Effects of Water Diversion Projects on Hydrodynamics and Water Quality in Shallow Lakes: A Case Study of Chaohu Lake, China
Abstract
1. Introduction
2. Materials and Methods
2.1. Study Area and Data
2.2. Water Diversion Routes of the YHWTP
2.3. Construction of the Hydrodynamic and Water Quality Model for Chaohu Lake
3. Results and Discussion
3.1. Hydrodynamic Evolution of Chaohu Lake Under the Regulation of YHWTP
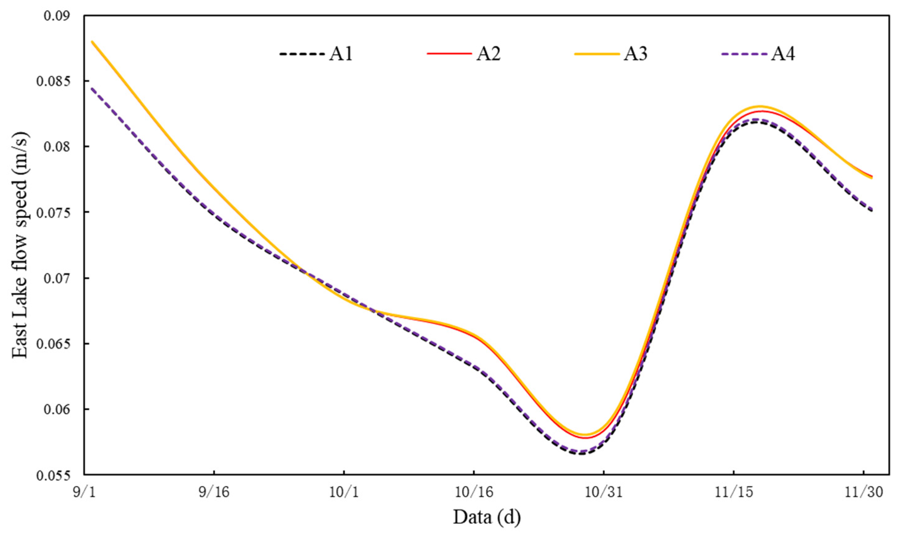
3.1.1. Flow Velocity at Typical Representative Locations
3.1.2. Flow Velocity at Typical Cross-Sections
3.1.3. Hydraulic Retention Time
3.2. Water Quality Evolution of Chaohu Lake Under the Regulation of YHWTP
3.2.1. Distribution of COD
3.2.2. Distribution of TN
3.2.3. Distribution of TP
3.2.4. Distribution of Chl-a
3.3. Impact of Subsurface Flow Guide Dam Layout in the West Lake Area on the Migration of Heavily Polluted Water
3.3.1. Layout Scheme of Subsurface Flow Guide Dams in the West Lake
3.3.2. Changes in Hydraulic Retention Time and Flow Velocity in the West Lake
3.3.3. Changes in the Average Concentration of Pollutants
3.3.4. Optimization of Subsurface Flow Guide Dam Layout
4. Conclusions
Supplementary Materials
Author Contributions
Funding
Data Availability Statement
Conflicts of Interest
References
- Zhou, J.; Leavitt, P.R.; Zhang, Y.; Qin, B. Anthropogenic eutrophication of shallow lakes: Is it occasional? Water Res. 2022, 221, 118728. [Google Scholar] [CrossRef] [PubMed]
- Dai, Y.; Yang, S.; Zhao, D.; Hu, C.; Xu, W.; Anderson, D.M.; Li, Y.; Song, X.-P.; Boyce, D.G.; Gibson, L.; et al. Coastal phytoplankton blooms expand and intensify in the 21st century. Nature 2023, 615, 280–284. [Google Scholar] [CrossRef] [PubMed]
- Hou, X.; Feng, L.; Dai, Y.; Hu, C.; Gibson, L.; Tang, J.; Lee, Z.; Wang, Y.; Cai, X.; Liu, J.; et al. Global mapping reveals increase in lacustrine algal blooms over the past decade. Nat. Geosci. 2022, 15, 130–134. [Google Scholar] [CrossRef]
- Huang, J.; Zhang, Y.; Arhonditsis, G.B.; Gao, J.; Chen, Q.; Peng, J. The magnitude and drivers of harmful algal blooms in China’s lakes and reservoirs: A national-scale characterization. Water Res. 2020, 181, 115902. [Google Scholar] [CrossRef]
- Boqiang, Q.I.N. Shallow lake limnology and control of eutrophication in Lake Taihu. J. Lake Sci. 2020, 32, 1229–1243. [Google Scholar] [CrossRef]
- Li, Y.; Jalil, A.; Du, W.; Gao, X.; Wang, J.; Luo, L.; Li, H.; Dai, S.; Hashim, S.; Yu, Z.; et al. Wind induced reverse flow and vertical profile characteristics in a semi-enclosed bay of large shallow Lake Taihu, China. Ecol. Eng. 2017, 102, 224–233. [Google Scholar] [CrossRef]
- Yang, P. Vertical Mixing and Flow Patterns in a Tropical, Shallow Lake. Ph.D. Thesis, Nanyang Technological University, Singapore, 2017. [Google Scholar]
- Liu, S.; Ye, Q.; Wu, S.; Stive, M.J.F. Horizontal Circulation Patterns in a Large Shallow Lake: Taihu Lake, China. Water 2018, 10, 792. [Google Scholar] [CrossRef]
- Józsa, J. On the internal boundary layer related wind stress curl and its role in generating shallow lake circulations. J. Hydrol. Hydromech. 2014, 62, 16–23. [Google Scholar] [CrossRef]
- Gao, X.; Li, Y.; Tang, C.; Acharya, K.; Du, W.; Wang, J.; Luo, L.; Li, H.; Dai, S.; Yu, Z.; et al. Using ADV for suspended sediment concentration and settling velocity measurements in large shallow lakes. Environ. Sci. Pollut. Res. 2017, 24, 2675–2684. [Google Scholar] [CrossRef]
- Zhu, W.; Chen, H.; Xiao, M.; Lürling, M.; Li, M. Wind induced turbulence caused colony disaggregation and morphological changes in the cyanobacterium Microcystis. J. Lake Sci. 2021, 33, 349–365. [Google Scholar] [CrossRef]
- Zhu, W.; Feng, G.; Chen, H.; Wang, R.; Tan, Y.; Zhao, H. Modelling the vertical migration of different-sized Microcystis colonies: Coupling turbulent mixing and buoyancy regulation. Environ. Sci. Pollut. Res. 2018, 25, 30339–30347. [Google Scholar] [CrossRef]
- Xiong, J.; Xue, K.; Li, J.; Hu, M.; Li, J.; Wang, X.; Lin, C.; Ma, R.; Chen, L. Vertical distribution analysis and total mass estimation of nitrogen and phosphorus in large shallow lakes. J. Environ. Manag. 2023, 344, 118465. [Google Scholar] [CrossRef]
- Bargu, S.; Justic, D.; White, J.R.; Lane, R.; Day, J.; Paerl, H.; Raynie, R. Mississippi River diversions and phytoplankton dynamics in deltaic Gulf of Mexico estuaries: A review. Estuar. Coast. Shelf Sci. 2019, 221, 39–52. [Google Scholar] [CrossRef]
- Lee, H.W.; Yeom, B.-M.; Choi, J.H. Modelling Water Quality Improvements in a South Korean Inter-Basin Water Transfer System. Water 2020, 12, 3173. [Google Scholar] [CrossRef]
- Peng, F.; Li, K.; Liang, R.; Li, X.; Zhang, P.; Yuan, Q.; Ji, Q.; Zhu, Z.; Wang, Y. Shallow lake water exchange process before and after water diversion projects as affected by wind field. J. Hydrol. 2021, 592, 125785. [Google Scholar] [CrossRef]
- Gao, X.; Xu, L.; Zhang, C. Modelling the effect of water diversion projects on renewal capacity in an urban artificial lake in China. J. Hydroinform. 2015, 17, 990–1002. [Google Scholar] [CrossRef]
- Wang, Y.; Liu, G.; Zhu, S.; Hu, W.; Zhang, H.; Zhou, X.; Peng, Z. Assessment of impacts of water transfer on lake flow and water quality in Lake Chaohu using a three-dimensional hydrodynamic-ecological model. J. Hydrol. Reg. Stud. 2023, 46, 101333. [Google Scholar] [CrossRef]
- Dai, J.; Wu, S.; Wu, X.; Lv, X.; Sivakumar, B.; Wang, F.; Zhang, Y.; Yang, Q.; Gao, A.; Zhao, Y.; et al. Impacts of a large river-to-lake water diversion project on lacustrine phytoplankton communities. J. Hydrol. 2020, 587, 124938. [Google Scholar] [CrossRef]
- Yao, X.; Zhang, L.; Zhang, Y.; Du, Y.; Jiang, X.; Li, M. Water diversion projects negatively impact lake metabolism: A case study in Lake Dazong, China. Sci. Total Environ. 2018, 613–614, 1460–1468. [Google Scholar] [CrossRef]
- Yu, M.; Wang, C.; Liu, Y.; Olsson, G.; Wang, C. Sustainability of mega water diversion projects: Experience and lessons from China. Sci. Total Environ. 2018, 619–620, 721–731. [Google Scholar] [CrossRef] [PubMed]
- Tachamo Shah, R.D.; Sharma, S.; Bharati, L. Water diversion induced changes in aquatic biodiversity in monsoon-dominated rivers of Western Himalayas in Nepal: Implications for environmental flows. Ecol. Indic. 2020, 108, 105735. [Google Scholar] [CrossRef]
- Zhao, P.; Li, Z.; Zhang, R.; Pan, J.; Liu, Y. Does water diversion project deteriorate the water quality of reservoir and downstream? A case-study in Danjiangkou reservoir. Glob. Ecol. Conserv. 2020, 24, e01235. [Google Scholar] [CrossRef]
- Tang, C.; He, C.; Li, Y.; Acharya, K. Diverse responses of hydrodynamics, nutrients and algal biomass to water diversion in a eutrophic shallow lake. J. Hydrol. 2021, 593, 125933. [Google Scholar] [CrossRef]
- Cucco, A.; Umgiesser, G. Modeling the Venice Lagoon residence time. Ecol. Model. 2006, 193, 34–51. [Google Scholar] [CrossRef]
- Takeoka, H. Fundamental concepts of exchange and transport time scales in a coastal sea. Cont. Shelf Res. 1984, 3, 311–326. [Google Scholar] [CrossRef]
- Hu, Z.; Yong, P.; Ruichen, X.; Yuan, L. Study on the proportion and flow path of Yangtze River water diversion into Taihu Lake. Water Supply 2022, 22, 1820–1834. [Google Scholar] [CrossRef]
- Huang, A.; Liu, X.; Dong, F.; Peng, W.; Ma, B.; Han, Z.; Yang, X. Long-term variations in hydraulic residence time of floodplain lakes and their response to water conservancy projects. Ecol. Indic. 2024, 169, 112778. [Google Scholar] [CrossRef]
















| Key Parameter | Value | Unit |
|---|---|---|
| Bed resistance: Quadratic drag coefficient | 0.0005~0.06 | / |
| Horizontal viscosity: Smagorinsky formulation | 0.001 | / |
| Vertical eddy viscosity: k-epsilon formulation | / | / |
| Wind friction | 0.004 | m |
| Nitrification: 1st order decay rate at 20 °C | 0.043 | /d |
| Ammonia processes: Amount of NH3-N taken up by plants | 0.02 | g N/g DO |
| Ammonia processes: Amount of NH3-N taken up by bacteria | 0.06 | g N/g DO |
| Phosphorous processes: Amount of PO4-P taken up by plants | 0.003 | g P/g DO |
| Phosphorous processes: Amount of PO4-P taken up by bacteria | 0.008 | g P/g DO |
| Chlorophyll processes: Death rate of chlorophyll-a | 0.006 | per day |
| Chlorophyll processes: Setting rate of chlorophyll-a | 0.06 | m/day |
| COD Processes: 1st order decay rate at 20 °C | 0.02 | /d |
| Scenario | Water Diversion Routes | Water Diversion Flow Rate | Water Source of the Diversion | Water Quality of the Diversion | Outflow from Chaohu Lake |
|---|---|---|---|---|---|
| A1 | / | / | Current Runoff | Current Water Quality | Current Runoff |
| A2 | Z-YR-CH | 150 m3/s | Yangtze River | Qianjiangkou Section | 300 m3/s |
| CZH-YR-CH | 150 m3/s | ||||
| A3 | H-CH | 300 m3/s | Huai River | Wabu Lake Section | 300 m3/s |
| A4 | XHF-CH | 300 m3/s | Chaohu Lake | Zhao River Inlet to Chaohu Lake Section | / |
| Scenario | A1 | A2 | A3 | A4 | |
|---|---|---|---|---|---|
| COD | Inflow Volume | 634.5 | 3894.5 | 11,748.8 | 684.3 |
| Outflow Volume | 209.4 | 40,705.6 | 8823.1 | 211.5 | |
| Retention Volume | 425.0 | −36,812.1 | 2925.7 | 472.8 | |
| TN | Inflow Volume | 401.0 | 2071.1 | 2432.4 | 348.8 |
| Outflow Volume | 62.3 | −24,708.2 | 1534 | 345.8 | |
| Retention Volume | 338.8 | −22,637.2 | 898.1 | 3.0 | |
| TP | Inflow Volume | 33.7 | 171.7 | 107.4 | 31.6 |
| Outflow Volume | 4.7 | 5145.7 | 208.0 | 20.9 | |
| Retention Volume | 29.0 | −4974.0 | −100.6 | 10.7 | |
| Chl-a | Inflow Volume | 0 | 0 | 16.8 | 0 |
| Outflow Volume | 1.7 | 310.8 | 175.0 | 3.3 | |
| Retention Volume | −1.7 | −310.8 | −158.3 | −3.3 | |
| Scenario | Outflow Volume | Reduction Compared to the B1 Scenario |
|---|---|---|
| B1 | 34.36 | / |
| B2 | 35.84 | 1.48 |
| B3 | 34.92 | 0.56 |
| B2 + B3 | 36.90 | 2.54 |
Disclaimer/Publisher’s Note: The statements, opinions and data contained in all publications are solely those of the individual author(s) and contributor(s) and not of MDPI and/or the editor(s). MDPI and/or the editor(s) disclaim responsibility for any injury to people or property resulting from any ideas, methods, instructions or products referred to in the content. |
© 2026 by the authors. Licensee MDPI, Basel, Switzerland. This article is an open access article distributed under the terms and conditions of the Creative Commons Attribution (CC BY) license.
Share and Cite
Du, F.; Zhu, Q.; Wang, Y.; Wang, S.; Yan, H.; Liu, C.; Gao, S.; Chen, K.; Zhang, C.; Jiang, Z.; et al. Effects of Water Diversion Projects on Hydrodynamics and Water Quality in Shallow Lakes: A Case Study of Chaohu Lake, China. Processes 2026, 14, 193. https://doi.org/10.3390/pr14020193
Du F, Zhu Q, Wang Y, Wang S, Yan H, Liu C, Gao S, Chen K, Zhang C, Jiang Z, et al. Effects of Water Diversion Projects on Hydrodynamics and Water Quality in Shallow Lakes: A Case Study of Chaohu Lake, China. Processes. 2026; 14(2):193. https://doi.org/10.3390/pr14020193
Chicago/Turabian StyleDu, Fei, Qing Zhu, Yujie Wang, Shiyan Wang, Huangfeng Yan, Chang Liu, Shilin Gao, Kang Chen, Chao Zhang, Zhi Jiang, and et al. 2026. "Effects of Water Diversion Projects on Hydrodynamics and Water Quality in Shallow Lakes: A Case Study of Chaohu Lake, China" Processes 14, no. 2: 193. https://doi.org/10.3390/pr14020193
APA StyleDu, F., Zhu, Q., Wang, Y., Wang, S., Yan, H., Liu, C., Gao, S., Chen, K., Zhang, C., Jiang, Z., Ba, Y., Guo, M., & Liu, X. (2026). Effects of Water Diversion Projects on Hydrodynamics and Water Quality in Shallow Lakes: A Case Study of Chaohu Lake, China. Processes, 14(2), 193. https://doi.org/10.3390/pr14020193

