Next Article in Journal
Sustainable Strategy to Fight Hidden Hunger Using Food Waste: The Case of Aquatic Food Products
Previous Article in Journal
Effects of Scrap Steel Charging Structure on the Fluid Flow Characteristics in a Physical Model of a Converter Melt Pool
 
 
Font Type:
Arial Georgia Verdana
Font Size:
Aa Aa Aa
Line Spacing:
Column Width:
Background:
Article

Study on Flow Field Excitation and Rotor Shaft Response of the High-Temperature Molten Salt Circulating Primary Pump

1
National Research Center of Pumps, Jiangsu University, Zhenjiang 212013, China
2
School of Mechanical Engineering, Nantong University, Nantong 226000, China
3
Jiangsu Feiyue Pump Group Co., Ltd., Taizhou 214537, China
*
Author to whom correspondence should be addressed.
Processes 2026, 14(3), 502; https://doi.org/10.3390/pr14030502
Submission received: 22 December 2025 / Revised: 28 January 2026 / Accepted: 28 January 2026 / Published: 31 January 2026
(This article belongs to the Section Petroleum and Low-Carbon Energy Process Engineering)

Abstract

This study examines the impact of fluid excitation forces on the dynamic response of high-temperature molten salt circulating primary pump rotor systems. Unsteady simulations were conducted in ANSYS CFX to characterize pressure pulsation and radial forces across all impeller stages. Critical speeds and vibration modes were subsequently analyzed using SAMCEF to evaluate transient responses under varying flow rates. Key findings: Numerical performance predictions align with experimental data within a 5% error margin. The first-stage impeller exhibits a pressure-pulsation frequency of twice the rotational frequency (2 fR), while the fifth-stage impeller oscillates at the guide-vane passing frequency (fDPF). Under rated conditions, the radial force on the first stage is significantly larger than on the other stages. As the flow rate varies, the radial forces on the first and fifth stages change in opposite directions due to rotor–stator interaction. The rotor system’s critical speed (1894.5 r/min) exceeds the operating speed, eliminating resonance risk. Without radial forces, impeller displacements follow elliptical trajectories with maximum amplitude at the fifth stage. When radial forces are included, displacements become irregular, and shaft constraints cause peak displacement at the fourth stage. These findings provide useful insight for the design and analysis of molten salt primary pump rotor systems.

1. Introduction

The high-temperature molten salt pump serves as the “power heart” of concentrated solar power systems. It operates with a long shaft under high temperature and pressure, and its reliability is critical to the safety of the entire molten salt thermal cycle [1,2,3]. Two main pump types are employed in the molten salt loop. The high-temperature molten salt circulating primary salt pump, often termed the “cold salt pump” in engineering contexts, transports cooled molten salt from the storage tank to the receiver tower at approximately 300 °C. Through a multi-stage impeller design, it pressurizes the salt to reach receiver towers that can be hundreds of meters tall. As a result, the pump features a long submerged shaft operating under high temperature and pressure, and is characterized by high flow rate, high head, extended shaft length, and multiple impeller stages. Owing to its multi-stage configuration, long rotor, high head, and absence of lower support, the cold salt pump operating at high temperature is prone to vibration, noise, structural deformation, and component wear caused by rotor imbalance and flow-induced hydraulic excitation [4,5,6,7,8,9,10]. The operational stability of the pump directly affects the reliability of the whole salt circulation system; a pump failure would shut down the plant. Hence, a thorough study of the internal hydraulic excitation and structural dynamics of the cold salt pump is of considerable importance.
As a key component of concentrated solar power systems, the high-temperature molten salt pump has been widely studied by researchers globally. Shen [11] used finite element software to simulate sealing leakage, dynamic sealing behavior, and rotor-system dynamics. Liu [12] studied the hydrodynamic performance of bearings operating in high-temperature molten salt. Li [13] compared the thermodynamic performance of a combined heat and power unit integrated with a molten salt thermal storage system and an electric heat pump. Gao [14] examined the relationship between unsteady vortex structures and pressure pulsation characteristics in a high-temperature circulating molten salt pump. Shen et al. [15,16] analyzed the effects of elevated temperatures on seismic resistance and rotordynamics characteristics, identifying an optimal pump configuration with fixed bearing span but varying overhang lengths that effectively reduced structural vibrations. Li [17] optimized the volute structure of molten salt pumps, demonstrating that double-volute designs suppress vortex formation in the tongue region while improving radial force balance on impellers. Gu [18] investigated the relationship between pressure fluctuations and vortex structure evolution. Cheng [19] examined transient flow characteristics under varying molten salt viscosities, revealing that low-viscosity conditions induce hump-shaped head-flow curves, whereas increased viscosity effectively eliminates this phenomenon. Jin et al. [20,21,22] performed numerical simulations of the upper seal in a high-temperature circulating molten salt pump, established correlations between key variables and seal performance, and designed an optimized shaft system with combined guide vanes. Their work also revealed energy-loss mechanisms in the front and rear cover-plate cavities. Hu [23] employed a bulk-flow model to evaluate the rotordynamic coefficients of liquid seals. Qian [24] studied how thermal decomposition of molten salt at high temperature affects internal pump flow. Using a coupled CFD-PBM approach, they examined bubble size and distribution across different flow rates, showing that bubble accumulation in the first-stage impeller is the primary reason for performance loss under gas–liquid operation. Kang [25] investigated the influence of molten salt flow rate on pump rotordynamics. Zhu [26] analyzed the effect of temperature-dependent material properties on the structural performance of a high-temperature circulating molten salt pump. Cheng et al. [27,28,29] utilized the distribution of solid particles in the pump flow field to assess internal wear. They analyzed the velocity distribution of the two-phase flow under different particle sizes and inlet volume fractions, as well as the resulting impact on impeller blades. The effect of blade number on pump performance was also examined. Wang [30] carried out performance optimization for a liquid molten salt pump. Wang [31] applied a fluid–solid–thermal multiphysics coupling approach to systematically investigate the structural stress of a high-temperature circulating molten salt pump under extreme thermal conditions.
This paper takes a certain new type of cold salt pump as the research object; the flow-induced excitation characteristics are simulated numerically using CFX, while the critical speed, mode shapes, and transient response of the rotor system are analyzed with SAMCEF 17.0. These analyses provide design insights for optimizing the pump rotor system.

2. Model Parameters

2.1. Geometric Model

The present work analyzes a cold salt pump with the following design parameters: flow rate Q = 1155 m3·h−1, single-stage head H1 = 72 m, total head H = 360 m, rotational speed n = 1480 r·min−1, impeller inlet diameter D1 = 345 mm, and outlet diameter D2 = 510 mm. The fluid domain (Figure 1) comprises an inlet bell, first-stage impeller, volute, intermediate conduit, second-to-fifth-stage impellers, spatial guide vanes, and an outlet pipe. Structurally, the first-stage impeller is paired with a double-volute casing. The flow subsequently passes through a long dual-passage conduit before entering the second-stage impeller. Stages two through five are equipped with spatially arranged guide vanes connected in series. This configuration contributes to reduced system vibration and enhanced operational stability.
The computational domain includes the complete flow passage from the pump inlet to the outlet. The working fluids are defined as 25 °C water and 300 °C molten salt. The thermo-physical properties of the molten salt at 300 °C are adopted from the literature: density = 1899.2 kg/m3, dynamic viscosity = 3.26 mPa·s, specific heat = 1494.6 J/(kg·°C), and thermal conductivity = 0.5 W/(m·°C). The impeller and long shaft are constructed from 347H stainless steel (07Cr18Ni11Nb). The corresponding material properties, sourced from the literature, are listed in Table 1 [32].

2.2. Mesh Generation

To ensure both accuracy and computational efficiency, the quality and size of the fluid domain mesh were determined according to the model geometry and boundary conditions. The rotating components were discretized with hexahedral structured grids using ANSYS ICEM CFD 2022 R1, while the stationary parts were meshed with tetrahedral unstructured grids.
To ensure the reliability of the simulation results, a mesh independence study was conducted, accompanied by an analysis of the near-wall mesh quality. The latter is critical because the dimensionless wall distance, y+, directly determines the modeling fidelity of the viscous boundary layer, which is essential for accurately predicting wall shear stress, flow separation, and overall pump performance. The study employed six mesh densities under identical boundary conditions, as summarized in Table 2. Preliminary results indicate that when the mesh number reaches 1.221 × 107, the variation in head stabilizes, suggesting that mesh convergence has been achieved. Further increasing the mesh number has little impact on the calculated head. As the mesh number increases, the y+ value gradually decreases, which is attributed to the progressive refinement of the mesh in the near-wall region. y+ is a dimensionless parameter representing the distance from the wall to the first computational node; its magnitude determines the modeling approach for the flow near the wall. Therefore, a smaller y+ value is desirable, as it allows for a more accurate resolution of the flow characteristics in the vicinity of the wall. Based on the balance between accuracy and computational cost, Mesh 3 was selected for the final simulations.
The meshing result with refined wall grids is shown in Figure 2. The mesh quality was evaluated as follows: the first-stage impeller scored 0.38, the remaining impellers 0.34, the spatial guide vanes 0.32, and the other stationary components averaged 0.30.

2.3. Turbulence Model and Boundary Conditions

The four turbulence models, namely Standard k-ε, RNG k-ε, Standard k-ω, and SST k-ω, were selected for comparison to conduct a turbulence model independence analysis. These models are widely recognized for their high reliability in simulating internal flows in pumps. Their extensive application in rotating machinery is based on a well-established capability to accurately capture critical flow features, such as strong swirl, streamline curvature, and adverse pressure gradients in multistage configurations.
(1)
Standard k-ε Model
The standard k-ε turbulence model, which is primarily based on the turbulent kinetic energy and its dissipation rate, offers relatively high computational accuracy and broad applicability, making it one of the most widely used turbulence models. However, due to its reliance on wall functions, its predictive accuracy is often insufficient for flows with separation, strong swirl, or high curvature. The governing equations are given below.
Turbulent kinetic energy (k) equation:
t ρ k + x i ρ k U i = x i μ + μ t σ k k x i + G k + G b ρ ε Y M + S k
Dissipation rate (ε) equation:
t ρ ε + x i ρ ε U i = x i μ + μ t σ ε ε x i + C 1 ε ε k ( G k + G 3 ε G b ) C ε 2 ρ ε 2 k + S ε
In the equations, S k and S ε are user-defined source terms; μ t is the turbulent viscosity coefficient, μ t = ρ C μ k 2 ε ; model constants are C μ = 0.09 , C ε 1 = 1.44 , C ε 2 = 1.44 , σ k = 1.0 , σ ε = 1.3 .
(2)
RNG k-ε Model
The RNG k-ε model modifies the standard k-ε model by applying renormalization group theory to adjust the turbulent viscosity and account for vortex effects, thereby incorporating the influence of turbulent eddies. Although its transport equations for turbulent kinetic energy and dissipation rate are similar in form to those of the standard k-ε model, the model constants differ. Due to its consideration of factors such as high strain rates and strongly curved flow surfaces, the RNG k-ε model achieves higher computational accuracy for rotating flows, internal flow fields in turbomachinery, and boundary layers along complex curved walls. The transport equations for k and ε are as follows:
t ρ k + x i ρ k U i = x i α k μ e f f k x i + G k + G b ρ ε Y M + S k
t ρ ε + x i ρ ε U i = x i α k μ e f f k x i + C 1 ε ε k G k + G 3 ε G b C ε 2 ρ ε 2 k R ε + S ε
(3)
Standard k-ω Model
The standard k-ω model includes sub-models for compressibility effects, transitional flows, and shear flow corrections. It is more sensitive to free-stream conditions and performs better in simulating flows with adverse pressure gradients. It is widely used in turbomachinery and rotating machinery applications. Its governing equations are as follows:
k t + x i k U i = τ i j u i x i β k ω + x i v + σ v t k x i
ω t + x i ω U i = α ω k τ i j u i x i β ω 2 + x i v + σ v t ω x i
(4)
SST k-ω Model
The SST k-ω model integrates the advantages of both the k-ω and k-ε models. Near the wall, the k-ω model is used, allowing resolution within the viscous sublayer; away from the wall, the model shifts to the k-ε form, thereby mitigating the well-known sensitivity of the standard k-ω model to inlet free-stream turbulence. The SST k-ω model shows improved accuracy in predicting the onset and size of flow separation under adverse pressure gradients. Its equations are as follows:
k t + x i k U i = P k β k ω + x i v + σ v t k x i
ω t + x i ω U i = α S 2 β ω 2 + x i v + σ v t ω x i + 2 1 F 1 σ ω 2 1 ω k x i x ω x i
Typically, each computational model is best suited to a particular turbulence model. To improve the prediction of internal flow in the cold salt pump, its hydraulic performance under different turbulence models was simulated and compared with experimental data, using water as the working medium at the design flow rate. Table 3 compares the predicted and experimental performance results for the cold salt pump at the design flow rate of 1155 m3/h, showing the relative deviation for each turbulence model.
As indicated in Table 3, although the experimental results are lower than the numerical predictions, all turbulence models yield errors below 10%. The SST k-ω model shows the smallest prediction deviations for both head and efficiency, at 3.06% and 2.08%, respectively. Hence, the SST k-ω model is adopted for the present numerical simulations.
A steady-state numerical simulation of the cold salt pump was conducted using ANSYS CFX 2022 R1, with the inlet defined as a total pressure boundary, the outlet as a mass flow rate boundary, the rotor–stator interface treated by the frozen rotor method, and all walls set as no-slip surfaces. The heat transfer mode was set to isothermal. The steady-state solution provided the initial condition for the subsequent unsteady simulation. In the unsteady calculation, the rotor–stator interface was set to the Transient Rotor–Stator mode. A time step corresponding to an impeller rotation of 3° (0.000337838 s) was selected to ensure the maximum local Courant number (Cmax) remained below 1.0 throughout the computational domain. Preliminary simulations confirmed a Cmax = 0.93 under operating conditions, satisfying the accuracy criterion for transient flow resolution. The total simulation time covered 25 impeller revolutions (1.0135135 s). A residual convergence criterion of 1 × 10−4 was enforced per time step, while the radial forces on each impeller stage were monitored. The important solver settings are summarized in Table 4.

2.4. Numerical Simulation and Experimental Validation

Due to the elevated safety risks and costs associated with performance testing using molten salt, water was employed as the working medium in this study. A schematic diagram of the test rig is presented in Figure 3. The experimental instrumentation included a liquid-level gauge, high-frequency pressure transducers, and a flow meter, with measurement accuracies within ±0.1% for both the pressure transducers and the flow meter, and within ±0.2% for the liquid-level gauge.
The hydraulic performance parameters of the cold salt pump were acquired under various operating conditions. Prior to formal testing, air was purged from the pump system, and checks for vibration and seal integrity were performed. During the performance tests, data including outlet pressure, flow rate, rotational speed, and input power were recorded at designated monitoring points. Each operating point was tested three times, and the collected data were subsequently fitted for analysis.
The experimental procedure comprised the following key steps. The test rig and instrumentation were verified to be operational and calibrated. With all valves open, the pump was operated at rated conditions for over 40 min to purge air, during which the system was checked for leaks or abnormalities. The flow rate was then regulated by adjusting the outlet valve. Data were recorded at set intervals (0.2Qd) once conditions stabilized. A reverse repeatability test was subsequently performed by closing the valve stepwise, collecting data at corresponding points. At each stable operating point, three consecutive tests were conducted without intervention, with the median value adopted as the final result. Following data collection, the system was safely shut down and depressurized. The acquired data were finally processed to generate the pump performance curves.
As seen in Figure 4, the pump head decreases with increasing flow rate. Under both low- and high-flow conditions, significant deviations exist between the experimental head (water) and the numerically predicted heads for both media. However, near the design point, the head predictions agree more closely with the test data.
Regarding efficiency, the water test yields higher efficiency than the simulations at low flow rates, but lower efficiency at high flow rates. At the rated condition, the difference between experimental and numerical efficiencies remains within 5%. Based on economic and safety considerations, water is therefore adopted as the test medium for subsequent performance validation of this cold salt pump model.

3. Internal Flow and Pressure Pulsation Analysis

3.1. Flow Field Analysis Inside the Impeller

During the operation of the cold salt pump, the velocity and pressure data within the impeller are critical, as they directly reflect the pump’s performance. Figure 5 shows the axial cross-section location in the impeller flow passage, which is used to examine the velocity and pressure contours at different blade heights. Considering the structure of the volute, the first, second, and fifth-stage impellers were selected as the primary research subjects.
Figure 6, Figure 7 and Figure 8 present the relative velocity contours at the Span = 0.5 section for the three impellers under the water medium. As shown in the figures, the relative velocity of all three impellers increases with the flow rate, reaching its maximum value at the impeller outlet.
Comparing the relative velocities of the three impellers, the first-stage impeller exhibits the smallest values. Under the influence of the double-volute dual-outlet structure, its velocity contour shows a symmetrical distribution. A comparison between the second-stage and fifth-stage impellers reveals that the velocity in the second stage is higher than that in the fifth stage. The primary reasons for this are as follows:
1.
With the progressive compression through the pump stages, the temperature and density of the molten salt gradually increase, leading to a corresponding rise in viscosity. According to the continuity equation, under a constant mass flow rate, the significant increase in molten salt density at the fifth stage, without a proportional reduction in the flow passage cross-sectional area, results in a decrease in the absolute flow velocity. Furthermore, the viscous resistance of the high-temperature molten salt suppresses flow kinetic energy, further contributing to the reduction in relative velocity in the later-stage impeller.
2.
The primary task of the second-stage impeller is to withstand higher fluid kinetic energy and convert it into pressure energy. In contrast, the main role of the fifth-stage impeller is pressure elevation.
The pressure distribution contours at the span = 0.5 section under the water medium are presented in Figure 9, Figure 10 and Figure 11. These figures reveal that the pressure decreases as the flow rate increases. A symmetrical pressure distribution is observed for the first-stage impeller, matching the pattern seen in its velocity field. Furthermore, the pressure is higher in the second-stage impeller compared to the fifth-stage, a finding consistent with the comparative results of their velocity contours.

3.2. Pressure Pulsation Calculation and Analysis Inside the Impeller

3.2.1. Pressure Pulsation Coefficient

During the operation of the cold salt pump, the internal flow operates at high Reynolds numbers due to the high fluid velocity and the distinct viscous properties of molten salt, which promote turbulent flow. The stochastic nature of turbulence generates pressure fluctuations within the fluid, compromising the stability of the hydrodynamic forces acting on the impeller blades. Periodic pressure pulsations arise mainly from rotor–stator interaction and the evolution of coherent vortex structures. These pulsations induce alternating stresses, the amplitude of which directly governs the unsteady vibration intensity of the pump. This study examines the pressure pulsation characteristics of the first- and fifth-stage impellers and analyzes the associated radial force pulsations.
The dimensionless pressure pulsation coefficient Cp is defined as follows:
C p = P P ¯ 0.5 ρ u 2 2
where P denotes the instantaneous pressure, P ¯ is the time-averaged pressure, ρ represents the fluid density, and u 2 is the circumferential velocity at the impeller outlet. All pressures are in Pa, density in kg/m3, and velocity in m/s.
The fundamental pressure pulsation frequency in a cold salt pump is governed by the impeller rotational speed n , the number of impeller blades Z , the geometry of the discharge casing, and the number of guide vanes Z 0 . In the guide-vane region, the dominant frequency is the blade passing frequency ( f BPF ), which is determined by the impeller rotation and blade count as f BPF = n Z / 60 . Conversely, within the impeller region, the dominant disk passage frequency ( f DPF ) is set by the guide-vane configuration according to f DPF = n Z 0 / 60 , where Z0 = 7 is the number of guide vanes in the spatial diffuser.

3.2.2. Impeller Pressure Pulsation Analysis

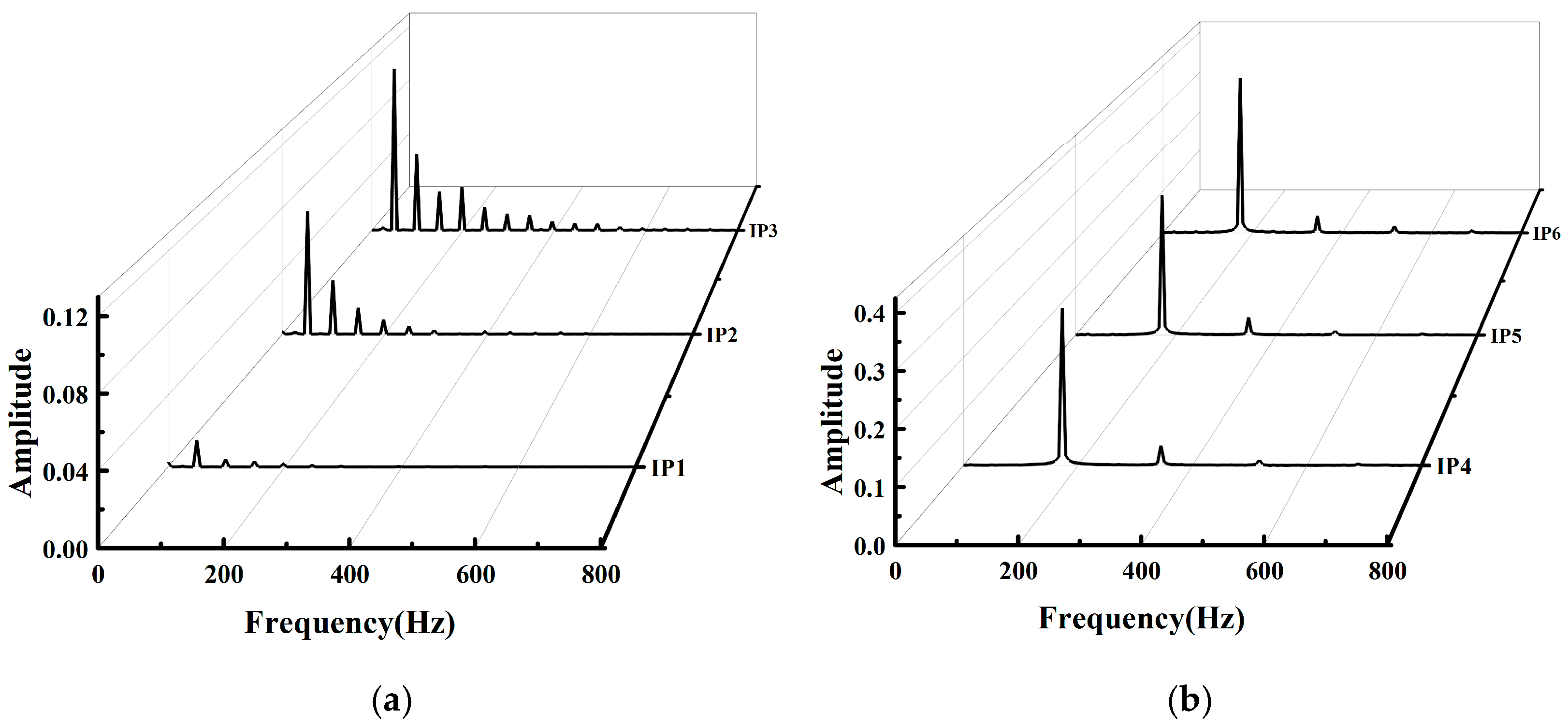
Figure 12 shows the locations of monitoring points on the pressure and suction surfaces of the first-stage and fifth-stage impellers. “IP1”, “IP2”, “IP3” are monitoring points on the pressure surface of the first-stage impeller, while “IS1”, “IS2”, “IS3” are monitoring points on the suction surface of the first-stage impeller. “IP4”, “IP5”, “IP6” are monitoring points on the pressure surface of the fifth-stage impeller, and “IS4”, “IS5”, “IS6” are monitoring points on the suction surface of the fifth-stage impeller.
Figure 13 shows the time-domain pressure coefficient (Cp) on the suction and pressure surfaces of the first-stage and fifth-stage impellers under rated conditions. The Cp signals at the first stage exhibit periodic oscillations. Each full rotation of the impeller interacts with the double-volute and dual-discharge outlets, producing two distinct peaks and troughs per cycle. At the fifth stage, similar periodic fluctuations are observed. Seven peaks and seven troughs occur per revolution due to interaction with a seven-vane space diffuser. These patterns are determined by the volute configuration: a double volute in the first stage and a seven-vane diffuser in the fifth stage. The amplitude of Cp is lower at the first stage than at the fifth stage.
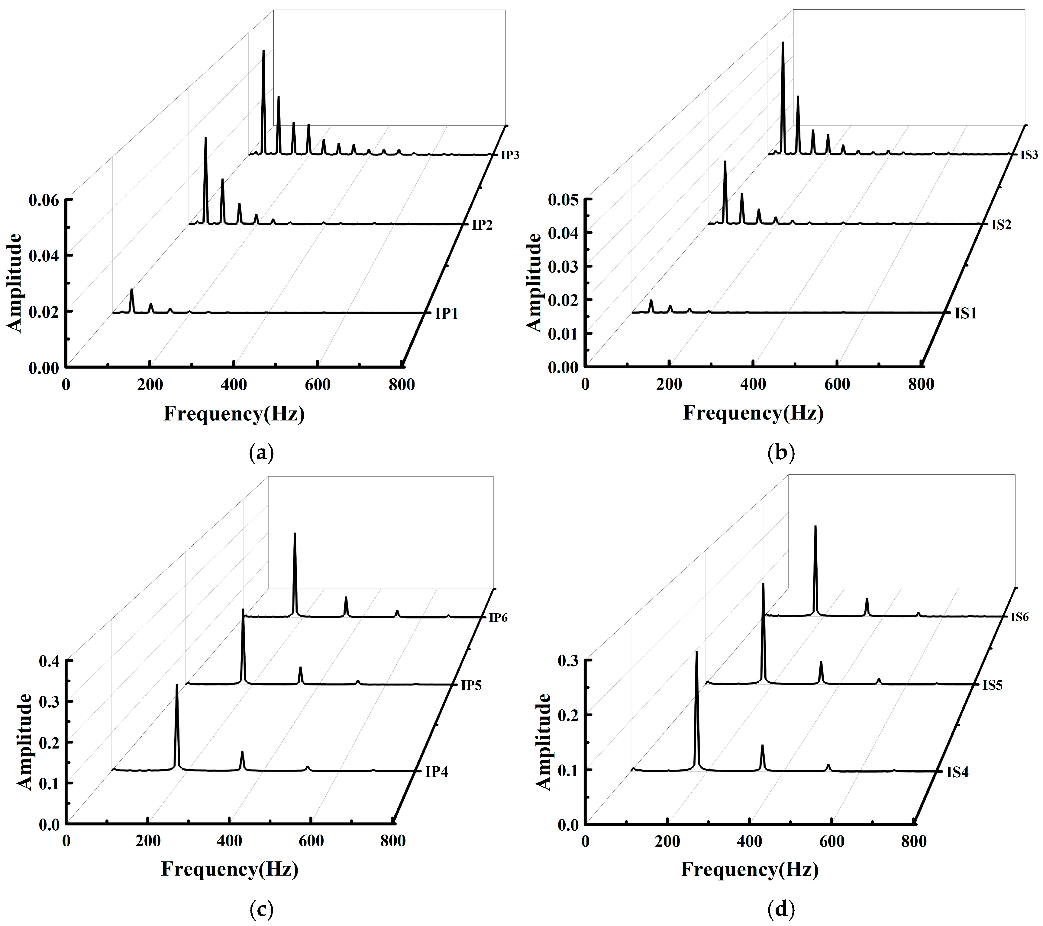
Figure 14 and Figure 15 present the pressure pulsation spectra of the first-stage and fifth-stage impeller blades under rated conditions. The dominant frequency of the first-stage impeller is twice the rotational frequency (2 fR), where fR = n/60 = 24.67 Hz. In contrast, the fifth-stage impeller exhibits a dominant frequency equal to the guide-vane passing frequency (fDPF = 172.67 Hz), which is substantially higher. Moreover, there are more fluctuations in the main frequency of the first-stage impeller. This behavior results from the distinct discharge-chamber geometries: the first stage employs a double-volute casing, whereas the fifth stage uses a seven-blade spatial guide vane.
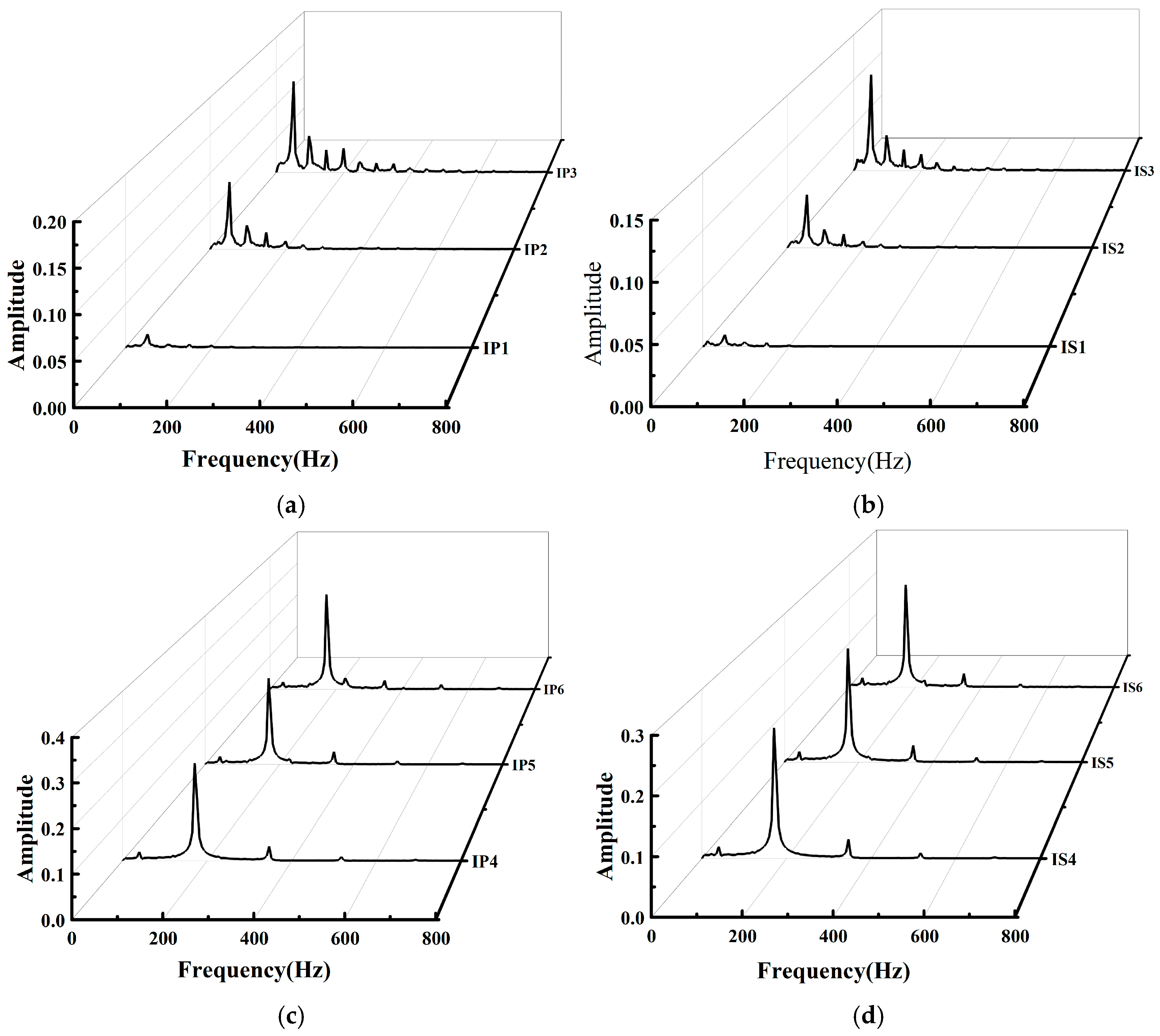
Figure 16 and Figure 17 show the pressure pulsation spectra of the first-stage and fifth-stage impellers at flow rates of 0.8Qd and 1.2Qd. The characteristic frequencies match those under the rated condition: the rotational frequency fR, the guide-vane passing frequency fDPF, and their harmonics. In addition, the pulsation amplitude increases with the flow rate.
The root-mean-square (RMS) value of the pressure pulsation coefficient is commonly employed to characterize pressure pulsations under various locations and operating conditions. By computing the RMS of the pressure signal, the energy content of the fluctuations can be quantified, which aids in evaluating the unsteady flow behavior inside the pump. The RMS is defined as follows:
RMS = C P 1 2 + C P 2 2 + C P 3 2 + + C P N 2 N
where CP1 is the pressure coefficient at the initial sampling point, CPN is the pressure coefficient at the final sampling point, and N is the total number of sampling points.
Based on the findings in this section, the pressure pulsation frequencies of both the first-stage and fifth-stage impellers are concentrated within 600 Hz. Therefore, the root-mean-square (RMS) amplitude of pressure pulsations in the 0–600 Hz range is calculated. The results are presented in Figure 18.
Figure 18 illustrates that the root-mean-square (RMS) values of the first-stage impeller increase from monitoring point P1 to P3, with the pressure side exhibiting higher levels than the suction side. The fifth-stage impeller shows significantly greater RMS values overall, particularly at pressure-side point P3, where a marked rise occurs relative to points P1 and P2. Furthermore, across the flow range of 1.0 ± 0.2 Qd, the RMS at each monitoring point decreases as the flow rate increases, demonstrating that flow rate substantially affects the pulsation amplitude.

3.2.3. Impeller Radial Force Pulsation Analysis

The radial force on an impeller arises from pressure differences between the two sides of the blades and across the inlet and outlet. In the present cold salt pump, the first stage discharge chamber features a double-volute dual-outlet geometry, whereas the subsequent stages are fitted with spatial guide vanes. Under unsteady flow, these configurations induce significant local pressure fluctuations, leading to asymmetric instantaneous radial forces that degrade pump reliability, reduce service life, and impair operational stability. Therefore, during the unsteady simulation, the radial force acting on each impeller stage is monitored. The radial force components in the x and y directions are recorded separately, and the resultant radial force F r is obtained from the following equation:
F r = F X 2 + F Y 2
Figure 19 displays the radial forces on each impeller stage during the final rotation cycle under rated conditions. Under molten salt operation at the rated point, the radial force on the first-stage impeller is significantly greater than on the other stages. This difference arises because the spatial guide vanes improve flow guidance, mitigating radial force imbalance caused by flow asymmetry.
For comparison, the radial forces from the last unsteady cycle are analyzed for the first and fifth stages. Their polar plots under molten salt are shown in Figure 20 and Figure 21. At a constant rotational speed, the radial force on the first stage decreases with increasing flow rate and exhibits a sinusoidal variation due to rotor–stator interaction, reaching a maximum of approximately 4350 N. In contrast, the radial force on the fifth stage increases with flow rate, peaking at about 575 N.
Figure 20 shows multiple peaks and troughs in the radial force distribution of the first-stage impeller. This pattern results from its double-volute double-outlet pipe, which generates two dominant peaks per revolution. By contrast, the fifth-stage impeller, equipped with a spatial guide-vane chamber, exhibits a more uniform force distribution. Furthermore, as the flow rate increases from low to high, the radial forces on the first and fifth stages vary in opposite directions. This contrasting behavior stems from their distinct structural arrangements and corresponding flow conditions within the pump.
The main role of the first-stage impeller is to accelerate and direct the flow. At low flow rates, unsteady velocities and the double-volute discharge chamber cause non-uniform flow between the impeller and volute, resulting in high radial forces. As the flow increases, the motion stabilizes, and the radial force decreases. In contrast, the fifth-stage impeller operates in a high-pressure region. When the flow rises, higher velocities and pressure differences increase the centrifugal force, leading to a larger radial force. Conversely, at low flow rates, the radial force on the fifth-stage is reduced.

4. Critical Speed Calculation and Analysis

4.1. Rotor Model

The rotor system model comprises three main components: impellers, shaft, and bearings, as depicted in Figure 22. Bearings are labeled A~L, the five impellers are labeled M~Q, and the shaft is labeled R. The total shaft length is 9383 mm. Both impellers and the shaft are fabricated from 347H material with a density of 7880 kg/m3, a Poisson’s ratio of 0.281, and an elastic modulus of 177 GPa.
The cold salt pump rotor system was simplified by lumping the shaft segments, bearings, and rotating components. The summarized parameters are presented in Table 5. Based on this simplified model, 19 discrete points were defined.

4.2. Numerical Simulation

The rotor model incorporates twelve bearings. Using the SAMCEF Rotor platform, the shaft parameters are specified, and bearing constraints are applied at the designated locations. Based on the bearing design, material properties, and operating environment, the bearing stiffness and damping are defined as Kxx = Kyy = 1.2 × 107 N/m, Cxx = Cyy = 1.2 × 105 N·m/s. Damping has a negligible effect on the calculated critical speeds and mode shapes of the rotor system, and can therefore be neglected. The shaft end is fixed. A tetrahedral mesh with a global element size of 21 mm is generated, resulting in a total of 179,117 elements.
The frequency range is defined from 0 Hz to 592 Hz with 24 steps, corresponding to an interval of 24.6666 Hz and a rotational speed of 1480 r/min. The first 10 eigenvalues are computed via the pseudo-mode method to determine the critical speeds. From this procedure, the Campbell diagram and the mode shapes of the rotor system are obtained.
Following the modal analysis of the cold salt pump rotor system, the first ten natural frequencies and corresponding mode shapes are obtained [33]. The first six modes are examined; their mode shapes are shown in Figure 11, with natural frequencies of 31.58, 43.37, 43.76, 43.77, 44.84, and 47.31 Hz.
As shown in Figure 23, the first-order mode is dominated by torsional deformation of the impellers. The second, third, and fourth modes are dominated by bending in the central long shaft. The sixth mode involves a combination of impeller and shaft deformation, with the maximum deflection located at the fifth-stage impeller and the adjoining shaft section.
Critical speeds are typically influenced by forward whirl. In rotor dynamics, the direction of whirl is determined by the relative relationship between the precession direction of the rotor cross-section centerline and the direction of the rotor’s own rotation: when the two directions are the same, it is referred to as “forward whirl”; when they are opposite, it is termed “backward whirl”. Table 6 lists the first six critical speeds of the rotor system. The results show backward whirl occurring in the second, fourth, and sixth modes. Thus, only the first, third, and fifth critical speeds are considered. The first critical speed is 1894.5 r/min. The cold salt pump operates at 1480 r/min, with a ±20% operating range of 1233~1776 r/min. Since the first critical speed exceeds this range, resonance is avoided during normal operation.

5. Transient Response Calculation and Analysis

During operation of the cold salt pump rotor system, noise, vibration, and component wear arise from rotor unbalance and hydraulic excitations generated by the flow field. In the event of failure, the entire power generation cycle would cease operation. Transient response analysis was therefore conducted to identify affected rotor components, providing a basis for structural optimization and enhanced operational stability of the rotor system.
The permissible rotor unbalance can be calculated as follows:
e p e r = G × 1000 n / 10
m p e r = e p e r × M / r
where mper denotes the permissible unbalance mass (g), eper represents the rotor eccentricity (μm), M is the rotor mass (kg), G is the balance quality grade (mm/s; G = 6.3 for pump impellers), r is the correction radius (mm), and n is the rotational speed (r/min). The calculation is based on a balance quality grade of G = 6.3 mm/s for pump impellers, a rotor mass of M = 88.247 kg, a rotational speed of n = 1480 r/min, and an assumed correction radius of r = 255 mm. Using Equations (12) and (13), the calculated eccentricity of impeller is eper = 42.57 μm, with a corresponding permissible maximum unbalance mass mperr = 15 g.

5.1. Transient Response Under Dry Conditions

The term “dry condition” refers to the operation of the rotor system in air only, without any fluid load.
In SAMCEF Rotor, the solver is set to Transient Response mode. To reduce computation time, a one-dimensional model is employed, with boundary conditions identical to those used in the critical-speed analysis. To examine the effect of the maximum residual unbalance on the rotor system, an unbalance mass of 15 g with an eccentricity of 42.57 μm and uniform phase is applied to every impeller stage, simulating an actual dry-run condition in which each stage experiences the same unbalance. The transient displacement of each impeller is recorded. The total simulation time is 5 s. Speed ramps up from 0 to 1480 r/min during the first 4 s, then remains constant at 1480 r/min for the final 2 s. Results are output every 0.01 s, corresponding to 14,800 calculation steps.
Figure 24 displays the shaft orbits of all impeller stages under dry conditions at rated speed. The orbits show similar shapes across all stages. Displacement increases with stage number, with the fifth stage exhibiting the largest transient displacement and the first stage exhibiting the smallest.

5.2. Transient Response Under Wet Conditions

The cold salt pump operates in 300 °C molten salt, where it experiences both mass unbalance and fluid-induced excitation. To examine the rotor response under wet conditions, a transient analysis incorporating impeller radial forces is carried out [34].
Following the dry transient analysis, the rotor speed is held constant at 1480 r/min until a steady rotational state is achieved. Subsequently, the radial forces from the unsteady CFD simulation are applied in the x and y directions to each impeller. The loading is maintained for 1 s, with all other settings unchanged from the dry case. Figure 25 presents the shaft orbit during the final impeller rotation cycle (approximately 0.04 s) for analysis.
All impellers except the fifth-stage impeller display orbits with seven clear peaks and troughs. The fourth stage shows the largest displacement. Since the orbital shapes closely follow the radial-force distribution on the impellers, the pattern appears to be influenced by the number of impeller blades.

6. Conclusions

(1)
Numerical predictions agree closely with experimental performance data, confirming the feasibility of using computational fluid dynamics for molten salt pump analysis.
(2)
Analysis of pressure pulsations in the first- and fifth-stage impellers shows that the dominant frequency for the first stage is twice the rotational frequency (2 fR), while that for the fifth stage corresponds to the guide-vane passing frequency (fDPF). The amplitude and root-mean-square (RMS) value of the pressure pulsations decrease as the flow rate increases.
(3)
The structural configuration of this cold salt pump model results in significantly higher radial forces on the first-stage impeller compared to subsequent stages. With increasing flow rate, this force decreases on the first stage but rises on the fifth stage. In practice, radial-force concentration can be alleviated by introducing an angular offset between the impellers and guide vanes.
(4)
The critical speed of the rotor system is determined as 1894.5 r/min, which exceeds the operating speed; thus, resonance is avoided during normal service. Torsional vibration can be further suppressed by increasing the bearing stiffness or adjusting the rotor structure.
(5)
Transient analysis of the cold salt pump rotor system shows that under dry conditions, the shaft orbits are elliptical, with the largest transient displacement occurring at the fifth-stage impeller. This displacement is small and has little effect on the shaft system. Under wet conditions, all impellers except the fifth-stage impeller exhibit shaft orbits with seven peaks and troughs, and the largest transient displacement appears at the fourth-stage impeller. Adjusting the bearing positions based on these orbital patterns can improve rotor-system stability.

Author Contributions

Conceptualization, X.G.; methodology, X.G. and W.S.; software, X.Z. and R.Z.; validation, D.W. and R.Z.; formal analysis, X.G.; investigation, Z.Z.; resources, X.G. and D.W.; data curation, X.Z. and Z.Z.; writing—original draft preparation, X.G.; writing—review and editing, W.S.; visualization, X.Z.; supervision, W.S.; project administration, D.W. and W.S.; funding acquisition, X.G. All authors have read and agreed to the published version of the manuscript.

Funding

This research was funded by the Jiangsu Province Frontier Technology R & D Program (Grant No. BF2025054) and the Science and Technology Plan of Jiangsu Province: Achievements Transformation Project (Grant No. BA2016167).

Data Availability Statement

The original contributions presented in this study are included in the article. Further inquiries can be directed to the corresponding author.

Conflicts of Interest

Author Daohong Wang was employed by Jiangsu Feiyue Pump Group Co., Ltd. The remaining authors declare that the research was conducted in the absence of any commercial or financial relationships that could be construed as a potential conflict of interest. The Jiangsu Feiyue Pump Group Co., Ltd. had no role in the design of the study; in the collection, analyses, or interpretation of data; in the writing of the manuscript, or in the decision to publish the results.

Nomenclature

Qflow rate
H1single-stage head
Htotal head
nrotational speed
D1impeller inlet diameter
D2impeller outlet diameter
ηpump efficiency
CPpressure coefficient
Pinstantaneous pressure
ρfluid density
fRrotational frequency
fDPFguide-vane passing frequency
Frradial force

References

  1. Hunt, J. Handling molten salt for sun power. World Pumps 2011, 1, 22–26. [Google Scholar] [CrossRef]
  2. Barth, D.L.; Pacheco, J.E.; Kolb, W.J.; Rush, E.E. Development of a high-temperature, long-shafted, molten-salt pump for power tower applications. J. Sol. Energy Eng. 2002, 124, 170–175. [Google Scholar] [CrossRef]
  3. Smith, D.C.; Rush, E.E.; Matthews, C.W.; Chavez, J.M.; Bator, P.A. Operation of Large-Scale Pumps and Valves in Molten Salt. J. Sol. Energy Eng. 1994, 116, 137–141. [Google Scholar] [CrossRef]
  4. Zhang, X.; Wang, P.; Ruan, X.; Xu, Z.; Fu, X. Analysis of Pressure Pulsation Induced by Rotor-Stator Interaction in Nuclear Reactor Coolant Pump. Shock Vib. 2017, 2017, 7363627. [Google Scholar] [CrossRef]
  5. Zavoico, A.B. Solar Power Tower Design Basis Document, Revision; Office of Scientific & Technical Information Technical Reports; Sandia National Labs.: Albuquerque, NM, USA, 2001. [Google Scholar]
  6. Nunes, V.M.B.; Queiros, C.S.; Lourenco, M.J.V.; Santos, F.J.V.; Nieto de Castro, C.A. Molten salts as engineering fluids—A review: Part I. Molten alkali nitrates. Appl. Energy 2016, 183, 603–611. [Google Scholar] [CrossRef]
  7. Ning, Y.; Zhang, D.; Zhang, E.; Li, Y. Impact of surface roughness on the start-up properties of water-lubricated bearings in energy recovery turbochargers. Phys. Fluids 2025, 37, 017105. [Google Scholar] [CrossRef]
  8. Ning, Y.; Zhang, D.; Li, Y.; Pan, Q.; Shi, L.; Shen, X.; Zhang, E. Study on four degree of freedom operation characteristics of the water-lubricated bearing for energy recovery turbocharger. Phys. Fluids 2025, 37, 017147. [Google Scholar] [CrossRef]
  9. Zhang, L.; Xu, H. Effect of radial clearance on the dynamic behavior of adjustable journal bearings in turbulent and laminar flow regimes. AIP Adv. 2023, 13, 025362. [Google Scholar] [CrossRef]
  10. Yan, S.; Ye, Z.; Wang, D.; Ma, J.; Zhou, W. Structural Analysis and Optimization of Ultra-High Speed Centrifugal Pump Rotor System Considering Fluid–Structure Interaction. Water 2024, 16, 1471. [Google Scholar] [CrossRef]
  11. Shen, X.; Fu, Y.; Zhang, J. Study on the effect of thermal deformation on the liquid seal of high-temperature molten salt pump in molten salt reactor. Nucl. Sci. Tech. 2023, 34, 27. [Google Scholar] [CrossRef]
  12. Liu, Y.; Che, S.; Burak, A.; Barth, D.L.; Zweibaum, N.; Chen, M. Numerical Investigations of Molten Salt Pump Journal Bearings Under Hydrodynamic Lubrication Conditions for FHRs. Nucl. Sci. Eng. 2023, 197, 907–919. [Google Scholar] [CrossRef]
  13. Li, X.; Xu, J.; Wang, Z.; Zhao, G.; Ma, S. Comparative investigation on the thermodynamic performance of the combined heat–power unit integrating with the molten salt thermal storage system and electric heat pump. Appl. Therm. Eng. 2025, 279, 127819. [Google Scholar] [CrossRef]
  14. Gao, B.; Li, C.; Ni, D.; Zhou, W.; Chen, J. Influence of unsteady flow on pressure pulsation characteristics in high-temperature molten salt pump. J. Drain. Irrig. Mach. Eng. 2021, 39, 338–344. [Google Scholar]
  15. Shen, C.; Fu, Y.; Zhang, Y.; Yang, J.; Li, J. Study on the cantilever ratio optimization of high-temperature molten salt pump for molten salt reactor based on structural integrity. Nucl. Eng. Technol. 2024, 56, 3730–3739. [Google Scholar] [CrossRef]
  16. Shen, C.; Fu, Y.; Zhang, Y.; Yang, J.; Wang, Y.; Li, J. Study on the effect of high temperature on the seismic performance and rotor dynamic characteristics of the molten salt pump for reactor. Ann. Nucl. Energy 2026, 226, 111848. [Google Scholar] [CrossRef]
  17. Li, Q.; Zhang, R.; Xu, H. Effects of volute structure on energy performance and rotor operational stability of molten salt pumps. J. Appl. Fluid Mech. 2023, 16, 1615–1626. [Google Scholar] [CrossRef]
  18. Gu, J.; Gao, B.; Ni, D.; Li, C.; Zhong, Y. Investigation on the unsteady pressure pulsations and related vortical structures in a molten salt pump. Energy Sci. Eng. 2022, 10, 2858–2876. [Google Scholar] [CrossRef]
  19. Cheng, W.; Shao, C.; Zhou, J. Unsteady study of molten salt pump conveying mediums with different viscosities. Int. J. Heat Mass Transf. 2019, 137, 174–183. [Google Scholar] [CrossRef]
  20. Jin, Y.; Zhang, D.; Song, W.; Lu, J. Analysis of structural characteristics of key components of high-temperature molten salt pumps. J. Eng. Therm. Energy Power 2022, 37, 70–78. [Google Scholar]
  21. Jin, Y.; Zhang, D.; Sheng, X.; Shi, L.; Shi, W.; Wang, D. Effect of molten salt properties on internal flow and disk friction loss characterstics of molten salt pump. Acta Energiae Solaris Sin. 2020, 41, 176–184. [Google Scholar]
  22. Jin, Y.; Zhang, D.; Shi, L.; Shen, X.; Shi, W.; Wang, D. Numerical investigation of flow structure and energy loss in Impeller side chamber of molten salt pump. Acta Energiae Solaris Sin. 2020, 41, 326–334. [Google Scholar]
  23. Hu, Y.; Wang, D.; Fu, Y.; Yin, J. Numerical study on rotordynamic coefficients of the seal of molten salt pump. Nucl. Sci. Tech. 2016, 27, 114. [Google Scholar] [CrossRef]
  24. Qian, C.; Liu, H.; Qi, Z.; Liu, W.; Zhang, R. Study on the effect of solar salt thermal decomposition reaction on internal and external characteristics of molten salt pump. Proc. Inst. Mech. Eng. Part A J. Power Energy 2024, 239, 547–558. [Google Scholar] [CrossRef]
  25. Kang, C.; Zhu, Y.; Li, Q. Effects of hydraulic loads and structure on operational stability of the rotor of a molten-salt pump. Eng. Fail. Anal. 2020, 117, 104821. [Google Scholar] [CrossRef]
  26. Zhu, R.; Chen, Y.; An, C.; Kang, J.; Long, Y.; Ge, J. Structural stress analysis of rotor system of high-temperature molten-salt pump based on flow-thermal-structure coupling. J. Drain. Irrig. Mach. Eng. 2021, 39, 238–243, 324. [Google Scholar]
  27. Cheng, W.; Shao, C. The interaction analysis between liquid-solid two-phase flow and equipment components in a molten salt pump. J. Energy Storage 2022, 55, 105868. [Google Scholar] [CrossRef]
  28. Cheng, W.; Gu, B.; Shao, C.; Wang, Y. Hydraulic characteristics of molten salt pump transporting solid-liquid two-phase medium. Nucl. Eng. Des. 2017, 324, 220–230. [Google Scholar] [CrossRef]
  29. Cheng, W.; Gu, B.; Shao, C. A numerical study on the steady flow in molten salt pump under various conditions for improved hydraulic performance. Int. J. Numer. Methods Heat Fluid Flow 2017, 27, 1870–1886. [Google Scholar] [CrossRef]
  30. Wang, K.; Lu, X.; Li, Y.; He, X.; Liu, H.; Hyoung, B.K. Performance Improvement of a Liquid Molten Salt Pump: Geometry Optimization and Experimental Verification. Symmetry 2019, 11, 423. [Google Scholar] [CrossRef]
  31. Wang, Z.; Zhang, D.; Jin, Y.; Don, Y. Numerical simulation of stress and mode of rotor system of high-temperature molten-salt pump. J. Drain. Irrig. Mach. Eng. 2023, 41, 22–31. [Google Scholar]
  32. Reinoso-Burrows, J.C.; Cortés-Carmona, M.; Henríquez, M.; Fuentealba, E.; Alvear, A.; Soto, C.; Durán, C.; Pastén, R.; Guerreiro, L.; Madrid, F.M.G. Cellular Automaton Simulation of Corrosion in 347H Steel Exposed to Molten Solar Salt at Pilot-Plant Scale. Materials 2025, 18, 713. [Google Scholar] [CrossRef] [PubMed]
  33. Liu, Y.; Cheng, D.; Wang, D.; Zhang, J.; Hu, Y.; Ran, H. Seismic calculation and analysis of a long-axis multi-stage molten salt pump used in solar thermal power station. J. Vib. Shock 2021, 40, 148–155, 170. [Google Scholar]
  34. Yuan, D.; Wang, H.; Cong, X.; Ji, M.; Zhang, N. Effect of radial force on dynamic response of screw centrifugal pump rotor system. J. Jiangsu Univ. Nat. Sci. Ed. 2018, 39, 290–295. [Google Scholar]
Figure 1. Fluid domain.
Figure 1. Fluid domain.
Processes 14 00502 g001
Figure 2. Meshing division: (a) first-stage impeller; (b) second-to-fifth-stage impellers; (c) guide vane.
Figure 2. Meshing division: (a) first-stage impeller; (b) second-to-fifth-stage impellers; (c) guide vane.
Processes 14 00502 g002
Figure 3. Schematic diagram of the test bench.
Figure 3. Schematic diagram of the test bench.
Processes 14 00502 g003
Figure 4. Head and hydraulic efficiency charts.
Figure 4. Head and hydraulic efficiency charts.
Processes 14 00502 g004
Figure 5. Location of the axial cross-section in the impeller flow passage.
Figure 5. Location of the axial cross-section in the impeller flow passage.
Processes 14 00502 g005
Figure 6. Velocity distribution of clear water medium at span = 0.5 in the first-stage impeller channel: (a) 0.6Qd; (b) 1.0Qd; (c) 1.2Qd.
Figure 6. Velocity distribution of clear water medium at span = 0.5 in the first-stage impeller channel: (a) 0.6Qd; (b) 1.0Qd; (c) 1.2Qd.
Processes 14 00502 g006
Figure 7. Velocity distribution of clear water medium at span = 0.5 in the second-stage impeller channel: (a) 0.6Qd; (b) 1.0Qd; (c) 1.2Qd.
Figure 7. Velocity distribution of clear water medium at span = 0.5 in the second-stage impeller channel: (a) 0.6Qd; (b) 1.0Qd; (c) 1.2Qd.
Processes 14 00502 g007
Figure 8. Velocity distribution of clear water medium at span = 0.5 in the fifth-stage impeller channel: (a) 0.6Qd; (b) 1.0Qd; (c) 1.2Qd.
Figure 8. Velocity distribution of clear water medium at span = 0.5 in the fifth-stage impeller channel: (a) 0.6Qd; (b) 1.0Qd; (c) 1.2Qd.
Processes 14 00502 g008
Figure 9. Static pressure distribution under clear water medium at span = 0.5 of the first-stage impeller: (a) 0.6Qd; (b) 1.0Qd; (c) 1.2Qd.
Figure 9. Static pressure distribution under clear water medium at span = 0.5 of the first-stage impeller: (a) 0.6Qd; (b) 1.0Qd; (c) 1.2Qd.
Processes 14 00502 g009
Figure 10. Static pressure distribution under clear water medium at span = 0.5 of the second-stage impeller: (a) 0.6Qd; (b) 1.0Qd; (c) 1.2Qd.
Figure 10. Static pressure distribution under clear water medium at span = 0.5 of the second-stage impeller: (a) 0.6Qd; (b) 1.0Qd; (c) 1.2Qd.
Processes 14 00502 g010
Figure 11. Static pressure distribution under clear water medium at span = 0.5 of the fifth-stage impeller: (a) 0.6Qd; (b) 1.0Qd; (c) 1.2Qd.
Figure 11. Static pressure distribution under clear water medium at span = 0.5 of the fifth-stage impeller: (a) 0.6Qd; (b) 1.0Qd; (c) 1.2Qd.
Processes 14 00502 g011
Figure 12. Location of monitoring points on the pressure and suction surfaces of the impeller: (a) the first-stage impeller; (b) the fifth-stage impeller.
Figure 12. Location of monitoring points on the pressure and suction surfaces of the impeller: (a) the first-stage impeller; (b) the fifth-stage impeller.
Processes 14 00502 g012
Figure 13. Time-domain diagram of impeller at rated condition: (a) first-stage impeller; (b) fifth-stage impeller.
Figure 13. Time-domain diagram of impeller at rated condition: (a) first-stage impeller; (b) fifth-stage impeller.
Processes 14 00502 g013
Figure 14. Frequency domain diagram of impeller pressure surface at rated condition: (a) first-stage impeller; (b) fifth-stage impeller.
Figure 14. Frequency domain diagram of impeller pressure surface at rated condition: (a) first-stage impeller; (b) fifth-stage impeller.
Processes 14 00502 g014
Figure 15. Frequency domain diagram of impeller suction surface at rated operating conditions: (a) first-stage impeller; (b) fifth-stage impeller.
Figure 15. Frequency domain diagram of impeller suction surface at rated operating conditions: (a) first-stage impeller; (b) fifth-stage impeller.
Processes 14 00502 g015
Figure 16. Frequency domain diagram of impeller at 0.8Qd operating condition: (a) first-stage impeller pressure surface; (b) first-stage impeller suction surface; (c) fifth-stage impeller pressure surface; (d) fifth-stage impeller suction surface.
Figure 16. Frequency domain diagram of impeller at 0.8Qd operating condition: (a) first-stage impeller pressure surface; (b) first-stage impeller suction surface; (c) fifth-stage impeller pressure surface; (d) fifth-stage impeller suction surface.
Processes 14 00502 g016
Figure 17. Frequency domain diagram of impeller at 1.2Qd operating condition: (a) first-stage impeller pressure surface; (b) first-stage impeller suction surface; (c) fifth-stage impeller pressure surface; (d) fifth-stage impeller suction surface.
Figure 17. Frequency domain diagram of impeller at 1.2Qd operating condition: (a) first-stage impeller pressure surface; (b) first-stage impeller suction surface; (c) fifth-stage impeller pressure surface; (d) fifth-stage impeller suction surface.
Processes 14 00502 g017
Figure 18. The root-mean-square distribution of pressure pulsations in the impeller: (a) the first-stage impeller; (b) the fifth-stage impeller.
Figure 18. The root-mean-square distribution of pressure pulsations in the impeller: (a) the first-stage impeller; (b) the fifth-stage impeller.
Processes 14 00502 g018
Figure 19. Radial force time-domain diagram.
Figure 19. Radial force time-domain diagram.
Processes 14 00502 g019
Figure 20. The polar plot of the radial force of the molten salt medium for the first-stage impeller.
Figure 20. The polar plot of the radial force of the molten salt medium for the first-stage impeller.
Processes 14 00502 g020
Figure 21. The polar plot of the radial force of the molten salt medium for the fifth-stage impeller.
Figure 21. The polar plot of the radial force of the molten salt medium for the fifth-stage impeller.
Processes 14 00502 g021
Figure 22. The three-dimensional structure of the solid domain of a cold salt pump.
Figure 22. The three-dimensional structure of the solid domain of a cold salt pump.
Processes 14 00502 g022
Figure 23. The first six steps of the vibration pattern.
Figure 23. The first six steps of the vibration pattern.
Processes 14 00502 g023
Figure 24. The axial trajectory of the impeller at all levels in the dry state at rated speed.
Figure 24. The axial trajectory of the impeller at all levels in the dry state at rated speed.
Processes 14 00502 g024
Figure 25. The axial trajectory of the impeller at all levels under wet-rated conditions: (a) the first-stage impeller; (b) the second-stage impeller; (c) the third-stage impeller; (d) the fourth-stage impeller; (e) the fifth-stage impeller.
Figure 25. The axial trajectory of the impeller at all levels under wet-rated conditions: (a) the first-stage impeller; (b) the second-stage impeller; (c) the third-stage impeller; (d) the fourth-stage impeller; (e) the fifth-stage impeller.
Processes 14 00502 g025
Table 1. Material properties.
Table 1. Material properties.
ParameterNormal Temperature300 °C
Material density (ρ/kg·m−3)80007880
Elastic modulus (E/GPa)195177
Poisson ratio (ν)0.2680.281
Tensile strength (δb/MPa)432412
Yield strength (δs/MPa)252231
Thermal conductivity (K/W·m−1K−1)10.715.9
Table 2. Mesh generation schemes.
Table 2. Mesh generation schemes.
SchemeTotal Mesh ElementsAverage y+Head/mEfficiency/%
16,715,32189.4366.279.99
28,922,73373.4363.479.97
312,212,27650.8360.080.00
417,344,37242.6360.379.75
521,572,63831.5360.179.97
645,385,9419.8359.880.02
Table 3. Relative deviation of numerical prediction of different turbulence models.
Table 3. Relative deviation of numerical prediction of different turbulence models.
Turbulence ModelHead H/mEfficiency/%Head Relative Deviation/%Efficiency Relative Deviation/%
Standard k-ε383.0284.659.148.15
RNG k-ε370.1081.975.464.73
Standard k-ω373.3383.086.386.14
SST k-ω361.6879.903.062.08
Experimental value350.9478.27--
Table 4. Solver settings.
Table 4. Solver settings.
Setting CategorySpecific Option/Value
Time treatmentSteady-state/Transient
Rotor–stator interfaceFrozen rotor/Transient rotor–stator
Inlet boundary conditionTotal pressure
Outlet boundary conditionMass flow rate
Advection schemeHigh resolution
Wall boundary conditionNo-slip wall
Heat transferIsothermal
Convergence criterion (RMS residual)1 × 10−4
Near-wall treatmentAutomatic wall treatment
Table 5. Element list.
Table 5. Element list.
Discrete PointsDistance (mm)Outer Diameter (mm)Concentrated Mass (kg)Elements
100
235.542.5 sliding bearing
336942.588.247first-stage impeller
4635.542.5 sliding bearing
5226845 sliding bearing
64243.545 sliding bearing
747975973.186second-stage impeller
84904.559 sliding bearing
951675973.186third-stage impeller
105274.559 sliding bearing
1155375973.186fourth-stage impeller
125644.559 sliding bearing
1359175973.186fifth-stage impeller
146018.559 sliding bearing
15688167.5 sliding bearing
167420.567.5 sliding bearing
17811667.5 rolling bearing
18896467.5 rolling bearing
19938367.5
Table 6. The critical speeds of the first six orders of the rotor system.
Table 6. The critical speeds of the first six orders of the rotor system.
Modal OrderRotational DirectionStabilityCritical Speed (r/min)
1Forward whirlStable1894.5
2Backward whirlStable2603.9
3Forward whirlStable2625.1
4Backward whirlStable2629.0
5Forward whirlStable2687.6
6Backward whirlStable2838.7
Disclaimer/Publisher’s Note: The statements, opinions and data contained in all publications are solely those of the individual author(s) and contributor(s) and not of MDPI and/or the editor(s). MDPI and/or the editor(s) disclaim responsibility for any injury to people or property resulting from any ideas, methods, instructions or products referred to in the content.

Share and Cite

MDPI and ACS Style

Gao, X.; Zhang, X.; Shi, W.; Wang, D.; Zhao, R.; Zhu, Z. Study on Flow Field Excitation and Rotor Shaft Response of the High-Temperature Molten Salt Circulating Primary Pump. Processes 2026, 14, 502. https://doi.org/10.3390/pr14030502

AMA Style

Gao X, Zhang X, Shi W, Wang D, Zhao R, Zhu Z. Study on Flow Field Excitation and Rotor Shaft Response of the High-Temperature Molten Salt Circulating Primary Pump. Processes. 2026; 14(3):502. https://doi.org/10.3390/pr14030502

Chicago/Turabian Style

Gao, Xiongfa, Xinyi Zhang, Weidong Shi, Daohong Wang, Ruijie Zhao, and Zhiyu Zhu. 2026. "Study on Flow Field Excitation and Rotor Shaft Response of the High-Temperature Molten Salt Circulating Primary Pump" Processes 14, no. 3: 502. https://doi.org/10.3390/pr14030502

APA Style

Gao, X., Zhang, X., Shi, W., Wang, D., Zhao, R., & Zhu, Z. (2026). Study on Flow Field Excitation and Rotor Shaft Response of the High-Temperature Molten Salt Circulating Primary Pump. Processes, 14(3), 502. https://doi.org/10.3390/pr14030502

Note that from the first issue of 2016, this journal uses article numbers instead of page numbers. See further details here.

Article Metrics

Back to TopTop