Comparison of Granular and Pellet Olive Stone-Based Activated Carbon in Adsorption-Based Post-Combustion CO2 Capture
Abstract
1. Introduction
2. Materials and Methods
2.1. Preparation of Activated Carbon Samples
2.2. Characterization of Samples
2.2.1. Pore Structure Characterization
2.2.2. Chemical Surface Characterization
2.3. CO2 Adsorption Measurements
2.4. Kinetic Studies
2.4.1. Adsorption Rate
- Pseudo-first order model
- Avrami’s fractional model
- Validation of the kinetic model
2.4.2. Adsorption Mechanism
3. Results and Discussion
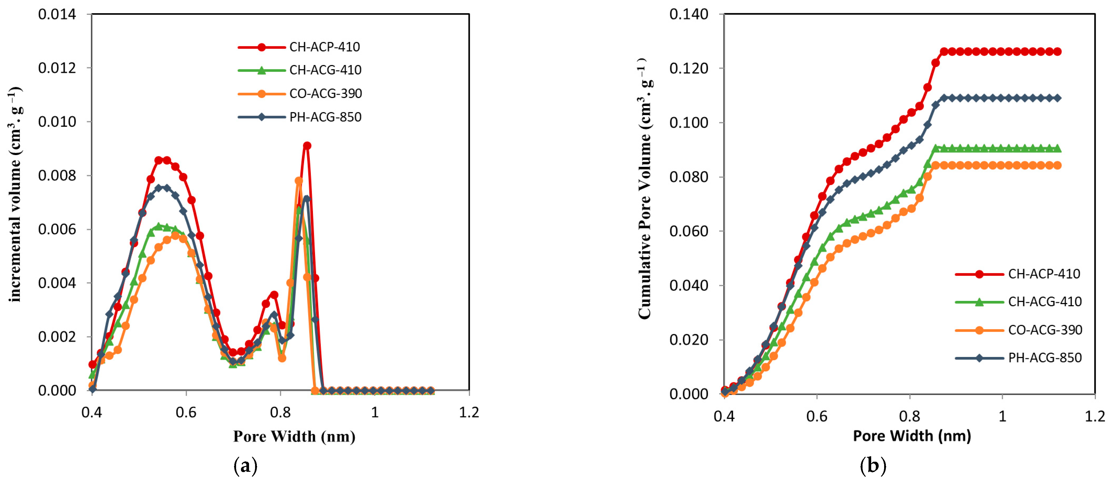
3.1. Textural Characterization
3.2. Determination of Surface Oxygen Functional Groups
3.3. CO2 Capture from a CO2/N2 Binary Mixture
4. Conclusions
Author Contributions
Funding
Data Availability Statement
Acknowledgments
Conflicts of Interest
References
- IPCC. Climate Change 2014: Mitigation of Climate Change. Contribution of Working Group III to the Fifth Assessment Report of the Intergovernmental Panel on Climate Change; Edenhofer, O., Pichs-Madruga, R., Sokona, Y., Farahani, E., Kadner, S., Seyboth, K., Adler, A., Baum, I., Brunner, S., Eickemeier, P., et al., Eds.; Cambridge University Press: Cambridge, UK; New York, NY, USA, 2014. [Google Scholar]
- Stigson, P.; Hansson, A.; Lind, M. Obstacles for CCS deployment: An analysis of discrepancies of perceptions. Mitig. Adapt. Strat. Glob. Change 2012, 17, 601–619. [Google Scholar] [CrossRef]
- Dabbawala, A.A.; Ismail, I.; Vaithilingam, B.V.; Polychronopoulou, K.; Singaravel, G.; Morin, S.; Berthod, M.; Al Wahedi, Y. Synthesis of hierarchical porous Zeolite-Y for enhanced CO2 capture. Microporous Mesoporous Mater. 2020, 303, 110261. [Google Scholar] [CrossRef]
- Bararpour, S.T.; Karami, D.; Mahinpey, N. Investigation of the effect of alumina-aerogel support on the CO2 capture performance of K2CO3. Fuel 2019, 242, 124–132. [Google Scholar] [CrossRef]
- Lee, S.Y.; Park, S.J. Determination of the optimal pore size for improved CO2 adsorption in activated carbon fibers. J. Colloid Interface Sci. 2013, 389, 230–235. [Google Scholar] [CrossRef]
- Zhou, J.; Wang, X.; Xing, W. Carbon-based CO2 adsorbents. In Postcombustion Carbon Dioxide Capture Materials; Royal Society of Chemistry: London, UK, 2018; p. 1e75. [Google Scholar] [CrossRef]
- Zhang, S.; Chen, C.; Ahn, W.S. Recent progress on CO2 capture using amine-functionalized silica. Curr. Opin. Green Sustain. Chem. 2019, 16, 26–32. [Google Scholar] [CrossRef]
- Yue, M.B.; Sun, L.B.; Cao, Y.; Wang, Y.; Wang, Z.J.; Zhu, J.H. Efficient CO2 capturer derived from as-synthesized MCM-41 modified with amine. Chem.–Eur. J. 2008, 14, 3442–3451. [Google Scholar] [CrossRef] [PubMed]
- Si, X.; Jiao, C.; Li, F.; Zhang, J.; Wang, S.; Liu, S.; Li, Z.; Sun, L.; Xu, F.; Schick, C.; et al. High and selective CO2 uptake, H2 storage and methanol sensing on the amine-decorated 12-connected MOF CAU-1. Energy Environ. Sci. 2011, 4, 4522–4527. [Google Scholar] [CrossRef]
- Zhao, P.; Zhang, G.; Yan, H.; Zhao, Y. The latest development on amine functionalized solid adsorbents for post-combustion CO2 capture: Analysis review. Chin. J. Chem. Eng. 2021, 35, 17–43. [Google Scholar] [CrossRef]
- Ding, M.; Flaig, R.W.; Jiang, H.-L.; Yaghi, O.M. Carbon capture and conversion using metal–organic frameworks and MOF-based materials. Chem. Soc. Rev. 2019, 48, 2783–2828. [Google Scholar] [CrossRef]
- Aniruddha, R.; Sreedhar, I.; Reddy, B.M. MOFs in carbon capture-past, present and future. J. CO2 Util. 2020, 42, 101297. [Google Scholar] [CrossRef]
- Pettinari, C.; Tombesi, A. Metal–organic frameworks for carbon dioxide capture. MRS Energy Sustain. 2020, 7, E35. [Google Scholar] [CrossRef]
- Sun, M.; Gu, Q.; Hanif, A.; Wang, T.; Shang, J. Transition metal cation-exchanged SSZ-13 zeolites for CO2 capture and separation from N2. Chem. Eng. J. 2019, 370, 1450–1458. [Google Scholar] [CrossRef]
- Xu, C.; Yu, G.; Yuan, J.; Strømme, M.; Hedin, N. Microporous organic polymers as CO2 adsorbents: Advances and challenges. Mater. Today Adv. 2020, 6, 100052. [Google Scholar] [CrossRef]
- Gao, H.; Li, Q.; Ren, S. Progress on CO2 capture by porous organic polymers. Curr. Opin. Green Sustain. Chem. 2019, 16, 33–38. [Google Scholar] [CrossRef]
- Bhanja, P.; Modak, A.; Bhaumik, A. Porous organic polymers for CO2 storage and conversion reactions. ChemCatChem 2019, 11, 244–257. [Google Scholar] [CrossRef]
- Ochedi, F.O.; Liu, Y.; Adewuyi, Y.G. State-of-the-art review on capture of CO2 using adsorbents prepared from waste materials. Process Saf. Environ. Prot. 2020, 139, 1–25. [Google Scholar] [CrossRef]
- Rashid, N.A.; Yusup, S. An overview of activated carbons utilization for the post-combustion carbon dioxide capture. J. CO2 Util. 2016, 13, 1–16. [Google Scholar] [CrossRef]
- Martinez, M.L.; Torres, M.M.; Guzman, C.A.; Maestri, D.M. Preparation and characteristics of activated carbon from olive stones and walnut shells. Ind. Corps Prod. 2006, 23, 23–28. [Google Scholar] [CrossRef]
- Plaza, M.G.; Pevida, C.; Martin, C.F.; Fermoso, J.; Pis, J.J.; Rubiera, F. Developing almond shell-derived activated carbons as CO2 adsorbents. Sep. Purif. Technol. 2010, 71, 102–106. [Google Scholar] [CrossRef]
- Hidayu, A.R.; Muda, N. Preparation and characterization of impregnated activated carbon from palm kernel shell and coconut shell for CO2 capture. Procedia Eng. 2016, 148, 106–113. [Google Scholar] [CrossRef]
- De Andrés, J.M.; Orjales, L.; Narros, A.; de la Fuente, M.D.M.; Rodríguez, M.E. Carbon dioxide adsorption in chemically activated carbon from sewage sludge. J. Air Waste Manag. Assoc. 2013, 63, 557–564. [Google Scholar] [CrossRef]
- Sevilla, M.; Ferrero, G.A.; Fuertes, A.B. CO2 storage on nanoporous carbons. In Nanoporous Materials for Gas Storage; Springer: Singapore, 2019; pp. 287–330. [Google Scholar] [CrossRef]
- Sreńscek-Nazzal, J.; Kamińska, A.; Serafin, J.; Michalkiewicz, B. Chemical activation of banana peel waste-derived biochar using KOH and urea for CO2 capture. Materials 2024, 17, 872. [Google Scholar] [CrossRef] [PubMed]
- Yi, H.; Nakabayashi, K.; Yoon, S.H.; Miyawaki, J. Pressurized physical activation: A simple production method for activated carbon with a highly developed pore structure. Carbon 2021, 183, 735–742. [Google Scholar] [CrossRef]
- Djeridi, W.; Ouederni, A.; Wiersum, A.D.; Liewllyn, P.; El Mir, L. High pressure methane adsorption on microporous carbon monoliths prepared by olive stones. J. Mater. Lett. 2013, 99, 184–187. [Google Scholar] [CrossRef]
- Djeridi, W.; Ouederni, A.; El Mir, L. Production of activated carbon pellets from olive stones for CO2 adsorption. Int. J. Environ. Eng. 2016, 8, 110–123. [Google Scholar] [CrossRef]
- Moussa, M.; Bohli, T.; Pevida, C.; Querejeta, N.; Ouederni, A. Olive stones based carbon foam: Synthesis, characterization and application on post-combustion CO2 adsorption. J. Porous Mater. 2022, 29, 1097–1112. [Google Scholar] [CrossRef]
- Ghouma, I.; Jeguirim, M.; Dorge, S.; Limousy, L.; Matei Ghimbeu, C.; Ouederni, A. Activated carbon prepared by physical activation of olive stones for the removal of NO2 at ambient temperature. Comptes Rendus Chim. 2015, 18, 63–74. [Google Scholar] [CrossRef]
- Parra, J.B.; Sousa, J.D.; Bansal, R.C.; Pis, J.J.; Pajares, J.A. Characterization of activated carbons by the BET equation—An alternative approach. Adsorp. Sci. Technol. 1995, 12, 51–66. [Google Scholar] [CrossRef]
- Dubinin, M.M. Properties of active carbons. In Chemistry and Physics of Carbon; Walker, P.L., Jr., Ed.; Marcel Dekker Inc.: New York, NY, USA, 1966; pp. 51–120. [Google Scholar]
- Stoeckli, F.; Ballerini, L. Evolution of microporosity during activation of carbon. Fuel 1991, 70, 557–559. [Google Scholar] [CrossRef]
- Savova, D.; Petrov, N.; Yardim, M.F.; Ekinci, E.; Budinova, T.; Razvigorova, M.; Minkova, V. The influence of the texture and surface properties of carbon adsorbents obtained from biomass products on the adsorption of manganese ions from aqueous solution. Carbon 2003, 41, 1897–1903. [Google Scholar] [CrossRef]
- Heidari, A.; Younesi, H.; Rashidi, A.; Ghoreyshi, A.A. Evaluation of CO2 adsorption with eucalyptus wood based activated carbon modified by ammonia solution through heat treatment. Chem. Eng. J. 2014, 254, 503–513. [Google Scholar] [CrossRef]
- Querejeta, N.; Plaza, M.G.; Rubiera, F.; Pevida, C. Water vapor adsorption on biomass based carbons under post-combustion CO2 capture conditions: Effect of post-treatment. Materials 2016, 9, 359. [Google Scholar] [CrossRef]
- Plaza, M.G.; Duran, I.; Rubiera, F.; Pevida, C. CO2 adsorbent pellets produced from pine sawdust: Effect of coal tar pitch addition. Appl. Energy 2015, 144, 182–192. [Google Scholar] [CrossRef]
- AÁlvarez-Gutiérrez, N.; Gil, M.V.; Rubiera, F.; Pevida, C. Kinetics of CO2 adsorption on cherry stone-based carbons in CO2/CH4 separations. Chem. Eng. J. 2017, 307, 249–257. [Google Scholar] [CrossRef]
- Lagergren, S. Zur Theorie der Sogenannten Adsorption Gelöster Stoffe, Kungliga Svenska Vetenskapsakademiens. Handlingar 1898, 24, 1–39. [Google Scholar]
- Ai, L.; Zhang, C.; Meng, L. Adsorption of methyl orange from aqueous solution on hydrothermal synthesized Mg-Al layered double hydroxide. J. Chem. Eng. Data 2011, 56, 4217–4225. [Google Scholar] [CrossRef]
- Shokrollahi, A.; Alizadeh, A.; Malekhosseini, Z.; Ranjbar, M. Removal of bromocresol green from aqueous solution via adsorption on Ziziphus nummularia as a new, natural, and low-cost adsorbent: Kinetic and thermodynamic study of removal process. J. Chem. Eng. Data 2011, 56, 3738–3746. [Google Scholar] [CrossRef]
- Loganathan, S.; Tikmani, M.; Edubilli, S.; Mishra, A.; Ghoshal, A.K. CO2 Adsorption Kinetics on Mesoporous Silica Under Wide Range of Pressure and Temperature. Chem. Eng. J. 2014, 256, 1–8. [Google Scholar] [CrossRef]
- Liu, Y.; Yu, X. Carbon dioxide adsorption properties and adsorption/desorption kinetics of amine-functionalized KIT-6. Appl. Energy 2018, 211, 1080–1088. [Google Scholar] [CrossRef]
- Shafeeyan, M.S.; Daud, W.M.A.W.; Shamiri, A.; Aghamohammadi, N. Modeling of carbon dioxide adsorption onto ammonia-modified activated carbon: Kinetic analysis and breakthrough behavior. Energy Fuels 2015, 29, 6565–6577. [Google Scholar] [CrossRef]
- Vega, M.F.; Díaz-Faes, E.; Barriocanal, C. Kinetic and mechanistic study of CO2 adsorption on activated hydrochars. J. CO2 Util. 2024, 81, 102716. [Google Scholar] [CrossRef]
- Avrami, M. Kinetics of phase change. I General theory. J. Chem. Phys. 1939, 7, 1103–1112. [Google Scholar] [CrossRef]
- Benedict, J.B.; Coppens, P. Kinetics of the single-crystal to single-crystal two-photon photodimerization of α-trans-cinnamic acid to α-truxillic acid. J. Phys. Chem. A 2009, 113, 3116–3120. [Google Scholar] [CrossRef] [PubMed]
- Querejeta, N.; Rubiera, F.; Pevida, C. Experimental Study on the Kinetics of CO2 and H2O Adsorption on Honeycomb Carbon Monoliths under Cement Flue Gas Conditions. ACS Sustain. Chem. Eng. 2022, 10, 2107–2124. [Google Scholar] [CrossRef]
- Morris, J.C.; Weber, W.J. Removal of biologically-resistant pollutants from waste waters by adsorption. Adv. Water Pollut. Res. 1964, 231–266. [Google Scholar] [CrossRef]
- Hameed, B.H.; Tan, I.A.W.; Ahmad, A.L. Adsorption isotherm, kinetic modeling and mechanism of 2,4,6-trichlorophenol on coconut husk-based activated carbon. Chem. Eng. J. 2008, 144, 235–244. [Google Scholar] [CrossRef]
- Yousef, R.I.; Eswedb, B.; Muhtasebc, A.H. Adsorption characteristics of natural zeolites as solid adsorbents for phenol removal from aqueous solutions: Kinetics, mechanism, and thermodynamics studies. Chem. Eng. J. 2011, 171, 1143–1149. [Google Scholar] [CrossRef]
- Mohan, D.; Singh, K.P. Single- and multi-component adsorption of cadmium and zinc using activated carbon derived from bagasse—An agricultural waste. Water Res. 2002, 36, 2304–2318. [Google Scholar] [CrossRef]
- Yorgun, S.; Yıldız, D. Preparation and characterization of activated carbons from Paulownia wood by chemical activation with H3PO4. J. Taiwan Inst. Chem. Eng. 2015, 53, 122–131. [Google Scholar] [CrossRef]
- Kim, C.; Talapaneni, S.N.; Dai, L. Porous carbon materials for CO2 capture storage and electrochemical conversion. Mater. Rep. Energy 2023, 3, 100199. [Google Scholar] [CrossRef]
- Liu, X.; Wang, S.; Sun, C.; Liu, H.; Stevens, L.; Dwomoh, P.K.; Snape, C. Synthesis of functionalized 3D microporous carbon foams for selective CO2 capture. Chem. Eng. J. 2020, 402, 125459. [Google Scholar] [CrossRef]
- Tchakala, I.; Bawa, L.M.; Djaneye-Boundjou, G.; Doni, K.S.; Nambo, P. Optimisation du procédé de préparation des Charbons Actifs par voie chimique (H3PO4) à partir des tourteaux de Karité et des tourteaux de Coton. Int. J. Biol. Chem. Sci. 2012, 6, 461–478. [Google Scholar] [CrossRef]
- Khelifi, A.; Almazán-Almazán, M.C.; Pérez-Mendoza, M.; Domingo-García, M.; López-Domingo, F.J.; Temdrara, L.; López-Garzón, F.; Addoun, A. Influence of nitric acid concentration on the characteristics of active carbons obtained from a mineral coal. Fuel Process. Technol. 2010, 91, 1338–1344. [Google Scholar] [CrossRef]
- Guo, Y.; Rockstraw, D.A. Activated carbons prepared from rice hull by one-step phosphoric acid activation. Microporous Mesoporous Mater. 2007, 100, 12–19. [Google Scholar] [CrossRef]
- Boonamnuayvitaya, V.; Chaiya, C.; Tanthapanichakoon, W. The preparation and characterization of activated carbon from coffee residue. J. Chem. Eng. Jpn. 2004, 37, 1504–1512. [Google Scholar] [CrossRef]
- Figueiredo, J.L.; Pereira, M.F.R.; Freitas, M.M.A.; O’rfão, J.J.M. Modification of the surface chemistry of activated carbons. Carbon 1999, 37, 1379–1389. [Google Scholar] [CrossRef]
- Matei Ghimbeu, C.; Gadiou, R.; Dentzer, J.; Schwartz, D.; Vix-Guterl, C. Influence of Surface Chemistry on the Adsorption of Oxygenated Hydrocarbons on Activated Carbons. Langmuir 2010, 24, 18824–18833. [Google Scholar] [CrossRef]
- Matei Ghimbeu, C.; Gadiou, R.; Dentzer, J.; Vidal, L.; Vix-Guterl, C. A TPD-MS study of the adsorption of ethanol/cyclohexane mixture on activated carbons. Adsorption 2011, 17, 227–233. [Google Scholar] [CrossRef]
- Ruiz, V.; Blanco, C.; Raymundo-Piñero, E.; Khomenko, V.; Béguin, F.; Santamaria, R. Effects of thermal treatment of activated carbon on the electrochemical behavior in Supercapacitors. Electrochim. Acta 2007, 52, 4969–4973. [Google Scholar] [CrossRef]
- Matei Ghimbeu, C.; Decaux, C.; Brender, P.; Dahbi, M.; Lemordant, D.; Raymundo-Pinero, E.; Anouti, M.; Beguin, F.; Vix-Guterl, C. Influence of Graphite Characteristics on Electrochemical Performance in Alkylcarbonate LiTFSI Electrolyte for Li-Ion Capacitors and Li-Ion Batteries. J. Electrochem. Soc. 2013, 160, 1907–1915. [Google Scholar] [CrossRef]
- Yang, F.; Zhu, X.; Wu, J.; Wang, R.; Ge, T. Kinetics and mechanism analysis of CO2 adsorption on LiX@ZIF-8 with core shell structure. Powder Technol. 2022, 399, 117090. [Google Scholar] [CrossRef]
- Plaza, M.G.; Pevida, C.; Arias, B.; Fermoso, J.; Casal, M.D.; Martín, C.F.; Rubiera, F.; Pis, J.J. Development of low-cost biomass-based adsorbents for postcombustion CO2 capture. Fuel 2009, 88, 2442–2447. [Google Scholar] [CrossRef]
- Plaza, M.G.; González, A.S.; Pevida, C.; Pis, J.J.; Rubiera, F. Valorisation of spent coffee grounds as CO2 adsorbents for postcombustion capture applications. Appl. Energy 2012, 99, 272–279. [Google Scholar] [CrossRef]
- Rashidi, N.A.; Yusup, S.; Borhan, A.; Loong, L.H. Experimental and modelling studies of carbon dioxide adsorption by porous biomass derived activated carbon. Clean Technol. Environ. Policy 2014, 16, 1353–1361. [Google Scholar] [CrossRef]
- Fiuza, R.A., Jr.; de Jesus Neto, R.M.; Correia, L.B.; Andrade, H.M.C. Preparation of granular activated carbons from yellow mombin fruit stones for CO2 adsorption. J. Environ. Manag. 2015, 161, 198–205. [Google Scholar] [CrossRef]
- Moussa, M.; Bader, N.; Querejeta, N.; Durán, I.; Pevida, C.; Ouederni, A. Toward sustainable hydrogen storage and carbon dioxide capture in post-combustion conditions. J. Environ. Chem. Eng. 2017, 5, 1628–1637. [Google Scholar] [CrossRef]
- Lopes, E.C.; dos Anjos, F.S.; Vieira, E.F.; Cestari, A.R. An alternative Avrami equation to evaluate kinetic parameters of the interaction of Hg (II) with thin chitosan membranes. J. Colloid Interface Sci. 2003, 263, 542–547. [Google Scholar] [CrossRef] [PubMed]
- Serna-Guerrero, R.; Sayari, A. Modeling adsorption of CO2 on amine-functionalized mesoporous silica. 2: Kinetics and breakthrough curves. Chem. Eng. J. 2010, 161, 182–190. [Google Scholar] [CrossRef]
- Cestari, A.R.; Vieira, E.F.; Vieira, G.S.; Almeida, L.E. The removal of anionic dyes from aqueous solutions in the presence of anionic surfactant using aminopropylsilica—A kinetic study. J. Hazard. Mater. 2006, 138, 133–141. [Google Scholar] [CrossRef]
- Cestari, A.R.; Vieira, E.F.; Matos, J.D.; dos Anjos, D.S. Determination of kinetic parameters of Cu (II) interaction with chemically modified thin chitosan membranes. J. Colloid Interface Sci. 2005, 285, 288–295. [Google Scholar] [CrossRef]
- Zubieta, C.E.; Messina, P.V.; Luengo, C.; Dennehy, M.; Pieroni, O.; Schulz, P.C. Reactive dyes remotion by porous TiO2-chitosan materials. J. Hazard. Mater. 2008, 152, 765–777. [Google Scholar] [CrossRef]








| N2 Adsorption at −196 °C | CO2 Adsorption at 0 °C | |||||||
|---|---|---|---|---|---|---|---|---|
| Samples | SBET (m2·g−1) | VT (cm3·g−1) | Smic (m2·g−1) | L (nm) | E0 (Kj·mol−1) | W0 (cm3·g−1) | CO2 Uptake (mmol·g−1) | |
| 0.15 bar | 1 bar | |||||||
| CH-ACP-410 | 1288 | 0.49 | 936 | 0.69 | 27.14 | 0.32 | 1.53 | 4.60 |
| CH-ACG-410 | 978 | 0.34 | 685 | 0.67 | 27.54 | 0.23 | 1.15 | 3.61 |
| CO-ACG-390 | 1219.88 | 0.51 | 678 | 0.74 | 26.09 | 0.25 | 1.05 | 3.90 |
| PH-ACG-850 | 865.52 | 0.44 | 768 | 0.60 | 29.44 | 0.22 | 1.43 | 3.93 |
| Sample | pHPZC | Total Acidity (meq/g) | Total Basicity (meq/g) |
|---|---|---|---|
| CH-ACP-410 | 2.4 | 2.9 | 0.05 |
| CH-ACG-410 | 2.68 | 3.13 | 0 |
| CO-ACG-390 | 5.05 | 1.28 | 0.25 |
| PH-ACG-850 | 7.52 | 0.43 | 1.86 |
| Samples | CO (µmol/g) | CO2 (µmol/g) | O (µmol/g) | CO/CO2 |
|---|---|---|---|---|
| CH-ACP-410 | 2600 | 1600 | 3000 | 1.6 |
| CH-ACG-410 | 3800 | 700 | 3000 | 5.1 |
| CO-ACG-390 | 500 | 400 | 1000 | 1.3 |
| PH-ACG-850 | 5200 | 2600 | 5000 | 2 |
| Carbon Precursor | Sample | Activation Method | Post-Combustion Condition | CO2 Uptake | References |
|---|---|---|---|---|---|
| Pine sawdust | IH3 | Carbonization + CO2 | (10% CO2 + 90% N2) (P = 1 atm; T = 50 °C) | 2.1 wt% | [37] |
| Olive stones | GKOSA40 | Carbonization + CO2 | (15% CO2 + 85% N2) (P = 1 atm; T = 40 °C) | 2.4 wt% | [66] |
| Almond shell | AA740 | Carbonization + CO2 | (15% CO2 + 85% N2) (P = 1 atm; T = 25 °C) | 5.1 wt% | [21] |
| Spent coffee grounds | CNHA29 | KOH | (10% CO2 + 90% N2) (P = 1 atm; T = 50 °C) | 2.8 wt% | [67] |
| Commercial AC | Commercial AC | Carbonization | (20% CO2 + 80% N2) (P = 1 atm; T = 25 °C) | 3.1 wt% | [68] |
| (20% CO2 + 80% N2) (P = 1 atm; T = 50 °C) | 1.9 wt% | ||||
| Coconut shell | Optimized AC | Carbonization | (20% CO2 + 80% N2) (P = 1 atm; T = 25 °C) | 2.7 wt% | |
| (20% CO2 + 80% N2) (P = 1 atm; T = 50 °C) | 1.5 wt% | ||||
| Yellow mombin stones | YMKOH | Carbonization + KOH | (10% CO2 + 90%N2) (P = 1 atm; T = 40 °C) | 4.2 wt% | [69] |
| (50%CO2 + 50%N2) (P = 1 atm; T = 40 °C) | 6.3 wt% | ||||
| Olive stones | AC_KOH | Carbonization + KOH | (10%CO2 + 90%N2) (P = 1 atm; T = 25 °C) | 4.21 wt% | [70] |
| AC_K2CO3 | Carbonization + K2CO3 | (10%CO2 + 90%N2) (P = 1 atm; T = 25 °C) | 4.13 wt% | ||
| Olive stones | CH-ACP-410 | H3PO4 | (10%CO2 + 90%N2) (P = 1 atm; T = 25 °C) | 4.6 wt% | This study |
| (10%CO2 + 90%N2) (P = 1 atm; T = 50 °C) | 2.2 wt% |
| Pseudo-First Order | Avrami’s Fractional Order | |||||||
|---|---|---|---|---|---|---|---|---|
| Samples | qe,exp | k1 | qe,calc | R2 | kA | nA | qe,calc | R2 |
| CH-ACP-410 | 0.832 | 2.133 | 0.823 | 0.967 | 2.220 | 1.062 | 0.823 | 0.967 |
| CH-ACG-410 | 0.733 | 1.527 | 0.720 | 0.948 | 1.503 | 0.955 | 0.720 | 0.948 |
| CO-ACG-390 | 0.701 | 1.113 | 0.706 | 0.944 | 1.161 | 2.463 | 0.704 | 0.997 |
| PH-ACG-850 | 1.248 | 0.978 | 1.239 | 0.953 | 0.921 | 2.137 | 1.235 | 0.989 |
| Intraparticle Diffusion Model Parameters | |||||||||
|---|---|---|---|---|---|---|---|---|---|
| First Region | Second Region | Third Region | |||||||
| Samples | k1 | C1 | R2 | k2 | C2 | R2 | k3 | C3 | R2 |
| CH-ACP-410 | 1.090 | −0.226 | 0.997 | 0.194 | 0.537 | 0.895 | 0.006 | 0.709 | 0.935 |
| CH-ACG-410 | 0.800 | −0.184 | 0.996 | 0.156 | 0.449 | 0.904 | 0.008 | 0.676 | 0.953 |
| CO-ACG-390 | 1.183 | −0.697 | 0.982 | 0.170 | 0.440 | 0.854 | 0.0006 | 0.708 | 0.327 |
| PH-ACG-850 | 1.898 | −1.128 | 0.985 | 0.315 | 0.690 | 0.844 | 0.007 | 1.199 | 0.956 |
Disclaimer/Publisher’s Note: The statements, opinions and data contained in all publications are solely those of the individual author(s) and contributor(s) and not of MDPI and/or the editor(s). MDPI and/or the editor(s) disclaim responsibility for any injury to people or property resulting from any ideas, methods, instructions or products referred to in the content. |
© 2026 by the authors. Licensee MDPI, Basel, Switzerland. This article is an open access article distributed under the terms and conditions of the Creative Commons Attribution (CC BY) license.
Share and Cite
Moussa, M.; Pevida, C.; Querejeta, N.; Ouederni, A. Comparison of Granular and Pellet Olive Stone-Based Activated Carbon in Adsorption-Based Post-Combustion CO2 Capture. Processes 2026, 14, 1023. https://doi.org/10.3390/pr14061023
Moussa M, Pevida C, Querejeta N, Ouederni A. Comparison of Granular and Pellet Olive Stone-Based Activated Carbon in Adsorption-Based Post-Combustion CO2 Capture. Processes. 2026; 14(6):1023. https://doi.org/10.3390/pr14061023
Chicago/Turabian StyleMoussa, Meriem, Covadonga Pevida, Nausika Querejeta, and Abdelmottaleb Ouederni. 2026. "Comparison of Granular and Pellet Olive Stone-Based Activated Carbon in Adsorption-Based Post-Combustion CO2 Capture" Processes 14, no. 6: 1023. https://doi.org/10.3390/pr14061023
APA StyleMoussa, M., Pevida, C., Querejeta, N., & Ouederni, A. (2026). Comparison of Granular and Pellet Olive Stone-Based Activated Carbon in Adsorption-Based Post-Combustion CO2 Capture. Processes, 14(6), 1023. https://doi.org/10.3390/pr14061023

