Adaptive Modified Active Disturbance Rejection Control for the Superheated Steam Temperature System Under Wide Load Conditions
Abstract
1. Introduction
- (1)
- An adaptive modified active disturbance rejection control method is proposed for the superheated steam temperature system.
- (2)
- A parameter tuning method is presented for the adaptive modified active disturbance rejection control.
- (3)
- The effectiveness of the proposed method is verified through on-site applications. Notice that this method possesses the outstanding advantages of a simple principle, strong engineering practicability and high operational reliability and can significantly improve the control effect of the SST.
2. Structure and Control Model of Superheated Steam Temperature System
3. The Design of Modified Active Disturbance Rejection Control
- 1.
- A larger and a smaller both make the system respond quickly. However, too large or too small can cause a large overshoot in the response and increase system fluctuations. When the value of falls within the interval [, ∞), the ESO has good stability and convergence.
- 2.
- The disturbance compensation capability and observation ability increase with a larger . However, this also increases the noise in the ESO. Therefore, it is necessary to gradually increase the value of to an appropriate level to ensure the control performance of the ESO. Based on extensive simulation experience, when the value of is in the range [0.3, 0.6], the system can maintain good control performance.
- 1.
- First, should be fixed, and its value should fall within [, ∞).
- 2.
- Choose a small and , then gradually increase the value of until the output shows no significant change. Record the value of at this point.
- 3.
- Gradually increase the value of until the system achieves satisfactory control performance. Record the value of at this point. If the control effect is not ideal, repeat the above steps until satisfactory performance is achieved.
4. Simulation Research
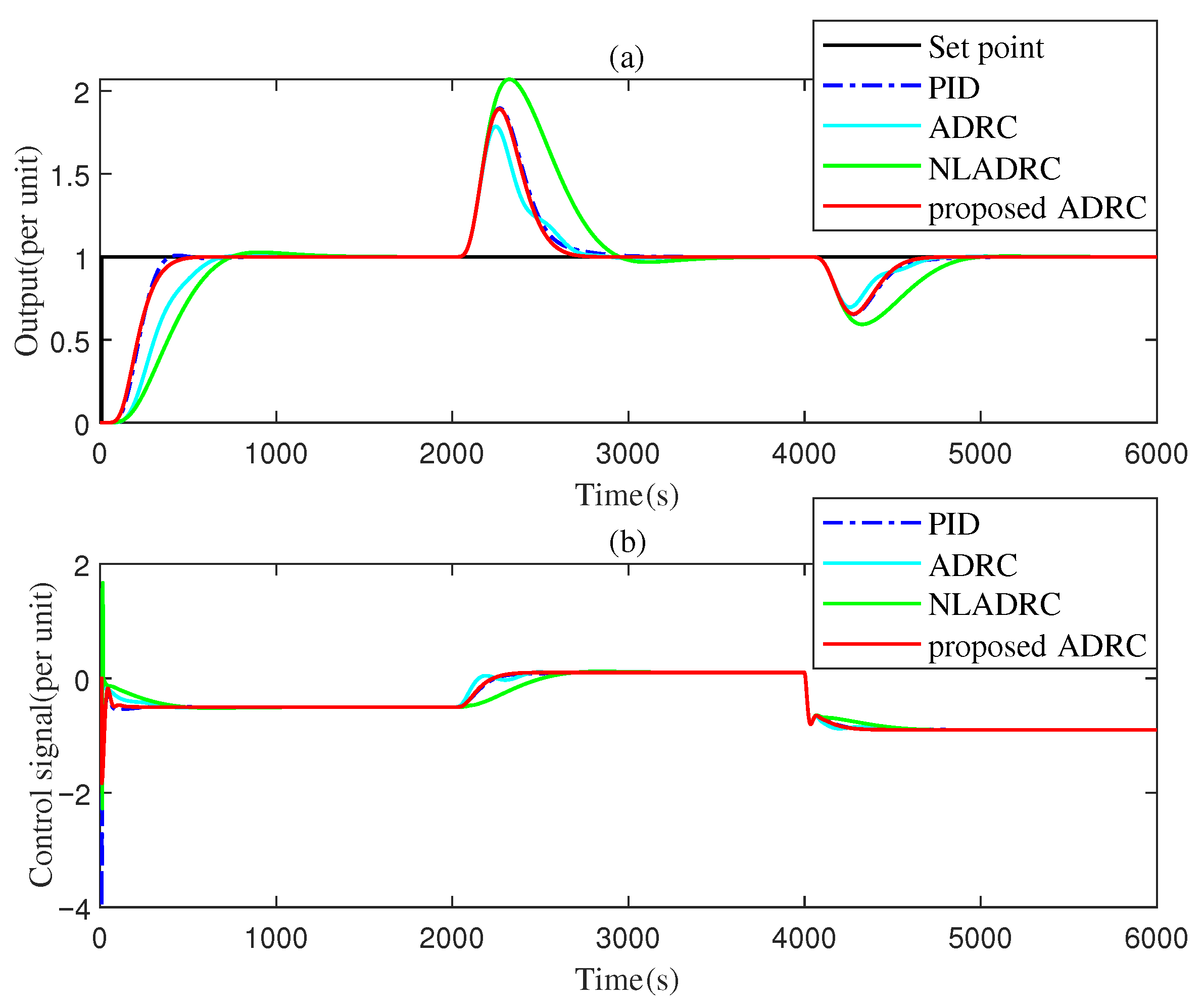
4.1. Control Effect Under Nominal Working Conditions
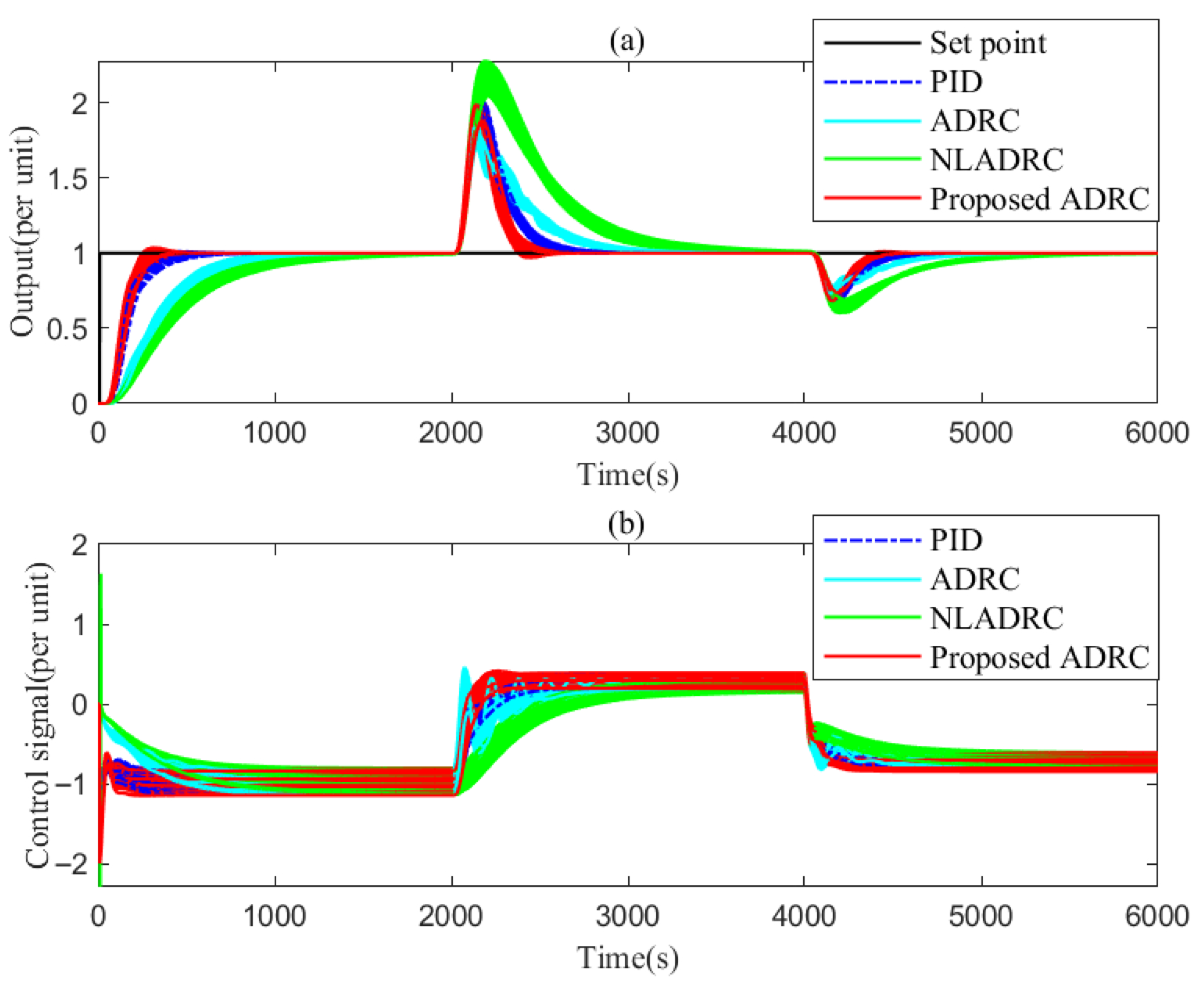
4.2. Control Effect Under Uncertain Working Conditions
4.3. Formatting of Mathematical Components
- (1)
- The proposed MADRC does not add any additional tuning parameters compared to the standard ADRC, and the method of parameter tuning is simple.
- (2)
- The proposed MADRC inherits the simple structure feature of the standard ADRC, making it easy to be implemented in the DCS system without additional cost investment.
- (3)
- While ensuring robustness, the proposed MADRC can improve the tracking performance and anti-interference ability of the system.
- (4)
- The proposed MADRC can enhance the estimation ability of ESO through synchronizing y and u, and also increases the upper limit of the observer bandwidth of ESO.
- (5)
- The proposed MADRC is applicable to a wide range of load conditions and various working scenarios, not limited to a specific working point.
5. Field Application
6. Conclusions
Author Contributions
Funding
Data Availability Statement
Conflicts of Interest
Abbreviations
| SST | Superheated Steam Temperature |
| PID | Proportional–Integral–Derivative |
| ADRC | Active Disturbance Rejection Control |
| ESO | Extended State Observer |
| TD | Time-Delayed |
| FOPTD | First-Order Plus Time-Delay |
| DIC | Delay-Inertia-Compensation |
| SOPTD | Second-Order Plus Time-Delay |
| WECS | Wind Energy Conversion Systems |
| PMSG | Permanent Magnet Synchronous Generators |
| P&O | Perturb and Observe |
| DC-DC | Direct Current to Direct Current |
| MPPT | Maximum Power Point Tracking |
| PMSM | Permanent Magnet Synchronous Motor |
| MADRC | Modified Active Disturbance Rejection Control |
| IAE | Integral Absolute Error |
| TV | Total Variation |
| NLADRC | Nonlinear ADRC |
| TDOF | Two-Degree-of-Freedom |
| DCS | Distributed Control System |
References
- Yao, Y.; Lu, Z.N.; Gong, Y.L.; Guo, S.; Xiao, C.P.; Hu, W.B. Drying characteristics of a combined drying system of low-pressure superheated steam and heat pump. Processes 2022, 10, 1402. [Google Scholar] [CrossRef]
- Jiang, C.; Qian, H.; Pan, Y.K.; Chai, T.T. The research of superheated steam temperature control based on generalized predictive control algorithm and adaptive forgetting factor. Int. J. Adapt. Control Signal Process. 2020, 34, 15–31. [Google Scholar] [CrossRef]
- He, T.; Wu, Z.L.; Li, D.H.; Wang, J.H. A tuning method of active disturbance rejection control for a class of high-order processes. IEEE Trans. Ind. Electron. 2020, 67, 3191–3201. [Google Scholar] [CrossRef]
- Liang, W.Z.; Cui, Z.P.; Ma, S.X.; Xu, J. Optimization control of superheated steam temperature of supercritical boiler based on the prediction of the enthalpy at intermediate point. J. Eng. Therm. Energy Power 2025, 40, 73–82. [Google Scholar] [CrossRef]
- Wu, H.G.; Shi, J.K.; Xu, S.D.; Gao, Z.Y. Feed forward control and on-line correction method for superheated steam temperature of thermal power units. J. Eng. Therm. Energy Power 2022, 37, 177–182. [Google Scholar] [CrossRef]
- Luo, Y.; Wang, W. Superheated steam temperature sliding mode control based on modified super-twisting algorithm. J. Chin. Soc. Power Eng. 2020, 40, 475–480. [Google Scholar] [CrossRef]
- Fan, H.; Su, Z.G.; Peng, X.Y.; Zhou, H.C. Anti-disturbance coordinated control system of once-through boiler coal fired units coupled with superheated steam temperature regulation. Proc. CSEE 2025, 45, 1010–1022. [Google Scholar] [CrossRef]
- Cao, Y.; Zheng, L.; Chen, Y.F.; Wang, P.; Si, F.Q. Identification method and control strategy for superheated steam temperature of thermal power unit based on PFNN. J. Southeast Univ. Sci. Ed. 2022, 52, 417–424. [Google Scholar] [CrossRef]
- Ma, L.Y.; Yu, S.L.; Zhao, S.Y.; Sun, J.M. Superheated steam temperature prediction models based on XGBoost optimized with random search algorithm. J. North China Electr. Power Univ. 2021, 48, 99–105. [Google Scholar] [CrossRef]
- Feng, L.H.; Nie, C.P.; Guo, Q.F.; Yang, F.; He, J.Q.; Mao, Y.C. Superheated steam temperature prediction based on long short-term memory neural network optimized by novel whale optimization algorithm. Power Gener. Technol. 2025, 46, 1212–1222. [Google Scholar] [CrossRef]
- Ma, L.Y.; Chen, T.T.; Liu, W.J.; Li, Q.Q. Optimized compensation for set values of superheated steam temperature in supercritical unit based on neural network. J. Chin. Soc. Power Eng. 2021, 41, 36–42. [Google Scholar] [CrossRef]
- Han, J.Q. From PID to active disturbance rejection control. IEEE Trans. Ind. Electron. 2009, 56, 900–906. [Google Scholar] [CrossRef]
- Li, D.L.; An, Z.G.; Zhou, Y.F.; Zhang, J.P.; Gao, Z.Y. Optimal control of cooling performance using an active disturbance rejection controller for lithium-ion battery packs. Energy 2025, 322, 135556. [Google Scholar] [CrossRef]
- Pang, D.W.; Niu, Y.G.; Du, M. Phase lead error-based active disturbance rejection control for 1000 MW ultra-supercritical unit under flexible operation. Energy 2025, 319, 134946. [Google Scholar] [CrossRef]
- Xu, H.B.; Zhang, J.D.; Liu, J.L.; Cao, Y.; Ma, A. Optimization of ship permanent magnet synchronous motor ADRC based on improved QPSO. Appl. Sci. 2025, 15, 1608. [Google Scholar] [CrossRef]
- Sun, L.; Xue, W.C.; Li, D.H.; Zhu, H.X.; Su, Z.G. Quantitative tuning of active disturbance rejection controller for FOPTD model with application to power plant control. IEEE Trans. Ind. Electron. 2022, 69, 805–815. [Google Scholar] [CrossRef]
- Wu, Z.L.; Jia, B.K.; Li, B.N.; Liu, Y.H.; Chen, Y.Q. Delay-inertia-compensation active disturbance rejection control design and analyses for second-order plus time-delay systems. IEEE Trans. Ind. Electron. 2025, 72, 14603–14614. [Google Scholar] [CrossRef]
- Li, Z.; Zhang, Z.H.; Wang, J.S.; Wang, S.H.; Chen, X.T.; Sun, H.X. ADRC control system of PMLSM based on novel non-singular terminal sliding mode observer. Energies 2022, 15, 3720. [Google Scholar] [CrossRef]
- Wu, Z.L.; Sui, S.Y.; Li, S.Y.; Li, B.N.; Liu, Y.H.; Yang, L.; Li, D.H.; Chen, Y.Q. Modified active disturbance rejection control design based on gain scheduling for selective catalytic reduction denitrification processes. IEEE Trans. Ind. Electron. 2024, 71, 16441–16451. [Google Scholar] [CrossRef]
- Wang, Y.; Shi, G.J.; Wu, Z.L. Research on modified active disturbance rejection control and its engineering application for superheated steam temperature system. Therm. Power Gener. 2025, 54, 150–157. [Google Scholar] [CrossRef]
- Mrabet, N.; Benzazah, C.; Mohssine, C.; Ahmed, E.a.; Driss, K.; Badr, R.; Ilyas, L. Enhancing wind energy conversion efficiency: A novel MPPT approach using P&O with ADRC controllers versus PI controllers with Kp and Ki optimization via genetic algorithm and ant colony optimization. Clean. Energy Syst. 2024, 9, 100159. [Google Scholar] [CrossRef]
- Rerhrhaye, B.; Rerhrhaye, F.; Lahlouh, I.; El Akkary, A.; Sefiani, N.; Mrabet, N.; Khouili, D.; Ennaciri, Y.; El Martaoui, C. Proposal of an interleaved boost converter controlled by a nonlinear MPPT ADRC as the boost stage of a solar inverter connected to the hospital electrical network. Clean. Energy Syst. 2025, 12, 100222. [Google Scholar] [CrossRef]
- Zhang, P.; Shi, Z.Y.; Yu, B.; Qi, H.J. Research on a sensorless ADRC vector control method for a permanent magnet synchronous motor based on the luenberger observer. Processes 2024, 12, 906. [Google Scholar] [CrossRef]
- Dou, Z.L.; Zhang, C.Y.; Zhou, X.C.; Gao, D.; Liu, X.H. DDPG-ADRC-based load frequency control for multi-region power systems with renewable energy sources and energy storage equipment. Energies 2025, 18, 3610. [Google Scholar] [CrossRef]
- Wu, Z.L.; Li, D.H.; Liu, Y.H.; Chen, Y.Q. Performance analysis of improved ADRCs for a class of high-order processes with verification on main steam pressure control. IEEE Trans. Ind. Electron. 2023, 70, 6180–6190. [Google Scholar] [CrossRef]
- Zenon, Z.; Lech, D.; Jarosław, A. Design and assessment of ADRC-based autopilot for energy-efficient ship steering. Energies 2021, 14, 7937. [Google Scholar] [CrossRef]
- Neria, M.R.; Ortega, G.O.; Ossaba, A.T.; Martinez, E.G.H.; González, A.L.; Tejada, J.C. Trajectory tracking of a 2-degrees-of-freedom serial flexible joint robot using an active disturbance rejection controller approach. Mathematics 2024, 12, 3989. [Google Scholar] [CrossRef]
- Zong, H.Z.; Yang, Z.X.; Yu, X.; Zhang, J.H.; Ai, J.K.; Zhu, Q.X.; Wang, F.; Su, Q.; Xu, B. Active disturbance rejection control of hydraulic quadruped robots rotary joints for improved impact resistance. Chin. J. Mech. Eng. 2024, 37, 103. [Google Scholar] [CrossRef]
- Lu, Q.L.; Sun, R.S.; Lu, Y. Output redefinition-based active disturbance rejection control for nonminimum phase hypersonic vehicles. Aircr. Eng. Aerosp. Technol. 2024, 96, 530–540. [Google Scholar] [CrossRef]
- Huo, B.Y.; Wang, Y.A.; Zhang, Z.; Dong, A.Q.; Liu, Y.H. Multi-electrode coordinated upper limb rehabilitation motion control method based on ADRC. J. Zhengzhou Univ. Sci. 2025, 46, 1–10+18. [Google Scholar] [CrossRef]
- Ye, Y.H.; Cheng, Y.; Zhou, F.; Lu, G.P. Optimization of active disturbance rejection controller for distillation process based on quantitative feedback theory. Processes 2025, 13, 1436. [Google Scholar] [CrossRef]
- Zeng, Q.S.; Zhou, Y.S.; Tao, C.C.; Liu, Y.H. Active disturbance rejection robust hamiltonian tracking control of electrically driven manipulator. J. Zhengzhou Univ. Sci. 2022, 43, 1–7+15. [Google Scholar] [CrossRef]
- Zhao, S.; Gao, Z.Q. Modified active disturbance rejection control for time-delay systems. ISA Trans. 2014, 53, 882–888. [Google Scholar] [CrossRef]
- Zheng, Q.L.; Gao, Z.G. Predictive active disturbance rejection control for processes with time delay. ISA Trans. 2014, 53, 873–881. [Google Scholar] [CrossRef] [PubMed]
- Wu, Z.L.; He, T.; Li, D.H.; Xue, Y.L.; Sun, L.; Sun, L.M. Superheated steam temperature control based on modified active disturbance rejection control. Control Eng. Pract. 2019, 83, 83–97. [Google Scholar] [CrossRef]
- Fan, Y.S.; Xu, Z.G.; Cheng, L.J. Study of adaptive fuzzy control of boiler superheated steam temperature based on dynamic mechanism analysis. Proc. CSEE 1997, 17, 23–28. [Google Scholar] [CrossRef]
- Zhao, C.Z.; Li, D.H. Control design for the SISO system with the unknown order and the unknown relative degree. ISA Trans. 2014, 53, 858–872. [Google Scholar] [CrossRef]
- Song, X.D.; Zhao, Y.D.; Li, Z.H.; Song, J.C.; Wu, Z.L.; Guo, J.Z.; Zhang, J. A dual-loop modified active disturbance rejection control scheme for a high-purity distillation Column. Processes 2025, 13, 1359. [Google Scholar] [CrossRef]
- Yan, S.B.; Li, J.J.; Zhang, X.D.; Shi, S.J.; Zheng, J.H. Improved modeling method of superheated steam in power plant. J. Zhengzhou Univ. Sci. 2012, 33, 55–58. [Google Scholar] [CrossRef]
- Yang, X.L.; Yu, G.Q.; Zhang, T.H.; Cui, X.B. Control of superheated steam temperature system for wide load based on adaptive strategy. Autom. Instrum. 2025, 40, 32–38. [Google Scholar] [CrossRef]
- Niu, H.M.; Yu, J.; Ding, C.F.; Wang, C.H.; Tian, B. Active disturbance rejection control over superheated steam temperature based on multi-objective particle swarm optimization. Electr. Power 2020, 53, 126–133. [Google Scholar] [CrossRef]






















| Load/% | Leading Zone | Inert Zone |
|---|---|---|
| 100 | ||
| 75 | ||
| 50 |
| 100% Load | 75% Load | 50% Load | |
|---|---|---|---|
| PID | |||
| ADRC | |||
| MADRC |
| 100% Load | 75% Load | 50% Load | |
|---|---|---|---|
| MADRC | |||
| ADRC | |||
| PID |
| Controller Type | Core Architecture | Design Goal | Added Module |
|---|---|---|---|
| ADRC | ESO + disturbance compensation, simplify system to | Handle system uncertainty and external disturbance | No extra module |
| Time-delay ADRC | Inherit conventional ADRC architecture | Solve ESO signal asynchrony caused by output delay | Pure time-delay module |
| Smith-predictive ADRC | Inherit conventional ADRC architecture | Solve ESO signal asynchrony caused by output delay | Output prediction module |
| MADRC | Inherit conventional ADRC architecture | Solve ESO signal asynchrony caused by output delay | Inertia link compensation |
| Adaptive MADRC | Based on MADRC, add a parameter adaptive method | Improve performance under wide load conditions, solve oscillation of time-delay ADRC | Parameter adaptive method |
| Before Investment (℃) | After Investment (℃) | |||||
|---|---|---|---|---|---|---|
| Max | Min | Difference | Max | Min | Difference | |
| A-side | 605.731 | 586.417 | 19.314 | 601.948 | 585.384 | 6.564 |
| B-side | 607.599 | 580.739 | 26.860 | 601.635 | 588.525 | 13.110 |
Disclaimer/Publisher’s Note: The statements, opinions and data contained in all publications are solely those of the individual author(s) and contributor(s) and not of MDPI and/or the editor(s). MDPI and/or the editor(s) disclaim responsibility for any injury to people or property resulting from any ideas, methods, instructions or products referred to in the content. |
© 2026 by the authors. Licensee MDPI, Basel, Switzerland. This article is an open access article distributed under the terms and conditions of the Creative Commons Attribution (CC BY) license.
Share and Cite
Wang, H.; Tong, Z.; Wu, Z.; Zheng, H.; Li, B.; Jia, Y. Adaptive Modified Active Disturbance Rejection Control for the Superheated Steam Temperature System Under Wide Load Conditions. Processes 2026, 14, 308. https://doi.org/10.3390/pr14020308
Wang H, Tong Z, Wu Z, Zheng H, Li B, Jia Y. Adaptive Modified Active Disturbance Rejection Control for the Superheated Steam Temperature System Under Wide Load Conditions. Processes. 2026; 14(2):308. https://doi.org/10.3390/pr14020308
Chicago/Turabian StyleWang, Huiyu, Zihao Tong, Zhenlong Wu, Hongtao Zheng, Bing Li, and Yanfeng Jia. 2026. "Adaptive Modified Active Disturbance Rejection Control for the Superheated Steam Temperature System Under Wide Load Conditions" Processes 14, no. 2: 308. https://doi.org/10.3390/pr14020308
APA StyleWang, H., Tong, Z., Wu, Z., Zheng, H., Li, B., & Jia, Y. (2026). Adaptive Modified Active Disturbance Rejection Control for the Superheated Steam Temperature System Under Wide Load Conditions. Processes, 14(2), 308. https://doi.org/10.3390/pr14020308

