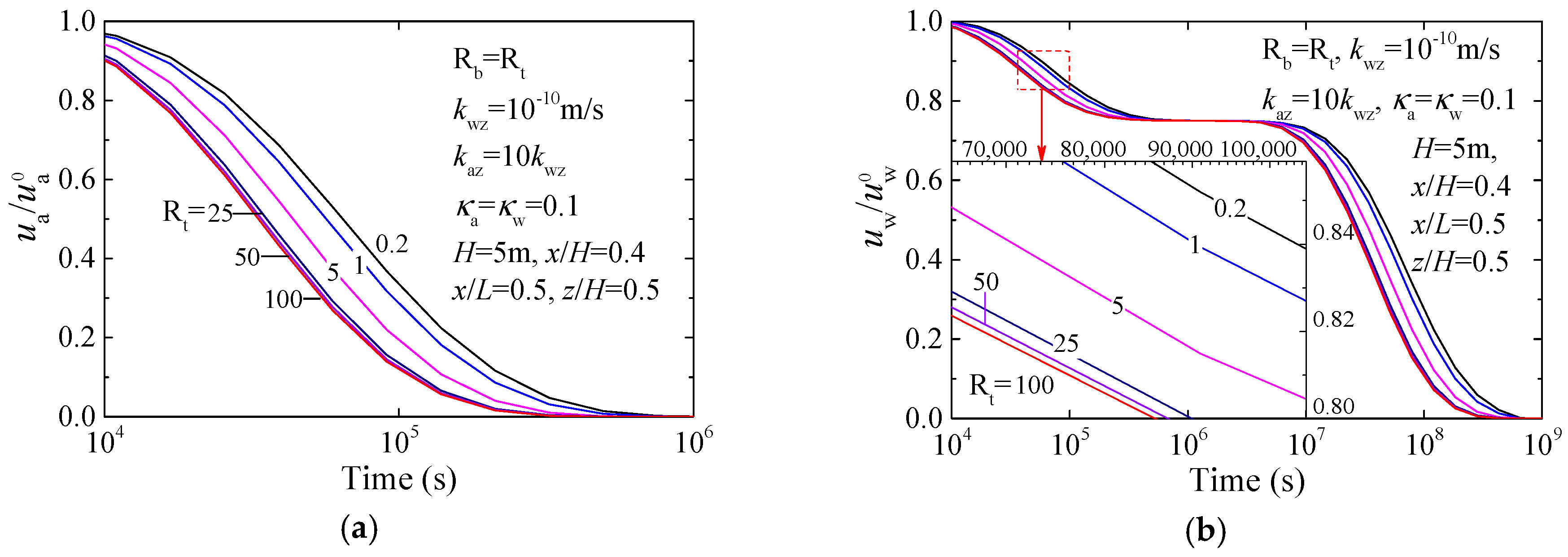
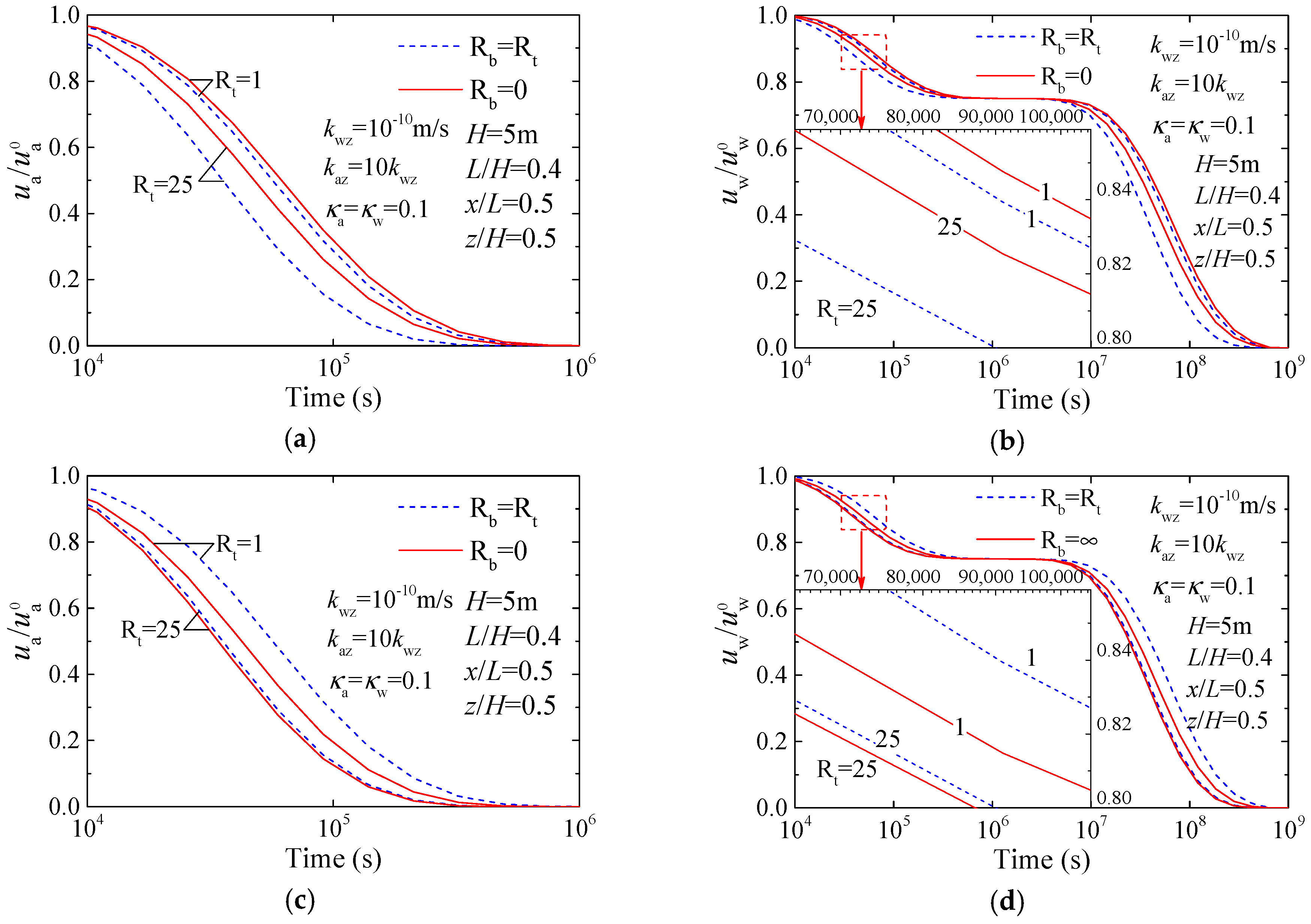
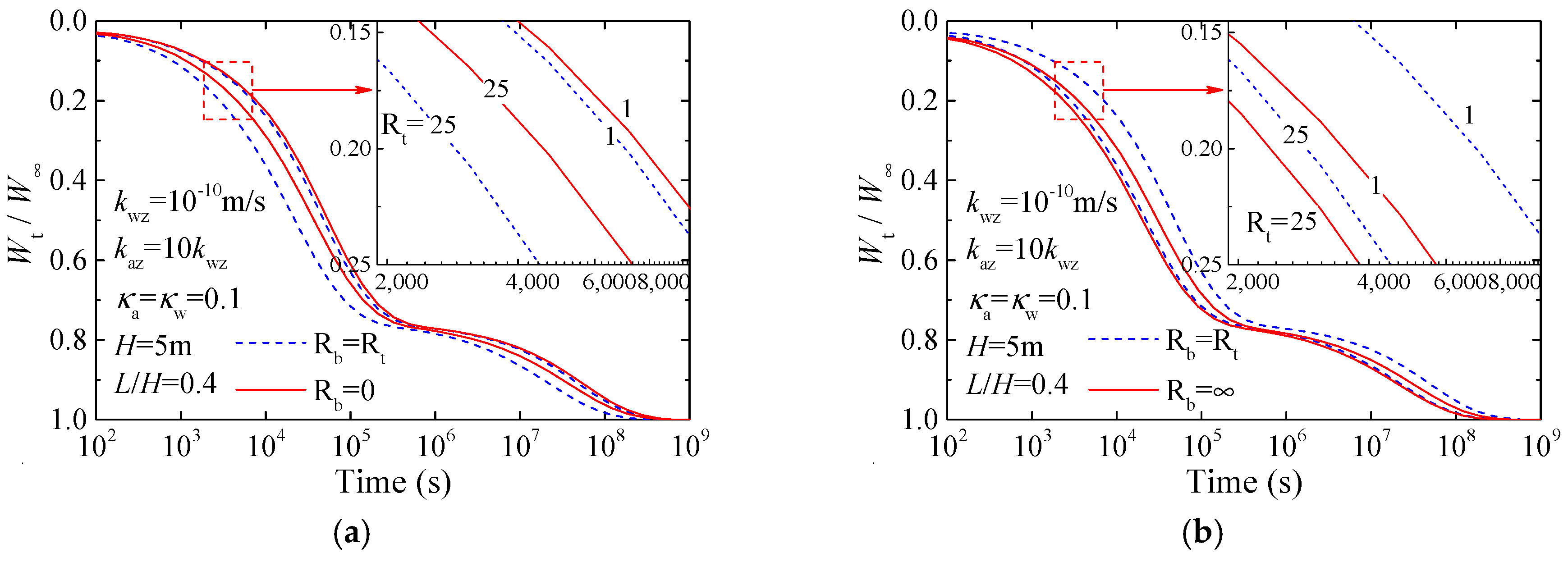
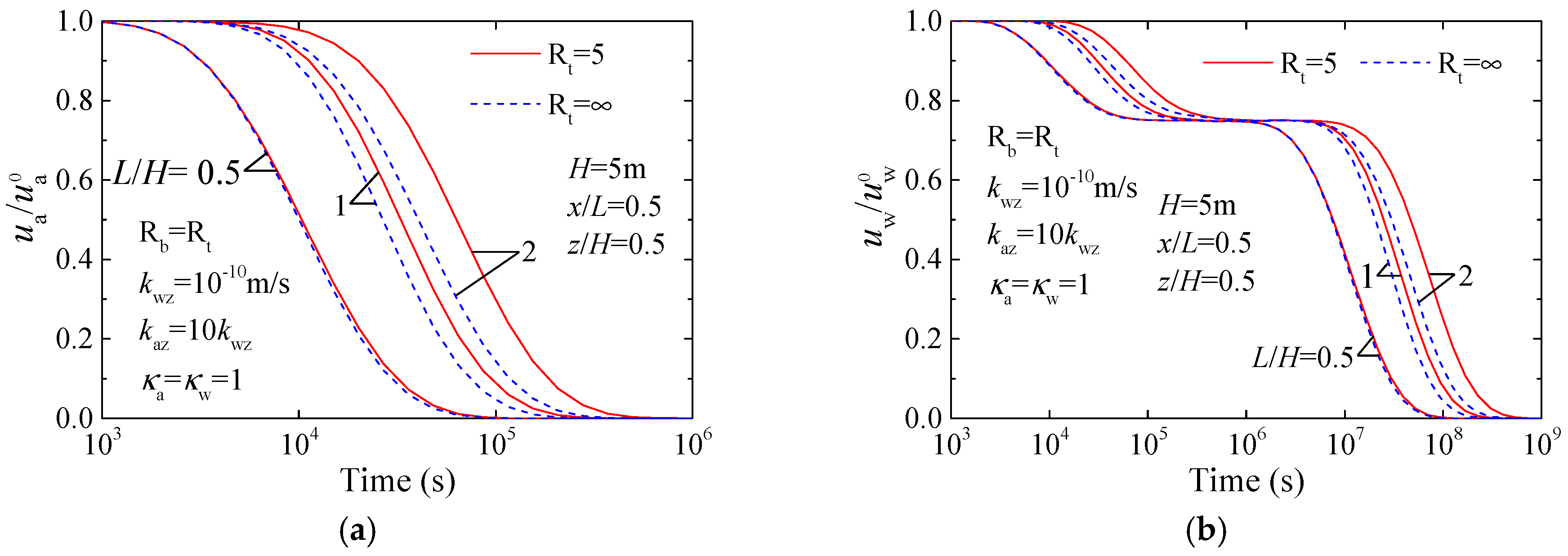
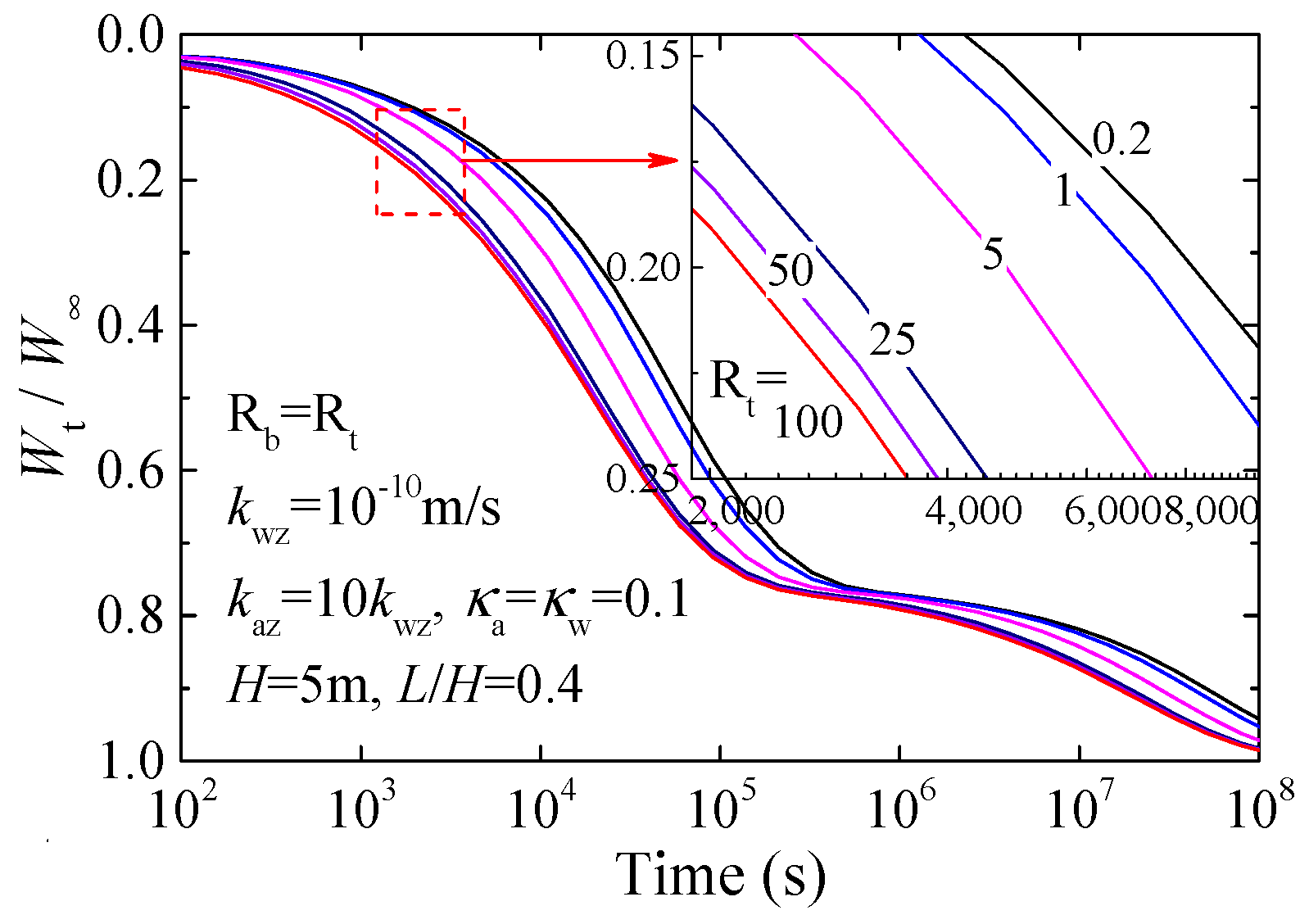
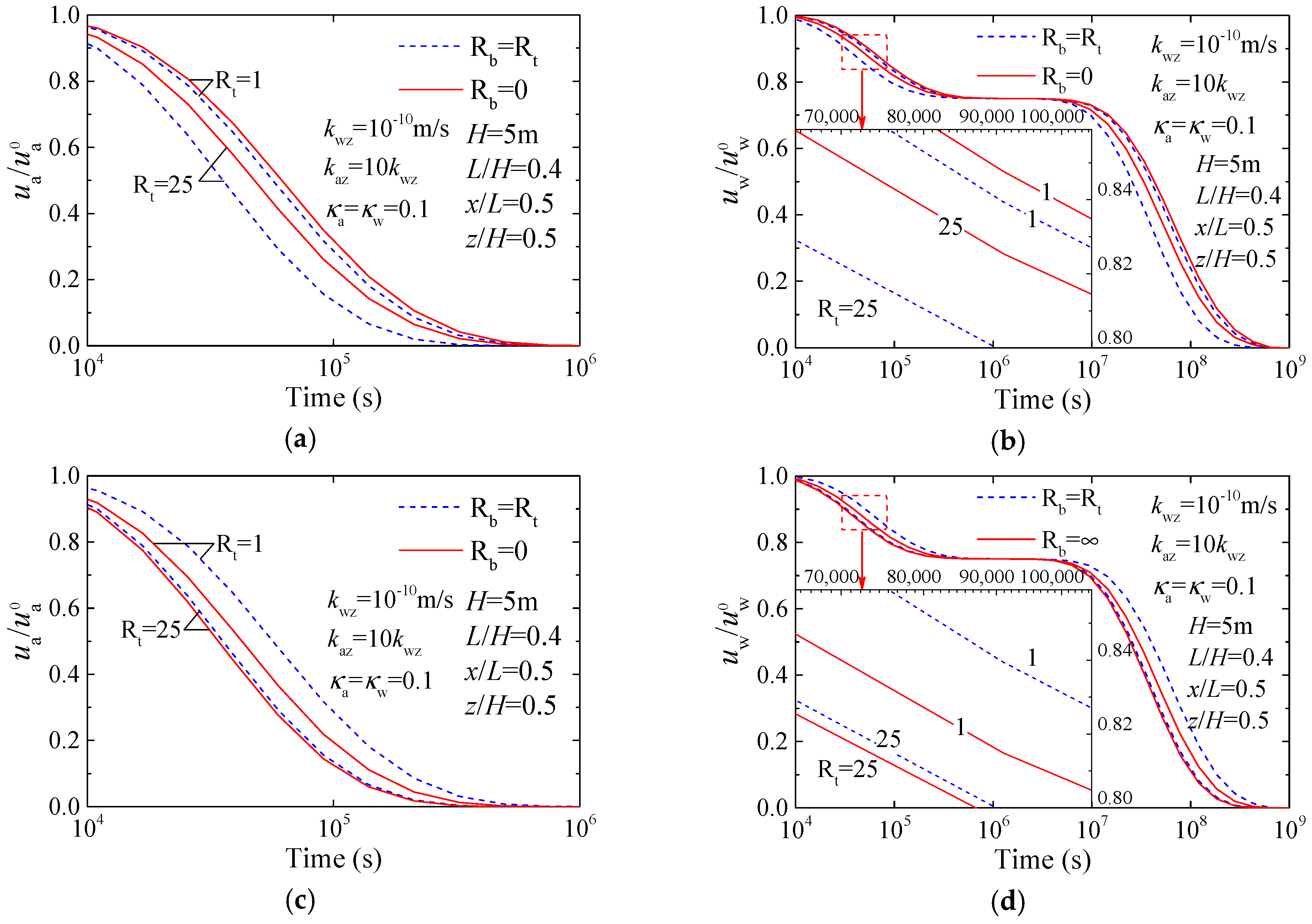
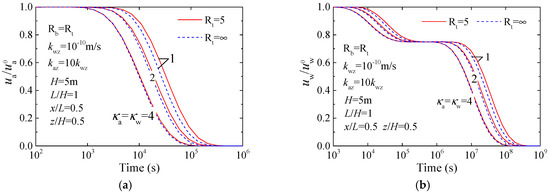
4.1. Consolidation Process with Different Drainage Efficiencies
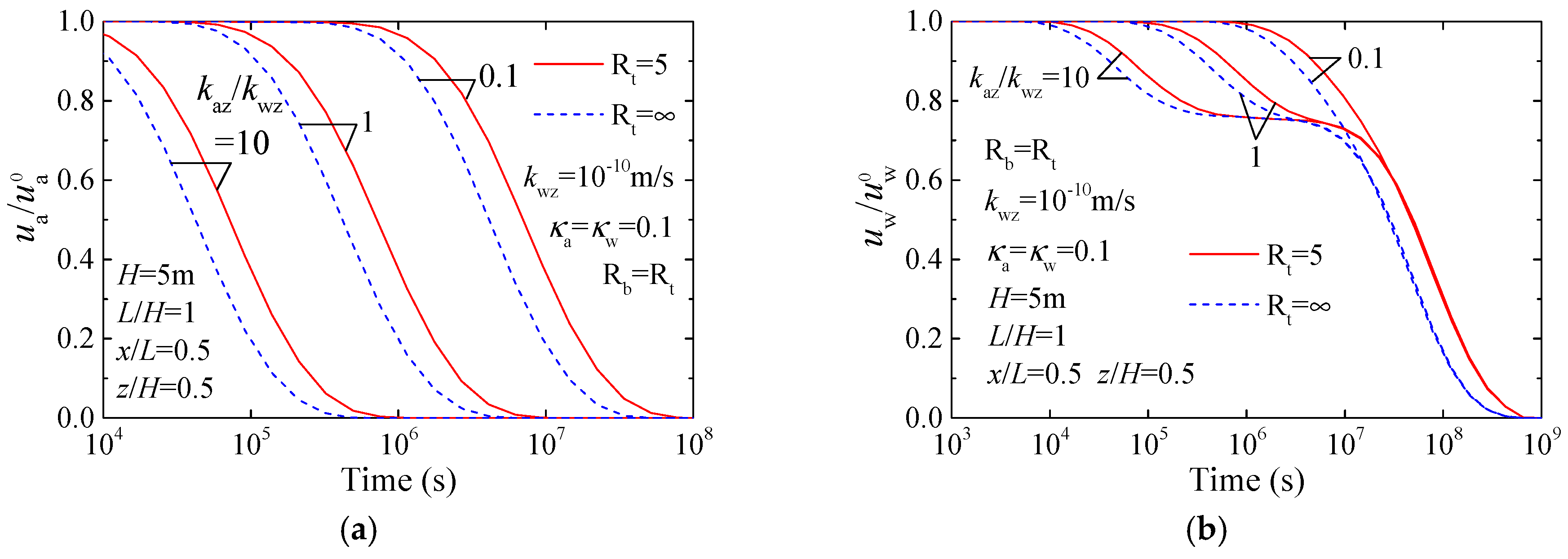
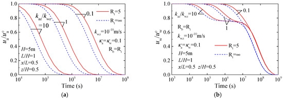
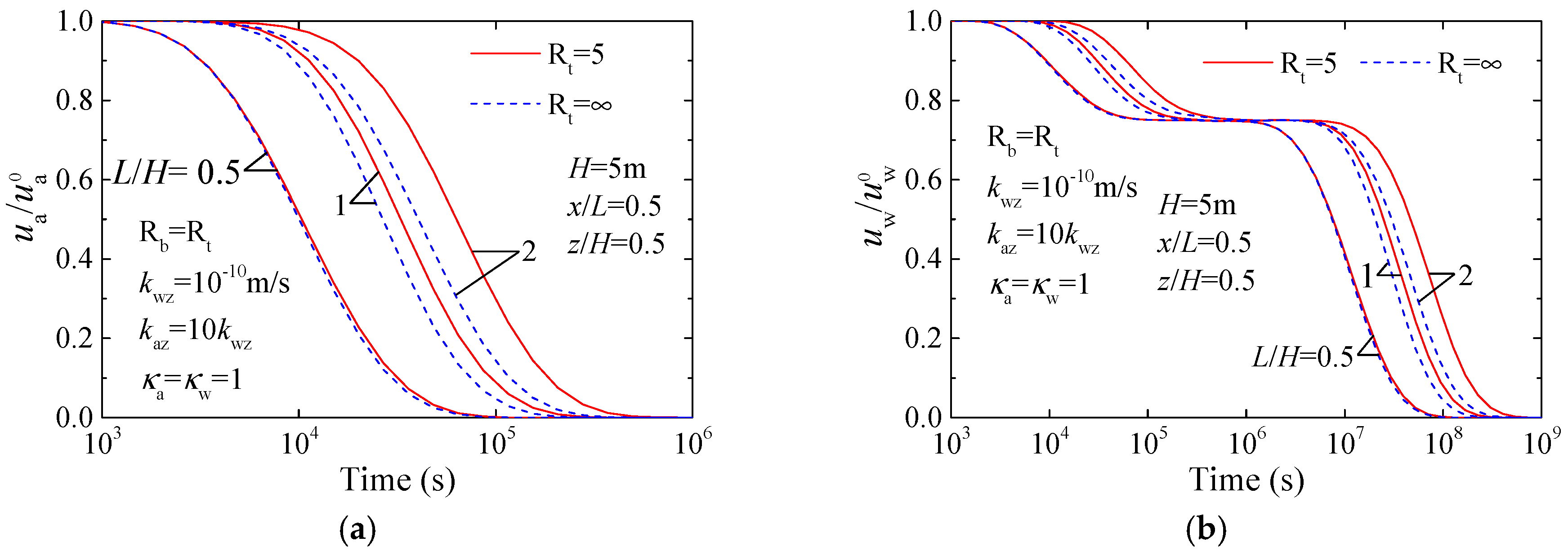
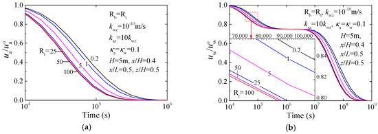
4.2. Consolidation Process with Different Air-Water Permeability Ratios
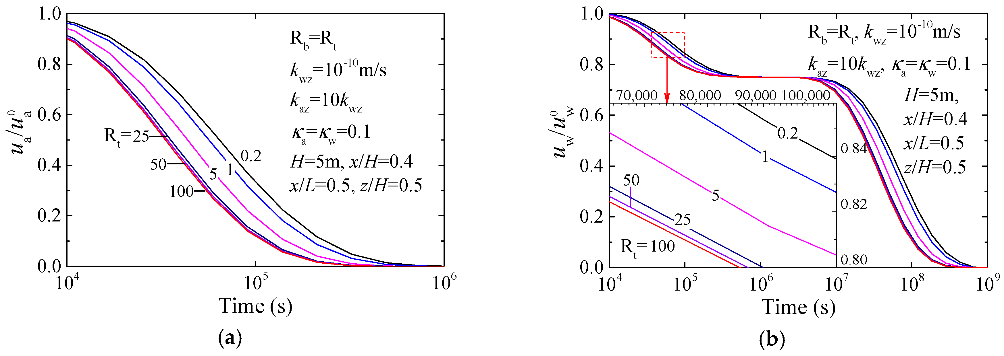
4.3. Consolidation Process with Different Anisotropic Permeability Ratios
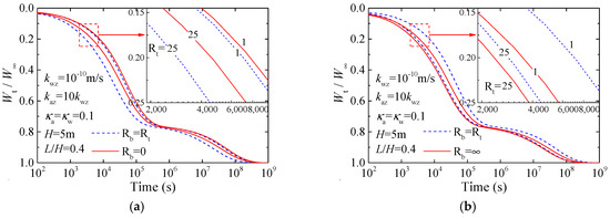
4.4. Consolidation Process with Different Spacing-Depth Ratios
5. Conclusions
- (a)
- The present semi-analytical solution was validated to be consistent with the finite difference solution and the previous analytical solution in the literature, and it is more general in the drainage boundary compared with the existing analytical solution.
- (b)
- The drainage efficiency of the vertical boundary had a great influence on the dissipation processes of the excess pore-pressures and the development of the soil layer settlement. The larger drainage efficiency delivered the faster dissipation of the excess pore-pressures and the faster development of the soil layer settlement. When the drainage efficiency was large enough (i.e., or ), the corresponding boundary can be considered to be fully drained.
- (c)
- The consolidation process with a larger air-water permeability ratio tended to progress more quickly than that with a smaller one. Either a larger anisotropic permeability ratio (i.e., larger horizontal permeability coefficient) or a smaller spacing-depth ratio delivered faster dissipation of the excess pore pressures and faster development of the soil layer settlement. In comparison with the results under top-base drainage boundary, the impeded drainage boundary with limited drainage efficiency slowed down the consolidation process significantly.
Author Contributions
Funding
Conflicts of Interest
Appendix A: Transformation of Equations (6a) and (6b)
Appendix B: Derivation of Solution to Equations (13a) and (13b)
Appendix C: Inverse Laplace Transform by Crump’s Method
Appendix D: Finite difference solution to Equations (1a) and (1b)

- (i)
- The initial excess pore-air and pore-water pressures ():
- (ii)
- The permeable drainage boundaries (PB) at both side surfaces ():
- (iii)
- The impeded drainage boundary (IB) at the top surface ():where , .
- (iv)
- The impeded drainage boundary (IB) at the bottom base ():where , .
References
- Terzaghi, K. Theoretical Soil Mechanics; Wiley & Sons: New York, NY, USA, 1943. [Google Scholar]
- Schiffman, R.L. Consolidation of soil under time-dependent loading and varying permeability. In Highway Research Board Proceeding, Proceedings of the Thirty-Seventh Annual Meeting of the Highway Research Board, Washington, DC, USA, 6–10 January 1958; Highway Research Board: Washington, DC, USA; Volume 37, pp. 584–617.
- Baligh, M.M.; Levadoux, J.N. Consolidation theory of cyclic loading. J. Geotech. Eng. Div. 1978, 104, 415–431. [Google Scholar]
- Xie, K.H.; Xie, X.Y.; Li, B.H. Analytical theory for one-dimensional consolidation of clayey soils exhibiting rheological characteristics under time-dependent loading. Int. J. Numer. Anal. Met. Geomech. 2008, 32, 1833–1855. [Google Scholar] [CrossRef]
- Liu, J.C.; Griffiths, D.V. A general solution for 1D consolidation induced by depth- and time-dependent changes in stress. Géotechnique 2015, 65, 66–72. [Google Scholar] [CrossRef]
- Scott, R.F. Principles of Soil Mechanics; Addison-Wesley Pub. Co.: Boston, MA, USA, 1963. [Google Scholar]
- Barden, L. Consolidation of compacted and unsaturated clays. Géotechnique 1965, 15, 267–286. [Google Scholar] [CrossRef]
- Barden, L. Consolidation of clays compacted dry and wet of optimum water content. Géotechnique 1974, 24, 605–625. [Google Scholar] [CrossRef]
- Fredlund, D.G.; Hasan, J.U. One-dimensional consolidation theory: Unsaturated soils. Can. Geotech. J. 1979, 16, 521–531. [Google Scholar] [CrossRef]
- Dakshanamurthy, V.; Fredlund, D.G. Moisture and air flow in an unsaturated soil. In Proceedings of the Fourth International Conference on Expansive Soils, Denver, CO, USA, 16–18 June 1980; Volume 1, pp. 514–532. [Google Scholar]
- Ho, L.; Fatahi, B.; Khabbaz, H. Analytical solution for one-dimensional consolidation of unsaturated soils using eigenfunction expansion method. Int. J. Numer. Anal. Met. Geomech. 2014, 38, 1058–1077. [Google Scholar] [CrossRef]
- Zhou, W.H.; Zhao, L.S.; Li, X.B. A simple analytical solution to one-dimensional consolidation for unsaturated soils. Int. J. Numer. Anal. Met. Geomech. 2014, 38, 794–810. [Google Scholar] [CrossRef]
- Shan, Z.D.; Ling, D.S.; Ding, H.J. Exact solutions for one-dimensional consolidation of single-layer unsaturated soil. Int. J. Numer. Anal. Met. Geomech. 2012, 36, 708–722. [Google Scholar] [CrossRef]
- Ho, L.; Fatahi, B.; Khabbaz, H. A closed form analytical solution for two-dimensional plane strain consolidation of unsaturated soil stratum. Int. J. Numer. Anal. Met. Geomech. 2015, 39, 1665–1692. [Google Scholar] [CrossRef]
- Ho, L.; Fatahi, B. Analytical solution for the two-dimensional plane strain consolidation of an unsaturated soil stratum subjected to time-dependent loading. Comput. Geotech. 2015, 67, 1–16. [Google Scholar] [CrossRef]
- Xie, K.H.; Xie, X.Y.; Gao, X. Theory of one dimensional consolidation of two-layered soil with partially drained boundaries. Comput. Geotech. 1999, 24, 265–278. [Google Scholar] [CrossRef]
- Gray, H. Simultaneous consolidation of contiguous layers of unlike compressible soils. Trans. ASCE 1945, 110, 1327–1356. [Google Scholar]
- Mesri, G. One-dimensional consolidation of a clay layer with impeded drainage boundaries. Water Resour. Res. 1973, 9, 1090–1093. [Google Scholar] [CrossRef]
- Schiffman, R.L.; Stein, J.R. One-dimensional consolidation of layered system. J. Soil. Mech. Found. Div. ASCE 1970, 96, 1090–1093. [Google Scholar]
- Cai, Y.Q.; Liang, X.; Wu, S.M. One-dimensional consolidation of layered soils with impeded boundaries under time-dependent loadings. Appl. Math. Mech. Engl. 2004, 25, 937–944. [Google Scholar]
- Wang, L.; Sun, D.A.; Xu, Y.F. Semi-analytical solutions to one-dimensional consolidation for unsaturated soils with semi-permeable drainage boundary. Appl. Math Mech. Engl. 2017, 38, 1439–1458. [Google Scholar] [CrossRef]
- Wang, L.; Sun, D.A.; Li, L.Z.; Li, P.C.; Xu, Y.F. Semi-analytical solutions to one-dimensional consolidation for unsaturated soils with symmetric semi-permeable drainage boundary. Comput. Geotech. 2017, 89, 71–80. [Google Scholar] [CrossRef]
- Wang, L.; Sun, D.A.; Qin, A.F. Semi-analytical solution to one-dimensional consolidation for unsaturated soils with semi-permeable drainage boundary under time-dependent loading. Int. J. Numer. Anal. Met. Geomech. 2017, 41, 1636–1655. [Google Scholar] [CrossRef]
- Crump, K.S. Numerical inversion of Laplace transform using a Fourier series approximation. JACM 1976, 23, 89–96. [Google Scholar] [CrossRef]
- Goode, S.W. Differential Equations and Linear Algebra, 2nd ed.; Prentice-Hall Inc.: Upper New Jersey River, NJ, USA, 2000. [Google Scholar]
- Zwillinger, D. Handbook of Differential Equations, 3rd ed.; Academic Press: San Diego, CA, USA, 1997. [Google Scholar]
- Durbin, F. Numerical inversion of Laplace transforms: An efficient improvement to Dubner and Abate’s method. Comput. J. 1974, 17, 371–376. [Google Scholar] [CrossRef]
- Wang, L.; Sun, D.A.; Li, P.C.; Xie, Y. Semi-analytical solution for one-dimensional consolidation of fractional derivative viscoelastic saturated soils. Comput. Geotech. 2017, 83, 30–39. [Google Scholar] [CrossRef]
- Morton, K.W.; Mayers, D. Numerical Solution of Partial Differential Equations: An Introduction, 2nd ed.; Cambridge University Press: Cambridge, UK, 2005. [Google Scholar]
- Croft, D.R.; Lilley, D.G. Heat Transfer Calculations Using Finite Difference Equations; Applied Science Publishers LTD: London, UK, 1977. [Google Scholar]














© 2018 by the authors. Licensee MDPI, Basel, Switzerland. This article is an open access article distributed under the terms and conditions of the Creative Commons Attribution (CC BY) license (http://creativecommons.org/licenses/by/4.0/).
Share and Cite
Huang, M.; Li, D. 2D Plane Strain Consolidation Process of Unsaturated Soil with Vertical Impeded Drainage Boundaries. Processes 2019, 7, 5. https://doi.org/10.3390/pr7010005
Huang M, Li D. 2D Plane Strain Consolidation Process of Unsaturated Soil with Vertical Impeded Drainage Boundaries. Processes. 2019; 7(1):5. https://doi.org/10.3390/pr7010005
Chicago/Turabian StyleHuang, Minghua, and Dun Li. 2019. "2D Plane Strain Consolidation Process of Unsaturated Soil with Vertical Impeded Drainage Boundaries" Processes 7, no. 1: 5. https://doi.org/10.3390/pr7010005
APA StyleHuang, M., & Li, D. (2019). 2D Plane Strain Consolidation Process of Unsaturated Soil with Vertical Impeded Drainage Boundaries. Processes, 7(1), 5. https://doi.org/10.3390/pr7010005

